Abstract
The digital innovation ecosystem is an important driving force for building a modern economic development system. It is of great significance to explore the multiple configuration paths of digital innovation ecosystems affecting the development of the low-carbon transformation of the economy to facilitate the green and sustainable development of the economy. We have found through our research that the types of configuration that lead to the development of a high-level low-carbon economy are ‘subjects-resource-environment linkage’ and ‘subjects-environment driven’. The former is the key configuration path that leads to the development of a high-level low-carbon economy. In both models, a high-level digital environment is the core condition that facilitates the development of a high-level low-carbon economic transformation. Moreover, in the spatial dimension, there is a significant difference in the types of configuration that achieve low-carbon economic transformation in the eastern, central, and western regions of China. The findings of this study reveal how the three major subsystems of the digital innovation ecosystem synergistically affect the low-carbon transformation of the economy. It not only helps to improve the relevant theories, but also brings certain references for improving the ‘synergy’ between low-carbon development and economic growth.
1. Introduction
With the rapid growth of the global economy and the acceleration of industrialization, carbon dioxide (CO2) emissions have climbed dramatically. The resulting extreme weather and ecological problems pose a serious threat to human survival and the Earth’s environment [1,2]. In order to cope with global climate change, the 28th Conference of the Parties (COP28) to the United Nations Framework Convention on Climate Change (UNFCCC) in 2023 emphasized the importance of a global green low-carbon transition. The green low-carbon transition has become one of the core issues of current social development [3].
China, as the largest developing country, has experienced rapid mechanization and industrialization. Its energy-intensive industries, such as iron and steel, cement, chemicals, and electricity, generate large amounts of carbon emissions [4]. The Global Carbon Emissions Report 2023, published by the International Energy Agency (IEA), shows that China’s emissions will grow by about 565 million tons in 2023. China has become the country with the largest increase in global carbon emissions. The Chinese government attaches great importance to the issue of climate change and actively facilitates carbon emission reduction. It is committed to achieving carbon peaking by 2030 and carbon neutrality by 2060 [5]. Under such circumstances, it is of great practical significance to explore the low-carbon transformation of China’s economy.
The key to the low-carbon transformation of the economy lies in green technological innovation [6]. However, relying on the innovation of a single subject can no longer meet the needs of the green and low-carbon development of the economy. Innovation has evolved into a complex process of collaboration and knowledge-sharing across multiple organizations [7]. As a new mode of collaborative innovation, the digital innovation ecosystem, supported by digital technology, builds an efficient information exchange and collaboration platform. It continuously blurs the traditional innovation boundaries and subverts industry barriers [8]. It makes more subjects participate in green innovation and accelerates the research and diffusion of low-carbon technologies. It provides a broader space for systematic green collaborative innovation and new ideas for low-carbon economic transformation. It has gradually become an important driving force to facilitate the development of the low-carbon economy. Based on this, it explores the multiple paths and mechanisms through which digital innovation ecosystems influence the low-carbon transformation of economies. This will help to reduce global carbon emissions and promote sustainable economic development.
The current domestic and international research on the factors affecting the low-carbon transition of the economy is mostly from institutional and economic perspectives. For example, R&D subsidies [9], environmental regulation [10,11], information disclosure [12], economic growth [13,14], industrial structural adjustment [15], changes in international trade dynamics [16], green finance [17], urbanization [18], energy consumption [10], and technological advancement [19].
There are fewer studies in the literature exploring the development path of a low-carbon economy from the perspective of the innovation ecosystem. Li, from the system level, explained how the symbiosis of the innovation ecosystem drives the green transformation of the economy [20]. Guo and Xin, from the factor level, explored the impact of subject synergy [21] and resource integration [22] on the transformation of the green economy. Mao, from the innovation ecosystem perspective, adopted the random forest algorithm to analyze the factor redistribution path of low-carbon transformation of the manufacturing industry in a high-dimensional data environment [23]. From the standpoint of the innovation ecosystem, Stokke explored the influence of early upstream suppliers on green public procurement directly or indirectly through influencing public actors [24]. Shi constructed a game model of value co-creation among enterprises, government, and financial institutions in a low-carbon innovation ecosystem. It identified that collaborative innovation among enterprises is the optimal strategic strategy for value co-creation [25]. Cao found that the driving impact of the innovation ecosystem on the low-carbon transition is characterized by a ‘U’-shaped phase, and has a significant spatial spillover effect [7].
With the development of digital technology, scholars have begun to pay attention to the carbon emission reduction effect of the digital economy [26]. The digital economy can reduce carbon emissions through direct effects [27]. It can also indirectly contribute to the emission reduction effect of the digital economy by, for example, improving energy efficiency [28]. Many scholars believe that technological progress is an important indirect path for the digital economy to affect carbon emissions [29]. Some scholars have found a non-linear relationship between the digital economy and carbon emissions. They have also pointed out that when China’s digital economy develops to a higher level, the effect of emission reduction will be more obvious [30]. Moreover, there is heterogeneity in the effect of the digital economy and carbon emissions. This heterogeneity is reflected in different regions, different industries, and different stages of digital economy growth. It reflects the complexity and diversity of the relationship between the digital economy and carbon emissions [31,32].
A review of the relevant literature reveals that both digital technologies and innovation ecosystems can directly or indirectly influence the development of a low-carbon economy. The impact of digital technology and innovation ecosystems on low-carbon economic development also has significant spatial effects. However, there are still some shortcomings in the current research. Firstly, the existing research focuses on the relationship between digital technology and low carbon economy, innovation ecosystem, and low carbon economy. The multiplier effect of technology diffusion and knowledge spillover brought by the innovation ecosystem under the support of digital technology has been neglected. Secondly, most of the existing studies use traditional regression methods, focusing on the net effect of single factors on the impact of economic low-carbon transition, such as panel regression models. It ignores the fact that the economic low-carbon transition in real life is facilitated by multiple factors. Finally, the current methods of analyzing the impact of multiple factors on the transition to a low-carbon economy mostly use static cross-sectional data. Time effects and regional differences in the development of low-carbon economies are ignored.
To reduce errors and make the study more realistic, in this paper, Chinese provincial panel data are used from 2010 to 2022 to dynamically analyze the multiple paths of influence of digital innovation ecosystems on the development of low-carbon transition of the economy. The possible marginal contributions are mainly reflected in the following aspects: (1) In terms of the research perspective, this incorporates digital technology, the innovation ecosystem, and low-carbon economic development into the same research framework. It expands the study of antecedent conditions of low-carbon transition at a certain level and provides a way of thinking for the study of the low-carbon transition of the economy. (2) In terms of research methodology, the dynamic QCA method is adopted to deeply explore the complex causal relationship and multiple configuration path of digital innovation ecosystem driving low-carbon transition from multi-dimensions. (3) The possible time effect and individual effect of conditional configuration, which to some extent makes up for the shortcomings of cross-sectional data and expands the depth of research.
2. Research Framework
Currently, scholars mostly construct the antecedent condition system of the low carbon economy transition based on the ‘Technology-Organization-Environment’ (TOE) framework [33,34], and the ‘Physical-Personal-Reason’ (WSR) framework [35]. However, real life is dynamic and changing. These frameworks can only analyze the problem based on a static perspective and lack sufficient consideration of dynamic changes. A digital innovation ecosystem is a combination of the concepts of digital innovation and innovation ecosystem [36]. It has the characteristics of ecological subject relationship, blurring of innovation boundary, and digitalization of innovation elements [37]. The digital innovation ecosystem includes three complex subsystems of innovation subject, innovation resources, and innovation environment [38]. The elements of the system synergize with each other, coexist and co-evolve in a mutually beneficial way [39], and accelerate the low-carbon transformation through positive interaction with the economic and social environment [40]. Introducing the “digital innovation ecosystem” into the low-carbon economy research system can not only draw on the stability mechanism of the natural ecosystem so that the development of the low-carbon economy can better cope with the changes and challenges of the external environment. Moreover, it can promote the rapid diffusion and transmission of information and materials by simulating the material circulation and energy flow patterns of natural ecosystems. It realizes the efficient recycling of resources and facilitates the sustainable development of the low-carbon economy. It can effectively make up for the shortcomings of the traditional framework. Therefore, this paper constructs a theoretical model for the development of low-carbon economic transformation from the three subsystems of the digital innovation ecosystem and studies the influence of multiple elements on the development of low-carbon economic transformation.
