Influence of Environmental Factors on Pedestrian Summer Vitality in Urban Pedestrian Streets in Cold Regions Guided by Thermal Comfort: A Case Study of Sanlitun—Beijing, China
Abstract
1. Introduction
2. Literature
2.1. Measurement of Vitality of Urban Pedestrian Streets
2.2. Street Spatial Elements and Vitality
2.3. Research Questions
- (I)
- Are there differences in pedestrian vitality in urban streets of cold regions under varying thermal conditions? What are the manifestations of these differences?
- (II)
- What are the best factors or combinations of factors for improving spatial vitality in urban streets of cold regions guided by thermal comfort?
- (III)
- What are the design strategies to improve spatial vitality in urban streets of cold regions guided by thermal comfort?
3. Methods
3.1. Research Framework
- (I)
- Formulate targeted questions and select appropriate research locations and times.
- (II)
- Before field measurements, filter relevant internet review data to select representative streets, choosing six street space samples with typical environmental characteristics in the South Sanlitun pedestrian street area of Beijing, China.
- (III)
- Select different time periods to monitor vitality and climate data for these six samples within the same time frame, recording pedestrian behavior occurrences, climate conditions, and the spatial element configurations of the samples.
- (IV)
- Process the collected data; the independent variables in this study include time, street orientation, aspect ratio, tree crown size, tree crown spacing, temperature, humidity, and wind speed. By calculating temperature, humidity, and wind speed, derive the mediating variable physiological equivalent temperature (PET) and construct decision tree models of various factors affecting the dependent variable of pedestrian vitality.
- (V)
- Data analysis involves extracting thermal environment and vitality data from the streets based on specific analytical requirements and assessing their differences.
- (VI)
- Analyze using the XGBoost model, calculating the gradients of single and multiple factors to determine the correlations and impacts between these variables, identifying the best factors or combinations to enhance street vitality.
- (VII)
- Suggest design strategies aimed at boosting the spatial vitality of urban streets in cold areas.
