Next Article in Journal
Financial Perspectives on Human Capital: Building Sustainable HR Strategies
Next Article in Special Issue
Substantial and Rapid Increase in Soil Health across Crops with Conversion from Conventional to Regenerative Practices
Previous Article in Journal
Enhancing Cultural Sustainability: Making Rescue Excavations Accessible through Educational Applications and Virtual Reality
Previous Article in Special Issue
Corn Grain Fatty Acid Contents in Response to Organic Fertilisers from Meat Industry Waste
 
 
Font Type:
Arial Georgia Verdana
Font Size:
Aa Aa Aa
Line Spacing:
Column Width:
Background:
Article

Intercropped Maize and Cowpea Increased the Land Equivalent Ratio and Enhanced Crop Access to More Nitrogen and Phosphorus Compared to Cultivation as Sole Crops

by
Paulo Dimande
1,2,3,
Margarida Arrobas
3,4 and
Manuel Ângelo Rodrigues
3,4,*
1
Escola Superior de Desenvolvimento Rural, Universidade Eduardo Mondlane, Bairro 5º Congresso, VilanKulos 1304, Mozambique
2
Universidade de Trás-os-Montes e Alto Douro, Quinta de Prados, 5000-801 Vila Real, Portugal
3
Centro de Investigação de Montanha (CIMO), Instituto Politécnico de Bragança, Campus de Santa Apolónia, 5300-253 Bragança, Portugal
4
Laboratório para a Sustentabilidade e Tecnologia em Regiões de Montanha, Instituto Politécnico de Bragança, Campus de Santa Apolónia, 5300-253 Bragança, Portugal
*
Author to whom correspondence should be addressed.
Sustainability 2024, 16(4), 1440; https://doi.org/10.3390/su16041440
Submission received: 19 January 2024 / Revised: 3 February 2024 / Accepted: 5 February 2024 / Published: 8 February 2024
(This article belongs to the Special Issue Soil Fertility Maintenance and Restoration in Sustainable Agriculture)

Abstract

Sub-Saharan African smallholder farmers face challenges due to limited access to commercial fertilizers, affecting food security. Exploring the benefits of intercropping is promising, but evaluating crop performance in specific agroecological contexts is crucial. This study in Vilankulo, Mozambique, conducted over two growth seasons (2018 and 2019), aimed to assess the benefits of intercropping maize (Zea mays L.) and cowpea (Vigna unguiculata L., Walp) (M+C) compared to maize (M) and cowpea (C) as sole crops. Key variables for comparison included dry matter yield (DMY), land equivalent ratio (LER), competitive ratio (CR), tissue nutrient concentration, nutrient recovery, and apparent N fixation (ANF). This study also examined the effects on cabbage (Brassica oleracea L.), cultivated as a succeeding crop, and soil properties. In 2018, maize plants were severely affected by drought and did not produce grain. This year, cowpea grain yields were 2.26 and 1.35 t ha−1 when grown as sole crop or intercropped. In 2019, maize grain yield was 6.75 t ha−1 when intercropped, compared to 5.52 t ha−1 as a sole crop. Cowpea grain yield was lower when intercropped (1.51 vs. 2.25 t ha−1). LER values exceeded 1 (1.91 and 1.53 for grain and straw in 2019), indicating improved performance in intercropping compared to sole crops. In 2019, CR was 1.96 for maize grain and 0.58 for cowpea grain, highlighting the higher competitiveness of maize over cowpea. Cowpea exhibited higher average leaf nitrogen (N) concentration (25.4 and 37.6 g kg−1 in 2018 and 2019, respectively) than maize (13.0 and 23.7 g kg−1), attributed to its leguminous nature with access to atmospheric N, benefiting the growth of maize in intercropping and cabbage cultivated as a succeeding crop. Cowpea also appears to have contributed to enhanced phosphorus (P) absorption, possibly due to access to sparingly soluble P forms. In 2019, ANF in M+C was 102.5 kg ha−1, over 4-fold higher than in C (25.0 g kg−1), suggesting maize accessed more N than could cowpea provide, possibly through association with endophytic diazotrophs commonly found in tropical grasses.

1. Introduction

In most Southern African countries, including Mozambique, low soil fertility has consistently been identified as a major constraint to agricultural productivity. Soils with low inherent fertility often exhibit low levels of organic matter, high acidity, and consequently, limited nutrient availability and are responsible for low yields [1,2]. The loss of soil fertility in Sub-Saharan Africa is primarily attributed to continuous cultivation and is widely recognized as the greatest threat to maintaining crop productivity [3,4]. Farming practices that contribute to a decrease in soil pH, such as the long-term use of nitrogen (N) fertilizers, must also be avoided [5,6]. To counter the trend of soil fertility loss, which can jeopardize the food security of small-scale farmers, it is usually recommended to use organic amendments and adopt practices that increase the amount of crop residues left on the soil [7,8]. If crop residues are not removed from the field, they can enhance soil organic matter and nutrient cycling, particularly important in acidic tropical soils with a sandy texture [9,10,11]. Intercropping practices can also benefit soil fertility, being seen as very important for regions of the world where farmers have limited access to industrial fertilizers, and, not requiring external inputs, they are easy to implement [1,2].
Farmers commonly practice intercropping, and the plant combinations most studied by scholars typically involve legumes and grasses. This is primarily based on the legumes’ ability to access atmospheric N and the high avidity of the grasses in absorbing N from the soil [12]. Nodulated legumes have access to atmospheric N by establishing symbiotic relationships with N-fixing microorganisms, known as diazotrophs. This allows them to obtain N for their normal growth without the need for external addition of the nutrient [13]. The benefits of cultivating legumes extend beyond the use of the nutrient fixed by the legume itself, as part of the N entering the system can be used by species grown in intercropping or that follow in rotation [12,13].
The intercropping of cereals and legumes in several spatial arrangements usually leads to improved land productivity, N availability, and economic returns, making it an essential component in the development of more sustainable farming systems [14]. In Algeria, Benider et al. [15] studied the effect of three cereals, namely triticale (×Triticosecale Wittmack), oats (Avena sativa L.), and barley (Hordeum vulgare L.), in association with forage pea (Pisum sativum L.) and common vetch (Vicia sativa L.), on grain yield. The results showed that the triticale-pea and barley-pea intercrops provided the highest grain yields and average weights of 1000 grains. Maize (Zea mays L.)-legume intercrops can also provide protein-rich food in low-input agricultural systems, bringing overall benefits to soil fertility conservation, pest management, and animal feed [16,17]. In Malawi, a three-year study was carried out to compare the performance of maize–legume intercropping under conservation agriculture and conventional tillage on twelve farms [18]. Legume production varied with species and farm, but maize production was higher in the second (by 1.4 t ha−1) and third (by 3.2 t ha−1) growing seasons in conservation agriculture compared to conventional cultivation. In North China, Guo et al. [19] observed that maize–peanut (Arachis hypogaea L.) intercropping led to an increase in beneficial soil microorganisms, enhancing phosphonate and phosphinate metabolism, providing more available phosphorus (P) for crops.
Intercropping, however, does not always lead to increased productivity. The most used intercropping strategy, planting legumes in between or within the same maize rows, can create excessive competition between the two crops [20]. The relative contribution of each of the ‘4C effects’ (complementarity, cooperation, compensation, and competition) determines the result and can emphasize the yield advantages of intercropping [21]. The challenge to improve the intercropping consists of optimizing agronomic traits that reduce the negative effect of competition and, at the same time, improve the aspects of complementarity, cooperation, and compensation [17,21]. Estimating the land equivalent ratio (LER) in intercrops also leads to an understanding of the interactions affecting yields. LER is defined as the relative land area required as sole crops to produce the same yields as intercropping [20] and has been successively used in many studies, providing valuable information for the management of intercrops [14,18,22,23,24].
However, the results published so far show that the benefits of intercropping can vary with the species involved and the local agroecological conditions. In Sub-Saharan Africa, numerous studies on intercropping have already been conducted [18,25,26]. However, the subject continues to draw the attention of many researchers due to the inherent opportunity for achieving sustainable soil fertility management in small-scale farming systems. Mozambique is a Southern African country, where the studies already conducted have not yet produced sufficient data to enable small-scale farmers to adopt intercropping techniques for profit optimization. Some of the most important crops in the country are maize and cowpea (Vigna unguiculata L., Walp.). The productions of these crops in 2021 were 2,100,000 and 81,819 t, respectively, but yields were low (1123, and 238 kg ha−1, respectively) and have practically not increased in the last thirty years [27]. This indicates that greater effort is needed to optimize cropping practices on a local scale.
This study reports a field experiment carried out in sandy soil in the Vilankulo district, Southern Mozambique, where a maize–cowpea intercrop was compared with sole cropping of maize and cowpea. The effects of treatments were evaluated using data on grain yield, elemental composition of plant tissues, nutrient removal by plants, soil fertility variables, and competition indices. The hypothesis put forward is that intercropping brings measurable advantages to the system compared to sole cropping of each species.

