The Effect of a Liquified Wood Heavy Fraction on the Rheological Behaviour and Performance of Paving-Grade Bitumen
Abstract
1. Introduction
| Type of Bio-Oil | Source | Bio-Oil Proportion (w %) | Base Bitumen | Bio-Binder Penetration (0.1 mm) | Study |
|---|---|---|---|---|---|
| Wood oil | Industrial waste [18] | 0.5, 10, 15 | Bitumen 50/70 | 71.3, 114.4, 153.5 | Laboratory test |
| Pine tree [12] | 100 | Bitumen 30/45 | 21 | Laboratory test | |
| Pine tree [35] | 1, 5, 10 | Bitumen 35/50 | 35–45, 35–85, 20–150 | Laboratory test | |
| Kraft lignin powder [36] | 5, 10, 15 | Bitumen 50/70 | 57, 51, 42 | Laboratory test | |
| Industrial waste (eucalyptus) [13] | 5, 10, 20, 40, 60 | Bitumen 50/70 | 79, 108, 97, 136, 168 | Laboratory test | |
| Industrial waste (hardboard) [37] | 5, 10, 20, 40 | Bitumen 50/70 | 48–52, 45–50, 44–46, 42–45 | Laboratory test | |
| Vegetable oil | Not disclosed [38] | 10 | Bitumen 60/70 | 50–60 | Laboratory test |
| Rapeseed [15] | 7.5, 8.0 | Bitumen 160/220 | - | Surface dressing of roads in Iceland | |
| Rapeseed [16] | 18 | Bitumen 15/25 | 33.7 | Laboratory test | |
| Sunflower [16] | 18 | Bitumen 15/25 | 44.9 | Laboratory test | |
| Sunflower [17] | 2, 4, 6, 8, 10 | Bitumen 70/100 | 80–90, 90–100, 160–170, 180–200, 240–260 | Laboratory test | |
| Animal oil | Fish [15] | 7.0 | Bitumen 160/220 | - | Surface dressing of roads in Iceland |
| Swine manure [18] | 5, 10, 15 | Bitumen 50/70 | 71.3, 114.4, 153.5 | Laboratory test | |
| Waste cooking oil | Not disclosed [20] | 3, 4, 5 | Bitumen 60/70 | 99, 136, 153 | Laboratory test |
| Not disclosed [39] | 5, 10, 15 | Bitumen 60/70 | 50–60, 60–70, 70–80 | Laboratory test | |
| Not disclosed [19] | 0.5, 1.0, 1.5, 2.0, 2.5, 3.0 | Bitumen 50/70 | 33–38, 40–45, 45–50, 57–60, 58–62, 62–65 | Laboratory test | |
| Not disclosed [40] | 2, 4, 6, 8 | Bitumen 40/60 | 60–70, 80–95, 125–135, 185–195 | Laboratory test | |
| Not disclosed [21] | 1, 2, 3, 4, 5 | Bitumen 80/100 | 50–55, 70–75, 80–85, 95–100, 130–135 | Laboratory test | |
| Waste motor oil | Not disclosed [22] | 10 | Bitumen 35/50 | 114 | Laboratory test |
2. Objectives and Scope
3. Materials and Methods
3.1. Materials
3.2. Linear Viscoelastic Rheological Characterisation
3.3. Multiple Stress Creep and Recovery Test
3.4. Fatigue Resistance–Linear Amplitude Sweep Test
3.5. LVE Rheological-Based Performance Indicators
4. Results and Discussion
4.1. Consistency Properties
| Property | Limits | B10/20 | B35/50 | B35/50-A | Bio | Bio-A |
|---|---|---|---|---|---|---|
| Penetration @25 °C (0.1 mm) | 10–20 (1) 35–50 (2) | 17 | 43 | 31 | 42 | 13 |
| Softening point (°C) | 60–76 (1) 50–58 (2) | 65.0 | 53.0 | 59.2 | 74.4 | 101.5 |
| Penetration index | −1.5 to +0.7 (2) | 0 | −0.8 | −0.2 | +3.1 | +3.8 |
| Retained penetration (%) | ≥53% (2) | - | 72 | 31 | ||
| Increase in softening point (°C) | ≤11 °C (2) | - | 6.2 | 27.1 | ||
4.2. Linear Viscoelastic Rheological Properties
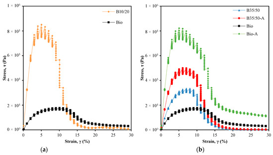
4.3. Resistance to Permanent Deformation Accumulation
4.4. Fatigue Resistance
4.5. LVE Rheological-Based Performance Indicators
5. Conclusions
- The effect of bio-oil on the needle penetration test result at 25 °C was significantly larger than that predicted using the conventional blending rule for different bitumens (EN 13108-1). However, this blending rule can be used for estimating the softening point.
