Diameter Increment Estimations of Open-Grown Stone Pine (Pinus pinea L.) Trees in Urban Parks in Istanbul, Türkiye
Abstract
1. Introduction
2. Materials and Methods
2.1. Study Area
2.2. Data
2.3. Data Analysis
2.4. Model Evaluation
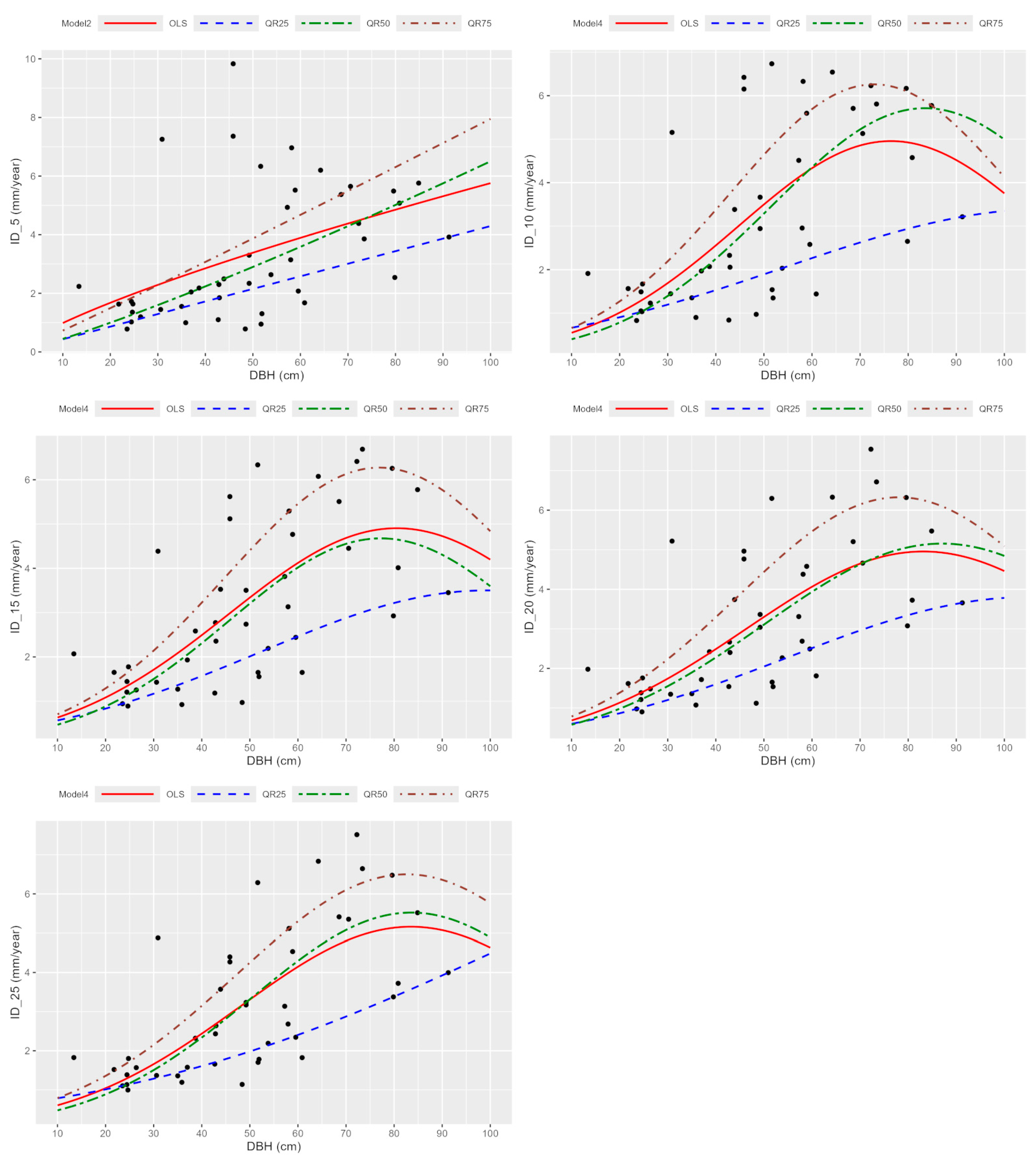
3. Results
4. Discussion
5. Conclusions
Author Contributions
Funding
Institutional Review Board Statement
Informed Consent Statement
Data Availability Statement
Acknowledgments
Conflicts of Interest
References
- Vaz Monteiro, M.; Levanič, T.; Doick, K.J. Growth rates of common urban trees in five cities in Great Britain: A dendrochronological evaluation with an emphasis on the impact of climate. Urban For. Urban Green. 2017, 22, 11–23. [Google Scholar] [CrossRef]
- Rötzer, T.; Rahman, M.A.; Moser-Reischl, A.; Pauleit, S.; Pretzsch, H. Process based simulation of tree growth and ecosystem services of urban trees under present and future climate conditions. Sci. Total Environ. 2019, 676, 651–664. [Google Scholar] [CrossRef] [PubMed]
- Franceschi, E.; Moser-Reischl, A.; Honold, M.; Rahman, M.A.; Pretzsch, H.; Pauleit, S.; Rötzer, T. Urban environment, drought events and climate change strongly affect the growth of common urban tree species in a temperate city. Urban For. Urban Green. 2023, 88, 128083. [Google Scholar] [CrossRef]
- Pretzsch, H.; Biber, P.; Uhl, E.; Dahlhausen, J.; Rötzer, T.; Caldentey, J.; Koike, T.; Con, T.; Chavanne, A.; Seifert, T.; et al. Crown size and growing space requirement of common tree species in urban centres, parks, and forests. Urban For. Urban Green. 2015, 14, 466–479. [Google Scholar] [CrossRef]
- Nowak, D.J.; Crane, D.E.; Stevens, J.C.; Hoehn, R.E.; Walton, J.T.; Bond, J. A groundbased method of assessing urban forest structure and ecosystem services. Arboric Urban For. 2008, 34, 347–358. [Google Scholar] [CrossRef]
- Tanhuanpää, T.; Kankare, V.; Setälä, H.; Yli-Pelkonen, V.; Vastaranta, M.; Niemi, M.T.; Raisio, J.; Holopainen, M. Assessing above-ground biomass of open-grown urban trees: A comparison between existing models and a volume-based approach. Urban For. Urban Green. 2017, 21, 239–246. [Google Scholar] [CrossRef]
- Vaz Monteiro, M.; Doick, K.J.; Lawrence, V.; Wilson, J. Estimation of leaf area for open-grown urban trees in Great Britain using HemiView. Arboricultural J. 2018, 40, 3–15. [Google Scholar] [CrossRef]
- Ter-Mikaelian, M.; Korzukhin, M. Biomass equations for sixty-five NorthAmerican tree species. For. Ecol. Manag. 1997, 97, 1–24. [Google Scholar] [CrossRef]
- Yoon, T.K.; Park, C.W.; Lee, S.J.; Ko, S.; Kim, K.N.; Son, Y.; Lee, K.H.; Oh, S.; Lee, W.-K.; Son, Y. Allometric equations for estimating the aboveground volume of five common urban street tree species in Daegu, Korea. Urban For. Urban Green. 2013, 12, 344–349. [Google Scholar] [CrossRef]