2. Materials and Methods

2.1. Site Description

This study was carried out in Vilankulo district, Southern Mozambique, at the experimental farm of the Escola Superior de Desenvolvimento Rural, Eduardo Mondlane University (ESUDER–UEM), in the geographic coordinates 21°59′31″ S, 35°16′18″ E.
Vilankulo is characterized by a semi-arid climate. Under the Köppen classification system, it lies in the Aw type (dry winter) [28]. Vilankulo experiences two distinct seasons throughout the year. The first, from October to March, is characterized by hot temperatures and abundant rainfall. The second season, lasting from April to September, brings cooler and drier conditions. The rainfall in this region is erratic, with a long-term (normal) annual precipitation of 677 mm and an average temperature of 24.2 °C [29]. The monthly variations in precipitation and temperature are shown in Figure 1.
The soil is a haplic Lixosol [30], developed from limestone. The soil properties of the plots where the experiments were conducted were determined from soil samples taken at the outset of the experiments from a depth of 0–0.20 m (Table 1).

2.2. Experimental Design and Crop Management

The field experiments were carried out during the growing seasons of 2017/2018 and 2019. The experiment was laid out as a completely randomized design with three treatments and three replicates. The treatments consisted of the following cropping systems: intercropping of maize and cowpea (M+C) and sole cropping of maize (M) and cowpea (C). The treatments were arranged in plots measuring 6.0 × 2.4 m and the crops were grown in the hot season under rainfed conditions.
The plot where the experiment took place was fallow, having not been cultivated the previous year. At the beginning of the hot season in October, the soil was manually prepared using a hoe. Fertilizers were not applied in the plots, as the objective was to emphasize the intercropping role in the efficient use of nutrients available in the soil and in the N fixed from the atmosphere by legume species.
In the growing season of 2017/2018, the seeding of maize and cowpea took place on 9 November 2017. Cowpea was harvested on 25 January 2018, and maize was harvested on 11 March 2018. In the 2018/2019 growing season, the experiment followed a similar procedure to the first season, with the sowing of maize and cowpea on 26 February 2019. Cowpea was harvested on 30 April 2019, and maize on 27 May 2019. The maize and cowpea crops were not irrigated; they were rainfed during the two years of this study.
The seeds of the open-pollinated cultivar of cowpea (IT16) and the maize hybrid (MRI 514) were sown in rows 0.8 m apart and spaced 0.30 m within rows. The consortium was arranged in alternating rows of cereal and legume with the same seed spacing.
After harvesting sole crops and the intercrop, crop residues were left on the ground as soil amendments. Plots were then cultivated with cabbage, simulating a rotational cropping sequence. The open-pollinated cultivar of cabbage, ‘Tronchuda’, was grown in the fresh season under furrow irrigation. Cabbage was transplanted at the phenological stage 13 of the Biologische Bundesanstalt, Bundessortenamt und Chemische Industrie (BBCH) scale [31], corresponding to the third true leaf unfolded, with an inter-row and row spacing of 0.25 × 0.25 m. In 2018, cabbage was transplanted on 25 May and harvested on 30 July, and in 2019, it was planted on 24 August and harvested on September 13.

2.3. Field Measurements and Plant and Soil Sampling

Leaf samples were collected at the end of the vegetative stage before flowering to monitor the nutritional status of the plants. Using the BBCH scale [31], maize leaves were collected at phenological stage 39, during stem elongation; cowpea was sampled at stage 39 during stem elongation when more than nine extended internodes were visible. Twelve fully expanded leaves were taken according to the procedure reported by Bryson et al. [32].
Maize and cowpea were harvested by hand. The maize harvest occurred at phenological stage 89, when the maize was fully ripe, with hard and shiny grains, and cowpea was harvested when fully ripe, with most pods dark and seeds dry and hard. Cabbage was also manually harvested at phenological stage 48, when it reached 80% of the maximum size for the variety. The grain of maize and cowpea was separated from the husk, and this part was added to the straw to obtain grain yield and total aboveground biomass.
Soil sampling was conducted at the beginning of the experiments to initially characterize the plots (Table 1). At the end of the second intercropping trial, composite soil samples were taken again (5 individual cores per composite sample) at the same depth to assess the effects of the treatments on soil properties.

2.4. Laboratory Analyses

After air-dried and sieved (2 mm mesh), soil samples underwent various analytical procedures. Soil pH (H2O and KCl) at a soil-to-solution ratio of 1:2.5 was determined by potentiometry. Exchangeable bases were extracted by ammonium acetate (pH 7.0) and organic C determined by wet digestion (Walkley–Black method). P and potassium (K) were extracted by ammonium lactate (Egner–Riehm method) and boron (B) by hot water (azomethine-H method). For further details on these analytical procedures, please refer to Van Reeuwijk [33]. The availability of other micronutrients [Copper (Cu), iron (Fe), zinc (Zn), and manganese (Mn)] in the soil was determined by atomic absorption spectrometry after extraction with ammonium acetate and EDTA [34].
Tissue samples (maize and cowpea grain, leaves and stalks, and whole cabbage) were oven-dried at 70 °C, ground through a 1 mm mesh, and subjected to elemental tissue analyses. The analyses involved the use of Kjeldahl method for N, colorimetry for B and P, flame emission spectrometry for K, and atomic absorption spectrophotometry for calcium (Ca), magnesium (Mg), Cu, Fe, Zn, and Mn, as described by [35].

2.5. Competition Indices and Apparent Nitrogen Fixation

Grain yield and aboveground biomass of maize and cowpea were obtained after harvesting the crops. The yields were used to compare the different treatments and to calculate competition indices, namely LER and competitive ratio (CR). LER and CR were estimated according to the procedure first described by Mead and Willey [22] and subsequently adopted by other authors [16,23] using the following equations:
LER = LERm + LERl
L E R m = ( y m y m ) , L E R l = ( y l y l ) ,
where y m and y l are the yields of maize and cowpea as sole crops and y m i and y l i are the yields of maize and cowpea, respectively, as intercrops, and
C R m = ( L E R m L E R l ) × ( z l i z m i ) , C R l = ( L E R l L E R m ) × ( z m i z l i ) ,
where z l i is the sown proportion of legume in mixture with maize and z m i is the sown proportion of maize in the mixture.
Apparent N fixation was estimated using the difference method, where the N recovered in the legume is subtracted from the N recovered in the grass. The N recovered in the grass is believed to represent the N available in the soil, and the difference is considered the N fixed by the legume [13]. Thus,
Apparent N fixation = N recovered in plots with cowpea − N recovered in maize plots

2.6. Data Analysis

The data analysis was performed using the statistical software SPSS Statistics (version 25, IBM SPSS, Armonk, NY, USA). The normality and homogeneity of variances for the data were initially assessed using the Shapiro–Wilk test and Levene’s test, respectively. The effects of the treatments were compared using a one-way analysis of variance (ANOVA). If significant differences were detected (p < 0.05) and there were more than two treatments, means were separated using the Tukey honestly significant difference (HSD) test at a significance level of α = 0.05.

3. Results

3.1. Dry Matter Yield and Competition Indices of the Intercropping

In 2018, maize growth was severely affected by drought, and the plants did not produce grain. In 2019, maize grain yield differed significantly between treatments, being higher when both species were intercropped (6.75 t ha−1), compared to maize grown as sole crop (5.52 t ha−1) (Figure 2a). For cowpea, the opposite occurred; grain yield was significantly higher when cowpea was grown as sole crop (Figure 2b). In 2018, the average values were 2.26 and 1.35 t ha−1, and in 2019, they were 2.25 and 1.51 t ha−1, respectively, in treatments C and M+C. Maize straw production did not differ between treatments in either of the trial years (Figure 2c). Cowpea straw remained significantly higher in treatment C compared to M+C in the year 2018 (Figure 2d). In 2019, although the average value of treatment C was higher than that of treatment M+C, the difference was not statistically significant. Analyzing the total dry matter yield (DMY) of the two cultivated species in the three treatments, the average values in the M+C intercropping were significantly higher than those in the M treatment, and these were higher than those in the C treatment, both in 2018 and 2019 (Figure 2e). In 2018, the average values were 7.32, 5.67, and 3.93 t ha−1, and in 2019, they were 14.78, 11.95, and 4.09 t ha−1, respectively, in treatments M+C, M, and C.
The competition indices LER and CR were computed based on grain and straw yields to evaluate the influence of intercropping maize and cowpea in the experimental conditions (Table 2). The LER values for the intercropped systems exceeded 1, signifying enhanced performance compared to sole crops. More specifically, LER values were 1.51 for straw yield in 2018 and 1.53 and 1.91 for straw and grain yield in 2019, respectively, and these values are significantly higher than those of the sole crops. The CR values for maize were 1.40 for straw in 2018 and 1.33 for straw and 1.96 for grain in 2019. In contrast, cowpea had CR values of 0.75 for straw in 2018 and 0.90 for straw and 0.58 for grain in 2019. These findings indicate that, concerning competition, maize demonstrated higher competitiveness than cowpea in the experimental conditions under study.