3.2. Study Area
3.3. Physical Measurement
3.3.1. Street Spatial Elements
- (I)
- Sunshine time (ST)
- (II)
- Street orientation (SO)
- (III)
- Street aspect ratio (AR)
- (IV)
- Tree greenness (Tg)
- (V)
- Tree spacing (Ts)
3.3.2. Climatic Physical Elements
- (I)
- Temperature (Ta)
- (II)
- Relative humidity (Rh)
- (III)
- Wind speed (Va)
- (IV)
- Physiologically equivalent temperature (PET)
3.3.3. Pedestrian Vitality Index
- (I)
- Number of Pedestrians (num)
- (II)
- Stay Duration (dur)
- (III)
- Trajectory Diversity (TD)
- (IV)
- Trajectory Complexity (TC)
3.4. Data Analysis and Validation
3.4.1. Accuracy Verification of Climate Factors
3.4.2. Pedestrian Vitality Accuracy Verification
3.4.3. XGBoost Model Validation
3.5. Ethics
4. Results
4.1. Changes in Temporal and Spatial Vitality
4.2. Working Days and Weekends
4.2.1. Single Factor Analysis
4.2.2. Multi-Factor Analysis
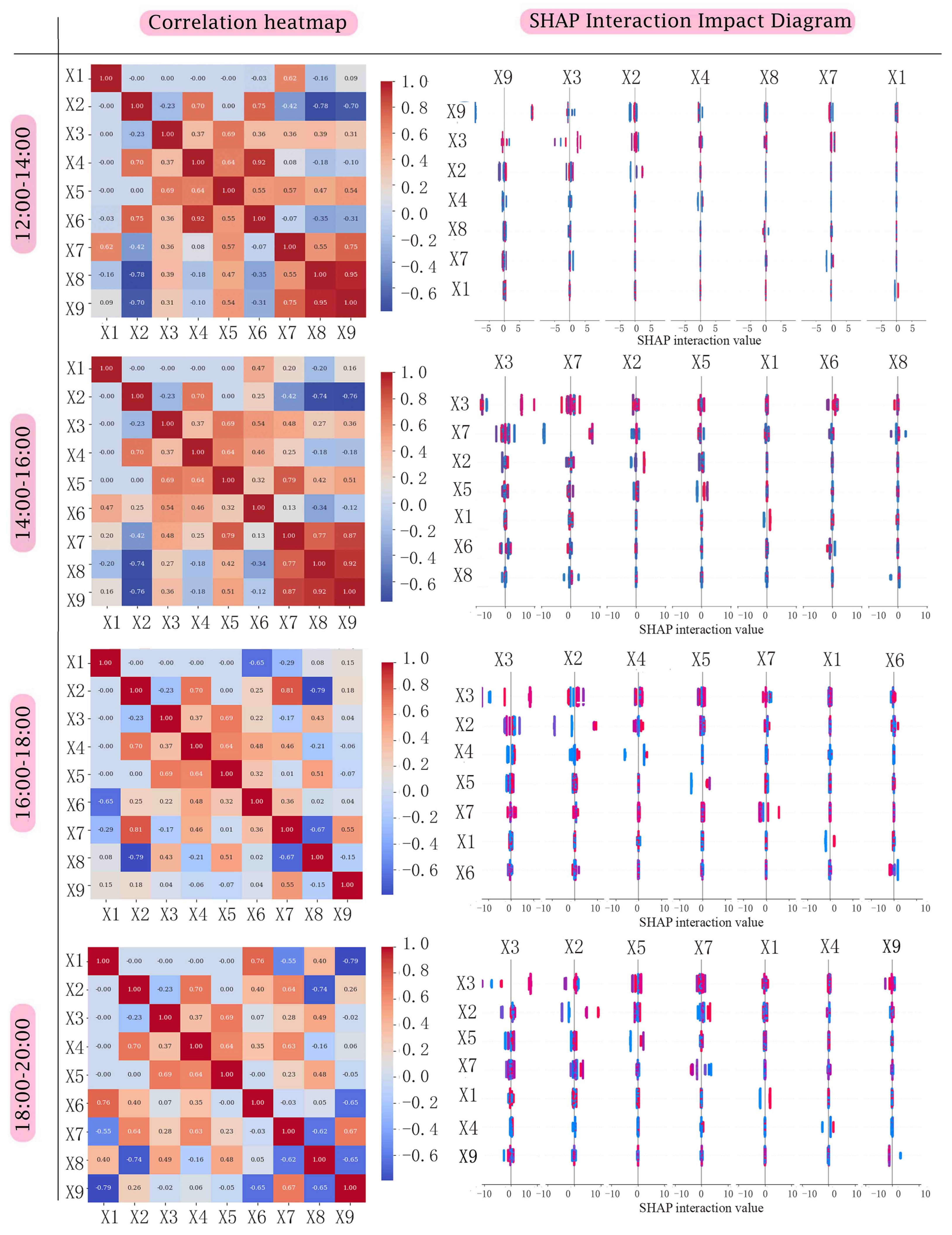
4.3. Different Time Periods Within Normal Days
4.3.1. Single Factor Analysis
4.3.2. Multi-Factor Analysis
5. Discussion
5.1. Changes in Spatiotemporal Vitality of Streets
5.2. Street Thermal Comfort Changes
5.3. Factors Affecting Thermal Comfort Changes
5.3.1. Single Factor
5.3.2. Multi-Factor Analysis
5.4. Design Strategy
5.5. Impacts and Limitations
6. Conclusions
- (I)
- The vitality of the streets exhibits a gradual upward trend throughout the day, particularly during the time frame from 12:00 to 16:00, where thermal comfort significantly influences people’s vitality. The high temperatures and humidity during this time reduce individuals’ comfort and activity capabilities, thus inhibiting vitality levels. Therefore, improving thermal comfort in the street environment during the period from 12:00 to 16:00 is crucial for enhancing the vitality of street spaces.
- (II)
- The street aspect ratio is a primary design factor influencing the vitality of the pedestrian streets in the southern district of Sanlitun, Beijing, and its impact exceeds that of other design factors. When focusing on a single factor, priority is given to the street aspect ratio; in urban street spaces located in cold regions, the influence of street spatial elements is greater than that of climatic physical factors, and a higher street aspect ratio is positively correlated with increased vitality.
