Next Article in Journal
People-Oriented: A Framework for Evaluating the Level of Green Space Provision in the Life Circle from a Supply and Demand Perspective: A Case Study of Gulou District, Nanjing, China
Next Article in Special Issue
The Response of Rapeseed (Brassica napus L.) Seedlings to Silver and Gold Nanoparticles
Previous Article in Journal
Decarbonization Paths for the Dutch Aviation Sector
Previous Article in Special Issue
The Impact of Proximity to Road Traffic on Heavy Metal Accumulation and Enzyme Activity in Urban Soils and Dandelion
 
 
Font Type:
Arial Georgia Verdana
Font Size:
Aa Aa Aa
Line Spacing:
Column Width:
Background:
Article

The Content and Stratification of SOC and Its Humified Fractions Using Different Soil Tillage and Inter-Cropping

Lithuanian Research Centre for Agriculture and Forestry, Institute of Agriculture, Instituto al. 1, Akademija, LT-58344 Kedainiai, Lithuania
*
Authors to whom correspondence should be addressed.
Sustainability 2024, 16(3), 953; https://doi.org/10.3390/su16030953
Submission received: 26 December 2023 / Revised: 17 January 2024 / Accepted: 21 January 2024 / Published: 23 January 2024
(This article belongs to the Special Issue The Relationship between Urban Greening, Agriculture and Soil Quality)

Abstract

Five different tillage systems were researched in a Cambisol of a loam texture in the long-term experiment: conventional ploughing at 22–24 cm (CT), shallow ploughing at 16–18 cm (ShT), harrowing at 8–10 cm (MT1), harrowing at 14–16 cm (MT2), and no tilling (NT). The aim of this study was to determine how different tillage and inter-cropping influence the accumulation and distribution of SOC (soil organic carbon) and its compounds in different soil layers. SOC content changed depending on the soil tillage system and inter-crops used. Stratification ratios (SR) of SOC in the surface soil (0–10 cm) to that in the 10–20 cm (SR1) and 20–30 cm (SR2) were calculated. In our research, SR for SOC varied in the range from 0.97 to 1.35 for SR1 and from 1.02 to 1.99 for SR2. The main conclusion was that inter-crops increased the SOC accumulation in the 0–10 cm layer of all investigated treatments. It was concluded that different soil tillage systems and inter-crops influenced processes of soil carbon changes and affected OM humification in the soil. The formation of humified carbon compounds should be considered not only as a preservation and improvement of the soil productivity, but also as an environmental assessment of their impact on the soil sustainability and reduction in carbon dioxide emissions into the atmosphere. Our results suggest that sustainable tillage and inter-cropping management may contribute to climate mitigation regarding SOC accumulation in soil.

1. Introduction

The major point of stimulating a damage-prevention approach to agricultural management is understanding the importance of soil organic matter (SOM) in soil health and quality.
Soil organic matter is, generally, described as the organic part of the soil, not including undecomposed remains of plants and animals. Sometimes, more broadly defined, SOM can include the total organic material present in the soil, including living microorganisms and undecomposed remains [1,2]. When SOM breaks down for various reasons, soil organic carbon (SOC) is released.
SOC is often considered a key indicator of soil quality in agricultural lands [3]. SOC in the soil ecosystem is influenced not only by natural conditions but also by human activities [4]; in addition, soil properties and climate characteristics have a great influence on the SOC dynamic [5].
Nowadays, more and more attention is focused on SOM and its stabilization in soil. It is well known that SOM plays a key role in various soil properties, such as bulk density, sorption characteristics, and stability of soil structure [6,7].
SOM mainly consists of a water-dissolved fraction and humic substances (HS). HS, depending on their solubility, are defined as humic acids (HA), which are non-soluble at pH below 2 and fulvic acids (FA), which are soluble under both acidic and alkaline conditions, and residue—humin [8]. Several studies have reported that HS, as the humified part of SOM, includes plant residues that have passed the processes of transformation in the soil and have already lost their cellular structure [9,10]. According to Kelleher and Simpson [11], HS are an operationally defined fraction of soil organic matter and it constitutes the largest pool of recalcitrant organic carbon in the environment. It has, traditionally, been thought that extractable HS consists of novel categories of cross-linked macromolecular structures. Different researchers have used various methods for extraction of soil HS, such as: 0.1 M HCl extraction followed by 0.1 M NaOH extraction by the IHSS method [12]; alkaline extraction along with Na2SO4 mixed with 0.1 M NaOH [13]; and various another extraction solutions. These methods used different extraction solutions and times, from 1/6 to 24 h, to assess the solubility of soil HS. In order to scientifically assess the factors being studied, the evaluation of various extraction methods is given. So, extraction methods used receive, in some cases, critical evaluation from experts [14]. First, it is believed that these extraction methods achieved fragmented or, sometimes, contradictory feedback. From our point of view, the methods themselves should not be criticized, but attention needs to be more focused on how accurately the data obtained using the mentioned methods are interpreted.
The main component of SOM is SOC, so the status of SOC and its changes in the soil are of great importance. In the environmental and agricultural sciences, it is important to analyze the factors influencing the accumulation of SOC and its components in the soil. It is true that SOM plays a key role in soil productivity, as it is the main source of N, P, S, and other nutrients required for plant growth, as well as being an energy source for heterotrophic soil fauna [1]. SOC, a few decades ago, was mainly characterized as the main component of SOM. Organic matter, including SOC, was assessed mainly from an agronomic point of view. A little later, attention was directed to the carbon accumulated in the soil in forms of different stability, to reduce carbon emissions into the atmosphere [15].
Land use and management, such as tillage and crop rotation of agricultural plants, can change the amounts, the qualitative composition, and the stratification of SOC and, at the same time, of SOM components in different soil layers [16]. Also, important factors are specific climatic conditions, the type of soil, and its granulometric composition; therefore, the regularities established with some soils may not be suitable for other conditions [17]. This raises the relevance of conducting research in different regions, identifying new ones, and verifying the regularities presented in the scientific literature.
One of the important advantages of low-intensity tillage is its economic benefits. Also, tillage in the agricultural system acts directly on the soil and has a significant impact on the amount of SOC [18]. It is known that effective conservation tillage and crop diversification may improve soil C accumulation [19]. In addition to this, it is important to determine how various soil tillages influence SOC changes within different soil layers. SOC distribution in different layers of soil shows stratification ratio to be a sufficiently informative indicator for the display of processes occurring in the soil. Global estimates of SOC stocks were mainly based on the results from the 0–30 cm soil layer [20]. The soil depth of 0–30 cm is standard sampling depth, according to the Intergovernmental Panel on Climate Change (IPCC) [21]. Although it is relevant, but for different reasons, the distribution of SOC indicators in individual smaller soil layers was not given sufficient attention. Meanwhile, the choice and application of tillage methods, namely, works on the individual sub-layers of this 0–30 cm layer, leading to the redistribution of the SOC amount in these smaller layers. Methods of long-term tillage, or their abandonment, can completely change the status of SOC in the so-called “arable layer” and in its individual parts. With different tillage and loosening of the soil, the chemical and physical properties of the soil change [22]. As a result, not only the yield of plants changes, but also the accumulation of organic matter as well as humification or mineralization, and CO2 emissions also change [23,24].
The effect of tillage systems on soil characteristics must be considered indistinguishable from cultivated plants, crop rotation, and fertilization. There is no doubt that the influence of inter-crops is important for C accumulation. According to Hu et al. [25], after inter-cropping, SOC content dissolved organic carbon and the readily oxidized organic carbon significantly increased in the soil. It was concluded that the content of SOC positively related to the size of soil aggregates. However, it is influenced by the type and characteristics of the soil and meteorological and climatic peculiarities. So, determining the general regularities and drawing conclusions, researchers have to take into account specific local site conditions. Similar results were obtained by Prudil et al. [26] who found that management with straw incorporation and inter-crops represented SOC increase during modelled different climate scenarios.
Stratification ratios SR1 and SR2 are defined as the value of the parameter at the soil surface divided by the value in the deeper soil layer [27]. Diverse components stratification is a typical feature under long-term soil use and management, including NT treatment.
Arable soil was seriously threatened by unsustainable farming practices. It was estimated that soil in the US has lost approximately 30–50% of the SOC that it contained before the establishment of agriculture [28,29]. In arable soils, tillage systems are often identified as factors contributing to the depletion of organic matter and organic carbon [30]. There is the need to search for tools that increase the accumulation of SOCs, maintain a good composition of OM, and even promote its improvement. This would mean the use of sustainable tillage, as well as the introduction of intermediate plants into crop rotation [31]. SOC changes do not occur quickly, so these changes are more pronounced in long-term experiments. There is a shortage of such experiments, so the data obtained in them are of great value. Stabilization of SOC occurs in humified fractions which are identified as humified C. We hypothesize that with the formation of humified compounds, carbon is stabilize and protected from decomposition and inter-cropping in combination with minimized tillage will help to improve soil chemical properties.
The main goal of this study was to comprehensively research the impact of different long-term soil tillage systems, including no tilling, and eight years of inter-cropping usage on SOC changes and distribution in the soil as well as formation of humified carbon components.