2.1. Subjects of Innovation
The diversification of innovation subjects is an important feature of China’s innovation activities [41]. The innovation subjects of the digital innovation ecosystem mainly includes enterprises, universities, and research institutions. Enterprises tend to be applied research, belong to the main body of technological innovation, and are at the center of facilitating low-carbon innovation. Enterprises establish a green production system and develop green low-carbon products through green technology innovation and the promotion of the greening of the production process. Thus, low-carbon development is achieved [42]. Strengthening the status of enterprise innovation main body, optimizing the allocation of innovation factors, and actively facilitating the gathering of various innovation factors such as talents, funds, technologies and policies to enterprises are the inevitable requirements for improving the innovation capacity of enterprises and facilitating the green and high-quality development of the economy [43].
Universities and scientific institutions focus on basic research belonging to the main body of knowledge innovation [44]. On the one hand, universities and research institutions are committed to the creation and sharing of green knowledge. Through knowledge spillover, they drive the green and low-carbon development of the regional economy [45]. On the other hand, colleges and research institutes train and transport complex and innovative talents for various industries. These highly qualified personnel carry out the innovation of green low-carbon technology and advocate the concept of green low-carbon, which directly or indirectly affects the development of the low-carbon economy. Strengthening the collaborative innovation between innovation subjects is conducive to promoting knowledge flow and technology diffusion, thus positively affecting the low-carbon transformation of the economy [46].
2.2. Innovative Resources
Endogenous growth theory points out those human and financial resources are the key drivers of innovation performance improvement [46]. Firstly, human capital is an important characteristic factor influencing regional green technology innovation and carbon emissions [47]. High-quality scientific research talents can develop new low-carbon technologies, which can improve the efficiency of energy use and reduce carbon emissions. Talents with advanced management concepts and experience can formulate scientific development strategies for low-carbon enterprises. Economists and environmental experts can advise the government on the formulation of policies such as carbon tax and carbon emissions trading through research on carbon emission trends and economic impacts. Highly qualified civil servants and law enforcement officers can ensure the effective implementation and supervision of low-carbon economic policies.
Secondly, the importance of funding resources for a low-carbon economy is also self-evident. On the one hand, adequate funding support can accelerate the breakthrough development of crucial core low-carbon technologies and promote the research and development of new low-carbon products. On the other hand, financial resources play an essential role in raising the public’s awareness of low carbon and facilitating the transformation of low-carbon lifestyles.
2.3. Innovation Environment
The innovation environment covers several aspects, including the digital, economic, and technological environments. First, the digital economic empowerment trend is vital and is the key to facilitating the comprehensive green transformation of the economy and society. According to the endogenous growth theory and the new growth theory, technological innovation and progress are the endogenous energy of economic growth. On the one hand, digital technology helps to break down the time and space barriers in traditional production links and promotes the integration and optimal allocation of production factors between regions [48]. On the other hand, digital technology facilitates the innovation and diffusion of green technology through knowledge spillover effects and so on, enabling traditional industries to engage in clean energy production. At the same time, the government and enterprises are also able to utilize digital technology to establish an environmental monitoring system. Thus, the real-time dynamic detection of pollutant emissions and environmental quality can be realized, and the government’s environmental governance efficiency can be improved [49].
Secondly, a stable, healthy, and sustainable economic environment is an important guarantee for the growth and expansion of a low-carbon economy. A positive economic environment drives the healthy development of the ecosystem from the market demand side [50]. By increasing the regulation of high-energy-consuming and high-polluting industries, it facilitates the transition of traditional industries to low-carbon and environmentally friendly directions, and realizes the coordination of economic development and ecological environmental protection. The healthy development of the economic environment also means strengthening international cooperation and sharing low-carbon technology and management experience.
Finally, a favorable technological environment can strengthen the information links between the innovation elements within the ecosystem, which is an indispensable condition of helping the efficient generation of digital innovation behaviors [51]. Greenhouse gas emissions can be effectively reduced through the development and application of clean energy technologies, energy efficiency enhancement technologies, and carbon capture and storage technologies. This will lead to industrial upgrading, give rise to new economic forms, and promote the transition of the economy to a low-carbon model. The optimization of the technological environment will help build a green financial system and attract more investment flows to low-carbon technologies and projects. This provides financial support for the commercialization and scaling-up of low-carbon technologies and promotes the transformation of green consumption and production patterns in society as a whole.
The research framework is shown in Figure 1.
Figure 1.
Analytical framework for digital innovation ecosystems affecting low-carbon economic development.
3. Research Design
3.1. Research Method
Dynamic QCA is a combined quantitative and qualitative approach dedicated to the study of complex causal relationships between multiple factors. It accurately analyzes the changes in conditional configuration across cases at the same time and the results and changes in the same case at different times, mainly through the metrics of pooled consistency (POCONS), between consistency (BECONS), within consistency (WICONS), pooled coverage (POCOV), between coverage (BECOV), and within coverage (WICOV) [52]. Dynamic QCA also captures the subtle changes in the temporal and spatial dimensions of the configuration with the help of consistency-adjusted distance. The dynamic QCA method breaks the consistency assumption of causal effects, compensates the problem that traditional regression methods can only analyze the net effect of individual variables on the outcome variable, and can effectively deal with the endogeneity problem [53]. Meanwhile, the dynamic QCA method utilizes panel data, which enlarges the sample size to a certain extent, solves the problem of unsaturation of staticity brought by the traditional QCA method which can only use cross-sectional data, as well as filling the gaps in the traditional QCA method in the study of the time effect and the case difference [52]. Therefore, in this paper, it was attempted to introduce the dynamic QCA method into the study of the digital innovation ecosystem to facilitate the development of low-carbon economy, expanding and enriching on the basis of related studies [54,55]. With the help of R language programming tools to process and analyze the panel data, to explore the impact of the three major subsystems of innovation subjects, innovation resources, and innovation environment on the development of low carbon economy under the framework of digital innovation ecosystem and the configuration effect under the time effect.
3.2. Measurement of Variables
3.2.1. Outcome Variables
Carbon productivity. Carbon productivity is used to measure the level of low-carbon economic development [56]. The economic output per unit of carbon emissions, i.e., the ratio of GDP to total carbon emissions in each region, is used to measure carbon productivity. Carbon emissions are accounted for using Scope 1, Scope 2, and Scope 3 [57], with the following criteria:
Scope 1 refers to all direct emissions within the jurisdiction of each province, mainly including GHG emissions from transport and construction, industrial production processes, agriculture, forestry and land use change, and waste disposal activities. Scope 2 refers to indirect energy-related emissions that occur outside the jurisdiction of each province, including primary emissions from purchased electricity, heating, cooling, etc., to meet consumption in the province. Scope 3 refers to other indirect emissions caused by activities within the province but not included in Scope 2. It includes GHG emissions from the production, transport, use, and waste disposal of all items purchased by provinces from outside their jurisdiction. Total carbon emissions = Scope 1 emissions + Scope 2 emissions + Scope 3 emissions.
3.2.2. Antecedent Conditions
The seven antecedent conditions were measured as follows:
Innovation subjects. In this paper, innovation subjects are divided into knowledge-based and technology innovation subjects [43]. The sum of the number of general higher education institutions and research and development institutions measures the knowledge-based innovative subjects. In contrast, the number of industrial enterprises above the scale measures technology-based innovative subjects.
Innovation resources. Innovation resources are the basis of innovation activities, generally embodied in human resources and innovation funding inputs [46]. In this paper, the number of employees is used in the information transmission, computer services, and software industry to measure the input of digital talent in the digital innovation ecosystem. Investment in fixed assets in the information transmission, computer services, and software industry is used to measure the input of digital financial resources.
