Abstract
Sediments serve as a crucial accumulation site for pollutants, and the source and sink effects of sediment pollutants significantly influence the overlying water. In this research, the concentrations of heavy metals in the sediments of Jinmucuo Lake were investigated. The pollution levels and ecological risks of the heavy metals were assessed via the geoaccumulation index and potential ecological risk index, and the potential sources were identified via multivariate statistical methods. Results revealed that the mean concentrations of cadmium, chromium, copper, zinc, nickel, arsenic and mercury exceeded the soil background values in Tibet, and each element generally tended to increase with decreasing depth in the sediment cores. Heavy metals were mainly distributed in the estuaries of the western part of the lake. Moreover, the geoaccumulation index revealed that mercury pollution was severe, followed by nickel and copper. The potential ecological risk index revealed that Jinmucuo Lake was a highly strong ecological risk and that mercury was the most important ecological risk factor. Multivariate statistical analysis indicated that chromium and nickel pollution was influenced by natural factors and anthropogenic activities, while geothermal activity, river inputs and atmospheric transmission were the main sources of mercury and arsenic. Moreover, cadmium, lead, copper and zinc pollution was mainly affected by transportation and high background values. The results provide an important reference for the ecological and environmental protection of Jinmucuo Lake.
1. Introduction
Saltwater lakes constitute an essential component of the ecosystem on the Tibetan Plateau, and the safety of their water quality is critical for the sustainable development of the plateau [1]. With the rapid economic growth of the Tibetan Plateau, saltwater lakes are facing increasingly intense pollution challenges [2]. Heavy metals have the typical characteristics of wide distribution, difficult degradation, high bioaccumulation, high toxicity, high solubility in water, easy absorption and accumulation by organisms, teratogenicity or mutation of organisms, and severe harm to human health [3,4]. Lake sediment serves as a significant accumulation site for pollutants, and the source and sink effects of sediment pollutants on the overlying water influence the aquatic ecosystem of the entire lake [5,6]. Investigating contamination in sediment from the perspective of the source of pollution is a crucial prerequisite for assessing the ecological risk in lake environments. Tibet is rich in mineral resources and geothermal resources, and with the development and utilization of natural resources and the transmission of industrial activities and transportation, the Tibetan Plateau has been adversely affected by pollution [7]. The combustion of petroleum fossil fuels and the incomplete utilization of raw materials inevitably result in the migration of heavy metals and other pollutants into the environment [8,9,10], and natural processes such as sediment disturbance, plant debris, weathering of natural diagenetic rocks and sedimentation of atmospheric particles are also important factors causing heavy metal enrichment in some lakes on the Tibetan Plateau [11]. The source discharge of pollutants has directly and severely endangered ecological security. Hence, exploring the sources and spatial and temporal distribution characteristics of heavy metals in lake sediments holds considerable scientific importance.
Heavy metal pollution is an important topic in lake management and has been widely investigated by researchers worldwide [12,13,14]. There have been numerous studies on sediment nutrients and heavy metals in freshwater lakes, oceans and estuaries [15,16,17,18]. However, relatively few studies on saltwater lakes have been conducted. As a vital part of the ecology of the Tibetan Plateau, saltwater lakes differ significantly from freshwater lakes in the middle and lower reaches of the Yangtze River in terms of salinity and water ecosystem characteristics. Moreover, saltwater lakes are rich in salt resources, which are very important national strategic resources with high potential economic value and good exploitation potential, and they represent water types with significant research value. The composition, pollution status and distribution characteristics of heavy metals and nutrients in water must vary under different geological environments and human factors. To maximize the functional value of lake resources, systematic scientific research is the key to ensuring the sustainable development of lakes. Therefore, it is necessary to explore the sources of heavy metals in lake sediments on the Tibetan Plateau and their impacts on the ecological environment. Risk assessments using local background values as a benchmark can facilitate the comprehension of pollution levels and potential ecological risk within the study area [19].
Jinmucuo Lake is a typical inland saltwater lake with a relatively closed water body on the Tibetan Plateau. Owing to the development of the social economy and the intensification of human activities, the ecological environment of Jinmucuo Lake has severely deteriorated recently [20]. In this study, surface sediments and sediment cores from Jinmucuo Lake were collected to determine the concentrations of heavy metals, and to clarify the spatial and temporal distributions of heavy metals in the sediments of Jinmucuo Lake. The geoaccumulation index (Igeo) and potential ecological risk index (RI) were utilized to evaluate the levels of heavy metal pollution in the sediments. Pearson correlation analysis and cluster analysis (CA) were employed to identify the sources of heavy metals in the sediments. The results are expected to provide a theoretical basis for the management, control and treatment of heavy metal pollution in the Jinmucuo Basin.
2. Materials and Methods
2.1. Study Area
Jinmucuo Lake (29°16′~29°21′ N, 87°9′~87°14′ E) is located in Shigaze city, in the south of the Tibetan Plateau. The maximum elevation of the Jinmuocuo Basin reaches 5210 m, and the basin area is 182.9 km2. The lake area is 24.3 km2, and the reservoir capacity is 1.75 × 108 m3. The lake experiences a semiarid climate in the plateau temperate zone of southern Tibet, with an average annual temperature, rainfall and evaporation values of 5.3 °C, 295 mm and 2513 mm, respectively. Arable land and grassland are the predominant land use types in the basin, accounting for 82% and 4%, respectively.