2. Materials and Methods

2.1. Study Site Description

The research described in the article has been performed in a long-term experiment in Dotnuva, Lithuania, Kedainiai District (55°23′20.7″ N 23°52′06.5″ E) (Figure 1). The soil tillage field experiment was performed at the experimental base of the Lithuanian Research Centre for Agriculture and Forestry (LAMMC) which is located in Central Lithuania’s lowland. The climate of Lithuania is humid continental, with warm summers and rather severe winters [32]. Mean annual air temperature ranged from 5.8 to 7.6 °C and annual precipitation was between 550- and 910-mm. The field experiment was situated in the warm agroclimatic zone, which has less precipitation compared to other zones [33].
According to WRB [34], the soil was named as an Endocalcari–Epihypogleyic Cambisol of a loam texture (19% clay, 34% silt, and 47% sand). Agrochemical soil characteristics of 0–10, 10–20, and 20–30 cm layers are presented in Table 1. The soil in all layers was of neutral pH value, with medium content of humus and quite high content of available phosphorus and potassium.
This long-term soil tillage experiment set up for scientific purposes started in the middle of the last century (in 1956) in the Institute of Agriculture, and by different researchers, and it has been continued. From the very beginning, the experiment included 5 different tillage methods (treatments) and was established in 4 blocks (replications). During this experimental period, certain changes and modifications were made to the experiment’s design, adapting it to be relevant to now: shallow harrowing and no tillage were initiated in 2003 and deep harrowing in 2012. However, the main treatments of the tillage experiment still remained (deep (CT) and shallow ploughing (ShT) were continuously practiced from 1956) (Figure 1).

2.2. Experiment Design and Soil Sampling

The long-term experiment was a two-factorial split-plot design in four replications (blocks) which includes: five different tillage treatments as the main plots and two inter-crop managements (with and without inter-crop) as sub-plots (Figure 1, Table 2). The crop sequence of 5 crops extended in time with and without inter-crops was consistent since 2013. All crop residues and straw after the harvest remained in the same areas and were not removed from the field where they grew. The gross size of each tillage plot was 210 m2 (10 m × 21 m) and 90 m2 (10 m × 9 m) of each inter-crop sub-plot.
Crop sequence: spring wheat (with white mustard/without white mustard), spring barley (with white mustard/without white mustard), and field pea, winter wheat, winter oilseed rape (with white clover/without white clover). Crop sowing, together with seed bed preparation was performed across the tillage treatments with the disc drilling machine. White mustard was established across the tillage treatments (in half of all plots) approximately 3 weeks before harvest of the main crop using a fertilizer spreader. White clover seeds were spread in spring, after the recommencement of w. oilseed rape growth. The inter-crops biomass was chopped (using the chopping machine) in the whole trial (including no-tillage treatments) and spread on the same areas before the autumn tillage. The same operation was conducted in the sub-plots without the inter-crop to unify the tillage conditions.
To assess the influence of the long-term different tillage and inter-crop management (8 years) practices on SOC, soil sampling was conducted in 2021 in spring, before fertilization of the winter wheat. A hand auger was used for soil sampling. A composite sample of 5 subsamples was taken from each sub-plot (along the plot, to represent the soil of whole plot area) in 4 replications from 0–10, 10–20, and 20–30 cm layers for the agrochemical analyses (in total, 120 composite samples).