- Niemistö, P. Influence of initial spacing and row-to-row distance on the crown and branch properties and taper of silver birch (Betula pendula). Scand. J. For. Res. 1995, 10, 235–244. [Google Scholar] [CrossRef]
- Poorter, H.; Niklas, K.J.; Reich, P.B.; Oleksyn, J.; Poot, P.; Mommer, L. Biomass allocation to leaves, stems and roots: Meta-analyses of interspecific variation and environmental control. N. Phytol. 2012, 193, 30–50. [Google Scholar] [CrossRef] [PubMed]
- Dahle, G.A.; Gallagher, F.J.; Gershensond, D.; Schäfer, K.V.; Grabosky, J.C. Allometric and mass relationships of Betula populifolia in a naturally assembled urban brownfield: Implications for carbon modeling. Urban Ecosyst. 2014, 17, 1147–1160. [Google Scholar] [CrossRef]
- Nowak, D.J. Atmospheric carbon dioxide reduction by Chicago’s urban forest. In Chicago’s UrbanForest Ecosystem: Results of the Chicago Urban Forest Climate Project, 2nd ed.; McPherson, E.G., Nowak, D.J., Rowntree, R.A., Eds.; United States Department of Agriculture Forest Service: Radnor, PA, USA, 1994; pp. 83–94. [Google Scholar]
- Jo, H.; McPherson, G.E. Carbon storage and flux in urban residential greenspace. J. Environ. Manag. 1995, 45, 109–133. [Google Scholar] [CrossRef]
- Dervishi, V.; Poschenrieder, W.; Rötzer, T.; Moser-Reischl, A.; Pretzsch, H. Effects of climate and drought on stem diameter growth of urban tree species. Forests 2022, 13, 641. [Google Scholar] [CrossRef]
- Canetti, A.; De Mattos, P.P.; Braz, E.M.; Netto, S.P. Life pattern of urban trees: A growth-modelling approach. Urban Ecosyst. 2017, 20, 1057–1068. [Google Scholar] [CrossRef]
- Rohner, B.; Bugmann, H.; Bigler, C. Estimating the age–diameter relationship of oak species in Switzerland using nonlinear mixed-effects models. Eur. J. For. Res. 2013, 132, 751–764. [Google Scholar] [CrossRef]
- Michel, A.K.; Winter, S. Tree microhabitat structures as indicators of biodiversity in Douglas-fir forests of different stand ages and management histories in the Pacific Northwest, U.S.A. For. Ecol. Manag. 2009, 257, 1453–1464. [Google Scholar] [CrossRef]
- Valladares, F.; Sánchez-Gómez, D. Ecophysiological traits associated with drought in Mediterranean tree seedlings: Individual responses versus interspecific trends in eleven species. Plant Biol. 2006, 8, 688–697. [Google Scholar] [CrossRef]
- Fazan, L.; Stoffel, M.; Frey, D.J.; Pirintsos, S.; Kozlowski, G. Small does not mean young: Age estimation of severely browsed trees in anthropogenic Mediterranean landscapes. Biol. Conserv. 2012, 153, 97–100. [Google Scholar] [CrossRef]