- The bio-bitumen was not a thermo-rheologically simple material, meaning that there was no equivalence of time and temperature conditions in the dynamic rheological measurements. In comparison with the base bitumen (B10/20), the bio-oil changed the shape of the Black curve, decreased the phase angle (greater elastic response) and yielded discontinuities between measurements obtained at consecutive temperatures. These changes were similar to those reported in the literature [69,72] of more structured bitumens induced by natural functional groups or polymer modification. Also, the near-glass transition temperature (T at G″ max) of bio-bitumen was lower than that of the other bitumens tested, which is an indicator of superior performance in very cold weather.
- The bio-oil significantly improved the resistance to fatigue and permanent deformation accumulation of the base bitumen. Upon cyclic loading, the bio-bitumen was equally able to hold larger strains before failure at the intermediate test temperature (20 °C) and had greater elastic recovery at the high test temperature (60 °C). The elastic recovery value reached 64.7% at 3.2 kPa and non-recoverable compliance decreased to 0.044 kPa−1. Thus, the deformation recovery occurred very quickly after the stress removal because the elastic component in the rheological behaviour of bio-bitumen is very strong, which is only commonly found in highly polymer-modified bitumen.
- The bio-bitumen was more sensitive to oxidative ageing than the reference bitumen (B35/50). In detail, the retained penetration was 31%, the increase in the softening point was 27.1 °C, the rheological behaviour was elastic (δ < 45 °C) up to 64 °C, the elastic recovery at 3.2 kPa increased by 29.7% and, in the LAS test, the strain at peak stress decreased by 5%.
- The LVE rheological indicators proposed in the literature showed a similar trend of variation with oxidative ageing for the bio-bitumens and paving-grade bitumens. However, the relationship between the performance test results and LVE rheological indicators was not the same in the two binders, i.e., for similar indicator values in both materials, the test performance could be significantly different.
Author Contributions
Funding
Institutional Review Board Statement
Informed Consent Statement
Data Availability Statement
Acknowledgments
Conflicts of Interest
References
- Malhotra, S.K.; White, H.; Dela Cruz, N.A.O.; Saran, A.; Eyers, J.; John, D.; Beveridge, E.; Blöndal, N. Studies of the Effectiveness of Transport Sector Interventions in Low- and Middle-income Countries: An Evidence and Gap Map. Campbell Syst. Rev. 2021, 17, e1203. [Google Scholar] [CrossRef]
- Xing, J.; Leard, B.; Li, S. What Does an Electric Vehicle Replace? J. Environ. Econ. Manag. 2021, 107, 102432. [Google Scholar] [CrossRef]
- Vilchez, J.J.G. The Impact of Electric Cars on Oil Demand and Greenhouse Gas Emissions in Key Markets. Ph.D. Thesis, Karlsruher Institut für Technologie, Karlsruhe, Germany, 2018. [Google Scholar]
- Hunter, R.N.; Shelf, A.; Read, J. The Shell Bitumen Handbook, 6th ed.; ICE Publishing: London, UK, 2015. [Google Scholar]
- Lesueur, D. The Colloidal Structure of Bitumen: Consequences on the Rheology and on the Mechanisms of Bitumen Modification. Adv. Colloid Interface Sci. 2009, 145, 42–82. [Google Scholar] [CrossRef] [PubMed]
- Petersen, J. A Review of the Fundamentals of Asphalt Oxidation: Chemical, Physicochemical, Physical Property, and Durability Relationships; Transportation Research Board: Washington, DC, USA, 2009; p. 78. [Google Scholar]
- Antunes, V.; Moreno, F.; Rubio-Gámez, M.; Freire, A.C.; Neves, J. Assessing RAP Multi-Recycling Capacity by the Characterization of Recovered Bitumen Using DSR. Sustainability 2022, 14, 10171. [Google Scholar] [CrossRef]
- Zhang, Z.; Fang, Y.; Yang, J.; Li, X. A Comprehensive Review of Bio-Oil, Bio-Binder and Bio-Asphalt Materials: Their Source, Composition, Preparation and Performance. J. Traffic Transp. Eng. 2022, 9, 151–166. [Google Scholar] [CrossRef]