2.3. Methods of Analyses

Agrochemical soil analyses were conducted at the Chemical Research Laboratory at LAMMC. Prior to the analyses, the soil samples were air dried; after that, they were crushed in a porcelain pestle and sieved through a 2 mm stainless-steel metal sieve. Visible plant residues and roots were removed manually. For the analysis of SOC and carbon fractions, an aliquot of the samples was passed through a 0.25 mm sieve. SOC was determined using wet chemistry using the Tyurin method, which was modified by Nikitin [35], and the spectrophotometric measurement was used. The dichromate digestion was conducted at 160 °C for 30 min and absorbance of the diluted solution was measured at a wavelength of 590 nm using glucose as a standard. SOC content of humic substances (HS), HA, and FA were determined analogous. The extraction of mobile humic substances (MHS) was conducted by 0.1 M NaOH solution as is often used in humic substances analytics [36]. The organic carbon of MHS was determined as analogous to that for SOC.

2.4. Statistical Analysis

Data were processed with Excel (version 2311). The results of SOC and humified carbon fractions are shown as the mean of four field replicates using one-way analysis of variance (ANOVA) (p < 0.05). Comparisons were performed using Fisher’s least significant difference (LSD) test to determine the significance of treatment effects.

3. Results

3.1. Changes in the Content and Stratification of SOC

The SOC content changed depending on the soil tillage system and inter-crops used (Figure 2). The application of CT formed a thick 0–30 cm layer which was homogeneous in terms of SOC. It was found that inter-crops positively affected the accumulation of SOC in the top layer of soil (0–10 cm) of all treatments investigated. Sustainable tillage treatments (MT1, MT2, and NT) together with inter-cropping significantly increased the amount of SOC in a layer of 0–10 cm. The use of sustainable tillage systems (MT1 and MT2) and NT resulted in SOC differentiation within soil layers. With NT treatment, inter-crop biomass had not inserted deeper into the soil and humification of plant residues was limited due to the aerobic environment, so they did not have a positive effect on the amount of SOC in deeper soil layers. In contrast, using NT, SOC content significantly decreased in 20–30 cm soil layer compared to CT.
We compared the SRs of SOC content in the surface soil (0–10 cm) to that in the 10–20 cm (SR1) and 20–30 cm (SR2), respectively. The long-term application of different tillage led to the stratification of the amount of SOC in the soil layers. Stratification ratios for SOC varied in the range from 0.97 to 1.35 for SR1 and from 1.02 to 1.99 for SR2 (Table 3). The lower values of SOC stratification were determined in CT treatment. So, the CT system formed similar layers according to SOC stratification and ShT increased the differentiation of layers according to this parameter. The low values of SR indicate the similarity of the soil in terms of SOC amount and, in contrast, the higher values of SR demonstrate increased differentiation of SOC in individual soil layers. SR1 values increased in all treatments using inter-crops compared to that without inter-crops (Table 3).

3.2. Changes in Mobile Humic Substances of the Soil

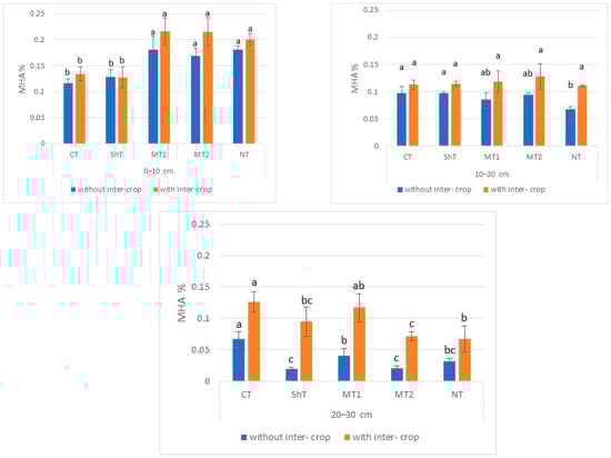
The data presented in Figure 3 show that MT1 and MT2 tillage systems, including inter-crops, resulted in highest amounts of mobile humic acids (MHA) in 0–10 cm soil layer. A similar, only weaker, trend was observed in a layer of 10–20 cm. It is interesting to note that the least influence on humification in NT and MT2 in a layer of 20–30 cm was exerted by inter-crops, since in the NT treatment plant residues were not embedded in the soil and did not have the opportunity to participate in the humification in this soil layer.
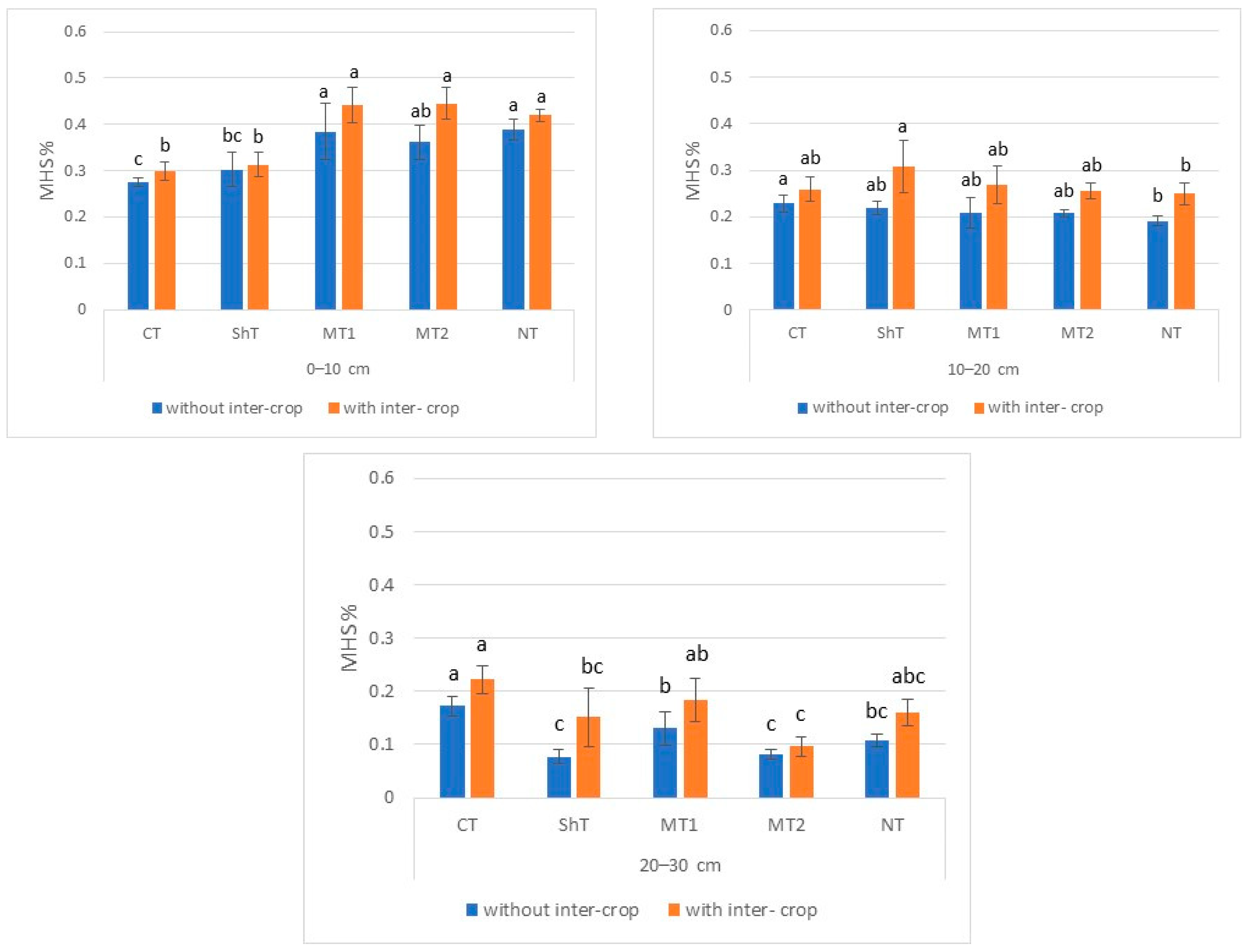
MHS demonstrates the course of mineralization and humification occurring in the soil in the first phases of the transformation of organic matter and this seems to indicate the viability of the soil. Therefore, with this study, it was concluded that different soil tillage systems and inter-crops influence processes of soil carbon changes and affect OM humification in soil forming MHS (Figure 4). MT1 and MT2 soil tillage treatments with inter-crops determined the largest accumulation of MHS in a layer of 0–10 cm, 0.442–0.445%, respectively. Using shallow tillage in a 10–20 cm layer formed significantly more MHS (0.308%), when inter-crops were grown. MT1 and MT2 soil tillage treatments determined the largest accumulation of MHS in a layer of 0–10 cm. MT1 and MT2 soil tillage treatments determined the largest accumulation of MHS in a layer of 0–10 cm. In the case of CT tillage, the content of MHS in the soil layer of 20–30 cm remained similar to that in a layer of 10–20 cm.