- (III)
- The correlation between street spatial elements and climatic physical elements is consistent on weekdays and weekends, but their influencing factors on vitality show significant differences at different time periods. During the period from 12:00 to 16:00, adjusting the interaction between the street aspect ratio and tree canopy in street spatial elements can improve the interaction between temperature and relative humidity in climatic physical elements, thereby enhancing pedestrian vitality in cold urban street spaces under conditions of thermal comfort.
- (IV)
- In street planning, a reasonable building aspect ratio (1:2 to 1:4) and scientific green design are key. By carefully controlling the planting density and greenery configuration of trees, optimal street space effects can be achieved. Planting trees that are 8 to 15 m tall can effectively reduce surface temperatures and increase shaded areas, but also significantly improves the thermal comfort of streets, thereby enhancing the vitality of urban streets in cold regions during summer.
Author Contributions
Funding
Institutional Review Board Statement
Informed Consent Statement
Data Availability Statement
Conflicts of Interest
References
- Taleghani, M. Outdoor thermal comfort by different heat mitigation strategies-A review. Renew. Sustain. Energy Rev. 2018, 81, 2011–2018. [Google Scholar] [CrossRef]
- Kim, Y.; Kim, H.; Shin, S.D.; Hong, Y. Different influence of outdoor temperature on traumatic and nontraumatic injuries. J. Trauma Acute Care Surg. 2012, 73, 944–949. [Google Scholar] [CrossRef] [PubMed]
- Brocherie, F.; Girard, O.; Millet, G.P. Emerging environmental and weather challenges in outdoor sports. Climate 2015, 3, 492–521. [Google Scholar] [CrossRef]
- Guergour, H.; Cheraitia, M.; Dechaicha, A.; Alkama, D. Optimization of urban morphology to enhance outdoor thermal comfort: A microclimate analysis. J. Bulg. Geogr. Soc. 2024, 51, 107–130. [Google Scholar] [CrossRef]
- Liu, H.; Huang, B.; Gao, S.; Wang, J.; Yang, C.; Li, R. Impacts of the evolving urban development on intra-urban surface thermal environment: Evidence from 323 Chinese cities. Sci. Total Environ. 2021, 771, 144810. [Google Scholar] [CrossRef] [PubMed]
- Lee, I.M.; Shiroma, E.J.; Lobelo, F.; Puska, P.; Blair, S.N.; Katzmarzyk, P.T. Effect of physical inactivity on major non-communicable diseases worldwide: An analysis of burden of disease and life expectancy. Lancet 2012, 380, 219–229. [Google Scholar] [CrossRef] [PubMed]
- Fahed, J.; Kinab, E.; Ginestet, S.; Adolphe, L. Impact of urban heat island mitigation measures on microclimate and pedestrian comfort in a dense urban district of Lebanon. Sustain. Cities Soc. 2020, 61, 102375. [Google Scholar] [CrossRef]
- Li, Y.; Hong, B.; Wang, Y.; Bai, H.; Chen, H. Assessing heat stress relief measures to enhance outdoor thermal comfort: A field study in China’s cold region. Sustain. Cities Soc. 2022, 80, 103813. [Google Scholar] [CrossRef]
- Kumar, A.; Singh, D.P. Heat stroke-related deaths in India: An analysis of natural causes of deaths, associated with the regional heatwave. J. Therm. Biol. 2021, 95, 102792. [Google Scholar] [CrossRef]
- Henderson, J.V.; Turner, M.A. Urbanization in the developing world: Too early or too slow? J. Econ. Perspect. 2020, 34, 150–173. [Google Scholar] [CrossRef]
- GB 50176-2016; Thermal Design Code for Civil Buildings. China Architecture & Building Press: Beijing, China, 2016.