- Yu, H.; Xu, Y.; Havener, K.; Zhang, M.; Zhang, L.; Wu, W.; Huang, K. Temperature-Controlled Selectivity of Hydrogenation and Hydrodeoxygenation of Biomass by Superhydrophilic Nitrogen/Oxygen Co-Doped Porous Carbon Nanosphere Supported Pd Nanoparticles. Small 2022, 18, 2106893. [Google Scholar] [CrossRef] [PubMed]
- Toor, S.S.; Rosendahl, L.; Rudolf, A. Hydrothermal Liquefaction of Biomass: A Review of Subcritical Water Technologies. Energy 2011, 36, 2328–2342. [Google Scholar] [CrossRef]
- Demirbas, A. Combustion Characteristics of Different Biomass Fuels. Prog. Energy Combust. Sci. 2004, 30, 219–230. [Google Scholar] [CrossRef]
- Espinosa, L.V.; Gadler, F.; Mota, R.V.; Vasconcelos, K.L.; Bernucci, L.L.B. Comparison Between Rheological Behavior of a Neat Asphalt Binder and a Bio-Binder from Renewable Source. In Proceedings of the RILEM International Symposium on Bituminous Materials; Di Benedetto, H., Baaj, H., Chailleux, E., Tebaldi, G., Sauzéat, C., Mangiafico, S., Eds.; RILEM Bookseries; Springer International Publishing: Cham, Switzerland, 2022; Volume 27, pp. 443–448. ISBN 978-3-030-46454-7. [Google Scholar]
- Pérez, I.P.; Rodríguez Pasandín, A.M.; Pais, J.C.; Alves Pereira, P.A. Use of Lignin Biopolymer from Industrial Waste as Bitumen Extender for Asphalt Mixtures. J. Clean. Prod. 2019, 220, 87–98. [Google Scholar] [CrossRef]
- Park, K.-B.; Kim, J.-S.; Pahlavan, F.; Fini, E.H. Biomass Waste to Produce Phenolic Compounds as Antiaging Additives for Asphalt. ACS Sustain. Chem. Eng. 2022, 10, 3892–3908. [Google Scholar] [CrossRef]
- Guarin, A.; Khan, A.; Butt, A.A.; Birgisson, B.; Kringos, N. An Extensive Laboratory Investigation of the Use of Bio-Oil Modified Bitumen in Road Construction. Constr. Build. Mater. 2016, 106, 133–139. [Google Scholar] [CrossRef]
- Somé, S.C.; Pavoine, A.; Chailleux, E. Evaluation of the Potential Use of Waste Sunflower and Rapeseed Oils-Modified Natural Bitumen as Binders for Asphalt Pavement Design. Int. J. Pavement Res. Technol. 2016, 9, 368–375. [Google Scholar] [CrossRef]
- Uz, V.E.; Gökalp, İ. Sustainable Recovery of Waste Vegetable Cooking Oil and Aged Bitumen: Optimized Modification for Short and Long Term Aging Cases. Waste Manag. 2020, 110, 1–9. [Google Scholar] [CrossRef]
- Ingrassia, L.P.; Lu, X.; Ferrotti, G.; Canestrari, F. Chemical, Morphological and Rheological Characterization of Bitumen Partially Replaced with Wood Bio-Oil: Towards More Sustainable Materials in Road Pavements. J. Traffic Transp. Eng. 2020, 7, 192–204. [Google Scholar] [CrossRef]
- Gong, M.; Yang, J.; Zhang, J.; Zhu, H.; Tong, T. Physical–Chemical Properties of Aged Asphalt Rejuvenated by Bio-Oil Derived from Biodiesel Residue. Constr. Build. Mater. 2016, 105, 35–45. [Google Scholar] [CrossRef]
- Azahar, W.N.A.W.; Jaya, R.P.; Hainin, M.R.; Bujang, M.; Ngadi, N. Chemical Modification of Waste Cooking Oil to Improve the Physical and Rheological Properties of Asphalt Binder. Constr. Build. Mater. 2016, 126, 218–226. [Google Scholar] [CrossRef]
- Zargar, M.; Ahmadinia, E.; Asli, H.; Karim, M.R. Investigation of the Possibility of Using Waste Cooking Oil as a Rejuvenating Agent for Aged Bitumen. J. Hazard. Mater. 2012, 233–234, 254–258. [Google Scholar] [CrossRef]
- Fernandes, S.; Peralta, J.; Oliveira, J.; Williams, R.; Silva, H. Improving Asphalt Mixture Performance by Partially Replacing Bitumen with Waste Motor Oil and Elastomer Modifiers. Appl. Sci. 2017, 7, 794. [Google Scholar] [CrossRef]
- Wang, H.; Ma, Z.; Chen, X.; Mohd Hasan, M.R. Preparation Process of Bio-Oil and Bio-Asphalt, Their Performance, and the Application of Bio-Asphalt: A Comprehensive Review. J. Traffic Transp. Eng. 2020, 7, 137–151. [Google Scholar] [CrossRef]
- Weir, A.; Jiménez Del Barco Carrión, A.; Queffélec, C.; Bujoli, B.; Chailleux, E.; Uguna, C.N.; Snape, C.; Airey, G. Renewable Binders from Waste Biomass for Road Construction: A Review on Thermochemical Conversion Technologies and Current Developments. Constr. Build. Mater. 2022, 330, 127076. [Google Scholar] [CrossRef]