3.2. Plant Nutritional Status and Nutrient Recovery

The N concentration in the leaves of cowpea and maize at the middle of the growing season provides information about the plants’ nutritional status and indirectly about nutrient uptake. In the case of cowpea, there was a tendency to show higher values in plants grown in intercropping compared to sole crop cultivation (Table 3). In 2018, significant differences were observed, with the average value in the M+C treatment reaching 30.4 g kg−1, while the value in the C treatment was 25.4 g kg−1. In 2019, the differences were not significant, but the average values remained higher in the M+C treatment (38.9 and 37.6 g kg−1). For maize, the N concentration in the leaves was not significantly influenced by the companion species in any of the study years.
For the other analyzed macronutrients (P, K, Ca, and Mg), there were also no significant differences in the elemental composition of the leaves when maize or cowpea was cultivated either alone or in intercropping (Table 3). Among the micronutrients, B showed higher average values in cowpea leaves when the plant was grown as a sole crop compared to intercropping, with significant differences observed in the values for 2018. Conversely, for maize, the average values were higher when the species was grown in intercropping than when cultivated as a sole crop, with significantly different values in the year 2019. For the other micronutrients (Fe, Mn, Zn, and Cu), there were no significant differences in their concentration in the leaves when the plants were cultivated either alone or in intercropping. When observing the nutrient concentration in the leaves of both species, whether grown as sole crops or in intercropping, notably higher concentrations of N, Ca, Mg, B, and Mn were found in cowpea leaves compared to maize leaves.
The amount of nutrient recovered by the plant at the end of the growing season results from the quantity of biomass produced and its nutrient concentration, effectively measuring the plant’s access to nutrients throughout the entire growth season. In 2018, cowpea was cultivated as a sole crop presented the highest average value (93.4 g kg−1) among the three treatments, but with no significant difference compared to intercropping (82.4 g kg−1) (Table 4). The M treatment resulted in a significantly lower value compared to the other treatments, reflecting the growth difficulties of maize during this growth season, where the plant did not even produce grain. In 2019, the N recovery was 217.1 kg ha−1 in the M+C treatment, significantly higher than the value observed in the C treatment (139.6 kg ha−1), and in the latter, higher than that obtained in the M treatment (114.6 kg ha−1).
Regarding the other nutrients, the presence of cowpea, whether alone or in mixture, seems to have contributed to the increase in the values of recovered P in the aboveground biomass of the plant (Table 5). The same trend was observed for Ca, Mg, and B, resulting from the higher concentration of these nutrients in both the grain and straw of cowpea compared to maize. For the other nutrients, the most significant driver affecting the amount of recovered nutrients appears to have been the production of dry matter rather than the nutrient concentration.
Apparent N fixation (ANF) was estimated by subtracting the N recovered in treatments including cowpea (C and M+C) from the M treatment (Table 4). In 2018, the values for treatments C and M+C were not very dissimilar (59.9 and 47.6 kg ha−1, respectively). However, in 2019, the values observed in the M+C treatment (102.5 kg ha−1) were more than 4-fold higher than the value recorded in C (25.0 g kg−1). This is noteworthy considering that maize is a grass and not a nodulated legume.

3.3. Cabbage Dry Matter Yield, Nutrient Concentration, and Nutrient Recovery

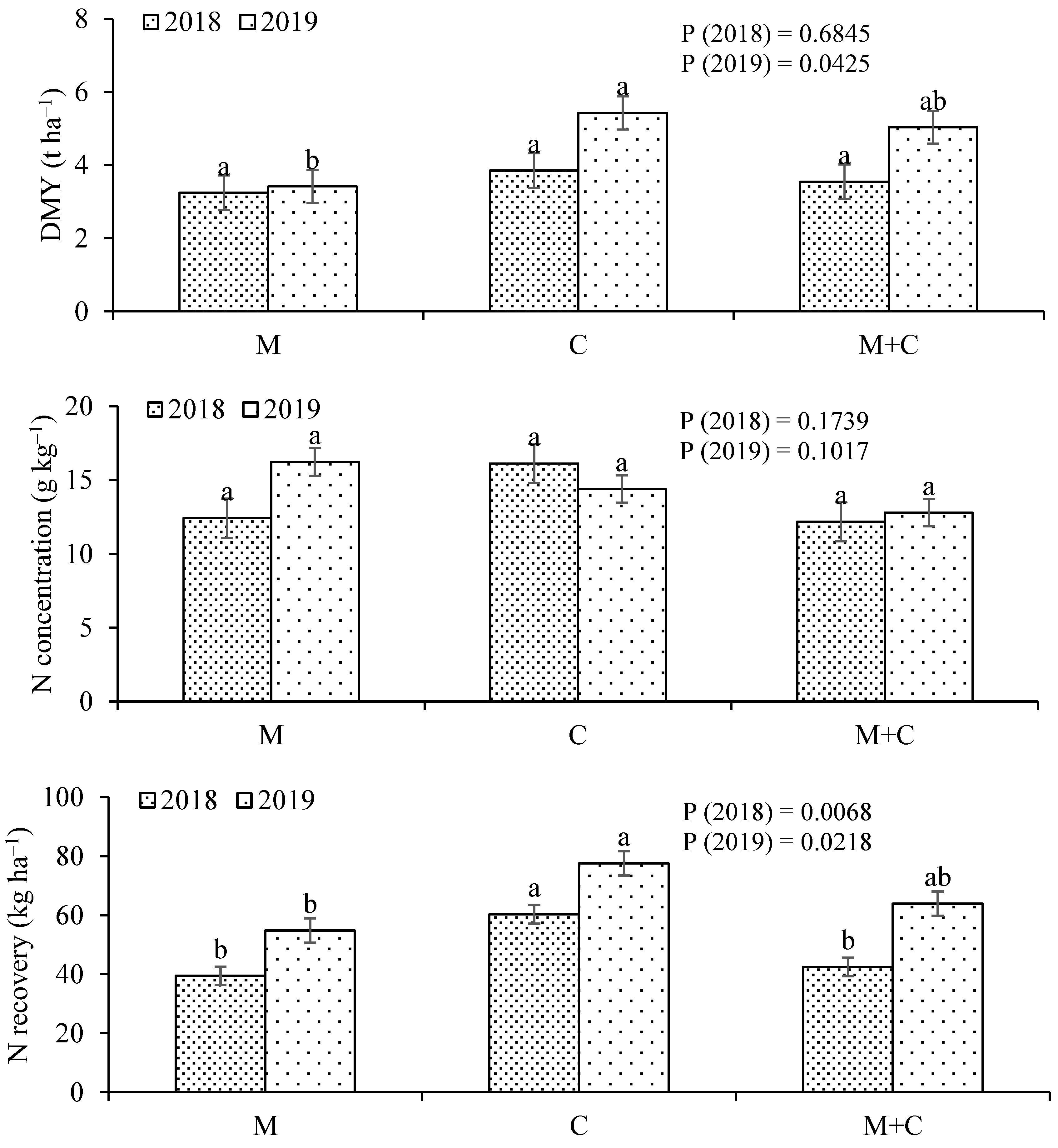
In 2018, no significant differences were found in cabbage DMY when the species was grown after maize, cowpea, and the intercropping (Figure 3). However, in 2019, cabbage plants grown after cowpea showed a significantly higher DMY than the plants grown after maize. N concentration in plant tissues did not differ between treatments in either of the years. On the other hand, N recovery, incorporating the effect of biomass production and its nutrient concentration, showed significant differences between treatments in both years. The highest average values of N recovered in cabbage were consistently obtained when it was cultivated following cowpea, being significantly different from the other two treatments in 2018 and only from the M treatment in 2019.
The concentration of other nutrients in cabbage tissues, apart from N, has been provided in the Supplementary Material (Table S1). Generally, no significant differences were observed between treatments, and when differences occurred sporadically, there was no consistency between the two trial years. The total quantity of other nutrients, excluding N, recovered in the aboveground part of the cabbage was also presented in Supplementary Material (Table S2). A consistent trend seems to be a higher amount of P in cabbage when cultivated after cowpea or intercropped compared to maize, with significant differences in 2019. This trend of higher values following cowpea cultivation was also noted for B. In the case of Mn, it is less consistent, as the values in 2018 show a tendency opposite to those in 2019.

3.4. Soil Properties

The impact of sole crops, intercropping, and cabbage rotation on soil properties was assessed following the 2019 experiment. Although no significant differences were observed for most soil properties among treatments, the results themselves hold scientific value. The results have been organized in Table 6 and Table 7. While soil conditions influence plant performance in various ways, providing nutrients, and cultivation similarly affects the soil through processes like organic substrate deposition and nutrient mining, the short-term effects of one year of cultivation in the conditions of this study did not significantly alter any of the analyzed variables related to soil fertility.