- Sarrat, C.; Lemonsu, A.; Masson, V.; Guédalia, D. Impact of urban heat island on regional atmospheric pollution. Atmos. Environ. 2006, 40, 1743–1758. [Google Scholar] [CrossRef]
- Wang, K.; Li, Y.; Luo, Z.; Yin, S.; Chan, P.W. Harmonic analysis of 130-year hourly air temperature in Hong Kong: Detecting urban warming from the perspective of annual and daily cycles. Clim. Dyn. 2018, 51, 613–625. [Google Scholar] [CrossRef]
- Huang, K.-T.; Yang, S.-R.; Matzarakis, A.; Lin, T.-P. Identifying outdoor thermal risk areas and evaluation of future thermal comfort concerning shading orientation in a traditional settlement. Sci. Total Environ. 2018, 626, 567–580. [Google Scholar] [CrossRef] [PubMed]
- Chen, H.; Zhao, L.; Cheng, L.; Zhang, Y.; Wang, H.; Gu, K.; Bao, J.; Yang, J.; Liu, Z.; Huang, J.; et al. Projections of heatwave-attributable mortality under climate change and future population scenarios in China. Lancet Reg. Health–West. Pac. 2022, 28, 100582. [Google Scholar] [CrossRef]
- An, L.; Hong, B.; Cui, X.; Geng, Y.; Ma, X. Outdoor thermal comfort during winter in China’s cold regions: A comparative study. Sci. Total Environ. 2021, 768, 144464. [Google Scholar] [CrossRef]
- Liu, Y.; Xu, Y.; Weng, F.; Zhang, F.; Shu, W. Impacts of urban spatial layout and scale on local climate: A case study in Beijing. Sustain. Cities Soc. 2021, 68, 102767. [Google Scholar] [CrossRef]
- Lin, J.; Wei, K.; Guan, Z. Exploring the connection between morphological characteristic of built-up areas and surface heat islands based on MSPA. Urban Clim. 2024, 53, 101764. [Google Scholar] [CrossRef]
- Errea, C.L.; de Almeida, C.R.; Gonçalves, A.; Teodoro, A.C. Remote sensing analysis of the surface urban heat island effect in vitoria-gasteiz, 1985 to 2021. Remote Sens. 2023, 15, 3110. [Google Scholar] [CrossRef]
- Guo, F.; Guo, R.; Zhang, H.; Dong, J.; Zhao, J. A canopy shading-based approach to heat exposure risk mitigation in small squares. Urban Clim. 2023, 49, 101495. [Google Scholar] [CrossRef]
- Mu, B.; Liu, C.; Mu, T.; Xu, X.; Tian, G.; Zhang, Y.; Kim, G. Spatiotemporal fluctuations in urban park spatial vitality determined by on-site observation and behavior mapping: A case study of three parks in Zhengzhou City, China. Urban For. Urban Green. 2021, 64, 127246. [Google Scholar] [CrossRef]
- Liu, S.; Lai, S.-Q.; Liu, C.; Jiang, L. What influenced the vitality of the waterfront open space? A case study of Huangpu River in Shanghai, China. Cities 2021, 114, 103197. [Google Scholar] [CrossRef]
- Kim, Y.L. Seoul’s Wi-Fi hotspots: Wi-Fi access points as an indicator of urban vitality. Comput. Environ. Urban Syst. 2018, 72, 13–24. [Google Scholar] [CrossRef]
- Song, L.I.; Siqi, L.A. Measurement of Urban Public Space Vitality Based on Big Data. Landsc. Archit. 2019, 26, 24–28. [Google Scholar]
- Zheng, J.; He, J.; Tang, H. The vitality of public space and the effects of environmental factors in Chinese suburban rural communities based on tourists and residents. Int. J. Environ. Res. Public Health 2022, 20, 263. [Google Scholar] [CrossRef] [PubMed]
- Niu, T.; Qing, L.; Han, L.; Long, Y.; Hou, J.; Li, L.; Tang, W.; Teng, Q. Small public space vitality analysis and evaluation based on human trajectory modeling using video data. Build. Environ. 2022, 225, 109563. [Google Scholar] [CrossRef]