Jinmucuo Lake serves as an essential water resource for the development of agriculture and animal husbandry in Angren County, Kaga Town and the basin, and plays a significant role in stabilizing the ecological security of the basin. Currently, the pH (mean of 9.88) of Jinmucuo Lake is strongly alkaline, with high salinity (mean of 4.19 ppt), and the pH and salinity were measured with a multiparameter water quality analyzer (YSI 6600V2, Salt Lake City, UT, USA). Most notably, the lake has high concentrations of not only mercury (Hg) (mean of 5.55 μg/L) but also arsenic (As) (mean of 97 μg/L). The concentrations of other heavy metals such as cadmium (Cd), chromium (Cr), lead (Pb), copper (Cu) and zinc (Zn) were 0.202 μg/L, 27.41 μg/L, 4.16 μg/L, 7.49 μg/L and 0.27 mg/L, respectively.
2.2. Sample Collection and Laboratory Analysis
On the basis of the topography of Jinmucuo Lake and the surrounding land use, the entire lake was subjected to a grid distribution. In Jinmucuo Lake, there are 20 sampling points for surface sediments (5 cm) and 4 sampling points for sediments cores (35–65 cm). The core sampling site has a water depth range of 4.5 to 14.8 m. The locations of the sampling points are depicted in Figure 1. The surface sediments were collected via the bottom-grab, and sediment cores were collected via UWITEC sampling equipment (Mondsee, Austria). The sediment core samples were divided into 5 cm layers onsite, and all the samples were sealed in polyethylene sealed bags and transported back to the laboratory. All the samples were transferred to polyethylene plastic plates that were cleaned with deionized water. The foreign matter such as sticks and leaves in the sample was removed, spread out evenly and placed in a location without direct sunlight to air dry. The samples were subsequently ground with an agate grinding bowl, passed through a 200-mesh sieve via the quartering method and stored in kraft paper bags for utilization.
Figure 1.
The sampling points of Jinmucuo Lake. Note: # represents the sampling point of the sediment cores.
The main monitoring concentrations of the sediments include cadmium (Cd), chromium (Cr), lead (Pb), copper (Cu), zinc (Zn), nickel (Ni), As, Hg and organic matter. The determination method was as follows: Cd, Cr, Pb, Cu and Ni were determined via inductively coupled plasma–mass spectrometry (ICP–MS, NexlON 1000G, Abingdon, UK). Inductively coupled plasma–optical emission spectrometry (ICP–OES, Agilent 5110, Santa Clara, CA, USA) has a significantly lower detection limit (0.03 mg/kg) for Zn than does ICP–MS (7.0 mg/kg); thus, Zn was determined via ICP–OES. As and Hg were determined via atomic fluorescence spectrometry (AFS, AFS–933 and CHN). The organic matter content was determined via the external heating method with potassium dichromate oxidation.
For the analysis of heavy metals including Cr, Cu, Zn, Ni, As and Hg, the sample pretreatment method primarily involves a digestion process utilizing hydrochloric acid, nitric acid, hydrofluoric acid and perchloric acid. To determine the concentrations of Cd and Pb, the predominant pretreatment method consists of nitric acid and hydrofluoric acid digestion. The detection limits for these analytical methods are as follows: Cd at 0.07 mg/kg; Cr at 2.0 mg/kg; Pb at 0.5 mg/kg; Cu at 0.6 mg/kg; Zn at 0.03 mg/kg; Ni at 0.6 mg/kg; As at 0.2 mg/kg; and Hg at 0.002 mg/g. The accuracy and precision of elemental analysis exceed 95%.
2.3. Assessment of Sediment Contamination and Data Analysis
2.3.1. Risk Assessment Methods for Heavy Metals in Surface Sediments
- (1)
- Igeo method
The Igeo method was proposed by German scientist Muller in the 1970s to evaluate the degree of heavy metal pollution in sediments [21]. The Igeo considers the effects of natural geology and human activities, not only reflecting the natural distribution of elements, but also emphasizing the historical accumulation [21]. This method has been widely used in the study of both heavy metal pollution and nonmetal pollution [22]. The calculation formula is as follows:
where Igeo is the geoaccumulation index; Cn is the concentration value of the measured element in the sample (mg/kg); Bn is the background concentration value of the element (mg/kg); and k is the correction factor, with a default value of 1.5. Igeo can be divided into 7 pollution levels, as presented in Table 1.
Table 1.
Criteria for the indices of geoaccumulation () and potential ecological risk (, RI).
- (2)
- RI method
The RI method assumes that the sensitivity of a water ecosystem is related to its productivity and assesses mainly the ecological risk of elements in sediments from two aspects: toxicity and environmental response [23,24]. This method considers not only the degree of enrichment but also the ecotoxicity and ecological risk of different elements [23]. The method was initially used for the assessment of ecological risk of polluted water bodies and is now widely employed in potential ecological risk assessments of sediment pollution [24,25]. The calculation formula is as follows:
where RI is the comprehensive potential ecological risk index of heavy metals in sediments, which reflects the sensitivity of different biological communities to toxic substances and is divided into 5 grades; n is the number of heavy metal species; is the potential ecological risk factor for a single heavy metal, which is divided into 5 levels; and are the concentrations and reference values (mostly soil background values), respectively, of heavy metals in sediments; and is a toxic response factor of certain heavy metal elements, which reflects the toxicity level of heavy metal elements and the sensitivity of biological organisms to it. The grading standards are shown in Table 1, and the toxic response factors of heavy metals are shown in Table 2.
Table 2.
Toxicity coefficient () of heavy metals.