- Gürel, A.; Gündüz, A.E. İstanbul’un Ekolojik Yapısı Üzerine Bir Araştırma. J. Marmara Soc. Res. 2011, 1, 1–12. (In Turkish) [Google Scholar]
- Balekoglu, S.; Caliskan, S.; Makineci, E.; Dirik, H. Influence of seed nitrogen and carbon on germination in different populations of stone pine. Erwerbs-Obstbau 2021, 63, 369–374. [Google Scholar] [CrossRef]
- Karatepe, Y.; Külcüoğlu, C.; Makineci, E. Comparison of soil properties of an adjacent clay mine spoil, a mining site reclaimed with stone pine (Pinus pinea L.) plantation and a natural forest. Appl. Ecol. Environ. Res. 2020, 18, 6857–6874. [Google Scholar] [CrossRef]
- Doğan, M.; Köse, N. Influence of climate on radial growth of black pine on the mountain regions of southwestern Turkey. Plants 2019, 8, 276. [Google Scholar] [CrossRef] [PubMed]
- Rinn, F. TSAP-Win: Time Series Analysis and Presentation for Dendrochronology and Related Applications; Frank Rinn: Heidelberg, Germany, 2003. [Google Scholar]
- Stokes, M.A.; Smiley, T.L. An Introduction to Tree-Ring Dating; University of Arizona Press: Tucson, AZ, USA, 1996. [Google Scholar]
- Rinntech. Available online: https://www.rinntech.com/content/view/16/47/lang,english/ (accessed on 28 September 2024).
- Özçelik, R.; Cao, Q.V.; Trincado, G.; Göçer, N. Predicting tree height from tree diameter and dominant height using mixed-effects and quantile regression models for two species in Turkey. Forest Ecol. Manag. 2018, 419–420, 240–248. [Google Scholar] [CrossRef]
- Zhang, B.; Sajja, S.; Chen, K.; Zhou, L.; Zhang, Y.; Yong, K.K.; Sun, Y. Predicting tree height-diameter relationship from relative competition levels using quantile regression models for Chinese fir (Cunninghamia lanceolata) in Fujian province. China. Forests 2020, 11, 183. [Google Scholar] [CrossRef]
- Koenker, R.; Bassett, G., Jr. Regression quantiles. Econometrica 1978, 46, 33–50. [Google Scholar] [CrossRef]
- Kocherginsky, M.; He, X.; Mu, Y. Practical Confidence Intervals for Regression Quantiles. J. Comput. Graph. Stat. 2005, 14, 41–55. [Google Scholar] [CrossRef]
- Das, K.; Krzywinski, M.; Altman, N. Quantile regression. Nat. Methods 2019, 16, 451–452. [Google Scholar] [CrossRef]
- Tian, D.; Bi, H.; Jin, X.; Li, F. Stochastic frontiers or regression quantiles for estimating the self-thinning surface in higher dimensions? J. For. Res. 2021, 32, 1515–1533. [Google Scholar] [CrossRef]
- Wu, W.; Wang, D.; Zhang, D. Aridity index and quantile regression influences on the maximum size-density relationship for coniferous and broad-leaved mixed forests. For. Ecol. Manag. 2023, 543, 121148. [Google Scholar] [CrossRef]
- R: A Language and Environment for Statistical Computing. R Foundation for Statistical Computing, 2023. Available online: https://www.R-project.org/ (accessed on 3 June 2024).
