Combination of Photo-Fenton and Granular Activated Carbon for the Removal of Microcontaminants from Municipal Wastewater via an Acidic Dye
Abstract
1. Introduction
2. Materials and Methods
2.1. Chemicals
2.2. Analytical Determinations
2.3. Matrix Characterisation
2.4. Experimental Setup
2.4.1. Photo-Fenton System
2.4.2. Granular Activated Carbon Behaviour (Adsorption Determination)
2.4.3. Granular Activated Carbon Rapid Small-Scale Columns Test
2.4.4. Combination of Photo-Fenton Process and Granular Activated Carbon
2.5. Methods
2.5.1. Optimization by Response Surface Methodology
2.5.2. Curve Fitting of the Adsorption Breakthrough
3. Results and Discussion
3.1. Photo-Fenton
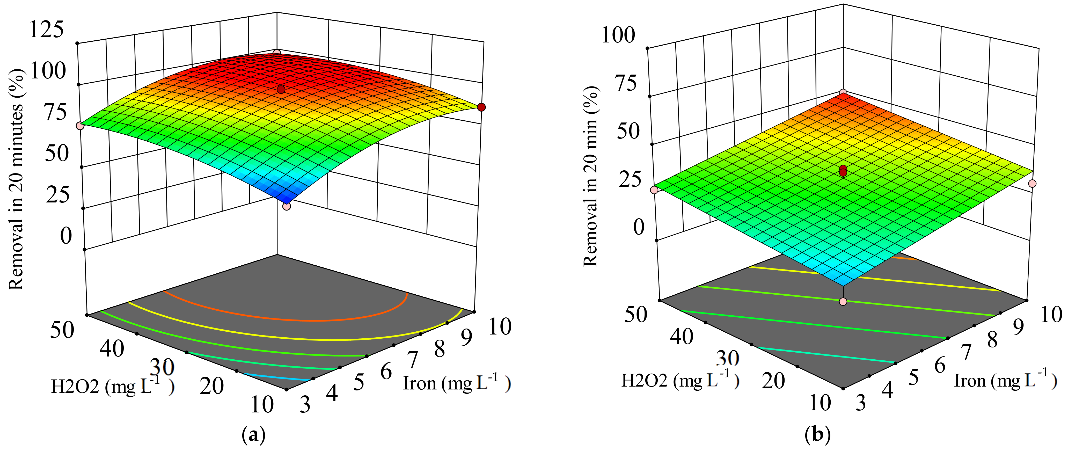
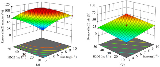
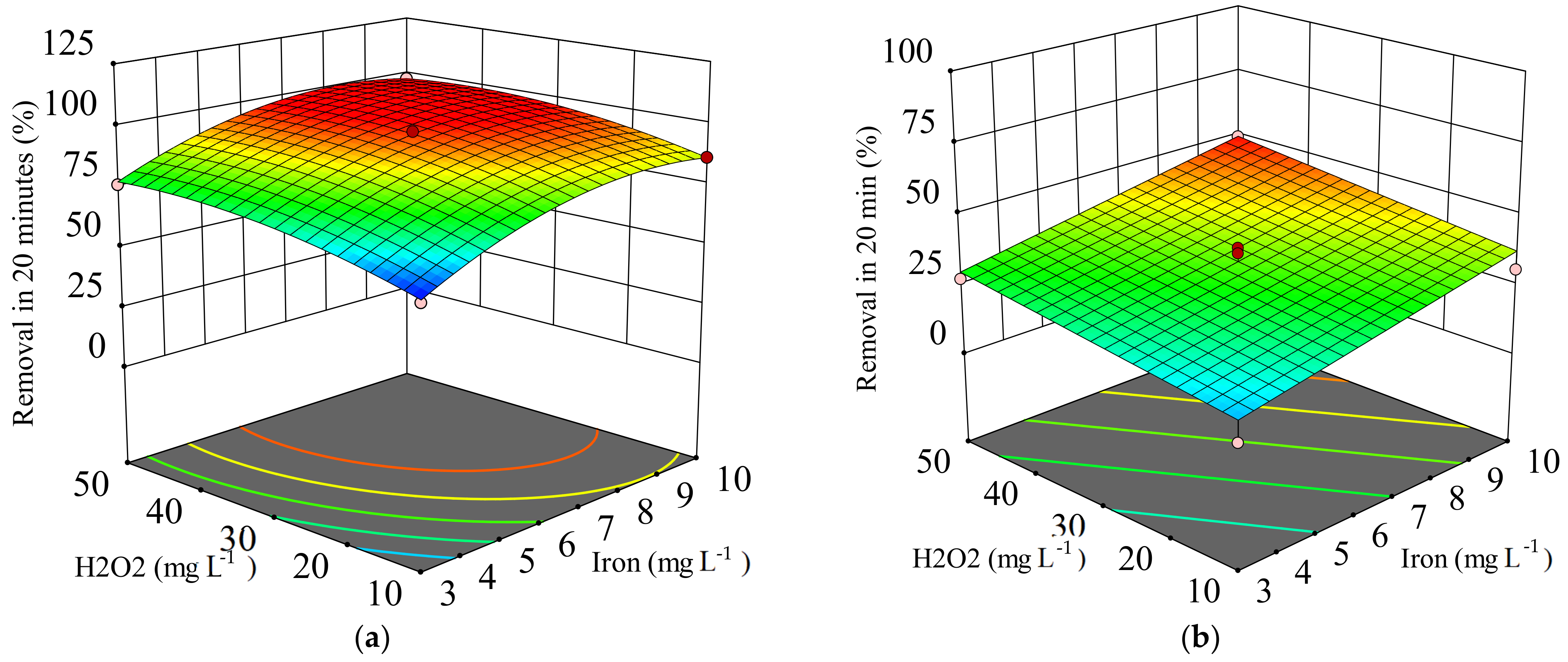
3.1.1. Determination of the Optimised Operational Conditions
3.1.2. Simultaneous Application of MP and LP Lamps
3.1.3. Comparison of the Photo-Fenton Process: LP lamp, MP Lamp and Simultaneous Application of MP and LP Lamps
3.1.4. Chelating Agents’ Assessment
3.2. Granular Activated Carbon
3.2.1. GAC Behaviour (Adsorption Determination)
3.2.2. Rapid Small-Scale Columns
3.3. Real Wastewater
3.3.1. Photo-Fenton
3.3.2. Rapid Small-Scale Columns
3.4. Economical Assessment
4. Conclusions
Supplementary Materials
Author Contributions
Funding
Institutional Review Board Statement
Informed Consent Statement
Data Availability Statement
Acknowledgments
Conflicts of Interest
References
- Júnior, O.G.; Batista, L.L.; Ueira-Vieira, C.; Sousa, R.M.; Starling, M.C.V.; Trovó, A.G. Degradation mechanism of fipronil and its transformation products, matrix effects and toxicity during the solar/photo-Fenton process using ferric citrate complex. J. Environ. Manag. 2020, 269, 110756. [Google Scholar] [CrossRef] [PubMed]
- Li, X.; Zhang, R.; Tian, T.; Shang, X.; Du, X.; He, Y.; Matsuura, N.; Luo, T.; Wang, Y.; Chen, J.; et al. Screening and ecological risk of 1200 organic micropollutants in Yangtze Estuary water. Water Res. 2021, 201, 117341. [Google Scholar] [CrossRef] [PubMed]
- Grandclément, C.; Seyssiecq, I.; Piram, A.; Wong-Wah-Chung, P.; Vanot, G.; Tiliacos, N.; Roche, N.; Doumenq, P. From the conventional biological wastewater treatment to hybrid processes, the evaluation of organic micropollutant removal: A review. Water Res. 2017, 111, 297–317. [Google Scholar] [CrossRef] [PubMed]
- Di Marcantonio, C.; Chiavola, A.; Dossi, S.; Cecchini, G.; Leoni, S.; Frugis, A.; Spizzirri, M.; Boni, M.R. Occurrence, seasonal variations and removal of Organic Micropollutants in 76 Wastewater Treatment Plants. Process. Saf. Environ. Prot. 2020, 141, 61–72. [Google Scholar] [CrossRef]