2.3.2. Data Analysis
In this study, Origin 2022 software was used for Pearson correlation analysis and cluster analysis, and SPSS 26.0 software was used to calculate the mean value, minimum value, maximum value, standard deviation and coefficient of variation in the data. The spatial distribution of heavy metal characteristics in the sediment was determined via the inverse distance weight (IDW) method in ArcGIS 10.8. Igeo and RI were used to evaluate the pollution status of the heavy metals, and the main sources and related contribution rates of the heavy metals were analyzed via correlation analysis and cluster analysis.
3. Results and Discussion
3.1. Spatial Distribution Characteristics of Heavy Metals
The spatial distribution characteristics of heavy metals in the surface sediments of Jinmucuo Lake are presented in Figure 2. The concentrations of Cd, Cr, Pb, Cu, Zn, Ni, As and Hg ranged from 0.14~0.26 mg/kg, 93~394 mg/kg, 18.00~32.10 mg/kg, 38.40~85.20 mg/kg, 83~136 mg/kg, 67~495 mg/kg, 12.00~24.30 mg/kg and 0.07~0.30 mg/kg, respectively. The mean concentrations were 0.20 mg/kg, 169 mg/kg, 26.34 mg/kg, 65.60 mg/kg, 116 mg/kg, 154 mg/kg, 20.38 mg/kg and 0.20 mg/kg. Compared with the heavy metal soil background values in Tibet, as shown in Table 3, the concentrations of heavy metals in Jinmucuo Lake, with the exception of Pb, were higher than the Tibetan background values and higher than the Brahmaputra River Basin soil background values. The mean concentrations of Cd, Cr, Cu, Zn, Ni, As and Hg were 2.70, 2.49, 3.35, 1.64, 5.53, 1.26 and 9.05 times, respectively, the corresponding heavy metal soil background values in Tibet. These values were 2.56, 2.37, 2.52, 1.46, 4.87, 1.01 and 6.79 times greater than the corresponding heavy metal soil background values in the Brahmaputra River Basin, indicating that the accumulation of heavy metals in Jinmucuo Lake is relatively high. The particulate matter in the sediments exists in many different forms, including organic matter, lattice minerals, carbonate and metal oxides, and the organic matter in the sediments has obvious adsorption of heavy metals [26]. The organic matter concentration in the surface sediments of Jinmucuo Lake ranged from 1.24% to 2.26%, with a mean concentration of 1.67%. Compared with the freshwater lake sediments in the middle and lower reaches of the Yangtze River (Chaohu Lake (mean of 5.9%), Taihu Lake (mean of 10.5%) and Honghu Lake (mean of 9.6%)) [27], the content of organic matter in Jinmucuo Lake is relatively low.
Figure 2.
Spatial distribution characteristics of heavy metals in Jinmucuo Lake.
Table 3.
Statistical characteristics of heavy metals in the surface sediments of Jinmucuo Lake.
The concentration of Cd was relatively high in North Jinmcuo Lake and the central part of South Jinmucuo Lake, and gradually decreased in the northeast direction. The concentration of Cr was relatively high in the southeastern corner of South Jinmucuo Lake and gradually decreased in the northwest direction. The concentration of Pb was relatively high in the southwestern corner of South Jinmucuo Lake and decreased in the northeast direction. The distribution of Cu was greater in the middle and southwest of South Jinmucuo Lake but decreased in the northeast direction. The distribution of Zn was greater in the southwest direction of South Jinmucuo Lake but decreased in the northeast direction. The distribution of Ni was greater in the southeastern corner of the South Jinmucuo Lake, and the concentration decreased in the northwest direction. The distribution of As was greater in North Jinmucuo Lake but lower in northeast part of South Jinmucuo Lake. The distribution of Hg was greater in the southwest direction of North Jinmucuo Lake and the western part of South Jinmucuo Lake, and the content decreased in the eastern part of the South Jinmucuo Lake. In general, the concentrations of Cd, As and Hg are highly distributed in North Jinmucuo Lake and South Jinmucuo Lake; the concentrations of Pb, Cu and Zn are highly distributed in South Jinmucuo Lake and have a certain concentration distribution in North Jinmucuo Lake; and the concentrations of Cr and Ni are highly distributed in the southeastern corner of South Jinmucuo Lake and decrease in the northwest direction. Notably, in addition to Cr and Ni being enriched mainly in the area adjacent to Angren County, the remaining six heavy metals are enriched mainly in the areas adjacent to rivers; that is, the areas with high heavy metal concentrations in Jinmucuo Lake are essentially at the confluence of rivers.
The coefficient of variation is an index reflecting the degree of difference or dispersion of each unit marker value and is one of the indicators that reflect the data distribution. Relevant studies have shown that when the variation coefficient of heavy metals in sediments is greater than 20%, human activities are the main driving factor affecting changes in heavy metals [28]. The coefficients of variation in the heavy metals Cd, Cr, Pb, Cu, Zn, Ni, As and Hg were 16.23%, 45.27%, 15.15%, 19.66%, 12.05%, 74.00%, 14.60% and 32.08%, respectively. The degree of variation was as follows: Ni > Cr > Hg > Cu > Cd > Pb > As > Zn. The coefficients of variation in Ni and Cr are greater than 36%, which strongly varies, indicating that the concentrations of Cd, Cu and Hg are strongly disturbed by the external environment. The coefficients of variation in Cd, Cu and Hg are between 16% and 35%, which is a moderate variation, indicating that the distributions of heavy metal concentrations in different regions are uniform. The variation coefficients of Cr, Ni and Hg in the sediments of Jinmucuo Lake are greater than 20%, with these three heavy metals significantly affected by human activities. Jinmucuo Lake is adjacent to Angren County and features many villages and rivers. Human activities such as house construction, road building and grazing have led to the degradation of vegetation and then soil loss is carried by rivers into Jinmucuo Lake, resulting in an increase in its heavy metal concentrations.