- Ingrassia, L.P.; Canestrari, F. VECD Analysis to Investigate the Performance of Long-Term Aged Bio-Asphalt Mixtures Compared to Conventional Asphalt Mixtures. Road Mater. Pavement Des. 2022, 23, 2697–2712. [Google Scholar] [CrossRef]
- McKendry, P. Energy Production from Biomass (Part 1): Overview of Biomass. Bioresour. Technol. 2002, 83, 37–46. [Google Scholar] [CrossRef] [PubMed]
- Zhang, X.; Brown, R.C. Chapter 1: Introduction to Thermochemical Processing of Biomass into Fuels, Chemicals, and Power. In Thermochemical Processing of Biomass: Conversion into Fuels, Chemicals and Power; John Wiley & Sons: Hoboken, NJ, USA, 2019. [Google Scholar]
- Elliott, D.C.; Biller, P.; Ross, A.B.; Schmidt, A.J.; Jones, S.B. Hydrothermal Liquefaction of Biomass: Developments from Batch to Continuous Process. Bioresour. Technol. 2015, 178, 147–156. [Google Scholar] [CrossRef] [PubMed]
- Machado, H.; Cristino, A.F.; Orišková, S.; Galhano Dos Santos, R. Bio-Oil: The Next-Generation Source of Chemicals. Reactions 2022, 3, 118–137. [Google Scholar] [CrossRef]
- Raouf, M.A.; Williams, C.R. General Rheological Properties of Fractionated Switchgrass Bio-Oil as a Pavement Material. Road Mater. Pavement Des. 2010, 11, 325–353. [Google Scholar] [CrossRef]
- Ameri, A.; Haghshenas, H.F.; Fini, E.H. Future Directions for Applications of Bio-Oils in the Asphalt Industry: A Step to Sequester Carbon in Roadway Infrastructure. Energy Fuels 2023, 37, 4791–4815. [Google Scholar] [CrossRef]
- Zhang, X.; Zhang, K.; Wu, C.; Liu, K.; Jiang, K. Preparation of Bio-Oil and Its Application in Asphalt Modification and Rejuvenation: A Review of the Properties, Practical Application and Life Cycle Assessment. Constr. Build. Mater. 2020, 262, 120528. [Google Scholar] [CrossRef]
- Eurobitume The Eurobitume Life Cycle Inventory for Bitumen, Version 3.1; European Bitumen Association: Brussels, Belgium, 2020.
- Samieadel, A.; Schimmel, K.; Fini, E.H. Comparative Life Cycle Assessment (LCA) of Bio-Modified Binder and Conventional Asphalt Binder. Clean Technol. Environ. Policy 2018, 20, 191–200. [Google Scholar] [CrossRef]
- Grilli, A.; Iori, L.; Porot, L. Effect of Bio-Based Additives on Bitumen Properties. Road Mater. Pavement Des. 2019, 20, 1864–1879. [Google Scholar] [CrossRef]
- Kalampokis, S.; Papamoschou, M.; Kalama, D.M.; Pappa, C.P.; Manthos, E.; Triantafyllidis, K.S. Investigation of the Characteristic Properties of Lignin-Modified Bitumen. CivilEng 2022, 3, 734–747. [Google Scholar] [CrossRef]
- Pérez, I.; Pasandín, A.R.; Pais, J.C.; Pereira, P.A.A. Feasibility of Using a Lignin-Containing Waste in Asphalt Binders. Waste Biomass Valor 2020, 11, 3021–3034. [Google Scholar] [CrossRef]
- Yu, J.; Guo, Y.; Peng, L.; Guo, F.; Yu, H. Rejuvenating Effect of Soft Bitumen, Liquid Surfactant, and Bio-Rejuvenator on Artificial Aged Asphalt. Constr. Build. Mater. 2020, 254, 119336. [Google Scholar] [CrossRef]
- Adesina, P.A.; Dahunsi, B.I. Blended Waste Utilization in Road Construction: Physical Characteristics of Bitumen Modified with Waste Cooking Oil and High-Density Polyethylene. Int. J. Pavement Res. Technol. 2021, 14, 98–104. [Google Scholar] [CrossRef]
- Sun, Z.; Yi, J.; Huang, Y.; Feng, D.; Guo, C. Properties of Asphalt Binder Modified by Bio-Oil Derived from Waste Cooking Oil. Constr. Build. Mater. 2016, 102 Pt 1, 496–504. [Google Scholar] [CrossRef]
- Goncalves, D.; Orišková, S.; Matos, S.; Machado, H.; Vieira, S.; Bastos, D.; Gaspar, D.; Paiva, R.; Bordado, J.C.; Rodrigues, A.; et al. Thermochemical Liquefaction as a Cleaner and Efficient Route for Valuing Pinewood Residues from Forest Fires. Molecules 2021, 26, 7156. [Google Scholar] [CrossRef]
- Neves, J.; da Costa, M.S.; Galhano, R.; Bordado, J.; Santos, L.D.P.; Freire, A.C.; Fontul, S.; Alpiarça, C.; Freitas, J.; Cordeiro, V. Research on Innovative Biobinders for Sustainable Road Pavements The BioRoadPAV Project. Transp. Res. Procedia 2023, 72, 399–406. [Google Scholar] [CrossRef]
- EN 12607-1; Bitumen and Bituminous Binders—Determination of the Resistance to Hardening under the Influence of Heat and Air—Part 1: RTFOT Method. European Committee for Standardization: Brussels, Belgium, 2014.