- Weilnhammer, V.; Schmid, J.; Mittermeier, I.; Schreiber, F.; Jiang, L.; Pastuhovic, V.; Herr, C.; Heinze, S. Extreme weather events in europe and their health consequences–A systematic review. Int. J. Hyg. Environ. Health 2021, 233, 113688. [Google Scholar] [CrossRef]
- Zhang, Y.; Zheng, Z.; Zhang, S.; Fang, Z.; Lin, Z. Exploring thermal comfort and pleasure in outdoor shaded spaces: Inspiration for improving thermal index models. Build. Environ. 2024, 265, 111933. [Google Scholar] [CrossRef]
- Ceccarelli, G.; Messa, F.; Gorrini, A.; Presicce, D.; Choubassi, R. Deep learning video analytics for the assessment of street experiments: The case of bologna. J. Urban Mobil. 2023, 4, 100067. [Google Scholar] [CrossRef]
- Makvandi, M.; Zhou, X.; Li, C.; Deng, Q. A Field Investigation on Adaptive Thermal Comfort in an Urban Environment Considering Individuals’ Psychological and Physiological Behaviors in a Cold-Winter of Wuhan. Sustainability 2021, 13, 678. [Google Scholar] [CrossRef]
- Zheng, Z.; Luo, F.; Li, N.; Gao, H.; Yang, Y. Impact of Local Climate Zones on the Urban Heat and Dry Islands in Beijing: Spatial Heterogeneity and Relative Contributions. J. Meteorol. Res. 2024, 38, 126–137. [Google Scholar] [CrossRef]
- Liu, R.; Jiao, L.; Liu, Y.; Wang, Y. Multi-scale spatial analysis of satellite-retrieved surface evapotranspiration in Beijing, a rapidly urbanizing region under continental monsoon climate. Environ. Sci. Pollut. Res. 2023, 30, 20402–20414. [Google Scholar] [CrossRef] [PubMed]
- Cui, F.; Hamdi, R.; Kuang, W.; Yang, T.; He, H.; Termonia, P.; De Maeyer, P. Interactions between the summer urban heat islands and heat waves in Beijing during 2000–2018. Atmos. Res. 2023, 291, 106813. [Google Scholar] [CrossRef]
- Huang, J.; Shen, S.; Zhao, M.; Cheng, C. Assessment of Summer Regional Outdoor Heat Stress and Regional Comfort in the Beijing-Tianjin-Hebei Agglomeration Over the Last 40 Years. GeoHealth 2023, 7, e2022GH000725. [Google Scholar] [CrossRef] [PubMed]
- Ding, W.; Liu, S. Impact assessment of air pollutants and greenhouse gases on urban heat wave events in the Beijing–Tianjin–Hebei region. Environ. Geochem. Health 2023, 45, 7693–7709. [Google Scholar] [CrossRef] [PubMed]
- Pintor, L. Advancements in Wi-Fi-Based Passenger Counting and Crowd Monitoring: Techniques and Applications. Ph.D. Thesis, Università degli Studi di Cagliari, Cagliari, Italy, 2024. [Google Scholar]
- Zhang, H.; Wang, Y.; Guo, F.; Zhao, J.; Dong, J.; Zhu, P. Factors influencing outdoor thermal comfort in a coastal park during the transition seasons in cold regions of China. Urban Clim. 2024, 55, 101856. [Google Scholar] [CrossRef]
- Guo, R.; Guo, F.; Dong, J.; Wang, Z.; Zheng, R.; Zhang, H. Finer-scale urban health risk assessment based on the interaction perspective of thermal radiation, human, activity, and space. Front. Archit. Res. 2024, 13, 682–697. [Google Scholar] [CrossRef]
- Bai, M.; Hu, R.; Lian, H.; Zhou, W. Correlation Study of Commercial Street Morphology and Pedestrian Activity in Cold Region Summers under Thermal Comfort Guidance: A Case Study of Sanlitun, Beijing. Buildings 2024, 14, 1751. [Google Scholar] [CrossRef]
- ISO 7730:2005; Ergonomics of the Thermal Environment—Analytical Determination and Interpretation of Thermal Comfort Using Human Response to Temperature. International Organization for Standardization (ISO): Geneva, Switzerland, 2005.