3.2. Vertical Distribution Characteristics of Heavy Metals
Sediment cores reflect the alterations in sediments under the influence of natural factors and human activities, and they can be used to understand the pollution status of a lake throughout its history. The vertical variation characteristics of the eight heavy metal concentrations in the sediment cores from Jinmucuo Lake are depicted in Figure 3. The concentrations of Cd, Cr, Pb, Cu, Zn, Ni, As and Hg ranged from 0.15~0.28 mg/kg, 107~187 mg/kg, 18.40~35.50 mg/kg, 40.40~85.20 mg/kg, 86~140 mg/kg, 81~180 mg/kg, 8.90~24.70 mg/kg and 0.05~0.23 mg/kg, respectively. The mean concentrations were 0.22, 147, 26.91, 64.83, 114, 121, 16.53 and 0.16 mg/kg, respectively. Compared with the heavy metal soil background values in Tibet, as shown in Table 3, the concentrations of heavy metals in the sediment cores from Jinmucuo Lake, with the exception of Pb, were higher than the background values in Tibet and higher than the soil background values in the Brahmaputra River Basin.

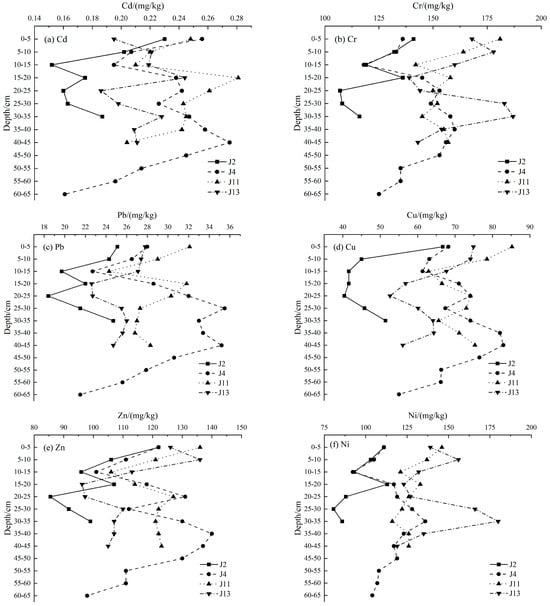
Figure 3.
Variation diagram of the eight heavy metal concentrations in the four sediment cores.
The concentrations of Cd, Cu, Zn and Hg in the sediment cores were greater in J11, those of Cr and Ni were greater in J13, and those of Pb and As were greater in J4. The concentrations of the eight heavy metals generally increased with decreasing depth, and the concentrations of Cd, Cr, Pb, Cu, Zn, Ni and As increased rapidly from 0 to 15 cm, Hg increased rapidly from 0 to 10 cm, reflecting the enrichment of heavy metals in Jinmucuo Lake in recent years.
Compared with those of the surface sediment heavy metal concentrations, the variation ranges and mean values of the Cd, Pb, Cu and Zn concentrations in the Jinmucuo Lake sediment cores (Figure 3a,d,e) are close to those of the surface sediment (Table 3), indicating that Jinmucuo Lake has higher background values of Cd, Pb, Cu and Zn.
3.3. Risk Assessment of Heavy Metal Pollution in Surface Sediments
3.3.1. Evaluation of the Heavy Metal Geoaccumulation Index in Jinmucuo Lake Sediments
The geoaccumulation index and pollution level of eight heavy metals were calculated on the basis of the measured heavy metal concentrations in Jinmucuo Lake sediments. The results are presented in Figure 4. With the exception of Pb and As, the remaining six metals in Jinmucuo Lake exhibit varying degrees of pollution. The mean geoaccumulation index values of Hg > Ni > Cu > Cd > Cr > Zn > As > Pb were 2.52, 1.66, 1.13, 0.81, 0.63, 0.12, −0.27, and −0.67, respectively. Regarding the concentration of Hg, 70% of the sample points were moderately to strongly polluted, 20% were strongly polluted and 10% of the sample points were moderately polluted. Regarding the concentration of Ni, 10% of the sample points were strongly polluted, 10% of the sample points were moderately to strongly polluted, 65% of the sample points were moderately polluted and 15% of the sample points were unpolluted to moderately polluted. Regarding the concentration of Cu, 75% of the sample points were being moderately polluted and 25% of the sample points were unpolluted to moderately polluted. Regarding the concentration of Cd, 80% of the sample points were unpolluted to moderately polluted and 20% of the sample points were moderately polluted. Regarding the concentration of Cr, 10% of the sample points were being moderately polluted, 85% of the sample points were unpolluted to moderately polluted and 5% of the sample points were unpolluted. Regarding the concentration of Zn, 75% of the sample points were being unpolluted to moderately polluted and 25% of the sample points were unpolluted.
Figure 4.
Pollution status of heavy metals in surface sediments in Jinmucuo Lake.
In Jinmucuo Lake, Hg and Ni emerged as the predominant pollutants, followed by Cd, Cr, Cu and Zn. Hg escapes mainly from the deep crust to the surface in the form of gas through the fragmentation channel, and its natural sources include geothermal activity, volcanic eruption and volatilization of Hg steam after the mineralization of underground Hg minerals. Therefore, Hg gas is also affected by geothermal and regional geological structures [29]. The area with intense Hg pollution is located near the river; hence, Hg pollution in Jinmucuo Lake might be associated not only with natural factors, but also with river inflow. Additionally, economic development has resulted in an increase in Hg emissions in East Asia, and Hg is prone to atmospheric transmission, thereby increasing both Hg input and deposition [30]. Cr and Ni are derived mainly from the earth’s crust, and the concentrations of Cr and Ni are similar to those in the parent material in areas with little weathering activity, and are related to the diagenetic composition, which is influenced mainly by nature [31]. The areas with intense Ni pollution and moderate Cr pollution are adjacent to Angren County, suggesting that Cr and Ni pollution is related to the sewage discharge in the county. On the basis of the distribution of heavy metal concentrations in the sediment cores from Jinmucuo Lake, the elevated geoaccumulation indices of Cd, Cu and Zn are attributed to the high background values.