4. Discussion

The assessment of changes in SOC is of great importance from an agronomic point of view due to the influence on the reduction in carbon in the atmosphere [15,37]. The results obtained in our study expand the data previously obtained on different soils that NT as well as IT increase SOC in the topsoil [29]. Some of the results of scientific research have revealed that properly selected management practices, which include cover crops cultivation and the soil conservation technologies applied, had a positive influence on the increase in the SOC stock in the soils [38,39,40]. In Lithuania, over the past two decades, the cultivation of various inter-crops has increased significantly. Some studies conducted by Lithuania show that in fertile soils, it is best to grow clover as inter-crops in crop rotations of cereals [41]. Red clover produces up to 8.5 t/ha of biomass in a favorable year of growth and takes 60% of the accumulated nitrogen from the atmosphere. In our experiment, a crop rotation of 5 agricultural crops was applied, where inter-crops were included in 3 agricultural crops, which is 60% of the summed number of plants. Thus, the advanced crop rotation was saturated with two types of inter-crops (white mustard and white clover). Therefore, such a crop rotation with inter-crops had a noticeable positive influence on the incorporation of inter-crops biomass in the soil and the changes of SOC and its compounds in it. Babu et al. [19] also indicates that no-tillage and legume-cropping systems have resulted in improvement of soil quality and SOC restoration.
According to Franzluebbers [27], stratification ratios of SOC were 1.1–1.9 under CT and 3.4–2.0 under NT. However, this indicator depends on the thickness of the layers studied and, therefore, may differ in different studies. In our case, attention was paid to the differentiation of 0–30 cm soil layer at intervals of 10 cm. The stratification of carbon and nitrogen depends on the amount of OM in the soil with the adoption of conservation tillage under inherently low SOM, suggesting that standing stock of soil organic matter alone is an insufficient indication of soil quality.
HS are involved in complex biogeochemical processes; thus, their extraction aiming at their characterization is very important [8]. Various complex processes of organic matter transformation take place in the soil. They can be divided into stages of humification. Organic matter entering the soil must be decomposed by soil microorganisms and, as a result of complex chemical reactions in the soil, MHS are formed at the first stage. The widely used and recognized method to assess soil quality is the determination of fractional composition of the organic part of soil. The determination of HS has an advantage because it allows for more accurate estimation of SOC changes. HA and FA fractions were prepared using alkali extraction methods, which have been used in the scientific community for >200 years to study the structure and function of soil organic matter [9,42]. Mobile humic acids are distinguished from less labile material by their immediate extraction from the soil with NaOH [42,43]. MHA are free or faintly bound to non-silicate sesquioxide and are not soluble under acidic (pH < 2) conditions, but soluble in solution of higher pH values [44,45].
During the mineralization process, these mobile fractions, such as MHA, MFA, etc., enrich the soil with plant nutrients. Therefore, it is essential for the development of the plant and the formation of above- and below-ground biomass as well as for soil biota [46]. Previous studies of humus fractions in different soil systems also highlight the response of mobile humus fractions to site or land management practices [42]. It has been stated that in the investigated land uses, mobile humic fractions consisted of 46–53% of the total SOC.
Some researchers found that SOC has humic and non-humic substance constituents. They concluded that humic substances have a greater influence on soil fertility because they regulate most of the soil processes compared to non-humic substances [18,47,48]. According to Kwiatkowska-Malina [49], the soil utility parameter should be evaluated through the SOM qualitative and quantitative analysis of organic carbon. Information obtained about the transformation and dynamics of organic matter is essential and highly important, particularly in the context of stability and efficiency of different sources of organic matter applied to the soil. Qualitative understanding of transformations of SOM dynamics and modeling for quantitative assessment of HS formation should be used in developing sustainable soil management. The valuable research data obtained in our experiment show the importance of humified carbon in agriculture by comparing different tillage systems and inter-crops. This is important for improving soil productivity and increasing soil sustainability, which is essential to general agricultural sustainability, as measured by the preservation of environmental balance, the supply of safe agricultural products to the consumer, and economically acceptable production [50]. Production of human food is based on cultivation on arable soils and grassland and the future of food production for human civilization will be based on productive and sustainable cultivation on agricultural soils [51]. Here, we summarize the possibilities of applying sustainable tillage and inter-crop management for the preservation and increase in SOC, which was characterised by Houa et. al. [52] as one of the most important determinants of soil sustainability.