- He, J.; Yang, X.; Men, B.; Wang, D. Interfacial mechanisms of heterogeneous Fenton reactions catalyzed by iron-based materials: A review. J. Environ. Sci. 2016, 39, 97–109. [Google Scholar] [CrossRef]
- López-Vinent, N.; Cruz-Alcalde, A.; Gutiérrez, C.; Marco, P.; Giménez, J.; Esplugas, S. Micropollutant removal in real WW by photo-Fenton (circumneutral and acid pH) with BLB and LED lamps. Chem. Eng. J. 2020, 379, 122416. [Google Scholar] [CrossRef]
- Díaz-Angulo, J.; Cotillas, S.; Gomes, A.I.; Miranda, S.M.; Mueses, M.; Machuca-Martínez, F.; Rodrigo, M.A.; Boaventura, R.A.; Vilar, V.J. A tube-in-tube membrane microreactor for tertiary treatment of urban wastewaters by photo-Fenton at neutral pH: A proof of concept. Chemosphere 2020, 263, 128049. [Google Scholar] [CrossRef] [PubMed]
- Clarizia, L.; Russo, D.; Di Somma, I.; Marotta, R.; Andreozzi, R. Homogeneous photo-Fenton processes at near neutral pH: A review. Appl. Catal. B Environ. 2017, 209, 358–371. [Google Scholar] [CrossRef]
- Arzate, S.; Campos-Mañas, M.; Miralles-Cuevas, S.; Agüera, A.; Sánchez, J.G.; Pérez, J.S. Removal of contaminants of emerging concern by continuous flow solar photo-Fenton process at neutral pH in open reactors. J. Environ. Manag. 2020, 261, 110265. [Google Scholar] [CrossRef]
- Lin, H.H.-H.; Lin, A.Y.-C. Solar photo-Fenton oxidation of cytostatic drugs via Fe(III)-EDDS at circumneutral pH in an aqueous environment. J. Water Process. Eng. 2021, 41, 102066. [Google Scholar] [CrossRef]
- Dong, W.Y. Jin, K. Zhou, S.P. Sun, Y. Li, X.D. Chen, Efficient degradation of pharmaceutical micropollutants in water and wastewater by FeIII-NTA-catalyzed neutral photo-Fenton process. Sci. Total Environ. 2019, 688, 513–520. [Google Scholar] [CrossRef] [PubMed]
- Oller, I.; Malato, S. Photo-Fenton applied to the removal of pharmaceutical and other pollutants of emerging concern. Curr. Opin. Green Sustain. Chem. 2021, 29, 100458. [Google Scholar] [CrossRef]
- García, L.; Leyva-Díaz, J.C.; Díaz, E.; Ordóñez, S. A review of the adsorption-biological hybrid processes for the abatement of emerging pollutants: Removal efficiencies, physicochemical analysis, and economic evaluation. Sci. Total. Environ. 2021, 780, 146554. [Google Scholar] [CrossRef]
- Telgmann, U.; Borowska, E.; Felmeden, J.; Frechen, F.-B. The locally resolved filtration process for removal of phosphorus and micropollutants with GAC. J. Water Process. Eng. 2020, 35, 101236. [Google Scholar] [CrossRef]