Innovative environment. Compared with multi-factor comprehensive analysis, principal component analysis, and other methods, the indicators in the ecological niche suitability model do not need to be assigned weights. This reduces subjectivity without losing the scientific and rationality. Therefore, in this paper, the ecological niche suitability model is utilized to evaluate the development level of the innovation environment from the three aspects of the digital environment, economic environment, and technological environment. The digital environment is measured from the three aspects of the digital infrastructure, digital industry development, and digital technology application [58]. The main selected indicators are internet broadband access ports, mobile switch capacity, the number of internet broadband access subscribers, cell phone penetration rate, software business revenue, and total telecommunication business. The economic environment is measured by transport, residents’ income, economic situation, and cooperation and exchange. Road passenger traffic, per capita disposable income, gross regional product, and the total import and export of goods are selected as specific measurement indicators. The technological environment is measured in terms of the application of innovation results and the number of innovation results. The application of innovation results is measured using the sales revenue of new products of industrial enterprises above the scale, and the number of innovation results is measured using the number of new product development projects and the number of patents granted.
Specific indicators and their meanings are shown in Table 1.
Table 1.
Indicators and what they mean.
3.3. Data Sources
Before 2010, the development of the digital economy was slow, and the related statistical standards and methods were not perfect; after 2010, China’s digital economy rose rapidly. Therefore, in this paper, the panel data of 30 provinces in China from 2010 to 2022 are selected as the research samples to analyze the complex influence mechanism between the digital innovation ecosystem and the development of low-carbon economic transformation. Due to missing data, the basic data do not include Tibet, Hong Kong, Macao, and Taiwan data.
The data of antecedent conditions are mainly from the China Statistical Yearbook and the China Science and Technology Statistical Yearbook. The data sources of carbon productivity are mainly the statistical yearbooks at all levels and related statistics. Among them, data on energy consumption by energy species and sectors are obtained from China Energy Statistics Yearbook and statistical yearbooks at all levels. Data on industrial processes and product use are obtained from the China Industrial Statistics Yearbook and statistical yearbooks at all levels. Data on agriculture, forestry, and other land-use activities are obtained from China Agricultural Statistics Yearbook, China Animal Husbandry Yearbook, China Forestry and Grassland Statistics Yearbook and statistical yearbooks at all levels. Data on waste disposal are obtained from the China Environmental Statistics Yearbook and statistical yearbooks at all levels. Data on purchased electricity, heating, and cooling are obtained from the China Urban Statistics Yearbook, China Energy Statistics Yearbook, and statistical yearbooks at all levels. Emission factors are based on official data, including the ‘Guidelines for Provincial Greenhouse Gas Emission Inventories (Trial)’ and the carbon emission inventory guidelines issued by governments at all levels. If there are default data, they will be supplemented by the IPCC Emission Factor Database.
3.4. Data Calibration
Using the dynamic QCA method first requires the calibration of all the data by calibrating the raw case data to a pooled degree of affiliation between 0 and 1. In this paper, the article of scholar FISS (2011) is drawn on to calibrate the panel data of dynamic QCA using the direct calibration method [59]. Based on the distribution of the variables in the sample aggregate, the three qualitative anchors of full affiliation threshold, full non-affiliation threshold, and crossover point are positioned as 0.95, 0.5, and 0.05, respectively. The calibration anchors are then computed by R 4.1.1 software. In the software analysis, the data with the condition value of 0.5 will be automatically deleted, making the sample cases reduced. So, in this paper, the practice of scholars Zhang Ming et al. [60] is drawn on, replacing the conditional value of 0.5 with 0.501 to obtain the final calibration anchor point. The calibration results and descriptive statistics of the variables are shown in Table 2.
Table 2.
Calibration anchor point results and descriptive statistics.
4. Analysis of Empirical Results
4.1. Necessity Analysis of Individual Conditions
The necessity analysis of individual antecedent conditions is first conducted to identify whether an individual antecedent condition is necessary for the occurrence of the outcome variable but does not imply that the presence of that antecedent condition necessarily leads to the occurrence of the outcome. The validation of the results was measured by two indicators, POCONS and POCOVS, where POCONS indicates the extent to which the antecedent condition explains the outcome variable, and POCOVS indicates the number of cases that the antecedent condition can explain. The specific judgment criteria are that if the level of POCONS is less than 0.9 or the level of POCOVS is less than 0.5, the condition is considered not necessary for the occurrence of the result. If the level of POCONS is greater than 0.9 and the level of POCOVS is greater than 0.5, the next test is to be performed by plotting a scatterplot. Referring to the article of Tan Haibo et al. (2019) [61], if in the scatterplot, one of the following conditions is satisfied, it is considered that the necessity test has not been satisfied, and this antecedent condition is not a necessary condition that causes the result to occur. Condition 1: close to more than 1/3 of the case points are distributed above the diagonal. Condition 2: most of the case points are distributed near the right y-axis.
Unlike previous studies, in the panel data of this paper, the adjusted distance of the BECONS and WICONS levels is used to judge whether there are significant time and cause effects on the necessity of the antecedent variables. Referring to scholar Roberto’s article [54], when the adjusted distance is less than 0.2, the POCONS of the antecedent conditions and outcome variables are considered less internally fluctuating, and the measurement is more precise. When the adjusted distance for a given antecedent condition is more significant than 0.2, it indicates that the sample has a time effect and more significant variation between cases.
Using the R language, POCONS, POCOVS, BECONS, and WICONS and their adjusted distances were calculated. The results are shown in Table 3, where ‘Y’ denotes a high level of low-carbon economic development and ‘~Y’ denotes a non-high level of low-carbon economic development.
Table 3.
Calibration anchor point results and descriptive statistics.
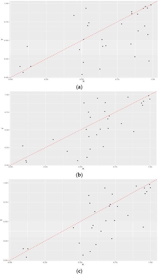
According to the results in Table 3, except for the case ~X7/~Y (non-high-level technological environment/non-high- and low-carbon economic development) where the consistency level is greater than 0.9, and the coverage is greater than 0.5, the level of consistency of the antecedent conditions and the coverage are lower than the standard, which indicates that it is not a necessary condition to constitute the outcome. Scatter plots of ~X7/~Y are plotted for further testing, and as can be seen in Figure 2, the non-high-level technological environment does not pass the necessity test. It is not a necessary condition for constituting the outcome variable.
Figure 2.
~X7/~Y scatter plot.