- CEN EN 1426:2015; Bitumen and Bituminous Binders—Determination of Needle Penetration. European Committee for Standardization: Brussels, Belgium, 2015.
- CEN EN 1427:2015; Bitumen and Bituminous Binders—Determination of the Softening Point: Ring and Ball Method. European Committee for Standardization: Brussels, Belgium, 2015.
- CEN EN 14770:2012; Bitumen and Bituminous Binders—Determination of Complex Shear Modulus and Phase Angle—Dynamic Shear Rheometer (DSR). European Committee for Standardization: Brussels, Belgium, 2012.
- CEN EN 16659:2015; Bitumen and Bituminous Binders: Multiple Stress and Recovery Test (MSCRT). European Committee for Standardization: Brussels, Belgium, 2015.
- AASHTO TP 391-20; Estimating Fatigue Resistance of Asphalt Binders Using the Linear Amplitude Sweep. American Association of State Highway and Transportation Officials: Washington, DC, USA, 2020.
- Carl, C.; Lopes, P.; Sá da Costa, M.; Canon Falla, G.; Leischner, S.; Micaelo, R. Comparative Study of the Effect of Long-Term Ageing on the Behaviour of Bitumen and Mastics with Mineral Fillers. Constr. Build. Mater. 2019, 225, 76–89. [Google Scholar] [CrossRef]
- Safaei, F.; Castorena, C. Material Nonlinearity in Asphalt Binder Fatigue Testing and Analysis. Mater. Des. 2017, 133, 376–389. [Google Scholar] [CrossRef]
- Johnson, C.M. Estimating Asphalt Binder Fatigue Resistance Using an Accelerated Test Method. Ph.D. Thesis, University of Madison-Wisconsin, Madison, WI, USA, 2010. [Google Scholar]
- Petersen, J.C.; Robertson, R.E.; Branthaver, J.; Harnsberger, P.; Duvall, J.J.; Kim, S.; Anderson, D.A.; Christiansen, D.W.; Bahia, H.U.; Dongre, R.; et al. SHRP-A-370. Binder Characterization and Evaluation. Volume 4; Strategic Highway Research Program, National Research Council: Washington, DC, USA, 1994; Volume SHRP-A-370, ISBN 978-0-309-05806-3. [Google Scholar]
- C-SHRP SUPERPAVE Binder Specification and Test Methods; Canadian Strategic Highway Research Program (C-SHRP), Transportation Association of Canada: Ottawa, Canada, 1995; Volume Technical brief #9, ISBN 1-55187-018-5.
- Subhy, A. Advanced Analytical Techniques in Fatigue and Rutting Related Characterisations of Modified Bitumen: Literature Review. Constr. Build. Mater. 2017, 156, 28–45. [Google Scholar] [CrossRef]
- Bahia, H.U.; Hanson, D.L.; Zeng, M.; Zhai, H.; Khatri, M.A.; Anderson, R.M. Characterization of Modified Asphalt Binders in Superpave Mix Design; Transportation Research Board: Washington, DC, USA, 2001. [Google Scholar]
- Durand, G.; Robert, M.; Morin, E. Which Are the Best Rheological Criteria for Characterization of PMB? In Proceedings of the 7th Eurasphalt & Eurobitume Congress, Madrid, Spain, 15–17 June 2021.