- Paredes, L.; Alfonsin, C.; Allegue, T.; Omil, F.; Carballa, M. Integrating granular activated carbon in the post-treatment of membrane and settler effluents to improve organic micropollutants removal. Chem. Eng. J. 2018, 345, 79–86. [Google Scholar] [CrossRef]
- Mo, W.; Cornejo, P.K.; Malley, J.P.; Kane, T.E.; Collins, M.R. Life cycle environmental and economic implications of small drinking water system upgrades to reduce disinfection byproducts. Water Res. 2018, 143, 155–164. [Google Scholar] [CrossRef]
- Durna, E.; Erkişi, E.; Genç, N. Regeneration of diclofenac-spent granular activated carbon by sulphate radical based methods: Multi-response optimisation of adsorptive capacity and operating cost. Int. J. Environ. Anal. Chem. 2020, 102, 4695–4709. [Google Scholar] [CrossRef]
- Larasati, A.; Fowler, G.D.; Graham, N.J. Extending granular activated carbon (GAC) bed life: A column study of in-situ chemical regeneration of pesticide loaded activated carbon for water treatment. Chemosphere 2021, 286, 131888. [Google Scholar] [CrossRef]
- Genç, N.; Durna, E.; Erkişi, E. Optimization of the adsorption of diclofenac by activated carbon and the acidic regeneration of spent activated carbon. Water Sci. Technol. 2020, 83, 396–408. [Google Scholar] [CrossRef]
- Michael, S.G.; Michael-Kordatou, I.; Beretsou, V.G.; Jäger, T.; Michael, C.; Schwartz, T.; Fatta-Kassinos, D. Solar photo-Fenton oxidation followed by adsorption on activated carbon for the minimisation of antibiotic resistance determinants and toxicity present in urban wastewater. Appl. Catal. B Environ. 2019, 244, 871–880. [Google Scholar] [CrossRef]
- Della-Flora, A.; Wilde, M.L.; Thue, P.S.; Lima, D.; Lima, E.C.; Sirtori, C. Combination of solar photo-Fenton and adsorption process for removal of the anticancer drug Flutamide and its transformation products from hospital wastewater. J. Hazard. Mater. 2020, 396, 122699. [Google Scholar] [CrossRef]
- Khalil, A.; Nasser, W.S.; Osman, T.; Toprak, M.S.; Muhammed, M.; Uheida, A. Surface modified of polyacrylonitrile nanofibers by TiO2/MWCNT for photodegradation of organic dyes and pharmaceutical drugs under visible light irradiation. Environ. Res. 2019, 179, 108788. [Google Scholar] [CrossRef]
- Gemeay, A.H.; El-Halwagy, M.E.; El-Sharkawy, R.G.; Zaki, A.B. Chelation mode impact of copper(II)-aminosilane complexes immobilized onto graphene oxide as an oxidative catalyst. J. Environ. Chem. Eng. 2017, 5, 2761–2772. [Google Scholar] [CrossRef]
- Liao, H.; Stenman, D.; Jonsson, M. Study of Indigo carmine as radical probe in photocatalysis. J. Photochem. Photobiol. A Chem. 2009, 202, 86–91. [Google Scholar] [CrossRef]