- Poudel, K.P.; Cao, Q.V. Evaluation of methods to predict Weibull parameters for characterizing diameter distributions. For. Sci. 2013, 59, 243–252. [Google Scholar] [CrossRef]
- Schelhaas, M.J.; Hengeveld, G.M.; Heidema, N.; Thürig, E.; Rohner, B.; Vacchiano, G.; Vayreda, J.; Redmond, J.; Socha, J.; Fridman, J.; et al. Species-specific, pan-European diameter increment models based on data of 2.3 million trees. For. Ecosyst. 2018, 5, 21. [Google Scholar] [CrossRef]
- Pretzsch, H.; Biber, P.; Uhl, E.; Dahlhausen, J.; Schütze, G.; Perkins, D.; Rötzer, T.; Caldentey, J.; Koike, T.; van Con, T.; et al. Climate change accelerates growth of urban trees in metropolises worldwide. Sci. Rep. 2017, 7, 15403. [Google Scholar] [CrossRef] [PubMed]
- Ciftci, C.; Arwade, S.R.; Kane, B.; Brena, S.F. Analysis of the probability of failure for open-grown trees during wind storms. Probabilistic Eng. Mec. 2014, 37, 41–50. [Google Scholar] [CrossRef]
- Zhou, X.; Schoeneberger, M.M.; Brandle, J.R.; Awada, T.N.; Chu, J.; Martin, D.L.; Li, J.; Li, Y.; Mize, C.W. Analyzing the uncertainties in use of forest-derived biomass equations for open-grown trees in agricultural land. For. Sci. 2015, 61, 144–161. [Google Scholar] [CrossRef]
- Moser, A.; Rötzer, T.; Pretzsch, H. The urban environment can modify drought stress of small-leaved lime (Tilia cordata Mill.) and black locust (Robinia pseudoacacia L.). Forests 2016, 7, 71. [Google Scholar] [CrossRef]
- Gillner, S.; Bräuning, A.; Roloff, A. Dendrochronological analysis of urban trees: Climatic response and impact of drought on frequently used tree species. Trees 2014, 28, 1079–1093. [Google Scholar] [CrossRef]
- Kalliovirta, J.; Tokola, T. Functions for estimating stem diameter and tree age using tree height, crown width and existing stand database information. Silva Fenn. 2005, 39, 227–248. [Google Scholar] [CrossRef]
- Tagliapietra Schons, C.; Arnoni Costa, E.; Oliveira Barbosa, L.; Guimarães Finger, C.A. Diametric Increment Patterns of Open-Grown and Under Competition Pinus taeda L. Trees in Southern Brazil. Forestist 2022, 72, 105–111. [Google Scholar] [CrossRef]
- Hasenauer, H. Dimensional relationships of open-grown trees in Austria. For. Ecol. Manag. 1997, 96, 197–206. [Google Scholar] [CrossRef]
- Condés, S.; Sterba, H. Derivation of compatible crown width equations for some important tree species of Spain. For. Ecol. Manag. 2005, 217, 203–218. [Google Scholar] [CrossRef]