5. Conclusions

The summarized results of this work allow us to conclude that soil organic carbon (SOC) content changed depending on the soil tillage system and inter-crops used. We conclude that the long-term application of different tillage systems led to the stratification of the amount of SOC in the soil layers. The sustainable tillage systems (ShT, MT1, and MT2) and NT resulted in SOC differentiation within soil layers different from CT, where a homogeneous soil layer of 0–30 cm was formed considering this indicator. Stratification ratios for SOC varied in our research ranging from 0.97 to 1.35 for SR1 and from 1.02 to 1.99 for SR2. The long-term tillage and inter-crop experiment showed that the use of inter-crops positively affected soil quality by increasing the humification process that MT1 and MT2 tillage systems, including inter-crops, resulted in the highest amounts of MHA in 0–10 cm soil layer. Useful information was gained, in that crop rotation with inter-crops included in 60% of plants increased the accumulation of SOC mostly in the 0–10 cm layer of all soil tillage treatments investigated. Agricultural practices incorporating inter-crop biomass to the fertile soil and minimization tillage intensity are recommended to achieve increased soil productivity, SOC preservation in the soil, and reduction in carbon dioxide emissions into the atmosphere.
This experiment allows us to evaluate the effects of long-term, continuous use of technology on soil health, productivity, and the environment, so it is important to continue the research. Further studies of microbiological indicators are necessary to better explain the changes in SOC and humified carbon compounds and to explain more thoroughly the processes of transformation of organic matter in the soil.

Author Contributions

Conceptualization, A.S. (Alvyra Slepetiene), G.K., S.S. and O.A.; methodology, A.S. (Alvyra Slepetiene), G.K., S.S. and O.A.; software, A.S. (Alvyra Slepetiene) and A.S. (Aida Skersiene); validation, A.S. (Alvyra Slepetiene), G.K., S.S. and O.A.; formal analysis, A.S. (Aida Skersiene); investigation, A.S. (Alvyra Slepetiene), G.K., A.S. (Aida Skersiene) and O.A.; data curation, A.S. (Alvyra Slepetiene) and A.S. (Aida Skersiene); writing—original draft preparation, A.S. (Alvyra Slepetiene); writing—review and editing, A.S. (Alvyra Slepetiene), G.K., S.S. and O.A.; visualization, A.S. (Alvyra Slepetiene); supervision, G.K. and S.S.; project administration, S.S.; funding acquisition, S.S. and O.A. All authors have read and agreed to the published version of the manuscript.

Funding

This research was funded by the European Union’s Horizon 2020 research and innovation program via the AGROECOseqC project, grant number 862695.

Institutional Review Board Statement

Not applicable.

Informed Consent Statement

Not applicable.

Data Availability Statement

Data are contained within the article.

Acknowledgments

This work was partly supported by the research program “Productivity and sustainability of agricultural and forest soils” implemented by the Lithuanian Research Center for Agriculture and Forestry (LAMMC). Also, we gratefully acknowledge the assistance of the technical staff of the Chemical Research Laboratory’s Department of Soil and Crop Management as well as the Department of Field Trial Services.

Conflicts of Interest

The authors declare no conflicts of interest.