4. Discussion

4.1. Dry Matter Yield and Competition Indices

The productivity of maize appears to have benefited from intercropping with cowpea, while the productivity of cowpea was significantly penalized by intercropping with maize. On the other hand, the total DMY increased in intercropping compared to the cultivation of each species as sole crops. The results of competition indices appear to align with direct observation of DMYs. Therefore, when the LER is greater than 1, as observed in this study, it indicates enhanced performance of intercropping compared to each species cultivated as sole crops. Additionally, when the CR of one species is higher than that of another, it signifies a greater competitive capacity for the former [23,36]. In this study, the CR of maize was found to be higher than that of cowpea.
Growing two plant species in the same space at the same time leads to competition for resources, particularly for light, water, and minerals [20,21,24]. Maize is a tropical grass with C4 metabolism, and its tall growth provides excellent exposure to solar radiation, which can result in high photosynthesis rates [37,38]. Furthermore, its fasciculated root system allows for high root density, facilitating the absorption of water and nutrients [39]. Although legumes generally have taprooted systems along with N-fixing nodules that provide access to atmospheric N [12,13], under the agroecological conditions of this study, the characteristics of maize seem to confer a competitive advantage over cowpea when grown in intercropping. Other studies have also reported a reduction in the productive performance of cowpea when intercropped with maize, compared to sole cropping [24,36]. This may probably occur because cowpea plants, being shorter, are shaded by the maize and have less access to light.

4.2. Nutrient Acquisition

It was observed that the concentration of N in cowpea leaves was higher in intercropping compared to sole cropping. On the other hand, in maize, the N concentration in the leaves did not show significant variations between sole cropping and intercropping. The increase in N concentration in cowpea leaves during intercropping suggests a “concentration effect” due to the reduction in DMY. Competition with maize led to a decrease in cowpea DMY, probably due to competition for radiation and water, despite the legume having access to N. On the contrary, maize grown in intercropping may have had greater access to N than in sole cropping, due to the contribution of cowpea. However, due to the higher DMY, there was no corresponding increase in nutrient concentration in tissues due to a “dilution effect”. The results suggest that N may have been a limiting factor for maize growth, a thesis supported by the significantly lower N concentration values in maize leaves compared to the sufficiency range for the species [32]. The concentration/dilution effect of a given nutrient in plant tissues occurs when, for a given soil nutrient availability, there is variation in DMY due to other agro-environmental variables unrelated to nutrient acquisition [40,41,42,43].
The cowpea tissues showed higher concentrations of N. N is often the nutrient found in higher concentration in plant tissues, including leaves, due to its integration into a wide variety of organic structures such as amino acids and proteins, nucleic acids, and chlorophyll [12]. Nodulated legumes have access to atmospheric N, and their tissues typically have high N concentrations [12,13]. Grasses, like maize, are generally more efficient in utilizing N, producing a significant amount of biomass with comparatively lower N concentration in plant tissues. These are the main reasons why the critical concentrations of maize and cowpea at mid-crop cycle are 30 to 40 g kg−1 and 40 to 50 g kg−1, respectively [32].
Cowpea showed higher tissue Ca levels. Ca is a macronutrient with diverse roles in plants, with its quantitative significance lying in its association with cell walls. Ca bound as Ca-pectate in the middle lamella is crucial for strengthening cell walls and plant tissues. In dicotyledons, which have a large cation-exchange capacity, up to 50% of total Ca can be bound as pectates. Thus, the Ca requirements of monocotyledons are much lower than those of dicotyledons due to their low concentration of cell wall pectates [44]. Most grasses restrict the passage of Ca into their roots when the concentration of Ca in the soil solution is high [12]. Therefore, the established sufficiency ranges for cowpea and maize are significantly differences, with values of 20 to 30 mg kg−1 and 2.5 to 5 mg kg−1, respectively [32]. Generally, legumes also exhibit higher levels of Mg in their tissues compared to monocotyledons [40]. In the case of cowpea and maize, the critical sufficiency ranges are 3 to 5 g kg−1 and 1.3 to 3 g kg−1, respectively [32]. As a divalent cation, a significant portion of Mg in plants is also found in leaves and needles, firmly bound to pectin in the cell wall.
B was also higher concentrated in cowpea tissues. B is a micronutrient that plays a crucial role in cell wall biosynthesis [45,46]. A significant portion of the total B in higher plants forms cis-diol esters within cell walls, particularly associated with pectins [45]. The elevated B requirement in dicotyledons, in contrast to monocotyledonous species, is ascribed to the greater prevalence of compounds with the cis-diol configuration in the cell walls of the former. Notably, pectic substances and polygalacturonans contribute significantly to this difference [45]. Monocotyledonous species exhibit a significantly lower B requirement and infrequently display visible B deficiency symptoms during their vegetative development [46]. In the case of cowpea and maize, the sufficiency ranges reported by Bryson et al. [32] are between 28 and 80 mg kg−1 for cowpea and 4 and 25 mg kg−1 for maize, highlighting the significant differences in B needs between dicotyledons and monocotyledons.
Legume cultivation appears to have contributed to increased P availability in the soil, with particularly high P recovery observed in 2019 in the M+C treatment. It is widely demonstrated that certain legumes can efficiently utilize P from soils where it is only sparingly available to most plants, benefiting also companion crops or those following them in the rotation [40]. Studies have shown that some legumes, such as white lupine, can develop proteoid roots or cluster roots in soils low in available P. These specialized roots improve P uptake and, through the exudation of organic acids, reduce soil pH, solubilizing P from stable P pools [47,48]. Cowpea, whether grown as a sole crop or intercropped, also appears to have the ability to access more P than other species, increasing the activities of acid and alkaline phosphatases [16,17]. Makoi et al. [49] demonstrated that increasing cowpea density significantly enhanced acid and alkaline phosphatase activity, under conditions like those in this study, providing a primary explanation for the result.

4.3. Nitrogen Recovery and Apparent Nitrogen Fixation

The highest N recovery values were observed in cowpea in 2018 and in maize + cowpea in 2019, while the lowest values were recorded in maize in both years. Cowpea, a nodulating legume with access to atmospheric N, exhibited higher N recovery values than maize, despite producing less biomass. The elevated N recovery values in maize grown in intercropping may be attributed, at least in part, to N fixed by the legume, this being one of the advantages of using legumes in intercropping systems [50,51]. The mechanisms involved in N transfer between legume and non-legume species can be diverse, encompassing plant-to-plant relocation through root–root contact, root exudates, or mycorrhizal hyphal networks [52,53]. Additionally, some N can be indirectly transferred to non-legume plants through rhizodeposition and the release of N from decomposed underground parts of legumes and nodules [54].
Although cowpea under certain conditions can fix up to 200 kg N ha−1 [13], its fixation capacity in intercropping tends to be lower due to poorer plant growth conditions and lower biomass production [55]. In this study, it seems that maize may have had access to more N than cowpea could credibly transfer, considering that ANF was 25.0 and 102.5 kg ha−1 in cowpea and maize + cowpea, respectively. It is likely that under reasonably favorable growth conditions for maize, as occurred in the second year, some of this N was obtained directly by maize without the contribution of cowpea.
It is known that the tissues of some non-legume species can be invaded by endophytic microorganisms capable of fixing N. In the case of sugarcane (Saccharum officinarum L.), the crop can meet more than half of its N needs through its association with these microorganisms [56,57]. Studies have demonstrated that maize can also directly access atmospheric N through its own means. Certain N-fixing microorganisms, such as Herbaspirillum seropedicae, are considered genuine endophytic diazotrophs predominantly associated with tropical grasses [58]. H. seropedicae can invade the roots, stems, and leaves of the host plant, primarily in apoplastic compartments [58,59]. The importance of this issue is evident from the development of commercial products based on N-fixing microorganisms to enhance the ability of maize to access atmospheric N [60]. However, its agronomic significance remains a topic of debate and currently cannot be directly compared to the practice of inoculating legumes with rhizobia [58,60].

4.4. Soil and Succeeding Crop

The main soil properties determined in this study, namely organic matter content, pH, extractable P and exchangeable bases, did not show significant variation with the treatments. In other studies where variables with greater temporal dynamics in the soil were determined, such as bulk density and soil water content [61], or when assessing the presence of beneficial microorganisms in the soil [19], the benefits of intercropping became evident more quickly. In the present study, the short duration of the experiments did not permit significant variations in the determined soil properties. Furthermore, sandy soils and tropical climates lead to rapid degradation of organic residues [62,63], also contributing to a reduced probability of observing significant differences in soil properties between the three treatments.
The cabbage cultivated following the cropping cycles of maize and cowpea appears to have benefited more from cowpea than from maize residues. Cowpea tissues are more N-concentrated than maize tissues (Table 3). N concentration in organic residues is the primary determinant of the mineralization rate, increasing net mineralization with the rise in N concentration in the organic substrate [12]. One of the main recognized benefits of including legumes in rotations is their contribution of N to the subsequent crops [64,65]. The contribution of cowpea to N supply for cabbage may have increased due to the cultivation in sandy soil and a tropical climate, where the rate of mineralization of organic residues is usually high [62,63]. Therefore, cowpea grown as a sole crop or in intercrop seems to be a good preceding crop for non-legume species, provided there is not too much time between the end of its cropping cycle and the beginning of the succeeding crop to reduce the risks of N loss to the environment.