- Dahlhausen, J.; Biber, P.; Rötzer, T.; Uhl, E.; Pretzsch, H. Tree species and their space requirements in six urban environments Worldwide. Forests 2016, 7, 111. [Google Scholar] [CrossRef]
- Albaugh, T.J.; Maier, C.A.; Campoe, O.C.; Yáñez, M.A.; Carbaugh, E.D.; Carter, D.R.; Cook, R.L.; Rubilar, R.A.; Fox, T.R. Crown architecture, crown leaf area distribution, and individual tree growth efficiency vary across site, genetic entry, and planting density. Trees 2020, 34, 73–88. [Google Scholar] [CrossRef]
- Loewenstein, E.F.; Johnson, P.S.; Garrett, H.E. Age and diameter structure of a managed uneven-aged oak forest. Can. J. For. Res. 2000, 30, 1060–1070. [Google Scholar] [CrossRef]
- Oberhuber, W.; Kofler, W. Topographic influences on radial growth of Scots pine (Pinus sylvestris L.) at small spatial scales. Plant Ecol. 2000, 146, 229–238. [Google Scholar] [CrossRef]
- Rozas, V. Tree age estimates in Fagus sylvatica and Quercus robur: Testing previous and improved methods. Plant Ecol. 2003, 167, 193–212. [Google Scholar] [CrossRef]
- Altman, J.; Fibich, P.; Leps, J.; Uemura, S.; Hara, T.; Dolezal, J. Linking spatiotemporal disturbance history with tree regeneration and diversity in an old-growth forest in northern Japan. Perspect. Plant Ecol. 2016, 21, 1–13. [Google Scholar] [CrossRef]
- Hirons, A.D.; Watkins, J.H.R.; Baxter, T.J.; Miesbauer, J.W.; Male-Muñoz, A.; Martin, K.W.E.; Bassuk, N.L.; Sjöman, H. Using botanic gardens and arboreta to help identify urban trees for the future. Plants People Planet 2021, 3, 182–193. [Google Scholar] [CrossRef]
- Moser-Reischl, A.; Rötzer, T.; Pauleit, S.; Pretzsch, H. Urban tree growth characteristics of four common species in South Germany. Arboric. Urban For. 2021, 47, 150–169. [Google Scholar] [CrossRef]


| Variables | Mean | Std. Dev | Min. | Max. |
|---|---|---|---|---|
| DBHib 1 (cm) | 49.52 | 19.4 | 13.4 | 91.26 |
| Tree age 2 (year) | 103 | 42.4 | 44 | 211 |
| ID 3_5 (mm/year) | 3.31 | 2.25 | 0.78 | 9.83 |
| ID_10 (mm/year) | 3.24 | 2.04 | 0.83 | 6.73 |
| ID_15 (mm/year) | 3.16 | 1.84 | 0.89 | 6.69 |
| ID_20 (mm/year) | 3.16 | 1.84 | 0.90 | 7.54 |
| ID_25 (mm/year) | 3.19 | 1.87 | 1.00 | 7.51 |
| Variables | ID_5 | ID_10 | ID_15 | ID_20 | ID_25 |
|---|---|---|---|---|---|
| DBHib | 0.457 * | 0.590 *** | 0.639 *** | 0.637 *** | 0.674 *** |
| Tree Age | −0.046 NS | −0.085 NS | −0.109 NS | −0.118 NS | −0.108 NS |
| MODEL | RT | β0 | β1 | β2 | BIAS | RMSE | MAE (%) | AIC | ΣR | Overall Rank |
|---|---|---|---|---|---|---|---|---|---|---|