- Azam, K.; Shezad, N.; Shafiq, I.; Akhter, P.; Akhtar, F.; Jamil, F.; Shafique, S.; Park, Y.-K.; Hussain, M. A review on activated carbon modifications for the treatment of wastewater containing anionic dyes. Chemosphere 2022, 306, 135566. [Google Scholar] [CrossRef]
- Chowdhury, M.F.; Khandaker, S.; Sarker, F.; Islam, A.; Rahman, M.T.; Awual, M.R. Current treatment technologies and mechanisms for removal of indigo carmine dyes from wastewater: A review. J. Mol. Liq. 2020, 318, 114061. [Google Scholar] [CrossRef]
- El-Kammah, M.; Elkhatib, E.; Gouveia, S.; Cameselle, C.; Aboukila, E. Enhanced removal of Indigo Carmine dye from textile effluent using green cost-efficient nanomaterial: Adsorption, kinetics, thermodynamics and mechanisms. Sustain. Chem. Pharm. 2022, 29, 100753. [Google Scholar] [CrossRef]
- Tien, H.N.; Bui, D.N.; Manh, T.D.; Tram, N.T.; Ngo, V.D.; Mwazighe, F.M.; Hoang, H.Y.; Le, V.T. Electrochemical degradation of indigo carmine, P-nitrosodimethylaniline and clothianidin on a fabricated Ti/SnO2–Sb/Co-βPbO2 electrode: Roles of radicals, water matrices effects and performance. Chemosphere 2023, 313, 137352. [Google Scholar] [CrossRef] [PubMed]
- Lekshmi, K.V.; Yesodharan, S.; Yesodharan, E. MnO2 efficiently removes indigo carmine dyes from polluted water. Heliyon 2018, 4, e00897. [Google Scholar] [CrossRef] [PubMed]
- Ghanmi, I.; Sassi, W.; Oulego, P.; Collado, S.; Ghorbal, A.; Díaz, M. Optimization and comparison study of adsorption and photosorption processes of mesoporous nano-TiO2 during discoloration of Indigo Carmine dye. Microporous Mesoporous Mater. 2022, 342, 112138. [Google Scholar] [CrossRef]
- Saikam, L.; Arthi, P.; Jayram, N.D.; Sykam, N. Rapid removal of organic dyes from aqueous solutions using mesoporous exfoliated graphite. Diam. Relat. Mater. 2022, 130, 109480. [Google Scholar] [CrossRef]
- De la Cruz, N.; Esquius, L.; Grandjean, D.; Magnet, A.; Tungler, A.; de Alencastro, L.; Pulgarín, C. Degradation of emergent contaminants by UV, UV/H2O2 and neutral photo-Fenton at pilot scale in a domestic wastewater treatment plant. Water Res. 2013, 47, 5836–5845. [Google Scholar] [CrossRef]
- Miklos, D.B.; Hartl, R.; Michel, P.; Linden, K.G.; Drewes, J.E.; Hübner, U. UV/H2O2 process stability and pilot-scale validation for trace organic chemical removal from wastewater treatment plant effluents. Water Res. 2018, 136, 169–179. [Google Scholar] [CrossRef]
- Zietzschmann, F.; Müller, J.; Sperlich, A.; Ruhl, A.S.; Meinel, F.; Altmann, J.; Jekel, M. Rapid small-scale column testing of granular activated carbon for organic micro-pollutant removal in treated domestic wastewater. Water Sci. Technol. 2014, 70, 1271–1278. [Google Scholar] [CrossRef]