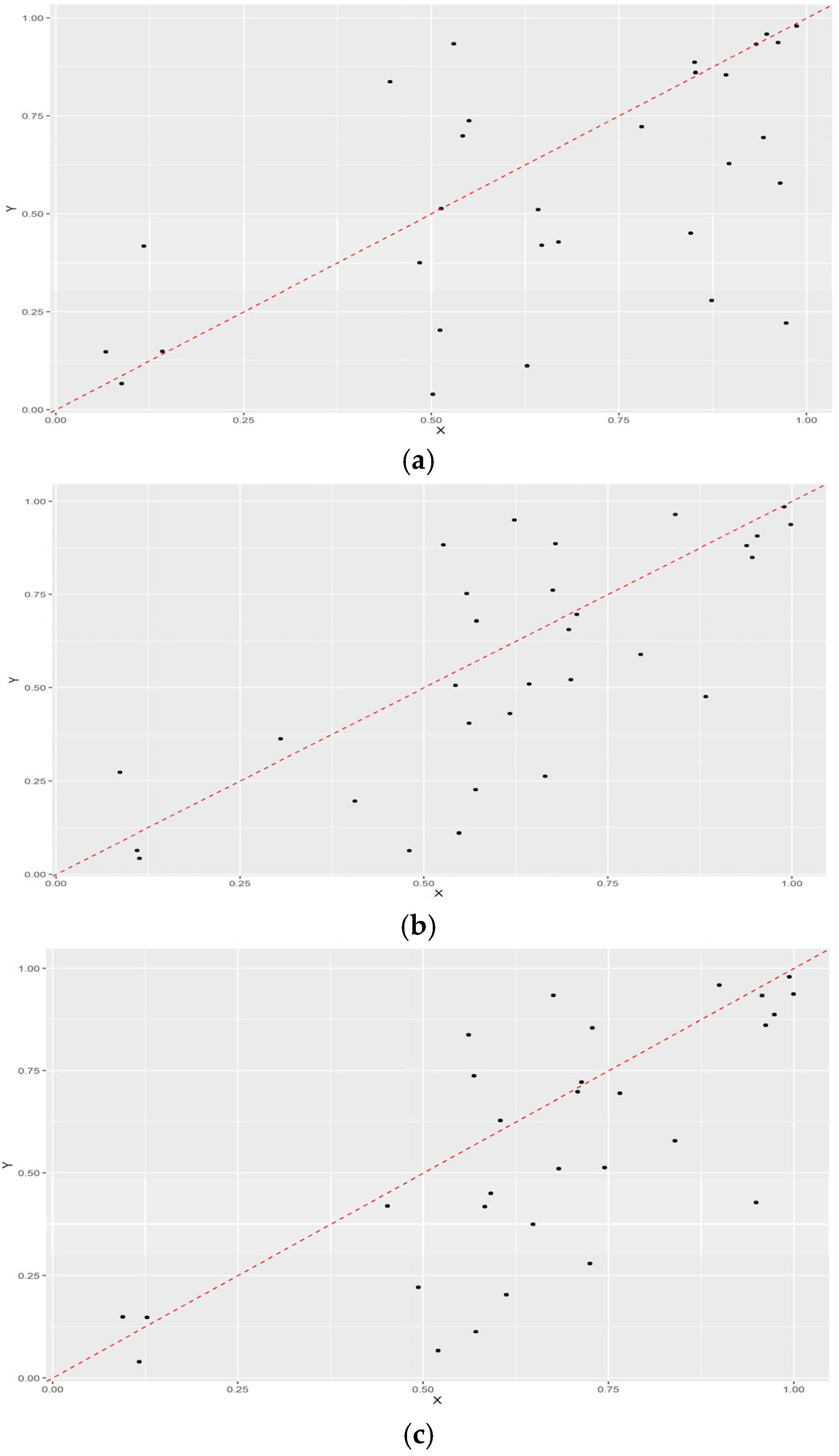
The BECONS-adjusted distance further analyzed the necessity of the antecedent variables for significant time and case effects. It was found that there were seven cases in which the BECONS adjusted distance of the antecedent conditions was greater than 0.2, namely X4/Y, X4/~Y, ~X4/Y, X6/Y, X6/~Y, ~X6/Y, and X7/~Y. The cases of causal combinations with the BECONS-adjusted distance of greater than 0.2 from 2010 to 2022 are listed and analyzed, as shown in Table 4. In this case, Case 2, Case 3, Case 5, Case 6, and Case 7 do not meet the criteria for BECONS and BECOVS, so there is no necessary relationship. The consistency and coverage of Case 1 in 2020 and Case 4 in 2019–2020 meet the criteria at the same time. But further examination by plotting the scatterplot reveals that most of the cases are distributed on the right side of the Y-axis, as shown in Figure 3, and therefore do not constitute a necessary condition for the results either. Therefore, none of the three dimensions of the digital innovation ecosystem, namely ‘subject-resource-environment’, constitutes a necessary condition for developing a high-level, low-carbon economy transition.
Table 4.
Causal combinations with BECONS-adjusted distances greater than 0.2.
Figure 3.
Necessity conditional test scatterplot configuration. (a) 2020 case 1 sample scatterplot. (b) 2019 case 4 sample scatterplot. (c) 2020 case 4 sample scatterplot.
4.2. Configuration Analyses for High-Level Low-Carbon Economy
Sufficiency analysis of conditional configuration is important in determining the effects of different combinations of antecedent conditions on the outcome variable. It is the core of the QCA method. In the analysis of the configuration state, several parameters need to be set first. One of them is to set the number of case frequencies. Referring to Zhang Ming’s method [60], the case frequency is set according to 1.5% of the sample size. In this paper, the total number of samples is 370, and the sample frequency threshold is set to 5. The observation samples in the truth table are 307, more than 75% of the total samples, and the case frequency setting is more reasonable.
Second, set the original consistency threshold. Referring to the lowest acceptable threshold proposed by FISS et al. [59], the original consistency threshold is set to 0.8. Third, the PRI threshold is set. In order to avoid the simultaneous subset relationship of a particular configuration in the result and the result negation, the PRI consistency threshold should not be lower than 0.5. Referring to the article of Lu Ruoyu et al. [62], the PRI threshold in this paper is set to 0.6. As the existing studies have not obtained consistent conclusions on the direction of the influence of each antecedent condition on the development of a carbon economy, and there is a strong imbalance in the development of the region, the direction of influence of antecedent conditions on outcomes should not be judged by uniform criteria. Therefore, in the counterfactual analysis part, we do not set the direction of the antecedent conditions by the principle of prudence. After processing with the help of R 4.1.1 software, the complex, intermediate, and parsimonious solutions are finally obtained. The intermediate solution is the primary reference basis, and the nesting relationship between the intermediate solution and the parsimonious solution is the secondary reference basis. If the antecedent condition appears in both the intermediate solution and the parsimonious solution, it is a core condition, reflecting that the antecedent condition is of high importance in producing the results. If the antecedent condition appears only in the intermediate solution, it is a marginal condition, implying that the antecedent condition is of low importance in producing the results. Table 5 reports the results of the configuration of provinces in achieving the low-carbon transition development of their economies.
Table 5.
Results of the low carbon economy transitional development cluster analysis.
4.2.1. Analysis of Aggregated Results
As shown in Table 5, there are four configuration paths that lead to high levels of low-carbon economic development. The POCONS is 0.933, and the POCOVS is 0.713, both of which are higher than the judgment standard.
The BECONS-adjusted distances and the WICONS-adjusted distances are both less than 0.2. It indicates that there are no more obvious time effects and regional differences, and the POCONS has a better explanatory power for the results. The conditional configuration obtained in this paper is a sufficient condition leading to a high-level low carbon economy. The four paths of configuration leading to developing a high-level, low-carbon economy can be categorized into two types. Among them, M1 and M2 can be named the ‘subject-resource-environment linkage-type’, and H1 and H2 can be named the ‘subject-environment driven type’.
Subject–resource–environment linkage type. The consistency levels of configuration M1 and configuration M2 are 0.98 and 0.961, respectively, explaining 60.4 percent and 56.9 percent of the cases. In this type of configuration, a high level of the digital environment is the core condition, and a high level of financial resources, a high level of the economic environment, and a high level of the technological environment are the peripheral conditions. The difference is that configuration M1 emphasizes the role of the enterprise as the main agent of technological innovation. In the absence of enterprises, configuration M2 requires cooperation innovation between universities and research institutes as the main body of knowledge innovation and digital innovation human resources to replace the role of enterprises in promoting the development of the low-carbon economy. Compared to configuration M2, configuration M1 has a higher level of consistency and coverage, a greater role in the low-carbon transition of the economy, and a stronger explanation. This indicates that compared with universities and research institutions, enterprises, as the promoters of low-carbon technological innovation, the optimizers of resource utilization, the leaders of economic development, and the practitioners of social responsibility, are the main force in facilitating the low-carbon transformation of the economy. The government should strengthen the guidance and support for enterprises, formulate relevant policies and incentives, and encourage enterprises to actively participate in low-carbon transition.
Subject–environment-driven. The consistency levels of configuration H1 and configuration H2 are 0.959 and 0.935, and the coverage is 0.401 and 0.354, respectively. The core condition of configurations H1 and H2 is a high-level digital environment, with high-level innovation subject as the common edge condition. It indicates that digital technology can stimulate innovation subjects’ cognitive interaction ability and their self-enhancement and adaptation ability, facilitate the benign interaction among innovation subjects, and thus promote regional innovation performance and sustainable development capability [63]. In resource-constrained cities with poor economic and technological conditions, the changing development of the digital environment can alleviate the problem of carbon emissions. This provides resource-based towns with the opportunity to break the “low-end lock-in” of industries, realize industrial upgrading, and further facilitate a low-carbon transition [26].
A comparison of the four configuration pathways reveals that a high level of digital environment is a core condition for achieving a high level of low-carbon economic development in all the configurations. This validates the view that the development of the digital economy has a facilitating effect on the low-carbon economy [48]. The development of the digital economy and the low-carbon transition of the economy go hand in hand, and it is necessary to boost the digitalization process of the city to give full play to the low-carbon transition effect of the digital economy. At the same time, it is also necessary to pay attention to the high-energy consumption of digital new infrastructure to circumvent the digital economy’s green paradox and reduce the energy rebound effect.