3.3.2. Evaluation of Potential Ecological Risk Index of Heavy Metals in Jinmucuo Lake Sediments
The potential ecological risk index and pollution level of eight heavy metals were calculated on the basis of the measured heavy metal contents in Jinmucuo Lake sediments. The results are shown in Figure 5. With the exception of Hg, Cd and Ni, which posed relatively significant ecological risks, the remaining five metals presented only minor ecological risks. The mean potential ecological risk values of Hg > Cd > Ni > Cu > As > Cr > Pb > Zn were 362.82, 79.99, 27.67, 16.73, 12.58, 4.96, 4.77 and 1.64, respectively. Hg posed an extremely strong ecological risk in Jinmucuo Lake, with 50% of the sample points having extremely strong ecological risk, 45% of the sample points having highly strong ecological risk and 5% of the sample points having strong ecological risk. Cd posed a medium level of ecological risk in Jinmucuo Lake, with 50% of the sample points having a strong level of ecological risk and 50% of the sample points having a medium level of ecological risk. Ni posed a weak ecological risk in Jinmucuo Lake, with 10% of the sample points having a medium ecological risk and 90% of the sample points having weak ecological risk. Cu, As, Cr, Pb and Zn posed weak ecological risks to Jinmucuo Lake.
Figure 5.
Potential ecological risk (, RI) of heavy metals in the surface sediments of Jinmucuo Lake.
The calculation results of the RIs of the eight heavy metals in Jinmucuo Lake are presented in Figure 5. The RI value of Jinmucuo Lake ranged from 254.16 to 697.14, with a mean value of 511.16, indicating that Jinmucuo Lake was at highly strong ecological risk. Twenty-five percent of the sample points presented highly strong ecological risk, seventy percent of the sample points presented strong ecological risk and five percent of the sample points presented medium ecological risk. Hg, Cd and Ni contributed the most to the values of RI of Jinmucuo Lake, which were 70.98%, 15.65% and 5.41%, respectively. The ecological risk of Hg may be related to geothermal activity, atmospheric transmission, river input and human activity discharge, Cd ecological risk is related to the relatively high background value of Jinmucuo Lake. Previous research has shown that sewage discharge is a source of heavy metal Ni [32,33], and the areas with intense Ni pollution in Jinmucuo Lake is adjacent to Angren County, suggesting that Ni ecological risk is related to rock weathering and county sewage discharge.
3.4. Source Analysis of Heavy Metals via Multivariate Statistics
3.4.1. Pearson Correlation Analysis
The sources of heavy metals can be divided into natural sources and anthropogenic sources. The natural sources of heavy metals in Jinmucuo Lake are mainly soil erosion, rock weathering and geothermal activities, while the anthropogenic sources are mainly agricultural production, rural sewage, animal husbandry and transportation. Pearson correlation analysis revealed (Figure 6) that Cd and Hg were significantly positively correlated with Pb, Cu, Zn and As (p < 0.05); the correlation coefficients among Cu, Pb and Zn exceeded 0.85 (p < 0.05); and the correlation coefficients for Cd and Hg were relatively small, indicating that these heavy metals might have similar or identical sources. The correlation coefficients for Cr and Ni reached an impressive value of 1.00 (p < 0.05), whereas the correlation coefficients of Cr and Ni with Cd, Pb, Cu, Zn, As and Hg were less than 0.25. This findings suggest that Cr and Ni do not share homology with these heavy metals, and that Cr and Ni have their own unique pollution sources.
Figure 6.
Pearson correlation analysis of heavy metals in the surface sediments.
3.4.2. Cluster Analysis
War’s method was used to cluster eight elements in Jinmucuo Lake surface sediments systematically according to Euclidean distance, and the Z-score was used to standardize each variable before analysis to reduce the influence of different metal concentration differences on the clustering results. Figure 7 displays three clusters: (1) Cd–Pb–Cu–Zn, (2) As–Hg and (3) Cr–Ni. However, it is observed that Clusters 2 and 1 connect at a relatively higher level, implying a common source, whereas the long distance between Clusters 1, 2 and 3 may suggest that these clusters did not share a common source.
Figure 7.
Dendrogram for eight elements obtained via War’s hierarchical clustering method.