References

  1. Bernoux, M.; Cerri, C.E.P. Geochemistry. Soil, Organic Components. In Encyclopedia of Analytical Science, 2nd ed.; Worsfold, P., Townshend, A., Poole, C., Eds.; Elsevier: Amsterdam, The Netherlands, 2005; pp. 203–208. [Google Scholar]
  2. Shamshitov, A.; Decorosi, F.; Viti, C.; Fornasier, F.; Kadžienė, G.; Supronienė, S. Characterisation of Cellulolytic Bacteria Isolated from Agricultural Soil in Central Lithuania. Sustainability 2023, 15, 598. [Google Scholar] [CrossRef]
  3. Chevallier, T.; Hamdi, S.; Gallali, T.; Brahim, N.; Cardinel, R.; Bou nouara, Z.; Cournac, L.; Chenu, C.; Bernoux, M. Soil car bon as an indicator of Mediterranean soil quality. In The Mediterranean Region under Climate Change: A Scientific Update “Sub-Chapter 3.5.3”; Moatti, J.P., Thiébault, S., Eds.; National Alliance for Environmental Research: Marseille, French, 2016; pp. 627–636. [Google Scholar]
  4. Tayebi, M.; Fim Rosas, J.T.; Mendes, W.d.S.; Poppiel, R.R.; Ostovari, Y.; Ruiz, L.F.C.; dos Santos, N.V.; Cerri, C.E.P.; Silva, S.H.G.; Curi, N.; et al. Drivers of organic car bon stocks in different LULC history and along soil depth fora 30 years image time series. Remote Sens. 2021, 13, 2223. [Google Scholar] [CrossRef]
  5. Wiesmeier, M.; Urbanski, L.; Hobley, E.; Lang, B.; Von Lutzow, M.; Ma rin-Spiotta, E.; Van Wasemael, B.; Rabot, E.; Liess, M.; Garcia-Franco, N.; et al. Soil or ganic carbon storage as a key function of soils—A review of drivers and indicators at various scales. Geoderma 2019, 333, 149–169. [Google Scholar] [CrossRef]
  6. Pavlů, L.; Kodešová, R.; Fér, M.; Nikodem, A.; Němec, F.; Prokeš, R. The impact of various mulch types on soil properties controlling water regime of the Haplic Fluvisol. Soil Till. Res. 2021, 205, 104748. [Google Scholar] [CrossRef]
  7. Pavlů, L.; Kodešová, R.; Vašát, R.; Fér, M.; Klement, A.; Niko dem, A.; Kapička, A. Estimation of the stability of topsoil aggregates in areas affected by water erosion using selected soil and terrain properties. Soil Till. Res. 2022, 219, 105348. [Google Scholar] [CrossRef]
  8. Mohinuzzaman, M.; Yuan, J.; Yang, X.; Senesi, N.; Li, S.L.; Ellam, R.M.; Mostofa, K.M.G.; Liu, C.Q. Insights into solubility of soil humic substances and their fluorescence characterisation in three characteristic soils. Sci. Total Environ. 2020, 720, 137395. [Google Scholar] [CrossRef] [PubMed]
  9. Aleksandrova, L.N.; Naidenova, O.A. Laboratory Praxis in Soil Science; Kolos: Leningrad, Russia, 1976; p. 294. [Google Scholar]
  10. Nardi, S.; Schiavon, M.; Francioso, O. Chemical Structure and Biological Activity of Humic Substances Define Their Role as Plant Growth Promoters. Molecules 2021, 26, 2256. [Google Scholar] [CrossRef]
  11. Kelleher, B.P.; Simpson, A.J. Humic Substances in Soils: Are They Really Chemically Distinct? Environ Sci Technol. 2006, 40, 4605–4611. [Google Scholar] [CrossRef]
  12. Swift, R.S. Organic matter characterization. In Methods of Soil Analysis. Part 3: Chemical Methods, 5th ed.; Sparks, D.L., Page, A.L., Helmke, P.A., Eds.; Soil Science Society of America and American Society of Agronomy: Madison, WI, USA, 1996; pp. 1011–1069. [Google Scholar]
  13. Ikeya, K.; Watanabe, A. Direct expression of an index for the degree of humification of humic acids using organic carbon concentration. Soil Sci. Plant Nutr. 2003, 49, 47–53. [Google Scholar] [CrossRef]
  14. Kleber, M.; Lehmann, J. Humic substances extracted by alkali are invalid proxies for the dynamics and functions of organic matter in terrestrial and aquatic ecosystems. J. Environ. Qual. 2019, 48, 207. [Google Scholar] [CrossRef]
  15. Rakesh, S.; Sarkar, D.; Shikha; Sankar, A.; Sinha, A.K.; Mukhopadhyay, P.; Rakshit, A. Protocols for determination and evaluation of organic carbon pools in soils developed under contrasting pedogenic processes and subjected to varying management situations. In Soil Analysis: Recent Trends and Applications; Rakshit, A., Ghosh, S., Chakraborty, S., Philip, V., Datta, A., Eds.; Springer: Singapore, 2020; pp. 87–105. [Google Scholar]
  16. Ramesh, T.; Bolan, N.S.; Kirkham, M.B.; Wijesekara, H.; Kanchikerimath, M.; Srinivasa Rao, C.; Sandeep, S.; Rinklebe, J.; Ok, Y.S.; Choudhury, B.U.; et al. Soil Organic Carbon Dynamics: Impact of Land Use Changes and Management Practices: A Review. In Advances in Agronomy; Academic Press: Cambridge, MA, USA, 2019; Volume 156, pp. 1–107. [Google Scholar]
  17. Inagaki, T.M.; Possinger, A.R.; Grant, K.E.; Schweizer, S.A.; Mueller, C.W.; Derry, L.A.; Kögel-Knabner, I. Subsoil organo-mineral associations under contrasting climate conditions. Geochim. Cosmochim. Acta 2020, 270, 244–263. [Google Scholar] [CrossRef]
  18. Guo, Y.F.; Fan, R.Q.; Zhang, X.P.; Zhang, Y.; Wu, D.H.; McLaughlin, N.; Zhang, S.X.; Chen, X.W.; Jia, S.X.; Liang, A.Z. Tillage-induced effects on SOC through changes in aggregate stability and soil pore structure. Sci. Total Environ. 2019, 703, 134617. [Google Scholar] [CrossRef] [PubMed]
  19. Babu, S.; Singh, R.; Avasthe, R.; Kumar, S.; Rathore, S.S.; Singh, V.K.; Ansari, M.A.; Valente, D.; Petrosillo, I. Soil carbon dynamics under organic farming: Impact of tillage and cropping diversity. Ecol. Indic. 2023, 147, 109940. [Google Scholar] [CrossRef]
  20. Kunlanit, B.; Butnan, S.; Vityakon, P. Land–Use Changes Influencing C Sequestration and Quality in Topsoil and Subsoil. Agronomy 2019, 9, 520. [Google Scholar] [CrossRef]
  21. IPCC. Agriculture, forestry and other land use. In IPCC Guidelines for National Greenhouse Gas Inventories 2006; Eggleston, H.S., Buendia, L., Miwa, K., Ngara, T., Tanabe, K., Eds.; IGES: Hayama, Japan, 2006. [Google Scholar]
  22. Veršulienė, A.; Kadžienė, G.; Kochiieru, M.; Pranaitienė, S.; Meškauskienė, L.; Auškalnienė, O. Response of spring barley root and soil physical properties to changes under cover crop and different tillage. Zemdirbyste 2022, 109, 291–296. [Google Scholar] [CrossRef]
  23. Bhattacharyya, S.S.; Leite, F.F.G.D.; France, C.L.; Adekoya, A.O.; Ros, G.H.; de Vries, W.; Melchor-Martínez, E.M.; Iqbal, H.M.N.; Parra-Saldívar, R. Soil Carbon Sequestration, Greenhouse Gas Emissions, and Water Pollution under Different Tillage Practices. Sci. Total Environ. 2022, 826, 154161. [Google Scholar] [CrossRef] [PubMed]
  24. Doyeni, M.O.; Suproniene, S.; Versuliene, A.; Kadziene, G. Influence of long-term application of management practices (tillage, cover crop and glyphosate) on greenhouse gas emissions and soil physical properties. Plants 2023, submitted.
  25. Hu, L.; Huang, R.; Deng, H.; Li, K.; Peng, J.; Zhou, L.; Ou, H. Effects of Different Intercropping Methods on Soil Organic Carbon and Aggregate Stability in Sugarcane Field. Pol. J. Environ. Stud. 2022, 31, 3587–3596. [Google Scholar] [CrossRef]
  26. Prudil, J.; Pospíšilová, L.; Dryšlová, T.; Barančíková, G.; Smutný, V.; Sedlák, L.; Ryant, P.; Hlavinka, P.; Trnka, M.; Halas, J.; et al. Assessment of carbon sequestration as affected by different management practices using the RothC model. Plant Soil Environ. 2023, 69, 532–544. [Google Scholar] [CrossRef]
  27. Franzluebbers, A.J. Soil organic matter stratification ratio as an indicator of soil quality. Soil Till. Res. 2002, 66, 95–106. [Google Scholar] [CrossRef]
  28. Kucharik, C.J.; Brye, K.R.; Norman, J.M.; Foley, J.A.; Gower, S.T.; Bundy, L.G. Measurements and modeling of carbon and nitrogen cycling in agroecosystems of southern Wisconsin: Potential for SOC sequestration during the next 50 years. Ecosystems 2001, 4, 237–258. [Google Scholar] [CrossRef]
  29. Haddaway, N.R.; Hedlund, K.; Jackson, L.E.; Kätterer, T.; Lugato, E.; Thomsen, I.K.; Jørgensen, H.B.; Isberg, P.E. How does tillage intensity affect soil organic carbon? A systematic review. Environ. Evid. 2017, 6, 30. [Google Scholar] [CrossRef]
  30. Yu, Z.; Lu, C.; Hennessy, D.A.; Feng, H.; Tian, H. Impacts of tillage practices on soil carbon stocks in the US corn-soybean cropping system during 1998 to 2016. Environ. Res. Lett. 2020, 15, 014008. [Google Scholar] [CrossRef]
  31. Sartori, F.; Piccoli, I.; Polese, R.; Berti, A. A multivariate approach to evaluate reduced tillage systems and cover crop sustainability. Land 2021, 11, 55. [Google Scholar] [CrossRef]
  32. Kottek, M.; Grieser, J.; Beck, C.; Rudolf, B.; Rubel, F. World Map of the Köppen-Geiger climate classification updated. Meteorolog. Z. 2006, 15, 259–263. [Google Scholar] [CrossRef]
