Enhancing Resilience and Coordination in Sustainable Logistics Service Supply Chains Through Integrated Investment Contracts
Abstract
1. Introduction
2. Theoretical Development
2.1. The Resilience of LSSC
2.2. Logistics Capacity Coordination
2.3. The Relationship Between the Resilience of LSSC and the Coordination of Logistics Capabilities
3. Problem Description and Model Hypothesis
3.1. Problem Description
3.2. Model Assumption
| Parameter | Meaning |
|---|---|
| The price of logistics services to end-users, an exogenous variable | |
| The resilience of the LSSC, decision variable | |
| The loss avoidance degree of the LSP | |
| Market demand | |
| Potential market demand, known as basic market demand, | |
| Demand preference coefficient for resilience | |
| The coefficient measuring customers’ sensitivity to logistics service pricing | |
| The demand sensitivity coefficient of customers to the logistics service quality | |
| Random fluctuations in market demand | |
| The fluctuation of market demand under unexpected circumstances | |
| The probability of an incident occurring Logistics capacity unit price provided by the LSP The cost incurred by the LSI for procuring other logistics services from the general market The cost to the LSI for each unit of logistics capacity operated LSP’s operating cost per unit of logistics capacity The cost input of the LSSC in order to maintain the continuous resilience λ Unit penalty costs incurred when the LSP cannot meet the potential demand Unit salvage value of logistics capacity when the demand is less than the investment the expectation of market demand when the contract is centralized, decentralized, and coordinated, respectively Logistics capacity constructed by the LSP, decision variable |
4. The Models
4.1. Centralized Decision System
4.2. Decentralized Decision Game Model
4.3. Coordination Under Co-Investment and Revenue-Sharing Contracts
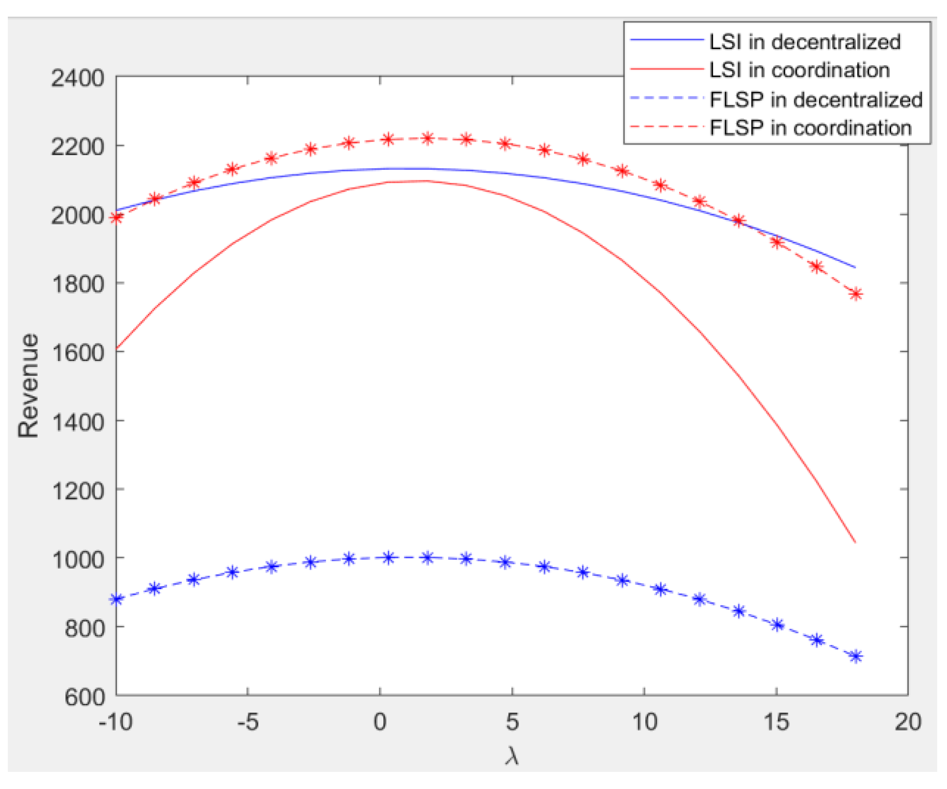
5. Numerical Analyses
| Parameters | ||||||||||||||||
| Values | 360 | 0.22 | 0.15 | 16 | 0.21 | 0.52 | 0.26 | 1000 | 1.4 | 2.6 | 3.8 | 11.8 | 8.6 | 1.2 | 3 | 24 |
5.1. Numerical Results
| θ | |||||||
|---|---|---|---|---|---|---|---|
| centralized | 5483.8313 | 731.9976 | 1.3777 | ||||
| decentralized | 3134.28 | 2132.1242 | 1002.1558 | 713.6749 | 1.0332 | ||
| coordination | 4314.2341 | 2096.6909 | 2217.5432 | 728.5643 | 1.3583 | 0.0729 | 0.0146 |
5.2. Analysis of Sensitivity
6. Conclusions
6.1. Results
6.2. Limitations and Future Research
7. Implications
7.1. Theoretical Implications
7.2. Managerial Implications
Author Contributions
Funding
Institutional Review Board Statement
Informed Consent Statement
Data Availability Statement
Conflicts of Interest
Appendix A
References
- Gao, Y.; Feng, Z.; Zhang, S. Managing supply chain resilience in the era of VUCA. Front. Eng. Manag. 2021, 8, 465–470. [Google Scholar] [CrossRef]
- Breukelaar, J. The European green deal. Eur. Community 2019, 53, 24. [Google Scholar]
- Liu, W.; Yang, L.; Zhu, D.; Liang, Z. The influences of demand disruption on logistics service supply chain coordination: A comparison of three coordination modes. Int. J. Prod. Econ. 2016, 179, 59–76. [Google Scholar] [CrossRef]
- Christopher, M.; Peck, H. Building the resilient supply chain. Int. J. Logist. Manag. 2004, 15, 1–14. [Google Scholar] [CrossRef]