- Garcia Cucalon, L.; Kaseer, F.; Arámbula-Mercado, E.; Epps Martin, A.; Morian, N.; Pournoman, S.; Hajj, E. The Crossover Temperature: Significance and Application towards Engineering Balanced Recycled Binder Blends. Road Mater. Pavement Des. 2019, 20, 1391–1412. [Google Scholar] [CrossRef]
- Elwardany, M.D.; Planche, J.-P.; Adams, J.J. Determination of Binder Glass Transition and Crossover Temperatures Using 4-Mm Plates on a Dynamic Shear Rheometer. Transp. Res. Rec. 2019, 2673, 247–260. [Google Scholar] [CrossRef]
- Lei, Z.; Bahia, H.; Yi-qiu, T. Effect of Bio-Based and Refined Waste Oil Modifiers on Low Temperature Performance of Asphalt Binders. Constr. Build. Mater. 2015, 86, 95–100. [Google Scholar] [CrossRef]
- Farrar, M.J.; Turner, T.F.; Planche, J.-P.; Schabron, J.F.; Harnsberger, P.M. Evolution of the Crossover Modulus with Oxidative Aging: Method to Estimate Change in Viscoelastic Properties of Asphalt Binder with Time and Depth on the Road. Transp. Res. Rec. 2013, 2370, 76–83. [Google Scholar] [CrossRef]
- Jing, R.; Varveri, A.; Liu, X.; Scarpas, A.; Erkens, S. Rheological, Fatigue and Relaxation Properties of Aged Bitumen. Int. J. Pavement Eng. 2020, 21, 1024–1033. [Google Scholar] [CrossRef]
- EN 13108-1:2016; Bituminous Mixtures. Materials Specifications. Part 1: Asphalt Concrete. European Committee for Standardization: Brussels, Belgium, 2016.
- Airey, G.D. Rheological Properties of Styrene Butadiene Styrene Polymer Modified Road Bitumens☆. Fuel 2003, 82, 1709–1719. [Google Scholar] [CrossRef]
- EN 12591:2009; Bitumen and Bituminous Binders—Specifications for Paving Grade Bitumens. European Committee for Standardization: Brussels, Belgium, 2009.
- EN 13924-1:2015; Bitumen and Bituminous Binders—Specification Framework for Special Paving Grade Bitumen—Part 1: Hard Paving Grade Bitumens. European Committee for Standardization: Brussels, Belgium, 2015.
- Airey, G.D. Use of Black Diagrams to Identify Inconsistencies in Rheological Data. Road Mater. Pavement Des. 2002, 3, 403–424. [Google Scholar] [CrossRef]
- Petersen, J.C. Binder Characterization and Evaluation; Strategic Highway Research Program, National Research Council: Washington, DC, USA, 1994; ISBN 978-0-309-05809-4. [Google Scholar]
- Soenen, H.; Lu, X.; Robertus, C.; Carbonneau, X.; Durand, G. Durability Parameters Evaluated on Binders Recovered from Various Field Sites in Europe. In Proceedings of the 7th Eurasphalt & Eurobitume Congress, Madrid, Spain, 15–17 June 2021. [Google Scholar]
- Eckmann, B.; Largeaud, S.; Van Rooijen, R.; Planche, L.; Farrar, M.; Planche, J.-P. New Bitumen Performance Indicators—A Feasibility Study. In Proceedings of the 6th Eurasphalt & Eurobitume Congress, Prague, Czech Republic, 1–3 June 2016. [Google Scholar]
- Huang, S.-C.; Zeng, M. Characterization of Aging Effect on Rheological Properties of Asphalt-Filler Systems. Int. J. Pavement Eng. 2007, 8, 213–223. [Google Scholar] [CrossRef]
- Airey, G.D. Factors Affecting the Rheology of Polymer Modified Bitumen (PMB). In Polymer Modified Bitumen; Woodhead Publishing Series in Civil and Structural Engineering; Elsevier: Amsterdam, The Netherlands, 2011; pp. 238–263. ISBN 978-0-85709-048-5. [Google Scholar]
- Hajikarimi, P.; Fakhari Tehrani, F.; Moghadas Nejad, F.; Absi, J.; Rahi, M.; Khodaii, A.; Petit, C. Mechanical Behavior of Polymer-Modified Bituminous Mastics. I: Experimental Approach. J. Mater. Civ. Eng. 2019, 31, 04018337. [Google Scholar] [CrossRef]