| M1 | OLS | 0.6798 | 0.0530 | 1.55 × 10−17 | 2.028 | 44.27 | 187 | 19.4 | 2.7 | |
| QR25 | 0.006 | 0.0429 | 1.1767 | 2.368 | 45.95 | 168 | 38.6 | 10.6 | ||
| QR50 | −0.4377 | 0.0667 | 0.4396 | 2.095 | 40.48 | 175 | 16.7 | 1.6 | ||
| QR75 | −0.1081 | 0.0799 | −0.5436 | 2.169 | 49.72 | 202 | 45.8 | 13.6 | ||
| M2 | ONLS | 0.1686 | 0.7667 | −0.0057 | 2.025 | 44.60 | 187 | 19.8 | 2.9 | |
| QR25 | 0.0434 | 0.9977 | 1.1768 | 2.368 | 45.95 | 168 | 38.6 | 10.6 | ||
| QR50 | 0.0304 | 1.1653 | 0.3968 | 2.093 | 40.27 | 174 | 15.3 | 1.0 | ||
| QR75 | 0.0666 | 1.0385 | −0.5371 | 2.170 | 49.64 | 202 | 45.7 | 13.5 | ||
| M3 | ONLS | 0.4750 | 0.0139 | −0.0155 | 2.052 | 45.46 | 188 | 22.4 | 3.9 | |
| QR25 | −0.3037 | 0.0183 | 1.3620 | 2.501 | 48.67 | 168 | 48.8 | 14.8 | ||
| QR50 | −0.0510 | 0.0208 | 0.4395 | 2.132 | 40.20 | 174 | 17.1 | 1.7 | ||
| QR75 | 0.5918 | 0.0159 | −0.8549 | 2.263 | 55.80 | 204 | 61.4 | 20.0 | ||
| M4 | ONLS | −0.5738 | 0.0538 | −0.0003 | 0.0050 | 2.031 | 43.39 | 188 | 19.1 | 2.6 |
| QR25 | −1.0143 | 0.0485 | −0.0002 | 1.1044 | 2.348 | 44.72 | 170 | 36.5 | 9.7 | |
| QR50 | −0.5638 | 0.0388 | −0.0001 | 0.4484 | 2.136 | 39.83 | 175 | 17.4 | 1.9 | |
| QR75 | −0.9947 | 0.0757 | −0.0005 | −0.602 | 2.165 | 47.71 | 197 | 41.4 | 11.8 | |
| M5 | OLS | −0.5348 | 0.1076 | −0.0005 | −4.65 × 10−17 | 2.042 | 44.66 | 188 | 20.9 | 3.3 |
| QR25 | 1.2617 | −0.0153 | 0.0005 | 1.4306 | 2.584 | 49.62 | 170 | 54.7 | 17.2 | |
| QR50 | 1.4157 | −0.0072 | 0.0006 | 0.4162 | 2.149 | 39.96 | 176 | 18.1 | 2.2 | |
| QR75 | −1.6378 | 0.1719 | −0.001 | −0.7535 | 2.217 | 51.56 | 201 | 51.9 | 16.1 |
| MODEL | RT | β0 | β1 | β2 | BIAS | RMSE | MAE (%) | AIC | ΣR | Overall Rank |
|---|---|---|---|---|---|---|---|---|---|---|
| M1 | OLS | 0.1690 | 0.0620 | 3.87 × 10−17 | 1.664 | 40.69 | 170 | 14.6 | 3.5 | |
| QR25 | 0.2270 | 0.0328 | 1.3906 | 2.265 | 49.03 | 165 | 55.2 | 17.7 | ||
| QR50 | −0.8586 | 0.0781 | 0.2295 | 1.711 | 38.77 | 169 | 15.3 | 3.7 | ||
| QR75 | −0.2448 | 0.0831 | −0.6303 | 1.833 | 43.69 | 183 | 42.4 | 13.2 | ||
| M2 | ONLS | 0.0912 | 0.9172 | −0.0102 | 1.663 | 40.97 | 170 | 15.1 | 3.6 | |
| QR25 | 0.0644 | 0.8666 | 1.3632 | 2.243 | 48.61 | 165 | 53.7 | 17.1 | ||
| QR50 | 0.0176 | 1.3048 | 0.2955 | 1.725 | 38.63 | 169 | 16.4 | 4.1 | ||
| QR75 | 0.0527 | 1.1003 | −0.6568 | 1.859 | 44.12 | 183 | 44.1 | 13.8 | ||
| M3 | ONLS | 0.3393 | 0.0161 | −0.0263 | 1.712 | 42.89 | 172 | 20.9 | 5.7 | |