5. Conclusions

The DMY of maize increased with intercropping with cowpea, while the productivity of cowpea was penalized by intercropping with maize, the result also being stressed by a higher CR of maize in comparison to cowpea. The total DMY increased in intercropping compared to cultivating both species in sole cropping, as also demonstrated by a LER of the consortium higher than 1.
Nutrient acquisition by maize and cowpea showed variations in several essential nutrients, depending on specific traits related to whether the plants are dicotyledonous or monocotyledonous (e.g., Ca, Mg, B, or Mn), and how each species can alter the solubility of nutrients in the rhizosphere (such as P) or possess a greater or lesser capacity to fix N from the atmosphere. The results showed some evidence that cowpea had access to more P, possibly due to its higher capacity to access sparingly soluble P sources. Regarding N, in addition to the legume’s access to atmospheric N, there is an indication that maize may have also had access to atmospheric N, probably through endophytic diazotrophs often associated with tropical grasses, as it contained more N in its tissues than would be expected from cowpea alone.
The residues from cowpea seem to have made a greater contribution than those from maize to the growth of cabbage cultivated as a succeeding crop. This was attributed to the higher concentration in N of cowpea residues, which accelerated their mineralization. Additionally, the process was favored by sandy soils and a warm climate.

Supplementary Materials

The following supporting information can be downloaded at: https://www.mdpi.com/article/10.3390/su16041440/s1, Table S1. Nutrient concentration in aboveground cabbage tissues when the species was grown after sole maize (M), cowpea (C), and the intercropping of maize and cowpea (M+C). Table S2. Nutrient recovery in aboveground cabbage tissues when the species was grown after sole maize (M), cowpea (C), and the intercropping of maize and cowpea (M+C).

Author Contributions

P.D., conceptualization, methodology, investigation, data curation, and writing—original draft preparation. M.A., funding acquisition, methodology, supervision, and writing—review and editing. M.Â.R., conceptualization, data curation, funding acquisition, project administration, and writing—review and editing. All authors have read and agreed to the published version of the manuscript.

Funding

The authors are grateful to the Foundation for Science and Technology (FCT, Portugal) for financial support from national funds FCT/MCTES, to CIMO (UIDB/AGR/00690/2020) and for Paulo Dimande’s doctoral scholarship (PRT/BD/152095/2021).

Data Availability Statement

The data presented in this study are available on request from the corresponding author.

Conflicts of Interest

The authors declare no conflict of interest.