  33. Kavaliauskas, A.; Žydelis, R.; Castaldi, F.; Auškalnienė, O.; Povilaitis, V. Predicting Maize Theoretical Methane Yield in Combination with Ground and UAV Remote Data Using Machine Learning. Plants 2023, 12, 1823. [Google Scholar] [CrossRef]
  34. IUSS Working Group WRB. World Reference Base for Soil Resources. International Soil Classification System for Naming SOILS and Creating Legends for Soil Maps, 4th ed.; International Union of Soil Sciences (IUSS): Vienna, Austria, 2022; Available online: https://www.isric.org/sites/default/files/WRB_fourth_edition_2022-12-18.pdf (accessed on 6 December 2023).
  35. Nikitin, B.A. A method for soil humus determination. Agric. Chem. 1999, 3, 156–158. [Google Scholar]
  36. Ponomareva, V.V.; Plotnikova, T.A. Humus and Soil Formation; Nauka: Leningrad, Russia, 1980; p. 220. [Google Scholar]
  37. Lal, R. Global Potential of Soil Carbon Sequestration to Mitigate the Greenhouse Effect. Crit. Rev. Plant Sci. 2003, 22, 151–184. [Google Scholar] [CrossRef]
  38. Poeplau, C.; Don, A. Carbon sequestration in agricultural so ils via cultivation of cover-crops. A meta-analysis. Agric. Ecosys. Environ. 2015, 200, 33–41. [Google Scholar] [CrossRef]
  39. Valkama, E.; Kunypiyaeva, G.; Zhapayev, R.; Karabayev, M.; Zhusupbekov, E.; Perego, A.; Schillaci, C.; Sacco, D.; Moretti, B.; Grignani, C.; et al. Can conservation agriculture in crease soil carbon sequestration? A modelling approach. Geoderma 2020, 369, 114298. [Google Scholar] [CrossRef]
  40. Seitz, D.; Fischer, L.; Dechow, R.; Wiesmeier, M.; Don, A. The potential of cover crops to increase soil organic carbon storage in German croplands. Plant Soil 2022, 488, 157–173. [Google Scholar] [CrossRef]
  41. Arlauskiene, A.; Maiksteniene, S. The effect of cover crop and straw applied for manuring on spring barley yield and agrochemical soil properties. Zemdirbyste 2010, 97, 61–72. [Google Scholar]
  42. Olk, D.C.; Bloom, P.R.; De Nobili, M.; Chen, Y.; McKnight, D.M.; Wells, M.J.M.; Weber, J. Using Humic Fractions to Understand Natural Organic Matter Processes in Soil and Water: Selected Studies and Applications. J. Environ. Qual. 2019, 48, 1633–1643. [Google Scholar] [CrossRef]
  43. Olk, D.C.; Cassman, K.G.; Fan, T.W.M. Characterization of two humic acid fractions from a calcareous vermiculitic soil: Implications for the humification process. Geoderma 1995, 65, 195–208. [Google Scholar] [CrossRef]
  44. Liaudanskiene, I.; Zukaitis, T.; Velykis, A.; Satkus, A.; Parasotas, I. The impact of tillage practices on the distribution of humified organic carbon in a clay loam. Zemdirbyste 2021, 108, 11–18. [Google Scholar] [CrossRef]
  45. Mockeviciene, I.; Karcauskiene, D.; Slepetiene, A.; Vilkiene, M.; Repsiene, R.; Braziene, Z.; Anne, O. Influence of Liming Intensity on Fractions of Humified Organic Carbon in Acid Soil: A Case Study. Sustainability 2022, 14, 5297. [Google Scholar] [CrossRef]
  46. Hayns, R.J. Labile organic matter fractions as central components of the quality of agricultural soils: An overview. In Advances in Agronomy; Academic Press: Cambridge, MA, USA, 2005; Volume 85, pp. 221–268. [Google Scholar]
  47. Stevenson, F.J. Humus Chemistry: Genesis, Composition, Reactions; John Wiley: New York, NY, USA, 1994; p. 512. [Google Scholar]
  48. Huang, P.M. Soil mineral-organic matter microorganisms interactions: Fundamentals and impacts. Adv. Agron. 2004, 82, 391–472. [Google Scholar]
  49. Kwiatkowska-Malina, J. Qualitative and quantitative soil organic matter estimation for sustainable soil management. J. Soils Sediments 2018, 18, 2801–2812. [Google Scholar] [CrossRef]
  50. Mondini, C.; Sequi, P. Implication of soil C sequestration on sustainable agriculture and environment. Waste Manag. 2008, 28, 678–684. [Google Scholar] [CrossRef]
  51. Gerke, J. The Central Role of Soil Organic Matter in Soil Fertility and Carbon Storage. Soil Syst. 2022, 6, 33. [Google Scholar] [CrossRef]
  52. Hou, D.; Bolan, N.S.; Tsang, D.C.W.; Kirkham, M.B.; O’Connor, D. Sustainable soil use and management: An interdisciplinary and systematic approach. Sci. Total Environ. 2020, 729, 138961. [Google Scholar] [CrossRef] [PubMed]
Figure 1. The Experimental site, Lithuania.
Figure 1. The Experimental site, Lithuania.
Sustainability 16 00953 g001
Figure 2. SOC accumulation in different soil tillage and inter-cropping systems, 2021. CT—conventional ploughing; ShT—shallow ploughing at 16–18 cm; MT1—harrowing at 8–10 cm; MT2—harrowing at 14–16 cm; and NT—no tillage. Standard errors are indicated in the bars on the columns. Different letters above the bars indicate significant differences between the treatments (n4).
Figure 2. SOC accumulation in different soil tillage and inter-cropping systems, 2021. CT—conventional ploughing; ShT—shallow ploughing at 16–18 cm; MT1—harrowing at 8–10 cm; MT2—harrowing at 14–16 cm; and NT—no tillage. Standard errors are indicated in the bars on the columns. Different letters above the bars indicate significant differences between the treatments (n4).
Sustainability 16 00953 g002
Figure 3. Accumulation of mobile humic acids (MHA) in different tillage and inter-cropping systems. CT—conventional ploughing; ShT—shallow ploughing at 16–18 cm; MT1—harrowing at 8–10 cm; MT2—harrowing at 14–16 cm; and NT—no tillage. Standard errors are indicated in the bars on the columns. Different letters above the bars indicate significant differences between the treatments (n4).
Figure 3. Accumulation of mobile humic acids (MHA) in different tillage and inter-cropping systems. CT—conventional ploughing; ShT—shallow ploughing at 16–18 cm; MT1—harrowing at 8–10 cm; MT2—harrowing at 14–16 cm; and NT—no tillage. Standard errors are indicated in the bars on the columns. Different letters above the bars indicate significant differences between the treatments (n4).
Sustainability 16 00953 g003
Figure 4. Accumulation of mobile humic substances (MHS) in different tillage and inter-cropping systems. CT—conventional ploughing; ShT—shallow ploughing at 16–18 cm; MT1—harrowing at 8–10 cm; MT2—harrowing at 14–16 cm; and NT—no tillage. Standard errors are indicated in the bars on the columns. Different letters above the bars indicate significant differences between the treatments (n4).
Figure 4. Accumulation of mobile humic substances (MHS) in different tillage and inter-cropping systems. CT—conventional ploughing; ShT—shallow ploughing at 16–18 cm; MT1—harrowing at 8–10 cm; MT2—harrowing at 14–16 cm; and NT—no tillage. Standard errors are indicated in the bars on the columns. Different letters above the bars indicate significant differences between the treatments (n4).
Sustainability 16 00953 g004
Table 1. Chemical properties of the experimental site.
Table 1. Chemical properties of the experimental site.
Soil Parameter0–10 cm10–20 cm20–30 cm
pH7.07.06.9
Available phosphorous, P2O5, mg kg−1256201206
Available potassium, K2O, mg kg−1272228216
Humus, g kg−122.1 21.120.1
Table 2. Experimental design.
Table 2. Experimental design.
Tillage Treatments (Factor A)Applied SinceAbbreviation
Conventional ploughing at 22–24 cm 1956CT
Shallow ploughing at 16–18 cm1956ShT
Harrowing at 8–10 cm (minimal tillage)2003MT1
Harrowing at 14–16 cm (minimal tillage)2012MT2
Direct sowing (no tillage)2003NT
Inter-crop management (Factor B)
Without inter-crop
With inter-crop2013CC
Crop sequence:
Spring wheat (±white mustard), 2013, 2018
Spring barley (±white mustard), 2014, 2019
Field pea, 2015, 2020
Winter wheat, 2015–2016, 2020–2021
Winter oilseed rape (±white clover), 2016–2017
Inter-crops were established in spring wheat, spring barley, and winter oilseed rape and were kept for a post-harvest period as a pre-crop before the spring crop cultivation (spring barley, field pea, and spring wheat).
Table 3. Stratification ratios (SR1 and SR2) for SOC in different tillage systems.
Table 3. Stratification ratios (SR1 and SR2) for SOC in different tillage systems.
Treatment SR1SR2
Without inter-crops
CT0.971.02
ShT1.001.39
MT11.161.31
MT21.171.99
NT1.221.55
With inter-crops
CT1.011.07
ShT1.351.29
MT11.171.38
MT21.211.95
NT1.241.53
CT—conventional ploughing; ShT—shallow ploughing at 16–18 cm; MT1—harrowing at 8–10 cm; MT2—harrowing at 14–16 cm; and NT—no tillage.
Disclaimer/Publisher’s Note: The statements, opinions and data contained in all publications are solely those of the individual author(s) and contributor(s) and not of MDPI and/or the editor(s). MDPI and/or the editor(s) disclaim responsibility for any injury to people or property resulting from any ideas, methods, instructions or products referred to in the content.