- Ramos, R.O.; Albuquerque, M.V.; Lopes, W.S.; Sousa, J.T.; Leite, V.D. Degradation of indigo carmine by photo-Fenton, Fenton, H2O2/UV-C and direct UV-C: Comparison of pathways, products and kinetics. J. Water Process. Eng. 2020, 37, 101535. [Google Scholar] [CrossRef]
- Wroch, E. Adsorption Technology in Water Treatment: Fundamentals, Processes and Modeling, 2nd ed.; De Gruyter: Berlin, Germany, 2021. [Google Scholar]
- Kumar, J.A.; Kumar, P.S.; Krithiga, T.; Prabu, D.; Amarnath, D.J.; Sathish, S.; Venkatesan, D.; Hosseini-Bandegharaei, A.; Prashant, P. Acenaphthene adsorption onto ultrasonic assisted fatty acid mediated porous activated carbon-characterization, isotherm and kinetic studies. Chemosphere 2021, 284, 131249. [Google Scholar] [CrossRef]
- Katsigiannis, A.; Noutsopoulos, C.; Mantziaras, J.; Gioldasi, M. Removal of emerging pollutants through Granular Activated Carbon. Chem. Eng. J. 2015, 280, 49–57. [Google Scholar] [CrossRef]
- Sun, Y.; Pignatello, J.J. Photochemical reactions involved in the total mineralization of 2,4-D by iron(3+)/hydrogen peroxide/UV. Environ. Sci. Technol. 1993, 27, 304–310. [Google Scholar] [CrossRef]
- Arslan-Alaton, I.; Tureli, G.; Olmez-Hanci, T. Treatment of azo dye production wastewaters using Photo-Fenton-like advanced oxidation processes: Optimization by response surface methodology. J. Photochem. Photobiol. A Chem. 2009, 202, 142–153. [Google Scholar] [CrossRef]
- Mitsika, E.E.; Christophoridis, C.; Kouinoglou, N.; Lazaridis, N.; Zacharis, C.K.; Fytianos, K. Optimized Photo-Fenton degradation of psychoactive pharmaceuticals alprazolam and diazepam using a chemometric approach—Structure and toxicity of transformation products. J. Hazard. Mater. 2020, 403, 123819. [Google Scholar] [CrossRef] [PubMed]
- Palma-Goyes, R.E.; Silva-Agredo, J.; González, I.; Torres-Palma, R.A. Comparative degradation of indigo carmine by electrochemical oxidation and advanced oxidation processes. Electrochimica Acta 2014, 140, 427–433. [Google Scholar] [CrossRef]
- Lumbaque, E.C.; Araújo, D.S.; Klein, T.M.; Tiburtius, E.R.L.; Argüello, J.; Sirtori, C. Solar photo-Fenton-like process at neutral pH: Fe(III)-EDDS complex formation and optimization of experimental conditions for degradation of pharmaceuticals. Catal. Today 2019, 328, 259–266. [Google Scholar] [CrossRef]
- Land Brandenburg. Strategischen Gesamtplan zur Senkung der Bergbaubedingten Stoffeinträge in die Spree und deren Zuflüsse in der Lausitz. 2015. Available online: https://mluk.brandenburg.de/mluk/de/umwelt/wasser/bergbaufolgen-fuer-den-wasserhaushalt/# (accessed on 9 February 2024).