References

  1. Thierfelder, C.; Baudron, F.; Setimela, P.; Nyagumbo, I.; Mupangwa, W.; Mhlanga, B.; Lee, N.; Gérard, B. Complementary practices supporting conservation agriculture in southern Africa. A review. Agron. Sustain. Dev. 2018, 38, 16. [Google Scholar] [CrossRef]
  2. Stewart, Z.P.; Pierzynski, G.M.; Middendorf, B.J.; Prasad, P.V.V. Approaches to improve soil fertility in sub-Saharan Africa. J. Exp. Bot. 2020, 71, 632–641. [Google Scholar] [CrossRef]
  3. Hoffmann, M.P.; Swanepoel, C.M.; Nelson, W.C.D.; Beukes, D.J.; van der Laan, M.; Hargreaves, J.N.G.; Rötter, R.P. Simulating medium-term effects of cropping system diversification on soil fertility and crop productivity in southern Africa. Eur. J. Agron. 2020, 119, 126089. [Google Scholar] [CrossRef]
  4. Mutuku, E.A.; Vanlauwe, B.; Roobroeck, D.; Boeckx, P.; Cornelis, W.M. Physico-chemical soil attributes under conservation agriculture and integrated soil fertility management. Nutr. Cycl. Agroecosyst. 2021, 120, 145–160. [Google Scholar] [CrossRef]
  5. Singh, B. Are Nitrogen Fertilizers Deleterious to Soil Health? Agronomy 2018, 8, 48. [Google Scholar] [CrossRef]
  6. Gurmessa, B. Soil acidity challenges and the significance of liming and organic amendments in tropical agricultural lands with reference to Ethiopia. Environ. Dev. Sustain. 2021, 23, 77–99. [Google Scholar] [CrossRef]
  7. Mwakilili, A.D.; Mwaikono, K.S.; Herrera, S.L.; Midega, C.A.O.; Magingo, F.; Alsanius, B.; Dekker, T.; Lyantagaye, S.L. Long-term maize-desmodium intercropping shifts structure and composition of soil microbiome with stronger impact on fungal communities. Plant Soil. 2021, 467, 437–450. [Google Scholar] [CrossRef]
  8. Taskin, E.; Misci, C.; Bandini, F.; Fiorini, A.; Pacini, N.; Obiero, C.; Sila, D.N.; Tabaglio, V.; Puglisi, E. Smallholder farmers’ practices and African indigenous vegetables affect soil microbial biodiversity and enzyme activities in lake Naivasha basin, Kenya. Biology 2021, 10, 44. [Google Scholar] [CrossRef] [PubMed]
  9. Nishigaki, T.; Shibata, M.; Sugihara, S.; Mvondo-Ze, A.D.; Araki, S.; Funakawa, S. Effect of Mulching with vegetative residues on soil water erosion and water balance in an oxisol cropped by cassava in East Cameroon. Land. Degrad. Dev. 2017, 28, 682–690. [Google Scholar] [CrossRef]
  10. Belay, S.A.; Assefa, T.T.; Worqlul, A.W.; Steenhuis, T.S.; Schmitter, P.; Reyes, M.R.; Prasad, P.V.V.; Tilahun, S.A. Conservation and conventional vegetable cultivation increase soil organic matter and nutrients in the Ethiopian highlands. Water 2022, 4, 476. [Google Scholar] [CrossRef]
  11. Abate, E.; Hussein, S.; Laing, M.; Mengistu, F. Soil acidity under multiple land-uses: Assessment of perceived causes and indicators, and nutrient dynamics in small-holders mixed-farming system of northwest Ethiopia. Acta Agric. Scand. Sect. B Soil Plant Sci. 2017, 67, 134–147. [Google Scholar] [CrossRef]
  12. Weil, R.R.; Brady, N.C. The Nature and Properties of Soils; Pearson Education Limited: Edinburg, UK, 2017. [Google Scholar]
  13. Russelle, M.P. Biological dinitrogen fixation in agriculture. In Nitrogen in Agricultural Systems; Schepers, J.S., Raun, W.R., Eds.; Agronomy Monograph n◦ 49; ASA, CSSA, SSSA: Madison, WI, USA, 2008; pp. 281–359. [Google Scholar]
  14. Galanopoulou, K.; Lithourgidis, A.S.; Dordas, C.A. Intercropping of faba bean with barley at various spatial arrangements affects dry matter and N yield, nitrogen nutrition index, and interspecific competition. Not. Bot. Horti Agrobot. Cluj-Napoca 2019, 47, 1116–1127. [Google Scholar] [CrossRef]
  15. Benider, C.; Laour, S.; Madani, T.; Gundouz, A.; Kelaleche, H. The effect of cereal-legume intercropping systems on the cereal grain yield under semi-arid conditions. Agric. Sci. Dig. 2021, 41, 610–614. [Google Scholar] [CrossRef]
  16. Tang, X.; Zhang, C.; Yu, Y.; Shen, J.; van der Werf, W.; Zhang, F. Intercropping legumes and cereals increases phosphorus use efficiency; a meta-analysis. Plant Soil. 2021, 460, 89–104. [Google Scholar] [CrossRef]
  17. Kiær, L.P.; Weedon, O.D.; Bedoussac, L.; Bickler, C.; Finckh, M.R.; Haug, B.; Iannetta, P.P.M.; Raaphorst-Travaille, G.; Weih, M.; Karley, A.J. Supply chain perspectives on breeding for legume–cereal intercrops. Front. Plant Sci. 2022, 13, 844635. [Google Scholar] [CrossRef]
  18. Ngwira, A.R.; Kabambe, V.; Simwaka, P.; Makoko, K.; Kamoyo, K. Productivity and profitability of maize-legume cropping systems under conservation agriculture among smallholder farmers in Malawi. Acta Agric. Scand. B Soil. Plant Sci. 2020, 70, 241–251. [Google Scholar] [CrossRef]
  19. Guo, F.; Wang, M.; Si, T.; Wang, Y.; Zhao, H.; Zhang, X.; Yu, X.; Wan, S.; Zou, X. Maize-peanut intercropping led to an optimization of soil from the perspective of soil microorganism. Arch. Agron. Soil. Sci. 2021, 67, 1986–1999. [Google Scholar] [CrossRef]
  20. Madembo, C.; Mhlanga, B.; Thierfelder, C. Productivity or stability? Exploring maize-legume intercropping strategies for smallholder Conservation Agriculture farmers in Zimbabwe. Agric. Syst. 2020, 185, 102921. [Google Scholar] [CrossRef]
  21. Justes, E.; Bedoussac, L.; Dordas, C.; Frak, E.; Louarn, G.; Boudsocq, S.; Journet, E.P.; Lithourgidis, A.; Pankou, C.; Zhang, C.; et al. The 4C approach as a way to understand species interactions determining intercropping productivity. Front. Agric. Sci. Eng. 2021, 8, 387–399. [Google Scholar] [CrossRef]
  22. Mead, R.; Willey, R.W. The concept of a “Land Equivalent Ratio” and advandages in yields from intercropping. Exp. Agric. 1980, 16(NS6), 217–288. [Google Scholar] [CrossRef]
  23. Dhima, K.V.; Lithourgidis, A.S.; Vasilakoglou, I.B.; Dordas, C.A. Competition indices of common vetch and cereal intercrops in two seeding ratio. Field Crops Res. 2007, 100, 249–256. [Google Scholar] [CrossRef]
  24. Suhi, A.A.; Mia, S.; Khanam, S.; Hasan Mithu, M.; Uddin, M.K.; Muktadir, M.A.; Ahmed, S.; Jindo, K. How does maize-cowpea intercropping maximize land use and economic return? A field trial in Bangladesh. Land 2012, 11, 581. [Google Scholar] [CrossRef]
  25. Kiwia, A.; Kimani, D.; Harawa, R.; Jama, B.; Sileshi, G.W. Sustainable intensification with cereal-legume intercropping in eastern and southern Africa. Sustainability 2019, 11, 2891. [Google Scholar] [CrossRef]
  26. Kuyah, S.; Sileshi, G.W.; Nkurunziza, L.; Chirinda, N.; Ndayisaba, P.C.; Dimobe, K.; Öborn, I. Innovative agronomic practices for sustainable intensification in sub-Saharan Africa. A review. Agron. Sustain. Dev. 2021, 41, 1–21. [Google Scholar] [CrossRef]
  27. Food and Agriculture Organization of the United Nations (FAO). FAOSTAT: Crops and Livestock Products. Available online: https://www.fao.org/faostat/en/#data/QCL (accessed on 16 January 2024).
  28. Beck, H.E.; Zimmermann, N.E.; McVicar, T.R.; Vergopolan, N.; Berg, A.; Wood, E.F. Present and future Köppen-Geiger climate classification maps at 1-km resolution. Sci. Data 2018, 5, 180214. [Google Scholar] [CrossRef]
  29. CLIMATE DATA. Dados Climáticos Para Vilanculos (1991–2021). 2024. Available online: https://pt.climate-data.org/africa/mocambique/inhambane/vilanculos-52395/ (accessed on 16 January 2024).
  30. WRB. World Reference Base for Soil Resources 2014, Update 2015. In International Soil Classification System for Naming Soils and Creating Legends for Soil Maps; World Soil Resources Reports No. 106; FAO: Rome, Italy, 2015. [Google Scholar]
  31. Meier, U. Gowth Stages of Mono and Dicotyledonous Plants; Federal Biological Research Centre for Agriculture and Forestry: Berlim, Germany, 2018. [Google Scholar]
  32. Bryson, G.M.; Mills, H.A.; Sasseville, D.N.; Jones, J.J., Jr.; Barker, A.V. Plant Analysis Handbook II: A Guide to Sampling, Preparation, Analysis, Interpretation and Use of Results of Agronomic and Horticultural Crop Plant Tissue; Micro-Macro Publishing, Inc.: Athens, GA, USA, 2014. [Google Scholar]
  33. Van Reeuwijk, L.P. Procedures for Soil Analysis, 6th ed.; Technical Paper 9; ISRIC: Wageningen, The Netherlands; FAO of the United Nations: Rome, Italy, 2002. [Google Scholar]
  34. Lakanen, E.; Ervio, R. A comparison of eight extractants for the determination of plant available micronutrients in soils. Accta Agr. Fenn. 1971, 123, 223–232. [Google Scholar]
  35. Temminghoff, E.E.; Houba, V.J. Plant Analysis Procedures, 2nd ed.; Temminghoff, E.E., Houba, V.J., Eds.; Kluwer Academic Publishers: London, UK, 2004. [Google Scholar] [CrossRef]
  36. Masvaya, E.N.; Nyamangara, J.; Descheemaeker, K.; Giller, K.E. Is maize-cowpea intercropping a viable option for smallholder farms in the risky environments of semi-arid southern Africa? Field Crops Res 2017, 209, 73–87. [Google Scholar] [CrossRef]
  37. Collison, R.; Raven, E.C.; Pignon, C.P.; Long, S.P. Light, Not Age, Underlies the maladaptation of maize and Miscanthus photosynthesis to Self-Shading. Front. Plant Sci. 2020, 11, 783. [Google Scholar] [CrossRef] [PubMed]
  38. Sun, X.; Huang, S.-R.; Ai, Y.; Zhang, E.-Z.; Wang, X.-C.; Du, J.-B.; Yang, W.-Y. Comparative study on the different responses of maize photosynthesis to systemic regulation under light heterogeneity. Plant Sci. 2020, 301, 110666. [Google Scholar] [CrossRef]
  39. Ahmed, M.A.; Kroener, E.; Holz, M.; Carminati, A. Mucilage exudation facilitates root water uptake in dry soils. Funct. Plant Biol. 2014, 41, 1129–1137. [Google Scholar] [CrossRef]
  40. Römheld, V. Diagnosis of deficiency and toxicity of nutrients. In Marschner’s Mineral Nutrition of Higher Plants; Marschner, P., Ed.; Elsevier: London, UK, 2012; pp. 299–312. [Google Scholar]
  41. Afonso, S.; Arrobas, M.; Rodrigues, M.A. Response of hops to algae-based and nutrient-rich foliar sprays. Agriculture 2021, 11, 798. [Google Scholar] [CrossRef]
  42. Arrobas, M.; Carvalho, J.; Raimundo, S.; Poggere, G.; Rodrigues, M.A. The safe use of compost derived from municipal solid waste depends on its composition and conditions of application. Soil Use Manag. 2022, 38, 917–928. [Google Scholar] [CrossRef]
  43. Arrobas, M.; Andrade, M.; Raimundo, S.; Mazaro, S.M.; Rodrigues, M.A. Lettuce response to the application of two commercial leonardites and their effect on soil properties in a growing medium with nitrogen as the main limiting factor. J. Plant Nutr. 2023, 46, 4280–4294. [Google Scholar] [CrossRef]
  44. Hawkesford, M.; Horst, W.; Kichey, T.; Lambers, H.; Schjoerring, J.; Moller, S.I.; White, P. Functions of micronutrients. In Marschner Mineral Nutrition of Higher Plants; Marschner, P., Ed.; Elsevier: London, UK, 2012. [Google Scholar]
  45. Broadley, M.; Patrick, B.; Ismail, C.; Zed, R.; Fengjie, Z. Funtion of nutrients: Micronutrients. In Marchners Mineral Nutrition of Higher Plants; Marchner, P., Ed.; Elsevier: London, UK, 2012. [Google Scholar]
  46. Wimmer, M.A.; Eichert, T. Review: Mechanisms for boron deficiency-mediated changes in plant water relations. Plant Sci. 2013, 203–204, 25–32. [Google Scholar] [CrossRef] [PubMed]
  47. Sepehr, E.Z.; Rengel, E.; Fateh, M.; Sadaghiani, R. Differential capacity of wheat cultivars and white lupin to acquire phosphorus from rock phosphate, phytate and soluble phosphorus sources. J. Plant Nutr. 2012, 35, 1180–1191. [Google Scholar] [CrossRef]
  48. Felderer, B.; Vontobel, P.; Schlin, R. Cluster root allocation of white lupin (Lupinus albus L.) in soil with heterogeneous phosphorus and water distribution. J. Soil Sci. Plant Nutr. 2015, 61, 940–950. [Google Scholar] [CrossRef]
  49. Makoi, J.H.; Chimphango, S.B.; Dakora, F.D. Elevated levels of acid and alkaline phosphatase activity in roots and rhizosphere of cowpea (Vigna unguiculata L. Walp.) genotypes grown in mixed culture and at different densities with sorghum (Sorghum bicolor L.). Crop Pasture Sci. 2010, 61, 279–286. [Google Scholar] [CrossRef]
  50. Pirhofer-Walzl, K.; Rasmussen, J.; Høgh-Jensen, H. Nitrogen transfer from forage legumes to nine neighbouring plants in a multi-species grassland. Plant Soil 2012, 350, 71–84. [Google Scholar] [CrossRef]
  51. Frankow-Lindberg, B.E.; Dahlin, A.S. N2 fixation, N transfer, and yield in grassland communities including a deep-rooted legume or non-legume species. Plant Soil 2013, 370, 567–581. [Google Scholar] [CrossRef]
  52. Heijden, M.; Horton, T. Socialism in soil? The importance of mycorrhizal fungal networks for facilitation in natural ecosystems. J. Ecol. 2009, 97, 1139–1150. [Google Scholar] [CrossRef]