4.2.2. Between Outcome Analysis
BECONS explains whether the conditional configuration state in the cross-section year is a sufficient condition to lead to the outcome variable. This can solve the problem of insufficient analysis of time effects in traditional QCA. According to Table 5, the consistency levels of the four configurations leading to high-level low-carbon economic development are all greater than the consistency judgment criterion of 0.8, and the BECONS-adjusted distances are all less than 0.2. This indicates that there is no time effect in the paths of the configurations leading to high-level low-carbon economic development. In order to analyze the trend of the consistency of each conditional configuration with high-level low-carbon economic development over time, the trend of BECONS change is plotted, as shown in Figure 4.
Figure 4.
Changes in BECONS levels.
Finding: Overall, the level of consistency of the four configurations shows an overall fluctuating upward trend from 2010 to 2022. The gap was larger from 2010 to 2012 and has gradually narrowed since then. Possible reasons for this are that, on the one hand, the state has continued to implement strategies for coordinated regional development, such as the strategy for the development of the western region, the strategy for the revitalization of the old industrial bases in the north-east, and the strategy for the rise of central China. As well as the continuous improvement of the fiscal transfer system, it has increased its financial support for the less-developed provinces in terms of infrastructure construction and other aspects. It has led to the economic development of less-developed regions and narrowed the regional differences. On the other hand, through the development of the digital economy, the knowledge spillover effect and technology spillover effect have been expanded, and geographical restrictions have been broken. It has prompted the traditional industries in the backward regions to realize upgrading and transformation and has given rise to new industrial forms. It has also narrowed the gap with developed regions, thus leading to increased substitutability of each grouping path.
Most of the configurations show a downward trend in 2012, 2015, and 2019, and growth slowed down significantly after 2019. This may be because the European sovereign debt crisis continued to fester in 2012. High unemployment and fiscal austerity measures in developed countries led to economic difficulties and weak aggregate demand. At the same time, developing countries, especially emerging economies, experienced a sharp drop in exports, making it difficult to sustain strong economic growth. In 2015, significant turmoil was seen in the international financial markets, coupled with uncertainty caused by interest rate hikes in the United States, and intensified abnormal international capital flows in emerging economies. This led to a weak and sluggish recovery of the world economy as a whole and a slowdown in growth. Overall, 2012 and 2015 were periods of economic decline for the country. The innovation environment was severely impacted. The attention of the state and businesses focused more on increasing economic output and less on the green and low-carbon economy. However, in 2010–2013, under the economic downturn and the low level of talent, funding, and technological environment, the main body of innovation played a role in facilitating the development of low-carbon economic transformation by increasing technology research and development, accelerating the cultivation of green and low-carbon talents as well as focusing on the construction of the digital environment. So, the consistency of configuration H2 in 2010–2013 continues to rise, which is in line with the actual situation. The growth rate of the consistency of each configuration slows down or even decreases after 2019. On the one hand, it may be affected by the trade friction between China and the United States. On the other hand, it is affected by the COVID-19 pandemic (Corona Virus Disease 2019). The main task of the state as well as enterprises was to overcome the difficulties and prevent and control the epidemic, and the influence of other parties on the green low-carbon economy was reduced.
4.2.3. Within Outcome Analysis
The level of WICONS is used to analyze the differences between provinces in terms of the impact of each configuration on the outcome variable. As shown in Table 5, the WICONS-adjusted distances for each configuration pathway leading to a high-level low-carbon economy are less than 0.2, indicating that the explanatory strength of each configuration does not differ significantly between provinces.
In order to analyze the regional heterogeneity of the four configurations further, a table of regional coverage averages is provided, as shown in Table 6. It is found that the coverage of the two paths of “subjects-resource-environment linkage” is very high. This indicates that the “subject-resource-environment linkage” is widely applicable in most provinces and is a key configuration path leading to high-level low-carbon economic development. Among them, the subjects–resource–environment linkage has the highest coverage and the strongest explanation in the eastern region. This is because the eastern provinces are economically developed, have sufficient funds for innovation, have a diversified industrial structure, and have developed earlier low-emission emerging industries such as digital, smart manufacturing, and e-commerce. The strong strength of innovation subjects, the superior technological innovation environment, and a number of high-level scientific research institutions and enterprises provide technical support and innovation impetus for the development of the low-carbon economy. The low coverage of the ‘subject-environment driven’ configuration suggests that this development path may only suit some regions.
Table 6.
Regional coverage averages.
From the perspective of typical cases, ‘subjects-resource-environment linkage’ is mainly distributed in the eastern region, mainly in Beijing, Shandong, Jiangsu, Zhejiang, and Guangdong. Specifically, Path M1 is based in Guangdong Province, and Path M2 is based in Beijing. Guangdong Province has several high-level enterprises with solid strength in low-carbon technology R&D and application. Guangdong Province has a number of high-level enterprises with strong strength in the R&D and application of low-carbon technologies. Guangdong Province ranks first in the country in terms of the total number of enterprises, the total number of foreign-funded enterprises, and the total number of private economic entities. It has a strong capacity for innovation, and the “four new” (new technologies, new industries, new business forms, and new modes) enterprises are growing rapidly. A series of significant achievements have been made in the fields of new energy vehicles, intelligent manufacturing, energy conservation, and environmental protection, which play a crucial role in facilitating the low-carbon economy of Guangdong Province. On the other hand, Beijing is the center of science, technology, and culture in China, with many renowned universities, research institutions, and rich digital talent resources. Universities and research institutes create green and low-carbon knowledge, cultivate a large number of digital technology professionals, and attract excellent digital talents from home and abroad. These knowledge creators and digital talents play an essential role in facilitating Beijing’s low-carbon development, and they provide strong support for Beijing’s low-carbon transition through innovative technologies and applications.
There are fewer typical cases of the ‘subject-environment driven’, mainly in the resource-oriented cities in the central and western regions. Take Henan Province from 2010 to 2012, for example. Henan is a sizeable industrial province, where the secondary industry accounts for a large proportion of the economy, with a heavy chemical industry as the mainstay and high-energy consumption, high pollution, and high emissions as the characteristics of the industry. This industrial structure led to high-energy consumption and high-carbon emission levels. At that time, Henan’s capital investment in the field of low carbon economy was relatively insufficient. The government’s financial support was limited, putting greater pressure on developing a low-carbon economy. However, during this period, Henan’s number of enterprise legal units increased rapidly. Industrial clusters of a specific scale were formed in some areas, such as the automobile industry cluster in Zhengzhou and the equipment manufacturing industry cluster in Luoyang, which promoted resource sharing, technology exchange, and collaborative innovation among enterprises. They provided a favorable industrial environment for the development of the low-carbon economy. On the other hand, industry–university–research cooperation between universities and enterprises has gradually strengthened to jointly carry out scientific research projects and technological innovations, transforming the scientific research achievements of universities into actual productivity and providing technical support for the low-carbon development of enterprises. At the same time, the government attaches great importance to developing the digital economy. The digital economy has gradually developed, and the information infrastructure has continuously improved, providing digital technical support for developing the low-carbon economy.
4.2.4. Analysis of Non-High Level Low-Carbon Economic Conditions Configuration
Three paths of configuration conditions lead to non-high-level low-carbon economic development, with a POCONS level of 0.886 and a POCOVS of 0.711, all of which satisfy the judgment criteria. Paths D1 and D3 WICONS-adjusted distance appeared to be greater than 0.2. However, it did not deviate too much, indicating significant regional differences in the configuration paths leading to low-level low-carbon economic development [64]. The possible reason is that in this paper, 30 provincial regions were selected in China as the research object. These regions have obvious differences in terms of policy system, financial level, and cultural environment. In the process of promoting the development of low-carbon economy, all provinces are affected by different degrees of policy, finance and environment, which leads to a large WICONS-adjusted distance.