- Nippes, R.P.; Macruz, P.D.; Scaliante, M.H.N.O. Toxicity reduction of persistent pollutants through the photo-fenton process and radiation/H2O2 using different sources of radiation and neutral pH. J. Environ. Manag. 2021, 289, 112500. [Google Scholar] [CrossRef] [PubMed]
- Mejri, A.; Soriano-Molina, P.; Miralles-Cuevas, S.; Pérez, J.A.S. Fe3+-NTA as iron source for solar photo-Fenton at neutral pH in raceway pond reactors. Sci. Total. Environ. 2020, 736, 139617. [Google Scholar] [CrossRef] [PubMed]
- Soriano-Molina, P.; De la Obra, I.; Miralles-Cuevas, S.; Gualda-Alonso, E.; López, J.C.; Pérez, J.S. Assessment of different iron sources for continuous flow solar photo-Fenton at neutral pH for sulfamethoxazole removal in actual MWWTP effluents. J. Water Process. Eng. 2021, 42, 102109. [Google Scholar] [CrossRef]
- Nunes, K.G.P.; Sfreddo, L.W.; Rosset, M.; Féris, L.A. Efficiency evaluation of thermal, ultrasound and solvent techniques in activated carbon regeneration. Environ. Technol. 2020, 42, 4189–4200. [Google Scholar] [CrossRef]
- Kempisty, D.M.; Arevalo, E.; Spinelli, A.M.; Edeback, V.; Dickenson, E.R.V.; Husted, C.; Higgins, C.P.; Summers, R.S.; Knappe, D.R.U. Granular activated carbon adsorption of perfluoroalkyl acids from ground and surface water. AWWA Water Sci. 2022, 4, e1269. [Google Scholar] [CrossRef]
- Dutta, T.; Kim, T.; Vellingiri, K.; Tsang, D.C.; Shon, J.; Kim, K.-H.; Kumar, S. Recycling and regeneration of carbonaceous and porous materials through thermal or solvent treatment. Chem. Eng. J. 2019, 364, 514–529. [Google Scholar] [CrossRef]
- Han, C.-H.; Park, H.-D.; Kim, S.-B.; Yargeau, V.; Choi, J.-W.; Lee, S.-H.; Park, J.-A. Oxidation of tetracycline and oxytetracycline for the photo-Fenton process: Their transformation products and toxicity assessment. Water Res. 2020, 172, 115514. [Google Scholar] [CrossRef]
- Lumbaque, E.C.; Becker, R.W.; Araújo, D.S.; Dallegrave, A.; Ost Fracari, T.; Lavayen, V.; Sirtori, C. Degradation of pharmaceuticals in different water matrices by a solar homo/heterogeneous photo-Fenton process over modified alginate spheres. Environ. Sci. Pollut. Res. 2019, 26, 6532–6544. [Google Scholar] [CrossRef]
- Belalcázar-Saldarriaga, A.; Prato-Garcia, D.; Vasquez-Medrano, R. Photo-Fenton processes in raceway reactors: Technical, economic, and environmental implications during treatment of colored wastewaters. J. Clean. Prod. 2018, 182, 818–829. [Google Scholar] [CrossRef]
- Miralles-Cuevas, S.; Oller, I.; Agüera, A.; Pérez, J.A.S.; Sánchez-Moreno, R.; Malato, S. Is the combination of nanofiltration membranes and AOPs for removing microcontaminants cost effective in real municipal wastewater effluents? Environ. Sci. Water Res. Technol. 2016, 2, 511–520. [Google Scholar] [CrossRef]




0.75 g L−1 GAC, ★ 1 g L−1 GAC.
0.75 g L−1 GAC, ★ 1 g L−1 GAC.