- Büchner, J.; Sigwarth, T.; Wistuba, M. Testing Conditions for Asphalt Binder Testing Using Dynamic Shear Rheometer with 4 Mm Diameter Parallel Plate Geometry; Braunschweig Pavement Engineering Centre (ISBS): Braunschweig, Germany, 2021. [Google Scholar] [CrossRef]
- Farrar, M.; Sui, C.; Salmans, S.; Qin, Q. Determining the Low-Temperature Rheological Properties of Asphalt Binder Using a Dynamic Shear Rheometer (DSR); Western Research Institute: Laramie, WY, USA, 2015. [Google Scholar]
- Batista, F.A.; Hofko, B.; Visscher, J.D.; Tanghe, T.; da Costa, M.S. Towards Improved Correlations between Bitumen Properties and Rutting Resistance of Bituminous Mixtures—FunDBitS Literature Review. IOP Conf. Ser. Mater. Sci. Eng. 2017, 236, 012001. [Google Scholar] [CrossRef]
- Ribeiro, T.; Freire, A.C.; Sá-da-Costa, M.; Canejo, J.; Cordeiro, V.; Micaelo, R. Investigating Asphalt Self-Healing with Colorless Binder and Pigmented Rejuvenator. Sustainability 2023, 15, 4556. [Google Scholar] [CrossRef]
- Porot, L.; Zhu, J.; Wang, D.; Cannone Falchetto, A. Multiple Stress Creep Recovery Test to Differentiate Polymer Modified Bitumen at High Temperature. J. Test. Eval. 2022, 51, 20220306. [Google Scholar] [CrossRef]
- Baumgardner, G. Multiple Stress Creep and Recovery (MSCR) Implementation and Transition; University of Nevada: Reno, NV, USA, 2020. [Google Scholar]
- AASHTO M 332-14; Performance-Graded Asphalt Binder Using Multiple Stress Creep Recovery (MSCR) Test. American Association of State Highway and Transportation Officials: Washington, DC, USA, 2014.
- Salim, R.; Gundla, A.; Underwood, B.S.; Kaloush, K.E. Effect of MSCR Percent Recovery on Performance of Polymer Modified Asphalt Mixtures. Transp. Res. Rec. 2019, 2673, 308–319. [Google Scholar] [CrossRef]
- Pereira, A.; Micaelo, R.; Quaresma, L.; Cidade, M.T. Evaluation of Different Methods for the Estimation of the Bitumen Fatigue Life with DSR Testing. In 8th RILEM International Symposium on Testing and Characterization of Sustainable and Innovative Bituminous Materials; Canestrari, F., Partl, M.N., Eds.; Springer Netherlands: Dordrecht, The Netherlands, 2016; Volume 11, pp. 1017–1028. ISBN 978-94-017-7341-6. [Google Scholar]
- Micaelo, R.; Botella, R.; Pérez-Jiménez, F.; Sá da Costa, M. Analysis of the Ageing Effect on the Cyclic Tension–Compression Loading Behaviour of Bitumen and Mastics. Constr. Build. Mater. 2020, 243, 118275. [Google Scholar] [CrossRef]
- Sá da Costa, M.; Farcas, F.; Santos, L.F.; Eusébio, M.I.; Diogo, A.C. Chemical and Thermal Characterization of Road Bitumen Ageing. Mater. Sci. Forum 2010, 636–637, 273–279. [Google Scholar] [CrossRef]
- Kriz, P.; Stastna, J.; Zanzotto, L. Glass Transition and Phase Stability in Asphalt Binders. Road Mater. Pavement Des. 2008, 9 (Suppl. S1), 37–65. [Google Scholar] [CrossRef]












| Property | Test Method | B10/20 | B35/50 | Bio-Oil |
|---|---|---|---|---|
| Penetration @25 °C (0.1 mm) | EN 1426 | 17 | 43 | 213 |
| Softening point (°C) | EN 1427 | 65.0 | 53.0 | 112.5 |
| Performance Indicator | Variables | Method | Performance Indication | Expected Evolution with Ageing | |
|---|---|---|---|---|---|
| Glass transition point: temperature and modulus | Tg |G*|g | Peak in isochrone G″ at 10 rad/s | Thermal cracking | Tg |G*|g | ![]() |
| ~ | |||||
| Crossover point: temperature and modulus | Tc |G*|c | Δ = 45° in isochrone |G*| at 10 rad/s | Fatigue cracking | Tc |G*|c | ![]() |
![]() | |||||