Share and Cite

MDPI and ACS Style

Slepetiene, A.; Kadziene, G.; Suproniene, S.; Skersiene, A.; Auskalniene, O. The Content and Stratification of SOC and Its Humified Fractions Using Different Soil Tillage and Inter-Cropping. Sustainability 2024, 16, 953. https://doi.org/10.3390/su16030953

AMA Style

Slepetiene A, Kadziene G, Suproniene S, Skersiene A, Auskalniene O. The Content and Stratification of SOC and Its Humified Fractions Using Different Soil Tillage and Inter-Cropping. Sustainability. 2024; 16(3):953. https://doi.org/10.3390/su16030953

Chicago/Turabian Style

Slepetiene, Alvyra, Grazina Kadziene, Skaidre Suproniene, Aida Skersiene, and Ona Auskalniene. 2024. "The Content and Stratification of SOC and Its Humified Fractions Using Different Soil Tillage and Inter-Cropping" Sustainability 16, no. 3: 953. https://doi.org/10.3390/su16030953

APA Style

Slepetiene, A., Kadziene, G., Suproniene, S., Skersiene, A., & Auskalniene, O. (2024). The Content and Stratification of SOC and Its Humified Fractions Using Different Soil Tillage and Inter-Cropping. Sustainability, 16(3), 953. https://doi.org/10.3390/su16030953

Note that from the first issue of 2016, this journal uses article numbers instead of page numbers. See further details here.

Article Metrics

Back to TopTop