| QR25 | −0.2451 | 0.0155 | 1.4772 | 2.359 | 50.69 | 166 | 61.9 | 20.0 | ||
| QR50 | −0.131 | 0.0222 | 0.3514 | 1.782 | 39.77 | 171 | 21.8 | 6.0 | ||
| QR75 | 0.3941 | 0.0190 | −0.8174 | 1.963 | 48.22 | 187 | 57.8 | 18.6 | ||
| M4 | ONLS | −1.3139 | 0.0763 | −0.0005 | 0.0228 | 1.629 | 38.29 | 169 | 9.9 | 1.8 |
| QR25 | −0.7563 | 0.0361 | −0.0002 | 1.3555 | 2.257 | 48.29 | 166 | 54.4 | 17.4 | |
| QR50 | −1.6925 | 0.0823 | −0.0005 | 0.0425 | 1.678 | 36.71 | 167 | 7.5 | 1.0 | |
| QR75 | −1.1939 | 0.0830 | −0.0006 | −0.9171 | 1.938 | 45.16 | 177 | 45.7 | 14.3 | |
| M5 | OLS | −1.0938 | 0.1188 | −0.0005 | −1.19 × 10−16 | 1.669 | 40.87 | 171 | 15.9 | 3.9 |
| QR25 | 0.1391 | 0.0373 | −0.00004 | 1.3643 | 2.272 | 48.60 | 167 | 56.2 | 18.0 | |
| QR50 | −0.4458 | 0.0591 | 0.0002 | 0.2877 | 1.746 | 38.69 | 171 | 18.6 | 4.9 | |
| QR75 | −1.5744 | 0.1618 | −0.0008 | −0.9126 | 1.948 | 47.52 | 183 | 54.3 | 17.3 |
| MODEL | RT | β0 | β1 | β2 | BIAS | RMSE | MAE (%) | AIC | ΣR | Overall Rank |
|---|---|---|---|---|---|---|---|---|---|---|
| M1 | OLS | 0.1516 | 0.0608 | 7.75 × 10−17 | 1.435 | 36.14 | 157 | 9.6 | 1.7 | |
| QR25 | 0.0716 | 0.0370 | 1.2560 | 1.983 | 45.00 | 155 | 56.7 | 16.0 | ||
| QR50 | −0.5152 | 0.0704 | 0.1891 | 1.461 | 35.55 | 160 | 15.7 | 3.6 | ||
| QR75 | −0.1766 | 0.0839 | −0.8187 | 1.723 | 42.62 | 169 | 54.1 | 15.3 | ||
| M2 | ONLS | 0.0819 | 0.9376 | −0.0038 | 1.435 | 36.20 | 157 | 9.8 | 1.8 | |
| QR25 | 0.0479 | 0.9489 | 1.2242 | 1.961 | 44.51 | 155 | 54.8 | 15.5 | ||
| QR50 | 0.0216 | 1.2583 | 0.1565 | 1.476 | 35.39 | 159 | 14.3 | 3.1 | ||
| QR75 | 0.0620 | 1.0656 | −0.8229 | 1.733 | 42.7 | 169 | 54.6 | 15.4 | ||
| M3 | ONLS | 0.2872 | 0.0166 | −0.0226 | 1.476 | 37.79 | 159 | 16.0 | 3.7 | |
| QR25 | −0.2030 | 0.0160 | 1.2711 | 2.036 | 45.49 | 155 | 59.3 | 16.8 | ||
| QR50 | −0.0221 | 0.0209 | 0.1690 | 1.509 | 36.32 | 161 | 19.1 | 4.6 | ||
| QR75 | 0.4665 | 0.0181 | −0.9890 | 1.837 | 46.59 | 172 | 69.7 | 20.0 | ||
| M4 | ONLS | −1.0834 | 0.0664 | −0.0004 | 0.0197 | 1.413 | 34.83 | 157 | 7.2 | 1.0 |
| QR25 | −1.0001 | 0.0454 | −0.0002 | 1.1712 | 1.926 | 43.30 | 155 | 51.0 | 14.3 | |
| QR50 | −1.4932 | 0.0786 | −0.0005 | 0.1958 | 1.426 | 34.41 | 159 | 11.8 | 2.4 | |
| QR75 | −1.0524 | 0.0751 | −0.0005 | −0.9018 | 1.759 | 42.20 | 166 | 52.5 | 14.8 | |
| M5 | OLS | −0.5654 | 0.0930 | −0.0003 | −3.1 × 10−17 | 1.447 | 36.15 | 159 | 12.2 | 2.5 |
| QR25 | −0.1709 | 0.0499 | −0.0001 | 1.1749 | 1.945 | 43.67 | 156 | 53.3 | 15.0 | |