3.4.3. Traceability Analysis
The results of multivariate statistics clearly reveal that Cr and Ni are significantly different from the other six elements, which suggests that the sources of Cr and Ni differ from those of the other six heavy metals, which aligns with the coefficient of variation analysis (Table 3). According to the results of the Pearson correlation analysis, Hg was significantly positively correlated with Pb, Cu and Zn, particularly with As. Conversely, the correlation between Hg and Cd was relatively weak (Figure 6). Furthermore, Hg and As were highly correlated in CA, indicating a common source for Hg and As. Multivariate statistics revealed significant correlations among Cd, Pb, Cu and Zn, indicating a common source. On the basis of the aforementioned analyses, the first group comprises Cr and Ni, which are ferrophilic and lithophilic elements that exhibit weak chemical activity primarily originating from soil crusts [34]. These concentrations are relatively high in southeastern South Jinmucuo Lake near Angren County, which may also be affected by anthropogenic sewage discharge in addition to natural factors such as rock weathering. The second group encompasses Hg and As, which are more prevalent in southwestern of North Jinmucuo Lake and western South Jinmucuo Lake. Research indicates that the accumulation of As in southern Tibet is influenced primarily by geothermal activities [35], which also facilitate the release of Hg into the atmosphere. Subsequently, Hg can be deposited into sediments through both dry and wet atmospheric sedimentation processes [36,37]. Hg is susceptible to atmospheric transmission and As may also come from atmospheric sedimentation or diffusion through atmospheric transmission [38]. Hg and As are concentrated mainly at river confluences. In addition to natural factors such as geothermal activities, they are also affected by river inputs and atmospheric transmission. The third group includes Cd, Pb, Cu and Zn, which are released via incomplete combustion during transportation fuel usage or tire wear particles containing them generated through friction between tires and ground surfaces. Pb is often used as an indicator of motor vehicle pollution. Zn is often used as an indicator of traffic pollution sources and is widely used as a cleaning agent and antioxidant, and friction between tires and the ground produces Zn-containing particles [39]. The organic compounds generated after oxidation of vehicle lubricating oil can corrode metal parts and oil pumps containing elements such as Cd and Zn, resulting in the release of heavy metal elements into the environment [40]. Moreover, owing to the high range and average contents of Cd, Pb, Cu and Zn in the sediment cores from Jinmucuo Lake, the third group is affected mainly by transportation and the high background values of Jinmucuo Lake.
Heavy metal pollution in the Jinmucuo Basin is closely linked to surrounding industrial production activities, economic development changes, and shifts in land use types. A key contributor to heavy metal pollution are the challenges related to meeting sewage discharge treatment standards, navigating nonpoint source pollution control within animal husbandry practices, managing geothermal activities and high background values. Sediment dredging has been employed internally to reduce heavy metal concentrations/pollution levels within river surface sediments.
4. Conclusions
The concentrations of Cd, Cr, Pb, Cu, Zn, Ni, As and Hg in surface sediments of Jinmucuo Lake were 0.20, 169, 26.34, 65.60, 116, 154, 20.38 and 0.20 mg/kg, respectively. In the sediment cores, each element generally tended to increase with decreasing depth. With the exception of Pb, the remaining seven heavy metals in the surface sediments exceeded the soil background values in Tibet and the Brahmaputra River Basin. The outcomes obtained by the geoaccumulation index and the potential ecological risk index methods were similar. Hg was the primary metal pollutant in Jinmucuo Lake, and the accumulation of Ni, Cd and Cu also had a significant influence on the ecological environment of Jinmucuo Lake. The concentrations of Cr and Ni were relatively high in the southeastern of Jinmucuo Lake near Angren County, and the sources were mixed influenced by natural factors such as rock weathering and erosion as well as anthropogenic sewage discharge. Hg and As were highly distributed in the estuaries of the western part of the lake. Geothermal activity, river inputs and atmospheric transmission were the main sources of Hg and As in Jinmucuo Lake. Cd, Pb, Cu and Zn, which result from the incomplete combustion of transportation fuel and tire wear, are affected mainly by the traffic source and high background values. The results provide an important reference for the ecological and environmental protection of Jinmucuo Lake. It is worth noting that the impact of heavy metal pollution on plankton, benthic animals and aquatic organisms in salt lakes is an important direction for future research.
Author Contributions
Y.L.: Conceptualization, Methodology, Formal analysis, Investigation, Writing—Original Draft. Y.W.: Formal analysis, Investigation. C.Y.: Conceptualization, Methodology, Supervision. Z.X.: Validation, Investigation, Writing—Review and Editing, Supervision. C.L.: Resources, Writing—Review and Editing, Supervision. All authors have read and agreed to the published version of the manuscript.
Funding
This research was funded by the National Key Research and Development Project (No. 2021YFC3201502), the National Natural Science Foundation of China (No. 42307037), and the Jinmucuo Lake pollution source tracing project.
Institutional Review Board Statement
Not applicable.
Informed Consent Statement
Not applicable.
Data Availability Statement
Data will be made available on request.
Conflicts of Interest
No conflict of interest exits in the submission of this manuscript, and manuscript is approved by all authors for publication.