- ISO 9920:2019; Ergonomics of the Thermal Environment—Estimation of Thermal Insulation and Water Vapor Resistance of a Clothing Ensemble. International Organization for Standardization (ISO): Geneva, Switzerland, 2019.
- Arsad, F.S.; Hod, R.; Ahmad, N.; Baharom, M.; Ja’afar, M.H. Assessment of indoor thermal comfort temperature and related behavioural adaptations: A systematic review. Environ. Sci. Pollut. Res. 2023, 30, 73137–73149. [Google Scholar] [CrossRef]
- Yue, H. Investigating the influence of streetscape environmental characteristics on pedestrian crashes at intersections using street view images and explainable machine learning. Accid. Anal. Prev. 2024, 205, 107693. [Google Scholar] [CrossRef]
- Zhang, Y.; Du, X.; Shi, Y. Effects of street canyon design on pedestrian thermal comfort in the hot-humid area of China. Int. J. Biometeorol. 2017, 61, 1421–1432. [Google Scholar] [CrossRef]
- Nasrollahi, N.; Namazi, Y.; Taleghani, M. The effect of urban shading and canyon geometry on outdoor thermal comfort in hot climates: A case study of Ahvaz, Iran. Sustain. Cities Soc. 2021, 65, 102638. [Google Scholar] [CrossRef]
- Zhang, J.; Zhou, W.; Lian, H.; Hu, R. Research on Optimization Strategy of Commercial Street Spatial Vitality Based on Pedestrian Trajectories. Buildings 2024, 14, 1240. [Google Scholar] [CrossRef]
- Perini, K.; Magliocco, A. Effects of vegetation, urban density, building height, and atmospheric conditions on local temperatures and thermal comfort. Urban For. Urban Green. 2014, 13, 495–506. [Google Scholar] [CrossRef]
- Cao, A.; Qiong, L.; Qinglin, M. Effects of orientation of urban roads on the local thermal environment in Guangzhou City. Proc. Eng. 2015, 121, 2075–2082. [Google Scholar] [CrossRef]
- Watanabe, S.; Nagano, K.; Ishii, J.; Horikoshi, T. Evaluation of outdoor thermal comfort in sunlight, building shade, and pergola shade during summer in a humid subtropical region. Build. Environ. 2014, 82, 556–565. [Google Scholar] [CrossRef]
- Correa, E.; Ruiz, M.A.; Canton, A.; Lesino, G. Thermal comfort in forested urban canyons of low building density. An assessment for the city of Mendoza, Argentina. Build. Environ. 2012, 58, 219–230. [Google Scholar] [CrossRef]
- Achour-Younsi, S.; Fakher, K. Outdoor thermal comfort: Impact of the geometry of an urban street canyon in a Mediterranean subtropical climate–Case study Tunis, Tunisia. Proc. Soc. Behav. Sci. 2016, 216, 689–700. [Google Scholar] [CrossRef]
- Ren, Z.; Zhao, H.; Fu, Y.; Xiao, L.; Dong, Y. Effects of urban street trees on human thermal comfort and physiological indices: A case study in Changchun city, China. J. For. Res. 2022, 33, 911–922. [Google Scholar] [CrossRef]
- Fu, M.; Ban, K.; Jin, L.; Wu, D. How Urban Street Spatial Composition Affects Land Surface Temperature in Areas with Different Population Densities: A Case Study of Zhengzhou, China. Sustainability 2024, 16, 9938. [Google Scholar] [CrossRef]
- Lam, C.K.C.; Gallant, A.J.E.; Tapper, N.J. Does irrigation cooling effect intensify during heatwaves? A case study in the Melbourne botanic gardens. Urban For. Urban Green. 2020, 55, 126815. [Google Scholar] [CrossRef]
- Langenheim, N.; White, M.; Tapper, N.; Livesley, S.J.; Ramirez-Lovering, D. Right tree, right place, right time: A visual-functional design approach to select and place trees for optimal shade benefit to commuting pedestrians. Sustain. Cities Soc. 2020, 52, 101816. [Google Scholar] [CrossRef]