  53. Homulle, Z.; George, T.S.; Karley, A.J. Root traits with team benefits: Understanding belowground interactions in intercropping systems. Plant Soil 2022, 471, 1–26. [Google Scholar] [CrossRef]
  54. Tsialtas, I.T.; Baxevanos, D.; Vlachostergios, D.N. Cultivar complementarity for symbiotic nitrogen fixation and water use efficiency in pea-oat intercrops and its effect on forage yield and quality. Field Crop. Res. 2018, 226, 28–37. [Google Scholar] [CrossRef]
  55. Namatsheve, T.; Chikowo, R.; Corbeels, M.; Mouquet-Rivier, C.; Icard-Vernière, C.; Cardinael, R. Maize-cowpea intercropping as an ecological intensification option for low input systems in sub-humid Zimbabwe: Productivity, biological N2-fixation and grain mineral content. Field Crop. Res. 2021, 263, 108052. [Google Scholar] [CrossRef]
  56. Ohyama, T.; Momose, A.; Ohtake, N.; Sueyoshi, K.; Sato, T.; Nakanishi, Y.; Asis, C.A., Jr.; Ruamsungsri, S.; Ando, S. Nitrogen fixation in sugarcane. In Advances in Biology and Ecology of Nitrogen Fixation; Ohyama, T., Ed.; IntechOpen: London, UK, 2014; pp. 49–70. [Google Scholar] [CrossRef]
  57. Dwivedi, M. Gluconobacter. In Beneficial Microbes in Agro-Ecology: Bacteria and Fungi; Amaresan, N., Kumar, M.S., Annapurna, K., Kumar, K., Sankaranarayanan, A., Eds.; Academic Press: Cambridge, MA, USA; Elsevier: London, UK, 2020; pp. 521–544. [Google Scholar]
  58. Matteoli, F.P.; Olivares, F.L.; Venancio, T.M.; Rocha, L.O.; Irineu, L.E.S.S.; Canellas, L.P. Herbaspirillum. In Beneficial Microbes in Agro-Ecology: Bacteria and Fungi; Amaresan, N., Kumar, M.S., Annapurna, K., Kumar, K., Sankaranarayanan, A., Eds.; Academic Press: Cambridge, MA, USA; Elsevier: London, UK, 2020; pp. 493–508. [Google Scholar]
  59. Monteiro, R.A.; Balsanelli, E.; Wassem, R.; Marin, A.M.; Brusamarello-Santos, L.C.C.; Schmidt, M.A.; Tadra-Sfeir, M.Z.; Pankievicz, V.C.S.; Cruz, L.M.; Chubatsu, L.S.; et al. Herbaspirillum plant interactions: Microscopical, histological and molecular aspects. Plant Soil 2012, 356, 175–196. [Google Scholar] [CrossRef]
  60. Alves, G.C.; Dos Santos, C.L.R.; Zilli, J.E.; Dos Reis Junior, F.B.; Marriel, I.E.; Breda, F.A.; Boddey, R.M.; Reis, V.M. Agronomic evaluation of Herbaspirillum seropedicae strain ZAE94 as an inoculant to improve maize yield in Brazil. Pedosphere 2021, 31, 583–595. [Google Scholar] [CrossRef]
  61. Xu, Q.; Xiong, K.; Chi, Y.; Song, S. Effects of crop and grass intercropping on the soil environment in the Karst area. Sustainability 2021, 13, 5484. [Google Scholar] [CrossRef]
  62. Dimande, P.; Arrobas, M.; Rodrigues, M.Â. Effect of bat guano and biochar on okra yield and some soil properties. Horticulturae 2023, 9, 7. [Google Scholar] [CrossRef]
  63. Dimande, P.; Arrobas, M.; Rodrigues, M.Â. Under a tropical climate and in sandy soils, bat guano mineralises very quickly, behaving more like a mineral fertiliser than a conventional farmyard manure. Agronomy 2023, 13, 1367. [Google Scholar] [CrossRef]
  64. Mesfin, S.; Gebresamuel, G.; Haile, M.; Zenebe, A. Potentials of legumes rotation on yield and nitrogen uptake of subsequent wheat crop in northern Ethiopia. Heliyon 2023, 9, 16126. [Google Scholar] [CrossRef]
  65. Lazali, M.; Drevon, J.J. Legume ecosystemic services in agro-ecosystems: A review. Commun. Plant Sci. 2023, 13, 13–18. [Google Scholar] [CrossRef]
Figure 1. Average (1991–2021) monthly precipitation and temperature in Vilankulo [29].
Figure 1. Average (1991–2021) monthly precipitation and temperature in Vilankulo [29].
Sustainability 16 01440 g001
Figure 2. Maize (M) and cowpea (C) grain yield (a,b), straw (c,d) and total dry matter yield (DMY) (e) when grown as sole crops or intercropping (M+C). Within each year, means followed by the same letter are not significant different. In (e), the Tukey HSD test (α = 0.05) was used to separate the means with significant differences. Vertical bars represent the standard errors.
Figure 2. Maize (M) and cowpea (C) grain yield (a,b), straw (c,d) and total dry matter yield (DMY) (e) when grown as sole crops or intercropping (M+C). Within each year, means followed by the same letter are not significant different. In (e), the Tukey HSD test (α = 0.05) was used to separate the means with significant differences. Vertical bars represent the standard errors.
Sustainability 16 01440 g002aSustainability 16 01440 g002b
Figure 3. Cabbage dry matter yield (DMY), nitrogen (N) concentration and recovery in aboveground cabbage tissues when the species was grown after sole maize (M), cowpea (C), and the intercropping of maize and cowpea (M+C). Within each year, means followed by different letters were not significant different by the Tukey HSD test (α = 0.05). Vertical bars represent the standard errors.
Figure 3. Cabbage dry matter yield (DMY), nitrogen (N) concentration and recovery in aboveground cabbage tissues when the species was grown after sole maize (M), cowpea (C), and the intercropping of maize and cowpea (M+C). Within each year, means followed by different letters were not significant different by the Tukey HSD test (α = 0.05). Vertical bars represent the standard errors.
Sustainability 16 01440 g003
Table 1. Soil properties (average ± standard deviation, n = 3) determined from composite samples (10 subsamples per composite sample) taken at 0–0.20 m depth at the onset of the experiments.
Table 1. Soil properties (average ± standard deviation, n = 3) determined from composite samples (10 subsamples per composite sample) taken at 0–0.20 m depth at the onset of the experiments.
Soil PropertiesOctober 2017January 2019
1 Organic carbon (g kg−1)21.7 ± 6.6923.3 ± 6.87
2 pH (H2O)6.3 ± 0.166.4 ± 0.09
3 Extract. phosphorus (mg P2O5 kg−1)156.2 ± 59.34149.5 ± 33.46
3 Extract. potassium (mg K2O kg−1)387.6 ± 42.08402.3 ± 45.00
4 Exchang. calcium (cmolc kg−1)6.3 ± 0.796.4 ± 1.06
4 Exchang. magnesium (cmolc kg−1)2.6 ± 0.282.7 ± 0.25
4 Exchang. potassium (cmolc kg−1)1.3 ± 0.331.4 ± 0.14
4 Exchang. sodium (cmolc kg−1)0.7 ± 0.050.6 ± 0.06
5 Exchang. acidity (cmolc kg−1)0.7 ± 0.140.8 ± 0.12
6 CEC (cmolc kg−1)11.5 ± 1.0712.0 ± 0.94
7 Sand88.7 ± 2.5286.3 ± 2.17
7 Silt3.0 ± 1.004.1 ± 0.91
7 Clay8.3 ± 1.539.7 ± 2.08
8 TextureLoamy-sandLoamy-sand
1 Wet digestion (Walkley–Black); 2 potentiometry; 3 ammonium lactate; 4 ammonium acetate; 5 potassium chloride; 6 cation exchange capacity; 7 Robinson pipette method; 8 USDA, The United States Department of Agriculture.
Table 2. Land equivalent ratio and competitive ratio of maize and cowpea intercropping.
Table 2. Land equivalent ratio and competitive ratio of maize and cowpea intercropping.
Land Equivalent RatioCompetition Ratio
2018201920182019
GrainStrawGrainStrawGrainStrawGrainStraw
Maize 0.87 b1.24 b0.84 b 1.40 a1.96 a1.33 a
Cowpea0.60 a0.64 b0.68 c0.69 b 0.75 b0.58 a0.90 a
Total0.60 a1.51 a1.91 a1.53 a
Probability0000.003 0.040.0620.421
Standard error0.08440.09890.14120.1516 0.23150.54240.47649
Means followed by the same letter in columns are not significantly different (p < 0.05). The Tukey HSD test (α = 0.05) was used to separate the means in cases where significant differences were found, and there are more than two treatments to be compared.
Table 3. Nutrient concentration in cowpea (C) and maize (M) leaves at the middle of the growing season when grown as sole crops or intercropped (M+C).
Table 3. Nutrient concentration in cowpea (C) and maize (M) leaves at the middle of the growing season when grown as sole crops or intercropped (M+C).
NitrogenPhosphorusPotassiumCalciumMagnesiumBoronIronManganeseZincCopper
Treatment g kg−1 mg kg−1
Cowpea leavesM+C30.4 a1.9 a8.9 a8.0 a5.1 a35.9 b78.5 a191.0 a31.3 a11.3 a
2018C25.4 b2.0 a10.8 a8.9 a4.7 a44.2 a80.3 a149.6 a18.8 a11.1 a
Probability0.00420.47320.22080.23990.54250.01840.71240.10660.08220.9311
Standard error0.610.090.930.470.511.523.1114.133.851.21
2019M+C38.9 a1.3 a6.7 a12.6 a3.2 a16.8 a103.9 a162.6 a26.5 a10.4 a
C37.6 a1.3 a6.3 a14.2 a3.4 a19.2 a92.5 a183.8 a32.6 a9.9 a
Probability0.24000.80170.61890.09220.46810.12980.25410.11550.07220.5625
Standard error0.670.170.580.500.180.876.067.491.770.57
Maize leavesM+C13.5 a1.2 a12.2 a1.4 a1.3 a15.8 a132.2 a92.8 a13.4 a13.1 a
2018M13.0 a1.3 a13.4 a1.5 a1.5 a13.2 a136.0 a107.7 a11.4 a13.4 a
Probability0.15490.64170.44030.50430.08140.27830.59830.14350.49950.8276
Standard error0.220.131.010.100.061.454.695.781.940.96
2019M+C24.7 a1.4 a6.5 a2.9 a2.4 a10.3 a87.5 a53.2 a36.0 a8.0 a
M23.7 a1.6 a6.7 a3.7 a2.4 a6.7 b97.0 a44.2 a35.5 a8.2 a
Probability0.09930.34390.59100.12030.86230.03230.25530.10940.91890.8288
Standard error0.320.110.330.290.140.795.053.093.090.61
By species and years, means followed by the same letter in columns are not significant different (p < 0.05).
Table 4. Nitrogen (N) recovery and apparent N fixation at the end of the growing season of maize (M) and cowpea (C) when grown as sole crops or intercropped (M+C).
Table 4. Nitrogen (N) recovery and apparent N fixation at the end of the growing season of maize (M) and cowpea (C) when grown as sole crops or intercropped (M+C).
N Recovery (kg ha−1)Apparent N Fixation (kg ha−1) *
2018201920182019
M34.8 b **114.6 c------
C93.4 a139.6 b58.925.0
M+C82.4 a217.1 a47.6102.5
Probability0.0015<0.0001
Standard error6.485.38
* Apparent N fixation = N recovered in plots with cowpea − N recovered in maize plots. ** In columns, means followed by the same letter are not significant different by the Tukey HSD test (α = 0.05).
Table 5. Nutrient recovery in aboveground biomass at the final harvest in the three treatments, cowpea (C) and maize (M) when grown as sole crops, and when intercropped (M+C).
Table 5. Nutrient recovery in aboveground biomass at the final harvest in the three treatments, cowpea (C) and maize (M) when grown as sole crops, and when intercropped (M+C).
PhosphorusPotassiumCalciumMagnesiumBoronIronManganeseZincCopper
Treatmentkg ha−1g ha−1
2018
M3.6 b36.5 a5.5 c7.1 b46.3 b962.5 a278.6 a422.3 a110.2 a
C7.9 a54.2 a9.6 b15.2 a105.0 a160.5 b215.9 a132.4 b33.8 b
M+C9.4 a54.4 a14.8 a16.9 a109.6 a949.0 a335.2 a345.4 a109.3 a
Probability0.00140.0597<0.00010.00080.0003<0.00010.12530.00470.0020
Standard error0.624.760.490.975.539.3334.4738.949.58
2019
M12.0 b45.9 b17.3 a21.5 b130.1 b1017.4 a331.1 b400.7 a46.6 b
C9.1 b36.9 b18.0 a13.0 b80.3 c595.3 b260.8 b189.8 b47.3 b
M+C19.0 a66.7 a23.4 a43.5 a205.3 a1337.6 a513.7 a414.2 a76.4 a
Probability0.00740.00290.16120.00120.00030.00190.00320.00260.0056
Standard error1.443.62.113.149.5280.8931.4129.064.56
Within each year, means followed by the same letter in columns are not significant different by the Tukey HSD test (α = 0.05).
Table 6. Organic carbon (C), pH (H2O) and extractable nutrients in soil following maize (M) and cowpea (C) sole crops and M+C intercropping.
Table 6. Organic carbon (C), pH (H2O) and extractable nutrients in soil following maize (M) and cowpea (C) sole crops and M+C intercropping.
Organic C PhosphorusBoronIronManganeseZincCopper
Treatmentg kg−1pH(H2O)mg kg−1, P2O5mg kg−1mg kg−1mg kg−1mg kg−1mg kg−1
M24.41 a6.44 a132.10 a0.14 a23.11 a4.49 a0.03 a19.50 a
C22.03 a6.21 a149.67 a0.18 a25.82 a6.11 a0.02 a22.02 a
M+C22.81 a6.47 a130.90 a0.17 a22.14 a4.83 a0.02 a20.09 a
Probability0.23210.17490.15670.06300.53100.19480.93910.3775
Standard error0.880.096.560.012.270.580.011.23
In columns, means followed by the same letter in columns are not significant different by the Tukey HSD test (α = 0.05).
Table 7. Bases of exchangeable complex, exchangeable acidity, and cation exchange capacity in soil following maize (M) and cowpea (C) sole crops and M+C intercropping.
Table 7. Bases of exchangeable complex, exchangeable acidity, and cation exchange capacity in soil following maize (M) and cowpea (C) sole crops and M+C intercropping.
CalciumMagnesiumPotassiumSodiumExch. AcidityCation Exch. Capacity
Treatment cmol+ kg−1
M6.37 a2.68 a1.34 a0.59 a0.79 a11.77 a
C6.12 a2.77 a1.38 a0.62 a0.78 a11.67 a
M+C6.08 a2.74 a1.35 a0.61 a0.75 a11.53 a
Probability0.55240.62860.83590.95050.87910.8533
Standard error0.190.070.050.060.060.30
In columns, means followed by the same letter in columns are not significant different by the Tukey HSD test (α = 0.05).
Disclaimer/Publisher’s Note: The statements, opinions and data contained in all publications are solely those of the individual author(s) and contributor(s) and not of MDPI and/or the editor(s). MDPI and/or the editor(s) disclaim responsibility for any injury to people or property resulting from any ideas, methods, instructions or products referred to in the content.