The configuration paths leading to non-high-level low-carbon economic development are divided into two categories, named ‘subject-resource-environmental constraints’ and ‘environmental constraints’, respectively. The ‘subject-resource-environmental restriction type’ mainly includes paths D1 and D2. The consistency of the two paths is greater than 0.8, covering 60.8 percent and 65.6 percent of the cases, respectively. In this model, there are deficiencies in the participation of innovation subjects, the abundance of innovation resources, and the construction of an innovation ecological environment, and there is still much room for efforts to realize a high level of regional innovation capacity. The ‘environment-constrained’ model includes path D2, which has a consistency level of 0.917 but has a lower coverage, explaining only 39.2% of the sample cases. In the case of the core missing conditions of technological innovation subjects, financial resources, and overall innovation environment, knowledge innovation subjects and human resources do not significantly contribute to the development of the low carbon economy, even though they exist independently as core conditions. Overall, the main body of non-high technological innovation, the digital environment, and the economic environment are the main reasons for developing a non-high low-carbon economy.
4.3. Robustness Tests
In order to make the conclusions drawn in the article more scientific and accurate, the robustness test of the configuration path leading to high-level low-carbon economic development is based on set theory. The current robustness test of dynamic QCA mainly uses the following three methods of changing the PRI threshold, the original consistency threshold, and the number of case frequencies. In this paper, the original consistency is adjusted to 0.85 for the first test, the PRI threshold is increased to 0.65 for the second test, and the number of case frequencies is finally changed to 6. The results show that the conclusions obtained from the robustness test are the same as those obtained from the benchmark regression. According to the robustness test criterion proposed by Fiss [58], if there is essential consistency or a clear subset relationship between the constructed solutions, the constructed solutions are considered robust.
5. Discussion
The high-quality transformation and development of the low-carbon economy is the central task of deepening the transformation of old and new kinetic energy and the inevitable requirement of building a modernized economic system [20]. Low-carbon governance is a long-term, complex, and arduous process that facilitates economic and social systemic change. The process of the low-carbon transformation of the economy faces many problems, such as technological barriers, financial barriers, imbalance between supply and demand in the energy structure [65], policy pressures, and conflict of public values [66], which creates the dilemma of a ‘high-carbon burden and low-end lock-in’ [67]. Therefore, relying on a single necessary condition cannot lead to a high-level low-carbon transformation of the economy. Through this study, it is found that to achieve a high level of development of a low-carbon economy, it is necessary to play the synergistic linkage of ‘innovation subjects-innovation resources-innovation environment’, which is basically in line with the research of other scholars [21,33,43].
We also find that in the new economic era, digital technologies are considered to help accelerate the low-carbon transformation of cities due to their ‘green attributes’ [48,68], and have become the core condition for the low-carbon transformation of the economy. In resource-poor cities, the role of digital technology is even more significant [26]. It is necessary to pay attention to the important driving role of digital technology in low-carbon transformation. In addition, the results of regional heterogeneity analysis show that among the paths leading to the high-level development of a low-carbon economy, ‘subjects-resource-environment linkage’ has the highest explanatory strength in the eastern region. The ‘subject-environment-led’ path is more applicable in the central and western regions, especially in resource cities. Scholar Sun Xiumei has also verified under the TOE framework that a good interaction between the organizational and environmental levels can promote the development of low-carbon transformation in resource-based cities [33].
Limitations and Future Research Directions
Firstly, the development of the low-carbon economy is a dynamic and complex process, and there are many factors affecting the low-carbon transition of the economy. In this paper, although the influence of important factors such as knowledge innovation subjects, technology innovation subjects, talents, funding, and digital, economic, and technological environments have been considered in the research process, there is a possibility of omitting other important factors, such as the influence of government policies. In future research, it is necessary to comprehensively consider various factors and analyze the influencing factors and paths of low-carbon economic transformation from more levels as much as possible.
Secondly, the dynamic QCA method focuses on the wholeness of the analysis and can comprehensively consider the influence of multiple antecedent conditions on the outcome variables, which is more inclined to qualitative analysis. However, from a quantitative point of view, it is not yet possible to achieve the precise measurement and analysis of the degree of influence of each antecedent condition on the outcome variable. In future research, we can try to combine the NCA method to explore the specific degree of influence of antecedent conditions on the outcome variables.
6. Conclusions and Implications
6.1. Research Conclusion
In this paper, uses the dynamic QCA method is used to study the multiple paths of the elements of the digital innovation ecosystem subsystem to enhance the development of China’s low-carbon economy from a configuration perspective. By analyzing the panel data from 2010 to 2022, it is found that (1) in the necessary conditions analysis, there is no single necessary condition leading to high-level low-carbon economic development; (2) The results of the conditional sufficiency analysis show that four configuration paths lead to the development of a high-level low carbon economy, categorized as ‘subjects-resource-environment linkage’ and ‘subjects-environment driven’. Further analysis reveals that, on the one hand, compared with universities and research institutes, enterprises are an essential force in promoting the development of a low-carbon economy. On the other hand, in resource-constrained cities, the synergistic development of innovation subjects facilitated by digital technology is more important to promote the development of low-carbon economic transformation. And lastly, a high-level digital environment is the core condition for the realization of high-level low-carbon economic development. (3) The results of the BECONS analysis show that the four configuration paths leading to high-level low-carbon economic development, the overall fluctuating upward trend and the gap is gradually narrowing, and the substitutability between the configurations is increasing; in the period of economic decline, such as 2012, 2015, and 2019, the consistency of some of the configurations shows a downward trend. (4) The analysis of WICONS reveals that ‘subjects-resource-environment linkage’ is the key configuration path leading to developing a high-level low-carbon economy. The strongest explanation is found in the eastern region. The ‘subject-environment dominant’ is only applicable in some regions. (5) The analysis of non-high- and low-carbon economies in the conditional configuration found that there are three configuration paths leading to the development of a non-high-level low-carbon economy, which is categorized into the ‘main body-resource-environmental restriction’ and ‘environmental restriction’ modes.
6.2. Practical Implications
By analyzing the multiple configuration path of China’s economic low-carbon transition, the following insights are brought to the government governance as well as the development of a low-carbon economy:
Firstly, enterprises have stronger economic strength, market orientation, innovation power, and industry facilitation in the development of the low-carbon economy. They can better integrate resources, meet market demand, and achieve economies of scale. It is the main force of low-carbon economic development, so it is important to pay attention to the important role of enterprises in the low-carbon transformation of the economy.
Secondly, it is necessary to create a good innovation environment through digital technology to promote collaborative innovation of innovation subjects, optimize resource allocation to enhance resource utilization efficiency, and strengthen environmental monitoring and management. It will bring into play the linkage and matching effects of innovation subjects, resources, and the environment, and provide strong support for the realization of sustainable economic and social development.
Third, focus on strengthening the construction of digital infrastructure technology innovation platforms. The platforms integrate the upstream and downstream enterprises of the industrial chain, to achieve information sharing and resource sharing, to reduce the waste and energy consumption of intermediate links, and to promote the optimal allocation of resources for the development of the low-carbon economy.
Fourth, choose the low-carbon transformation path according to local conditions. The eastern region, with a more developed economy and a strong industrial base, should facilitate the upgrading of traditional manufacturing to high-end manufacturing. Cultivate new forms and modes of the digital economy, and develop intelligent manufacturing, green manufacturing, and other areas. The central and western regions, with a relative lack of resources and a poor innovation environment, should attach great importance to the role of the digital environment and innovation bodies in the development of a low-carbon economy.
Author Contributions
Conceptualization and methodology, K.Z.; data, software and writing—original draft preparation, Y.W. (Yifeng Wen); investigation, reviewing and editing, Y.W. (Yunxia Wen). All authors have read and agreed to the published version of the manuscript.
Funding
This work was supported by the Humanities and Social Science Research Youth Fund of the Ministry of Education [funding number: 22YJC790142] and the Shanxi Provincial Science and Technology Strategy Research Project [funding number: 202204031401101].
Institutional Review Board Statement
Not applicable.
Informed Consent Statement
Not applicable.
Data Availability Statement
Partial data are openly available in a public repository. The data that support the findings of this study are openly available in https://www.stats.gov.cn/. Partial data that support the findings of this study are available from the authors upon reasonable request.
Acknowledgments
The authors would like to thank the editor and the anonymous reviewers for their helpful comments and suggestions.
Conflicts of Interest
The authors declare no conflicts of interest.