- Dufay, L.; Apolline, V.; Ulysse, G. Adapting to Pandemics Disruptions During the COVID-19: An Analysis of DHL’s Satrapies for Maintaining Supply Chain Capabilities. Bachelor’s Thesis, Jönköping University, Jönköping, Sweden, 2023. [Google Scholar]
- Ponomarov, S.Y.; Holcomb, M.C. Understanding the concept of supply chain resilience. Int. J. Logist. Manag. 2009, 20, 124–143. [Google Scholar] [CrossRef]
- Choi, T.M.; Chiu, C.H.; Chan, H.K. Risk management of logistics systems. Transp. Res. Part E Logist. Transp. Rev. 2016, 90, 1–6. [Google Scholar] [CrossRef]
- Ju, Y.; Hou, H.; Yang, J. Integration quality, value co-creation and resilience in logistics service supply chains: Moderating role of digital technology. Ind. Manag. Data Syst. 2021, 121, 364–380. [Google Scholar] [CrossRef]
- Hosseini, S.; Ivanov, D.; Dolgui, A. Review of quantitative methods for supply chain resilience analysis. Transp. Res. Part E Logist. Transp. Rev. 2019, 125, 285–307. [Google Scholar] [CrossRef]
- Chen, J.; Zhang, H.; Sun, Y. Implementing coordination contracts in a manufacturer Stackelberg dual-channel supply chain. Omega 2012, 40, 571–583. [Google Scholar] [CrossRef]
- Fawcett, S.E.; Magnan, G.M.; McCarter, M.W. Benefits, barriers, and bridges to effective supply chain management. Supply Chain Manag. Rev. 2008, 12, 26–34. [Google Scholar] [CrossRef]
- Ivanov, D.; Sokolov, B.; Dolgui, A. The ripple effect in supply chains: Trade-off “efficiency-flexibility resilience” in disruption management. Int. J. Prod. Res. 2014, 52, 2154–2172. [Google Scholar] [CrossRef]
- Kim, Y.; Chen, Y.S.; Linderma, K. Supply network disruption and resilience: A network structural perspective. J. Oper. Manag. 2015, 33, 43–59. [Google Scholar] [CrossRef]
- Zouari, D.; Ruel, S.; Viale, L. Does digitalising the supply chain contribute to its resilience? Int. J. Phys. Distrib. Logist. Manag. 2021, 51, 149–180. [Google Scholar] [CrossRef]
- Behzadi, G.; O’Sullivan, M.J.; Olsen, T.L. On metrics for supply chain resilience. Eur. J. Oper. Res. 2020, 287, 145–158. [Google Scholar] [CrossRef]
- Poo, M.C.P.; Wang, T.; Yang, Z. Global food supply chain resilience assessment: A case in the United Kingdom. Transp. Res. Part A Policy Pract. 2024, 181, 104018. [Google Scholar] [CrossRef]
- He, M.; Xie, J.; Wu, X.; Hu, Q.; Dai, Y. Capability Coordination in Automobile Logistics Service Supply Chain Based on Reliability. Procedia Eng. 2016, 137, 615. [Google Scholar] [CrossRef]
- Chen, Y.; Yang, B. Analysis on the evolution of shipping logistics service supply chain market structure under the application of blockchain technology. Adv. Eng. Inform. 2022, 53, 101714. [Google Scholar] [CrossRef]
- Zhu, L.; Liu, N. Game theoretic analysis of logistics service coordination in a live-streaming e-commerce system. Electron. Commer. Res. 2023, 23, 1049–1087. [Google Scholar] [CrossRef]
- Kord, H.; Samouei, P. Coordination of humanitarian logistic based on the quantity flexibility contract and buying in the spot market under demand uncertainty using NSGA-II and NRGA algorithms. Expert Syst. Appl. 2023, 214, 119187. [Google Scholar] [CrossRef]
- Wieland, A.; Wallenburg, C.M. Dealing with supply chain risks: Linking risk management practices and strategies to performance. Int. J. Phys. Distrib. Logist. Manag. 2012, 42, 887–905. [Google Scholar] [CrossRef]