Share and Cite

MDPI and ACS Style

Dimande, P.; Arrobas, M.; Rodrigues, M.Â. Intercropped Maize and Cowpea Increased the Land Equivalent Ratio and Enhanced Crop Access to More Nitrogen and Phosphorus Compared to Cultivation as Sole Crops. Sustainability 2024, 16, 1440. https://doi.org/10.3390/su16041440

AMA Style

Dimande P, Arrobas M, Rodrigues MÂ. Intercropped Maize and Cowpea Increased the Land Equivalent Ratio and Enhanced Crop Access to More Nitrogen and Phosphorus Compared to Cultivation as Sole Crops. Sustainability. 2024; 16(4):1440. https://doi.org/10.3390/su16041440

Chicago/Turabian Style

Dimande, Paulo, Margarida Arrobas, and Manuel Ângelo Rodrigues. 2024. "Intercropped Maize and Cowpea Increased the Land Equivalent Ratio and Enhanced Crop Access to More Nitrogen and Phosphorus Compared to Cultivation as Sole Crops" Sustainability 16, no. 4: 1440. https://doi.org/10.3390/su16041440

APA Style

Dimande, P., Arrobas, M., & Rodrigues, M. Â. (2024). Intercropped Maize and Cowpea Increased the Land Equivalent Ratio and Enhanced Crop Access to More Nitrogen and Phosphorus Compared to Cultivation as Sole Crops. Sustainability, 16(4), 1440. https://doi.org/10.3390/su16041440

Note that from the first issue of 2016, this journal uses article numbers instead of page numbers. See further details here.

Article Metrics

Back to TopTop