References
- Geng, T.; Jia, F.; Cai, W.; Wu, L.; Gan, B.; Jing, Z.; Li, S.; McPhaden, M.J. Increased occurrences of consecutive La Niña events under global warming. Nature 2023, 619, 774–778. [Google Scholar] [CrossRef] [PubMed]
- Chen, Y.; Zhang, R.; Lyu, J.Y.; Ma, X. The butterfly effect of cloud computing on the low-carbon economy. Technol. Forecast. Soc. Change 2024, 204, 123433. [Google Scholar] [CrossRef]
- Zhao, X.; Ma, X.; Chen, B.; Shang, Y.; Song, M. Challenges toward carbon neutrality in China: Strategies and countermeasures. Resour. Conserv. Recycl. 2022, 176, 105959. [Google Scholar] [CrossRef]
- Sun, X.; Dong, Y.; Wang, Y.; Ren, J. Sources of greenhouse gas emission reductions in OECD countries: Composition or technique effects. Ecol. Econ. 2022, 193, 107288. [Google Scholar] [CrossRef]
- Xu, G.; Dong, H.; Xu, Z.; Bhattarai, N. China can reach carbon neutrality before 2050 by improving economic development quality. Energy 2022, 243, 123087. [Google Scholar] [CrossRef]
- Cao, W.; Zhao, W.; Si, Y.J. Impact of Digital Economy on Low-Carbon Development: Moderating Effect and Threshold Effect of Green Technology Innovation. Soft Sci. 2023, 37, 47–54. [Google Scholar]
- Cao, B.; Meng, F.L.; Li, B.J. Spatial effects of innovation ecosystem development on low-carbon transition. Ecol. Indic. 2023, 157, 111277. [Google Scholar] [CrossRef]
- Zhang, C.; Chen, K.H.; Mu, R.P. The digital innovation ecosystems: Theory building and a research agenda. Sci. Res. Manag. 2021, 42, 1–11. [Google Scholar]
- Wang, L.H.; Wang, H.; Dong, Z.Q. Policy conditions for compatibility between economic growth and environmental quality: A test of policy bias effects from the perspective of the direction of environmental technological progress. J. Manag. World 2020, 36, 39–60. [Google Scholar]
- Nejat, P.; Jomehzadeh, F.; Taheri, M.M.; Gohari, M.; Majid, M.Z.A. A Global Review of Energy Consumption, CO2 Emissions and Policy in the Residential Sector (with an overview of the top ten CO2 emitting countries). Renew. Sustain. Energy Rev. 2015, 43, 843–862. [Google Scholar] [CrossRef]
- Huang, X.; Tian, P. How does heterogeneous environmental regulation affect net carbon emissions: Spatial and threshold analysis for China. J. Environ. Manag. 2023, 330, 117161. [Google Scholar] [CrossRef]
- Jing, G.W.; Tao, Y. Environmental information disclosure and low carbon development of regional economy—Research based on DID and SDID. J. Ind. Technol. Econ. 2022, 41, 116–125. [Google Scholar]
- Acheampong, A.O. Economic growth, CO2 emissions and energy consumption: What causes what and where? Energy Econ. 2018, 74, 677–692. [Google Scholar] [CrossRef]
- Haseeb, M.; Wattanapongphasuk, S.; Jermsittiparsert, K. Financial development, market freedom, political stability, economic growth and CO2 emissions: An unexplored nexus in ASEAN countries. Contemp. Econ. 2019, 13, 363–374. [Google Scholar]
- Zhao, J.; Jinag, Q.; Dong, X.; Dong, K.; Jiang, H. How does industrial structure adjustment reduce CO2 emissions? Spatial and mediation effects analysis for China. Energy Econ. 2022, 105, 105704. [Google Scholar] [CrossRef]
- Shapiro, J. The environmental bias of trade policy. Q. J. Econ. 2021, 136, 831–886. [Google Scholar] [CrossRef]
- Zhou, B.; Li, Y. Impact of coupling coordination of green finance and technological innovation on low-carbon economic development. Res. Econ. Manag. 2024, 45, 3–22. [Google Scholar]
- Li, K.; Lin, B. Impacts of urbanization and industrialization on energy consumption/CO2 emissions: Does the level of development matter? Renew. Sustain. Energy Rev. 2015, 52, 1107–1122. [Google Scholar] [CrossRef]
- Cheng, Z.; Li, L.; Liu, J. Industrial structure, technical progress and carbon intensity in China’s provinces. Renew. Sustain. Energy Rev. 2018, 81, 2935–2946. [Google Scholar] [CrossRef]
- Li, B.J.; Cao, B.; Zhou, F. Configurational analysis of low-carbon transformation from the perspective of innovative ecosystem symbiosis. Sci. Technol. Prog. Policy 2024, 41, 1–11. [Google Scholar]
- Guo, J.H.; Guo, S.F.; Xu, T.D. Research on configuration path of multi-agent interaction influencing green innovation in innovation ecosystem. Sci. Sci. Manag. S T 2024, 45, 100–114. [Google Scholar]
- Xin, X.; Miao, X.; Cui, R. Enhancing sustainable development: Innovation ecosystem coopetition, environmental resource orchestration, and disruptive green innovation. Bus. Strategy Environ. 2023, 32, 1388–1402. [Google Scholar] [CrossRef]
- Mao, W.X.; Sun, H.F.; Wang, W.P.; Luo, D. Factor reallocation path for low-carbon transformation: A perspective of manufacturing industry ecosystem. Energy Econ. 2024, 134, 107620. [Google Scholar] [CrossRef]
- Stokke, R.; Kristoffersen, F.S.; Stamland, M.; Holmen, E.; Hamdan, H.; De Boer, L. The role of green public procurement in enabling low-carbon cement with CCS: An innovation ecosystem perspective. J. Clean. Prod. 2022, 363, 132451. [Google Scholar] [CrossRef]
- Shi, T.F.; Han, F.X.; Chen, L.; Shi, J.; Xiao, H. Study on value co-creation and evolution game of low-carbon technological innovation ecosystem. J. Clean. Prod. 2023, 414, 137720. [Google Scholar] [CrossRef]
- Luo, H.; Liu, Z.J.; Tian, Y. Digital economy and low-carbon transformation of resource-based cities: Mechanisms and empirical evidence. China Popul. Resour. Environ. 2024, 34, 56–64. [Google Scholar]
- Li, Z.; Wang, J. The Dynamic impact of digital economy on carbon emission reduction: Evidence city-level empirical data in China. J. Clean. Prod. 2022, 351, 131570. [Google Scholar] [CrossRef]
- Zhang, L.; Mu, R.; Zhan, Y.; Yu, J.; Liu, L.; Yu, Y.; Zhang, J. Digital economy, energy efficiency, and carbon emissions: Evidence from provincial panel data in China. Sci. Total Environ. 2022, 852, 158403. [Google Scholar] [CrossRef]
- Okushima, S.; Tamura, M. What Causes the change in energy demand in the economy? Energy Econ. 2010, 32, S41–S46. [Google Scholar] [CrossRef]
- Han, D.; Ding, Y.; Shi, Z.; He, Y. The impact of digital economy on total factor carbon productivity: The threshold effect of technology accumulation. Environ. Sci. Pollut. Res. 2022, 29, 55691–55706. [Google Scholar] [CrossRef]
- Yi, M.; Liu, Y.; Sheng, M.S.; Wen, L. Effects of digital economy on carbon emission reduction: New evidence from China. Energy Policy 2022, 171, 113271. [Google Scholar] [CrossRef]
- Pan, W.; Tu, H.; Hu, C.; Pan, W. Driving forces of China’s multisector CO2 emissions: A log-mean divisia index decomposition. Environ. Sci. Pollut. Res. 2020, 27, 23550–23564. [Google Scholar] [CrossRef] [PubMed]
- Sun, X.M.; Yan, S. The driving path for low-carbon transformation of resource-dependent cities under the TOE framework: An fsQCA research based on 108 resource-dependent cities in China. Sci. Technol. Prog. Policy 2023, 40, 72–81. [Google Scholar]
- Ma, H.Y.; Zhang, T. Leading Carbon peak countries’ adoption and application patterns of low-carbon technology innovation and their implications for China: An analysis based on the “Technology-Organization-Environment” framework. Mod. Econ. Res. 2023, 15–22. [Google Scholar]
- Wu, J.M.; Yu, J.Z. WSR thinking on China’s green finance in the context of carbon neutrality. Commun. Financ. Account. 2023, 137–144. [Google Scholar]