- Scholten, K.; Schilder, S. The role of collaboration in supply chain resilience. Supply Chain Manag. Int. J. 2015, 20, 471–484. [Google Scholar] [CrossRef]
- Min, S.; Kim, J. Effect of opportunity seizing capability on new market development and small and medium-sized enterprise performance: Role of environmental uncertainty in the IT industry. Asia Pac. Manag. Rev. 2022, 27, 69–79. [Google Scholar] [CrossRef]
- Taleizadeh, A.A.; Ahmadzadeh, K.; Sarker, B.R.; Ghavamifar, A. Designing an optimal sustainable supply chain system considering pricing decisions and resilience factors. J. Clean. Prod. 2022, 332, 129895. [Google Scholar] [CrossRef]
- Tan, J.; Zhang, N.; Cai, W. A graph-based model to measure structural redundancy for supply chain resilience. Int. J. Prod. Res. 2019, 57, 6385–6404. [Google Scholar] [CrossRef]
- Mackay, J.; Muñoz, A.; Pepper, M. Conceptualizing redundancy and flexibility towards supply chain robustness and resilience. J. Risk Res. 2019, 23, 1541–1561. [Google Scholar] [CrossRef]
- Chrisandina, N.; Vedant, S.; Iakovou, E.; Pistikopoulos, E.; El-Halwagi, M. Multi-scale integration for enhanced resilience of sustainable energy supply chains: Perspectives and challenges. Comput. Chem. Eng. 2022, 164, 107891. [Google Scholar] [CrossRef]
- Aldrighetti, R.; Battini, D.; Ivanov, D. Efficient resilience portfolio design in the supply chain with consideration of preparedness and recovery investments. Omega 2023, 117, 102841. [Google Scholar] [CrossRef]
- Al-Banna, A.; Rana, Z.A.; Yaqot, M.; Menezes, B.C. Supply Chain Resilience, Industry 4.0, and Investment Interplays: A Review. Prod. Manuf. Res. Open Access J. 2023, 11, 2227881. [Google Scholar] [CrossRef]
- Cheng, X.; Wang, L.; Wang, J. A Distributionally Robust Fuzzy Optimization Approach for Resilient Manufacturing Supply Chain Network Design: An RCEP Perspective. IEEE Trans. Fuzzy Syst. 2024, 32, 1359–1369. [Google Scholar] [CrossRef]
- Ghomi, V.; Nooraei, S.V.R.; Shekarian, N.; Shokoohyar, S.; Parast, M. Improving supply chain resilience through investment in flexibility and innovation. Int. J. Syst. Sci. Oper. Logist. 2023, 10, 2221068. [Google Scholar] [CrossRef]
- Moosavi, J.; Hosseini, S. Simulation-based assessment of supply chain resilience with consideration of recovery strategies in the COVID-19 pandemic context. Comput. Ind. Eng. 2021, 160, 107593. [Google Scholar] [CrossRef] [PubMed]
- Abdi, F.; Farughi, H.; Sadeghi, H.; Arkat, J. Using common redundancy components for suppliers in a supply chain network design problem considering energy costs and environmental effects. Expert Syst. Appl. 2024, 245, 122989. [Google Scholar] [CrossRef]
- Bakshi, N.; Kleindorfer, R. Coopetition and Investment for Supply Chain Resilience. Prod. Oper. Manag. 2009, 18, 583–603. [Google Scholar] [CrossRef]
- Sinkovics, R.R.; Kuivalainen, O.; Roath, A.S. Value co-creation in an outsourcing arrangement between manufacturers and third party logistics providers: Resource commitment, innovation and collaboration. J. Bus. Ind. Mark. 2018, 33, 563–573. [Google Scholar] [CrossRef]
- Karaer, Ö.; Kraft, T.; Khawam, J. Buyer and nonprofit levers to improve supplier environmental performance. Prod. Oper. Manag. 2017, 26, 1163–1190. [Google Scholar] [CrossRef]
- Pettit, T.J.; Fiksel, J.; Croxton, K.L. Ensuring supply chain resilience: Development of a conceptual framework. J. Bus. Logist. 2020, 31, 1–21. [Google Scholar] [CrossRef]