- Zheng, X.; Chen, L.; Yang, J. Simulation framework for early design guidance of urban streets to improve outdoor thermal comfort and building energy efficiency in summer. Build. Environ. 2023, 228, 109815. [Google Scholar] [CrossRef]
- Huang, X.; Song, J.; Wang, C.; Chan, P.W. Realistic representation of city street-level human thermal stress via a new urban climate-human coupling system. Renew. Sustain. Energy Rev. 2022, 169, 112919. [Google Scholar] [CrossRef]
- Cheng, K.Y.; Lau, K.; Shek, Y.T.; Liu, Z.; Ng, E. Evaluation on the performance of tree view factor in a high-density subtropical city: A case study in Hong Kong. Build. Environ. 2023, 239, 110431. [Google Scholar] [CrossRef]
- Sun, C.; Lian, W.; Liu, L.; Dong, Q.; Han, Y. The impact of street geometry on outdoor thermal comfort within three different urban forms in severe cold region of China. Build. Environ. 2022, 222, 109342. [Google Scholar] [CrossRef]
- Li, Z.; Zhang, H.; Juan, Y.-H.; Lee, Y.-T.; Wen, C.-Y.; Yang, A.-S. Effects of urban tree planting on thermal comfort and air quality in the street canyon in a subtropical climate. Sustain. Cities Soc. 2023, 91, 104334. [Google Scholar] [CrossRef]
- Chen, T.; Yang, H.; Chen, G.; Lam, C.K.C.; Hang, J.; Wang, X.; Liu, Y.; Ling, H. Integrated impacts of tree planting and aspect ratios on thermal environment in street canyons by scaled outdoor experiments. Sci. Total Environ. 2021, 764, 142920. [Google Scholar] [CrossRef]
- Lee, H.; Mayer, H.; Kuttler, W. Impact of the spacing between tree crowns on the mitigation of daytime heat stress for pedestrians inside EW urban street canyons under Central European conditions. Urban For. Urban Green. 2020, 48, 126558. [Google Scholar] [CrossRef]












Disclaimer/Publisher’s Note: The statements, opinions and data contained in all publications are solely those of the individual author(s) and contributor(s) and not of MDPI and/or the editor(s). MDPI and/or the editor(s) disclaim responsibility for any injury to people or property resulting from any ideas, methods, instructions or products referred to in the content. |
© 2024 by the authors. Licensee MDPI, Basel, Switzerland. This article is an open access article distributed under the terms and conditions of the Creative Commons Attribution (CC BY) license (https://creativecommons.org/licenses/by/4.0/).
Share and Cite
Zhou, W.; Zhang, J.; Li, X.; Guo, F.; Zhu, P. Influence of Environmental Factors on Pedestrian Summer Vitality in Urban Pedestrian Streets in Cold Regions Guided by Thermal Comfort: A Case Study of Sanlitun—Beijing, China. Sustainability 2024, 16, 10419. https://doi.org/10.3390/su162310419
Zhou W, Zhang J, Li X, Guo F, Zhu P. Influence of Environmental Factors on Pedestrian Summer Vitality in Urban Pedestrian Streets in Cold Regions Guided by Thermal Comfort: A Case Study of Sanlitun—Beijing, China. Sustainability. 2024; 16(23):10419. https://doi.org/10.3390/su162310419
Chicago/Turabian StyleZhou, Wenyu, Jinjiang Zhang, Xuan Li, Fei Guo, and Peisheng Zhu. 2024. "Influence of Environmental Factors on Pedestrian Summer Vitality in Urban Pedestrian Streets in Cold Regions Guided by Thermal Comfort: A Case Study of Sanlitun—Beijing, China" Sustainability 16, no. 23: 10419. https://doi.org/10.3390/su162310419
APA StyleZhou, W., Zhang, J., Li, X., Guo, F., & Zhu, P. (2024). Influence of Environmental Factors on Pedestrian Summer Vitality in Urban Pedestrian Streets in Cold Regions Guided by Thermal Comfort: A Case Study of Sanlitun—Beijing, China. Sustainability, 16(23), 10419. https://doi.org/10.3390/su162310419