References
- Qin, B.; Zhang, Y.; Zhu, G.; Gao, G. Eutrophication control of large shallow lakes in China. Sci. Total Environ. 2023, 881, 163494. [Google Scholar] [CrossRef]
- Lv, A.; Zhang, C. Analysis of the Characteristics and driving forces of changes in lake water volume in inland arid basins in China. Water 2022, 14, 3141. [Google Scholar] [CrossRef]
- Tighe, M.; Knaub, C.; Sisk, M.; Ngai, M.; Lieberman, M.; Peaslee, G.; Beidinger, H. Validation of a screening kit to identify environmental lead hazards. Environ. Res. 2020, 181, 108892. [Google Scholar] [CrossRef]
- Zeng, L.; Zhou, F.; Zhang, X.; Qin, J.; Li, H. Distribution of heavy metals in soils and vegetables and health risk assessment in the vicinity of three contaminated sites in Guangdong Province, China. Hum. Ecol. Risk Assess. 2018, 24, 1901–1915. [Google Scholar] [CrossRef]
- Tu, L.; Jarosch, K.A.; Schneider, T.; Grosjean, M. Phosphorus fractions in sediments and their relevance for historical lake eutrophication in the Ponte Tresa basin (Lake Lugano, Switzerland) since 1959. Sci. Total Environ. 2019, 685, 806–817. [Google Scholar] [CrossRef]
- Geng, N.; Bai, Y.; Pan, S. Research on heavy metal release with suspended sediment in Taihu Lake under hydrodynamic condition. Environ. Sci. Pollut. Res. 2022, 29, 28588–28597. [Google Scholar] [CrossRef]
- Li, W.; Sun, Z.; Chen, X.; Yang, X.; Li, J.; Li, T. Evaluation and source of heavy metal pollution in surface soils in typical alpine agricultural areas of Qinghai Province. Rock Miner. Anal. 2023, 42, 598–615. [Google Scholar] [CrossRef]
- Xu, D.; Fu, R.; Wang, J.; Shi, Y.; Guo, X. Chemical stabilization remediation for heavy metals in contaminated soils on the latest decade: Available stabilizing materials and associated evaluation methods—A critical review. J. Clean. Prod. 2021, 321, 128730. [Google Scholar] [CrossRef]
- Yuan, X.; Xue, N.; Han, Z. A meta-analysis of heavy metals pollution in farmland and urban soils in China over the past 20 years. J. Environ. Sci. 2021, 101, 217–226. [Google Scholar] [CrossRef]
- Zhu, F.; Zheng, Y.; Zhang, B.; Dai, Y. A critical review on the electrospun nanofibrous membranes for the adsorption of heavy metals in water treatment. J. Hazard. Mater. 2021, 401, 123608. [Google Scholar] [CrossRef]
- Xie, T.; Luo, D.; Yang, R. Vertical distribution pattern and ecological risk assessment of heavy metals in a sediment core from Pumoyum Co, Tibet. Environ. Sci. 2014, 35, 4135–4142. (In Chinese) [Google Scholar] [CrossRef]
- Chen, Q.; Wu, L.; Zhou, C.; Liu, G.; Yao, L. A study of environmental pollution and risk of heavy metals in the bottom water and sediment of the Chaohu Lake, China. Environ. Sci. Pollut. Res. 2024, 31, 19658–19673. [Google Scholar] [CrossRef]
- Dippong, T.; Senila, M.; Cadar, O.; Resz, M. Assessment of the heavy metal pollution degree and potential health risk implications in lakes and fish from northern Romania. J. Environ. Chem. Eng. 2024, 12, 112217. [Google Scholar] [CrossRef]
- Muratkhanov, D.; Mirlas, V.; Anker, Y.; Miroshnichenko, O.; Smolyar, V.; Rakhimov, T.; Sotnikov, Y.; Rakhimova, V. Heavy metal groundwater transport mitigation from an ore enrichment plant tailing at Kazakhstan’s Balkhash Lake. Sustainability 2024, 16, 6816. [Google Scholar] [CrossRef]
- Søndergaard, M.; Jensen, J.P.; Jeppesen, E. Role of sediment and internal loading of phosphorus in shallow lakes. Hydrobiologia 2003, 506, 135–145. [Google Scholar] [CrossRef]
- Mort, H.P.; Slomp, C.P.; Gustafsson, B.G.; Andersen, T.J. Phosphorus recycling and burial in Baltic Sea sediments with contrasting redox conditions. Geochim. Cosmochim. Acta 2010, 74, 1350–1362. [Google Scholar] [CrossRef]
- Bi, S.; Yang, Y.; Xu, C.; Zhang, Y.; Zhang, X.; Zhang, X. Distribution of heavy metals and environmental assessment of surface sediment of typical estuaries in eastern China. Mar. Pollut. Bull. 2017, 121, 357–366. [Google Scholar] [CrossRef] [PubMed]
- Li, Y.; Cheng, X.; Liu, K.; Yu, Y.; Zhou, Y. A new method for identifying potential hazardous areas of heavy metal pollution in sediments. Water Res. 2022, 224, 119065. [Google Scholar] [CrossRef]
- Mookan, V.; Machakalai, R.; Srinivasan, S.; Sigamani, S.; Kolandhasamy, P.; Gnanamoorthy, P.; Moovendhan, M.; Srinivasan, R.; Hatamleh, A.; Ai-Dosary, M. Assessment of metal contaminants along the Bay of Bengal—Multivariate pollution indices. Mar. Pollut. Bull. 2023, 192, 115008. [Google Scholar] [CrossRef]
- Yang, A.; Xing, W.; Wang, X.; Hu, J.; Liu, X.; Li, J. Source and risk assessment of heavy metals in surface sediments of rivers, lakes and their surrounding soils in central Tibet. China Environ. Sci. 2020, 40, 4557–4567. (In Chinese) [Google Scholar] [CrossRef]
- Muller, G. Index of Geoaccumulation in Sediments of the Rhine River. GeoJournal 1969, 2, 109–118. [Google Scholar]
- Liao, X.; Li, Y.; Miranda-Avilés, R.; Puy-Alquiza, M.; Bian, J.; Anguiano, J.; Muñoz, A.; Datta, S.; Zha, X.; Liu, J.; et al. Assessments of pollution status and human health risk of potentially toxic elements in primary crops and agricultural soils in Guanajuato, Mexico. Water Air Soil Pollut. 2023, 234, 670. [Google Scholar] [CrossRef]