- Taylor, T.A. Supply chain coordination under channel rebates with sales effort effects. Manag. Sci. 2002, 48, 992–1007. [Google Scholar] [CrossRef]
- Xu, L.; Govindan, K.; Bu, X.; Yin, Y. Pricing and balancing of the sea-cargo service chain with empty equipment repositioning. Comput. Oper. Res. 2015, 54, 286–294. [Google Scholar] [CrossRef]
- Hu, X.; Wang, G.; Li, X.; Zhang, Y.; Feng, S.; Yang, A. Joint decision model of supplier selection and order allocation for the mass customization of logistics services. Transp. Res. Part E Logist. Transp. Rev. 2018, 120, 76–95. [Google Scholar] [CrossRef]
- Liu, H.; Chen, H.; Zhang, H.; Liu, H.; Yu, X.; Zhang, S. Contract Design of Logistics Service Supply Chain Based on Smart Transformation. Sustainability 2022, 14, 6261. [Google Scholar] [CrossRef]
- Liu, W.; Hou, J.; Yan, X.; Tang, O. Smart logistics transformation collaboration between manufacturers and logistics service providers: A supply chain contracting perspective. J. Manag. Sci. 2021, 6, 25–52. [Google Scholar] [CrossRef]
- Li, D.; Liu, Y.; Fan, C.; Hu, J.; Chen, X. Logistics service strategies under different selling modes. Comput. Ind. Eng. 2021, 162, 107684. [Google Scholar] [CrossRef]
- Cao, K.; Xu, Y.; Wu, Q.; Wang, J.; Liu, C. Optimal channel and logistics service selection strategies in the e-commerce context. Electron. Commer. Res. Appl. 2021, 48, 101070. [Google Scholar] [CrossRef]
- Shin, Y.; Van Thai, V.; Grewal, D.; Kim, Y. Do corporate sustainable management activities improve customer satisfaction, word of mouth intention and repurchase intention? Empirical evidence from the shipping industry. Int. J. Logist. Manag. 2017, 28, 555–570. [Google Scholar] [CrossRef]









Disclaimer/Publisher’s Note: The statements, opinions and data contained in all publications are solely those of the individual author(s) and contributor(s) and not of MDPI and/or the editor(s). MDPI and/or the editor(s) disclaim responsibility for any injury to people or property resulting from any ideas, methods, instructions or products referred to in the content. |
© 2024 by the authors. Licensee MDPI, Basel, Switzerland. This article is an open access article distributed under the terms and conditions of the Creative Commons Attribution (CC BY) license (https://creativecommons.org/licenses/by/4.0/).
Share and Cite
He, C.; An, Q.; Xu, X.; Zhang, G. Enhancing Resilience and Coordination in Sustainable Logistics Service Supply Chains Through Integrated Investment Contracts. Sustainability 2024, 16, 10644. https://doi.org/10.3390/su162310644
He C, An Q, Xu X, Zhang G. Enhancing Resilience and Coordination in Sustainable Logistics Service Supply Chains Through Integrated Investment Contracts. Sustainability. 2024; 16(23):10644. https://doi.org/10.3390/su162310644
Chicago/Turabian StyleHe, Chan, Qianru An, Xu Xu, and Guoshuai Zhang. 2024. "Enhancing Resilience and Coordination in Sustainable Logistics Service Supply Chains Through Integrated Investment Contracts" Sustainability 16, no. 23: 10644. https://doi.org/10.3390/su162310644
APA StyleHe, C., An, Q., Xu, X., & Zhang, G. (2024). Enhancing Resilience and Coordination in Sustainable Logistics Service Supply Chains Through Integrated Investment Contracts. Sustainability, 16(23), 10644. https://doi.org/10.3390/su162310644