- Chae, B. A General framework for studying the evolution of the digital innovation ecosystem: The case of big data. Int. J. Inf. Manag. 2019, 45, 83–94. [Google Scholar] [CrossRef]
- Li, X.D.; Rao, M.X. Research on the development path of the regional digital innovation ecosystem: Configuration analysis based on fsQCA. J. Ind. Eng. Eng. Manag. 2023, 37, 20–31. [Google Scholar]
- Su, Y.; Jiang, X.S.; Lei, J.S. Research on collaborative evolution of regional innovation system. China Soft Sci. 2016, 3, 44–61. [Google Scholar]
- Ning, L.J.; Liu, J.T.; Xiao, Y.X. Research on symbiosis model of digital innovation ecosystem. Stud. Sci. Sci. 2022, 40, 1481–1494. [Google Scholar]
- Wu, J.; Peng, X.F.; Sheng, Y.X. Model and empirical analysis on three-agents symbiotic relationship in patent innovation ecosystem. Soft Sci. 2019, 33, 27–33. [Google Scholar]
- Yu, D.Y.; Jin, X.R. Innovation efficiency evaluation of the innovation subjects and their regional difference. Sci. Res. Manag. 2014, 35, 51–57. [Google Scholar]
- Tiwari, S.; Ahmed, W.; Sarkar, B. Multi-item sustainable green production system under trade-credit and partial backordering. J. Clean. Prod. 2018, 204, 82–95. [Google Scholar] [CrossRef]
- Luo, G.L.; Wang, X.T. Research on the driving mechanism of innovation ability of low-carbon cities: Based on the fuzzy sets qualitative comparative analysis method. Sci. Sci. Manag. S T 2024, 45, 92–104. [Google Scholar]
- Han, X.X.; Song, W.F.; Li, B.X. Can the internet become a new momentum to improve the efficiency of regional innovation in China. China Ind. Econ. 2019, 7, 119–136. [Google Scholar]
- Xu, J.; Hou, Q.; Niu, C.; Wang, Y.; Xie, Y. Process optimization of the university-industry-research collaborative innovation from the perspective of knowledge management. Cogn. Syst. Res. 2018, 52, 995–1003. [Google Scholar] [CrossRef]
- Liu, S.M.; Zhang, S.J.; Zhu, H.D. Study on the measurement and high-qualitity economy development effect of national innovation driving force. J. Quant. Technol. Econ. 2019, 36, 3–23. [Google Scholar]
- Wu, K.; Geng, Y.R.; Guo, T. The impact of green technology innovation on carbon emissions from the perspective of urban agglomeration: The moderating effect of human capitals. J. Nat. Resour. 2024, 39, 2121–2139. [Google Scholar] [CrossRef]
- Xu, J.W.; Liu, Z.H.; Wu, F.S. Whether digital economy empower low carbon economy transformation: Based on intermediary effect, threshold effect, and spatial spillover effect. Environ. Sci. 2024, 1–22. [Google Scholar] [CrossRef]
- Zhao, Y.H.; Zhang, Z.; Feng, T.W. Big data development, institutional environment and government governance efficiency. J. Manag. World 2019, 35, 119–132. [Google Scholar]
- Xu, A.T.; Qiu, K.Y.; Jin, C.Y. Regional innovation ability and its inequality: Measurements and dynamic decomposition. Technol. Forecast. Soc. Change 2022, 180, 121713. [Google Scholar] [CrossRef]
- Zhang, J.; He, B.; Peng, D.M. The construction monitor and evaluation of regional innovation capability index system—Based on the research and evaluation of 21 areas in Sichuan province. Soft Sci. 2021, 35, 44–51. [Google Scholar]
- Meng, K.; Wei, B. Rethinking the “time blindness” of the qualitative comparative analysis: Bringing back “time” for public management research. Chin. Public Adm. 2023, 39, 96–104. [Google Scholar]
- Furnari, S.D.; Crilly, V.F.; Misangyi, T. Capturing causal complexity: Heuristics for configurational theorizing. Acad. Manag. Rev. 2021, 46, 778–799. [Google Scholar] [CrossRef]
- Roberto, C.G.; Miguel, A. A general approach to panel data set-theoretic research. J. Adv. Manag. Sci. Inf. Syst. 2016, 2, 263–276. [Google Scholar]
- Jia, J.F.; Liu, W.P.; Du, Y.Z. Multiple paths for improving green technology innovation efficiency from the perspective of institutional configuration. Nankai Bus. Rev. 2024, 27, 51–61. [Google Scholar]
- Yang, Q.Y.; Liu, X.X.; Li, Z.J. The carbon-reduction effect of ecological fiscal transfers: Evidence from transfer payments for national key ecological function zones. J. Financ. Econ. 2024, 50, 34–48. [Google Scholar]
- Sun, X.; Rui, X.Y. A study on the impact of urban digital inclusive finance development on carbon emission intensity. East China Econ. Manag. 2024, 38, 66–76. [Google Scholar]
- Wang, J.J.; She, G.J. Measurement and regional comparison of digital economy development level in China. China Bus. Mark. 2021, 35, 3–17. [Google Scholar]
- Fiss, P.C. Building better causal theories: A fuzzy set approach to typologies in organization research. Acad. Manag. J. 2011, 54, 393–420. [Google Scholar] [CrossRef]
- Zhang, M.; Du, Y.Z. Qualitative comparative analysis (QCA) in management and organization research: Position, tactics, and directions. Chin. J. Manag. 2019, 16, 1312–1323. [Google Scholar]
- Tan, H.B.; Fan, Z.T.; Du, Y.Z. Technology management capacity, attention allocation and local government website construction: A configuration analysis based on toe framework. J. Manag. World 2019, 35, 81–94. [Google Scholar]
- Lu, R.Y.; Zhang, L.K.; Chen, X.L. The configuration and path of factors affecting the development of science-based industries: A QCA analysis based on the pharmaceutical manufacturing industry in 31 provinces of mainland China. Sci. Technol. Prog. Policy 2022, 39, 20–28. [Google Scholar]
- Liu, J.D.; Xu, Q.; Wu, H.M. Dynamic adaptation and innovation performance of enterprises’ dual capabilities in the network environment. J. Ind. Eng. Eng. Manag. 2023, 37, 16–25. [Google Scholar]
- Zeng, F.J.; Chen, Y.Z. What kind of digital governance ecology can improve the development level of digital government?—Dynamic QCA analysis based on ecological perspective. E-Government 2024, 27–41. [Google Scholar] [CrossRef]
- Ma, Y.Q.; Luo, L.W. Energy-saving effect of green finance reform and innovation. Res. Econ. Manag. 2024, 45, 22–38. [Google Scholar]
- Guan, B.; Zheng, Y.T.; Gao, P.G. Economic downturn pressure, public value conflict and local governments’ low-carbon governance. China Public Adm. Rev. 2024, 6, 123–148. [Google Scholar]
- Huang, X.W.; Zhao, X. Carbon transfer embodied in international trade, transition risk and macro-financial stability. J. Zhongnan Univ. Econ. Law 2024, 84–96. [Google Scholar]
- Wei, W.D.; Sun, Y.; Liu, B.; Wang, H.; Geng, Y. A pathway for digital economy to enable the development of low-carbon transition under “Technology-Organization-Environment” framework. Bull. Chin. Acad. Sci. 2024, 39, 1047. [Google Scholar]
Disclaimer/Publisher’s Note: The statements, opinions and data contained in all publications are solely those of the individual author(s) and contributor(s) and not of MDPI and/or the editor(s). MDPI and/or the editor(s) disclaim responsibility for any injury to people or property resulting from any ideas, methods, instructions or products referred to in the content. |
© 2024 by the authors. Licensee MDPI, Basel, Switzerland. This article is an open access article distributed under the terms and conditions of the Creative Commons Attribution (CC BY) license (https://creativecommons.org/licenses/by/4.0/).