- Hakanson, L. An ecological risk index for aquatic pollution control. A sedimentological approach. Water Res. 1980, 14, 975–1001. [Google Scholar] [CrossRef]
- Zhang, H.; Tang, D.; He, J.; Yang, X.; Feng, Z.; Fu, Y.; Yuan, X.; Chang, X.; Teng, D.; Liu, F.; et al. Assessment of heavy metal contamination in the surface sediments, seawater and organisms of the Pearl River Estuary, South China Sea. Sci. Total Environ. 2024, 950, 175266. [Google Scholar] [CrossRef] [PubMed]
- Tang, S.; Long, Y.; Li, J.; Wen, X.; Chen, H.; Zhang, Y.; Chen, J. Current state, sources, and potential risk of heavy metals in sediments of typical inner lakes in the Dongting Lake Area. Process Saf. Environ. Prot. 2024, 190, 1290–1300. [Google Scholar] [CrossRef]
- Liu, B.; Luo, J.; Jiang, S.; Wang, Y.; Li, Y.; Zhang, X.; Zhou, S. Geochemical fractionation, bioavailability, and potential risk of heavy metals in sediments of the largest influent river into Chaohu Lake, China. Environ. Pollut. 2021, 290, 118018. [Google Scholar] [CrossRef]
- Pan, X.; Gu, W.; Li, H.; Hu, Y.; Zhang, W.; Lin, L. Carbon, Nitrogen, and Phosphorus in Sediments of Honghu Lake:Spatial Distribution and Pollution Evaluation. J. Yangtze River Sci. Res. Inst. 2021, 38, 41–46. (In Chinese) [Google Scholar] [CrossRef]
- Pan, H.; Lu, X.; Lei, K. A comprehensive analysis of heavy metals in urban road dust of Xi’an, China: Contamination, source apportionment and spatial distribution. Sci. Total Environ. 2017, 609, 1361–1369. [Google Scholar] [CrossRef]
- Feng, X.; Chen, J.; Fu, X.; Hu, H.; Li, P.; Qiu, G.; Yan, H.; Yin, R.; Zhang, H.; Zhu, W. Progresses on environmental geochemistry of mercury. Bull. Mineral. Petrol. Geochem. 2013, 32, 503–530. (In Chinese) [Google Scholar]
- Yang, H.; Battarbee, R.; Turner, S.; Rose, N.; Derwent, R.; Wu, G.; Yang, R. Historical reconstruction of mercury pollution across the Tibetan Plateau using lake sediments. Environ. Sci. Technol. 2010, 44, 2918–2924. [Google Scholar] [CrossRef]
- Bai, J.; Wang, J.; Li, C.; Kang, S.; Chen, P. Study on soil element background values of the hoh xil area in North Tibet. Environ. Sicience 2014, 35, 1498–1501. (In Chinese) [Google Scholar]
- Gopinathan, P.; Santosh, M.; Dileepkumar, V.; Subramani, T.; Reddy, R.; Masto, R.; Maity, S. Geochemical, mineralogical and toxicological characteristics of coal fly ash and its environmental impacts. Chemosphere 2022, 307, 135710. [Google Scholar] [CrossRef] [PubMed]
- Wang, D.; Wang, L.; Fan, C.; Sun, D.; Chen, D. Preliminary Study on Heavy Metal Pollution in Sediments and Suspended Particulate Matter in Urban Reach of a River Basin in Guizhou. Environ. Monit. China 2023, 39, 159–169. (In Chinese) [Google Scholar] [CrossRef]
- Railsback, L.B. An earth scientist’s periodic table of the elements and their ions. Geology 2003, 117, 737–740. [Google Scholar] [CrossRef]
- Li, C.; Kang, S.; Chen, P.; Zhang, Q.; Mi, J.; Gao, S.; Sillanpää, M. Geothermal spring causes arsenic contamination in river waters of the southern Tibetan Plateau, China. Environ. Earth Sci. 2014, 71, 4143–4148. [Google Scholar] [CrossRef]
- Nakagawa, R. Estimation of mercury emissions from geothermal activity in Japan. Chemosphere 1999, 38, 1867–1871. [Google Scholar] [CrossRef]
- Gionfriddo, C.; Stott, M.; Power, J.; Ogorek, J.; Krabbenhoft, D.; Wick, R.; Holt, K.; Chen, L.; Thomas, B.; Banfield, J.; et al. Genome-resolved metagenomics and detailed geochemical speciation analyses yield new insights into microbial mercury cycling in geothermal springs. Appl. Environ. Microbiol. 2020, 86, 15. [Google Scholar] [CrossRef] [PubMed]
- Tian, H.; Wang, Y.; Xue, Z.; Qu, Y.; Chai, F.; Hao, J. Atmospheric emissions estimation of Hg, As, and Se from coal-fired power plants in China, 2007. Sci. Total Environ. 2011, 409, 3078–3081. [Google Scholar] [CrossRef]
- Sheng, J.; Wang, X.; Gong, P.; Tian, L. Heavy metals of the Tibetan top soils Level, source, spatial distribution, temporal variation and risk assessment. Environ. Sci. Pollut. Res. 2012, 19, 3362–3370. [Google Scholar] [CrossRef]
- Zhang, H.; Wang, Z.; Zhang, Y.; Ding, M.; Li, L. Identification of traffic-related metals and the effects of different environments on their enrichment in roadside soils along the Qinghai-Tibet highway. Sci. Total Environ. 2015, 521, 160–172. [Google Scholar] [CrossRef]
Disclaimer/Publisher’s Note: The statements, opinions and data contained in all publications are solely those of the individual author(s) and contributor(s) and not of MDPI and/or the editor(s). MDPI and/or the editor(s) disclaim responsibility for any injury to people or property resulting from any ideas, methods, instructions or products referred to in the content. |
© 2024 by the authors. Licensee MDPI, Basel, Switzerland. This article is an open access article distributed under the terms and conditions of the Creative Commons Attribution (CC BY) license (https://creativecommons.org/licenses/by/4.0/).