| Source | Sum of Square | Degree of Freedom | Mean Square | F-Value | p-Value | |
|---|---|---|---|---|---|---|
| 500 W MP Lamp | ||||||
| Quadratic model | 1581.88 | 5 | 316.38 | 96.68 | 0.003 | Significant |
| A-Iron | 870.92 | 1 | 870.92 | 266.14 | <0.0001 | |
| B-H2O2 | 333.48 | 1 | 333.48 | 101.91 | 0.0005 | |
| AB | 5.64 | 1 | 5.64 | 1.72 | 0.2595 | |
| A2 | 330.88 | 1 | 330.88 | 101.11 | 0.0006 | |
| B2 | 97.71 | 197.71 | 29.86 | 0.0055 | ||
| Residual | 13.09 | 4 | 3.27 | Not significant | ||
| Lack of fit | 8.94 | 3 | 2.98 | |||
| Pure error | 4.15 | 1 | 4.15 | |||
| 40 W LP Lamp | ||||||
| Lineal model | 944.07 | 2 | 472.04 | 12.54 | 0.0048 | Significant |
| A-Iron | 681.81 | 1 | 681.81 | 18.11 | 0.0038 | |
| B-H2O2 | 262.26 | 1 | 262.26 | 6.96 | 0.0335 | |
| Residual | 2.63.59 | 7 | 37.66 | |||
| Lack of fit | 261.55 | 6 | 43.59 | 21.37 | 0.1641 | Not significant |
| Pure error | 2.04 | 1 | 2.04 | |||
| CarboTech DGF 8x30 GL | NRS Carbon 0.5–2.5 | ||
|---|---|---|---|
| First-order kinetic | q | 86.38 | 73.21 |
| K | 5.601 x 10-4 | 6.069 x 10-4 | |
| R2 | 0.992 | 0.999 | |
| Second-order kinetic | A | 0.477 | 0.479 |
| B | 0.016 | 0.018 | |
| R2 | 0.884 | 0.897 |
| Photo-Fenton | GAC Columns | Combination of Processes | |||
|---|---|---|---|---|---|
| CarboTech DGF 8x30 GL | NRS Carbon GA 0.5–2.5 | CarboTech DGF 8x30 GL | NRS Carbon GA 0.5–2.5 | ||
| Energy (€/m3) | 0.059 | -- | -- | 0.010 | 0.010 |
| GAC cost (€/m3) | -- | 0.060 | 0.055 | 0.008 | 0.015 |
| Reagents (€/m3) | 0.144 | -- | -- | 0.144 | 0.144 |
| Total (€/m3) | 0.203 | 0.060 | 0.055 | 0.161 | 0.169 |
Disclaimer/Publisher’s Note: The statements, opinions and data contained in all publications are solely those of the individual author(s) and contributor(s) and not of MDPI and/or the editor(s). MDPI and/or the editor(s) disclaim responsibility for any injury to people or property resulting from any ideas, methods, instructions or products referred to in the content. |
© 2024 by the authors. Licensee MDPI, Basel, Switzerland. This article is an open access article distributed under the terms and conditions of the Creative Commons Attribution (CC BY) license (https://creativecommons.org/licenses/by/4.0/).
Share and Cite
Núñez-Tafalla, P.; Salmerón, I.; Venditti, S.; Hansen, J. Combination of Photo-Fenton and Granular Activated Carbon for the Removal of Microcontaminants from Municipal Wastewater via an Acidic Dye. Sustainability 2024, 16, 1605. https://doi.org/10.3390/su16041605
Núñez-Tafalla P, Salmerón I, Venditti S, Hansen J. Combination of Photo-Fenton and Granular Activated Carbon for the Removal of Microcontaminants from Municipal Wastewater via an Acidic Dye. Sustainability. 2024; 16(4):1605. https://doi.org/10.3390/su16041605
Chicago/Turabian StyleNúñez-Tafalla, Paula, Irene Salmerón, Silvia Venditti, and Joachim Hansen. 2024. "Combination of Photo-Fenton and Granular Activated Carbon for the Removal of Microcontaminants from Municipal Wastewater via an Acidic Dye" Sustainability 16, no. 4: 1605. https://doi.org/10.3390/su16041605
APA StyleNúñez-Tafalla, P., Salmerón, I., Venditti, S., & Hansen, J. (2024). Combination of Photo-Fenton and Granular Activated Carbon for the Removal of Microcontaminants from Municipal Wastewater via an Acidic Dye. Sustainability, 16(4), 1605. https://doi.org/10.3390/su16041605