| Intermediate region amplitude: temperature and modulus | ΔTIR R-value | ΔTIR = Tc − Tg | Fatigue cracking | ΔTIR R-value | ![]() |
![]() | |||||
| Point at high stiffness level |G*| = 5 MPa: temperature and phase angle | T5MPa δ5MPa | |G*| = 5 MPa in isochrone at 10 rad/s | Fatigue cracking | T5MPa δ5MPa | ![]() |
![]() | |||||
| Point at low stiffness level |G*| = 50 kPa: temperature and phase angle | T50kPa δ50kPa | |G*| = 50 kPa in isochrone at 10 rad/s | Permanent deformation | T50kPa δ50kPa | ![]() |
![]() |
| Sample | Maximum Strain Average | %R (%) | Rdiff | Jnr (kPa−1) | Jnr-diff | |||
|---|---|---|---|---|---|---|---|---|
| 0.1 kPa | 3.2 kPa | 0.1 kPa | 3.2 kPa | 0.1 kPa | 3.2 kPa | |||
| B10/20 | 0.029 | 0.969 | 21.8 | 19.1 | 12.5 | 0.228 | 0.240 | 5.0 |
| B35/50 | 0.169 | 5.808 | 5.7 | 1.6 | 71.9 | 1.589 | 1.738 | 9.4 |
| B35/50-A | 0.060 | 2.021 | 16.9 | 11.0 | 34.6 | 0.502 | 0.548 | 9.3 |
| Bio | 0.012 | 0.400 | 71.0 | 64.7 | 8.8 | 0.034 | 0.044 | 28.3 |
| Bio-A | 0.001 | 0.027 | 93.2 | 93.4 | −0.3 | 0.001 | 0.001 | 1.8 |
| Performance Indicator | B10/20 | B35/50 | B35/50-A | Bio | Bio-A |
|---|---|---|---|---|---|
| Tg (°C) | −12.9 | −15.6 | −17.7 | <−30 | −18.6 |
| |G*|g (Pa) | 5.8 × 108 | 4.7 × 108 | 5.9 × 108 | 1.0 × 109 * | 6.1 × 108 |
| Tc (°C) | 21.9 | 11.5 | 17.1 | 50.6 | 100.4 |
| |G*|c (Pa) | 1.0 × 107 | 1.7 × 107 | 1.1 × 107 | 9.8 × 104 | 2.0 × 104 |
| ΔTIR (°C) | 34.8 | 27.2 | 34.8 | >80 | 119.1 |
| R-value (Log (Pa)) | 1.75 | 1.43 | 1.74 | 4.00 | 4.48 |
| T5MPa (°C) | 27.0 | 19.4 | 21.9 | 15.6 | 33.9 |
| δ5MPa (°) | 51 | 54 | 50 | 34 | 34 |
| T50kPa (°C) | 57.4 | 45.9 | 51.5 | 57.2 | 87.5 |
| δ50kPa (°) | 72 | 75 | 71 | 47 | 41 |
Disclaimer/Publisher’s Note: The statements, opinions and data contained in all publications are solely those of the individual author(s) and contributor(s) and not of MDPI and/or the editor(s). MDPI and/or the editor(s) disclaim responsibility for any injury to people or property resulting from any ideas, methods, instructions or products referred to in the content. |
© 2024 by the authors. Licensee MDPI, Basel, Switzerland. This article is an open access article distributed under the terms and conditions of the Creative Commons Attribution (CC BY) license (https://creativecommons.org/licenses/by/4.0/).
Share and Cite
Cordeiro, V.; Sá-da-Costa, M.; Alpiarça, C.; Neves, J.; Galhano dos Santos, R.; Bordado, J.; Micaelo, R. The Effect of a Liquified Wood Heavy Fraction on the Rheological Behaviour and Performance of Paving-Grade Bitumen. Sustainability 2024, 16, 972. https://doi.org/10.3390/su16030972
Cordeiro V, Sá-da-Costa M, Alpiarça C, Neves J, Galhano dos Santos R, Bordado J, Micaelo R. The Effect of a Liquified Wood Heavy Fraction on the Rheological Behaviour and Performance of Paving-Grade Bitumen. Sustainability. 2024; 16(3):972. https://doi.org/10.3390/su16030972
Chicago/Turabian StyleCordeiro, Vinicius, Margarida Sá-da-Costa, Carlos Alpiarça, José Neves, Rui Galhano dos Santos, João Bordado, and Rui Micaelo. 2024. "The Effect of a Liquified Wood Heavy Fraction on the Rheological Behaviour and Performance of Paving-Grade Bitumen" Sustainability 16, no. 3: 972. https://doi.org/10.3390/su16030972
APA StyleCordeiro, V., Sá-da-Costa, M., Alpiarça, C., Neves, J., Galhano dos Santos, R., Bordado, J., & Micaelo, R. (2024). The Effect of a Liquified Wood Heavy Fraction on the Rheological Behaviour and Performance of Paving-Grade Bitumen. Sustainability, 16(3), 972. https://doi.org/10.3390/su16030972