| QR50 | 0.0241 | 0.0405 | 0.0003 | 0.2256 | 1.512 | 35.39 | 161 | 18.6 | 4.5 | |
| QR75 | −0.3750 | 0.0964 | −0.0002 | −0.8021 | 1.716 | 42.27 | 171 | 55.4 | 15.6 |
| MODEL | RT | β0 | β1 | β2 | BIAS | RMSE | MAE (%) | AIC | ΣR | Overall Rank |
|---|---|---|---|---|---|---|---|---|---|---|
| M1 | OLS | 0.1595 | 0.0605 | 5.16 × 10−18 | 1.438 | 35.44 | 157 | 14.2 | 2.0 | |
| QR25 | 0.0445 | 0.0396 | 1.1517 | 1.905 | 41.48 | 148 | 51.8 | 14.6 | ||
| QR50 | −0.3178 | 0.0682 | 0.0963 | 1.450 | 34.48 | 157 | 14.5 | 2.1 | ||
| QR75 | −0.1531 | 0.0813 | −0.7164 | 1.665 | 41.89 | 171 | 54.2 | 15.4 | ||
| M2 | ONLS | 0.0803 | 0.9419 | −0.0011 | 1.438 | 35.52 | 157 | 14.3 | 2.0 | |
| QR25 | 0.0450 | 0.9746 | 1.1449 | 1.900 | 41.37 | 148 | 51.3 | 14.4 | ||
| QR50 | 0.0382 | 1.1179 | 0.1302 | 1.453 | 34.47 | 157 | 15.1 | 2.3 | ||
| QR75 | 0.0588 | 1.0684 | −0.6700 | 1.649 | 41.09 | 171 | 51.6 | 14.6 | ||
| M3 | ONLS | 0.2767 | 0.0167 | −0.0208 | 1.473 | 36.80 | 159 | 19.4 | 3.7 | |
| QR25 | −0.2183 | 0.0168 | 1.2093 | 1.982 | 42.67 | 149 | 58.0 | 16.7 | ||
| QR50 | 0.0599 | 0.0193 | 0.1928 | 1.494 | 35.64 | 160 | 21.6 | 4.5 | ||
| QR75 | 0.4448 | 0.0178 | −0.8293 | 1.729 | 44.56 | 174 | 64.9 | 19.0 | ||
| M4 | ONLS | −0.9589 | 0.0616 | −0.0004 | 0.0189 | 1.424 | 33.86 | 157 | 11.3 | 1.0 |
| QR25 | −0.9235 | 0.0430 | −0.0002 | 1.1125 | 1.885 | 40.56 | 149 | 49.6 | 13.9 | |
| QR50 | −1.1584 | 0.0643 | −0.0004 | 0.1391 | 1.436 | 33.58 | 157 | 13.2 | 1.6 | |
| QR75 | −0.9037 | 0.0705 | −0.0005 | −0.9624 | 1.802 | 44.88 | 171 | 67.8 | 20.0 | |
| M5 | OLS | −0.3259 | 0.0824 | −2.1 × 10−4 | −5.16 × 10−18 | 1.453 | 35.63 | 159 | 16.5 | 2.7 |
| QR25 | −0.1219 | 0.0485 | −7.8 × 10−5 | 1.0961 | 1.888 | 40.57 | 150 | 50.2 | 14.1 | |
| QR50 | −0.3162 | 0.0681 | 6.9 × 10−7 | 0.0966 | 1.468 | 34.48 | 159 | 16.6 | 2.8 | |
| QR75 | −0.0279 | 0.0740 | 7.2 × 10−5 | −0.6826 | 1.674 | 41.30 | 173 | 54.5 | 15.5 |
| MODEL | RT | β0 | β1 | β2 | BIAS | RMSE | MAE (%) | AIC | ΣR | Overall Rank |
|---|---|---|---|---|---|---|---|---|---|---|
| M1 | OLS | −0.0283 | 0.0649 | 5.4 × 10−17 | 1.398 | 34.36 | 155 | 17.1 | 2.5 | |
| QR25 | −0.0652 | 0.0431 | 1.1167 | 1.857 | 39.68 | 144 | 52.5 | 14.6 | ||
| QR50 | −0.3115 | 0.0687 | 0.0961 | 1.404 | 33.77 | 156 | 18.6 | 3.0 | ||
| QR75 | −0.3086 | 0.0852 | −0.7269 | 1.634 | 40.1 | 167 | 55.5 | 15.6 | ||
| M2 | ONLS | 0.0622 | 1.0085 | −0.0005 | 1.398 | 34.37 | 155 | 16.8 | 2.5 | |
| QR25 | 0.0334 | 1.0603 | 1.0862 | 1.830 | 39.14 | 144 | 50.2 | 13.8 | ||
| QR50 | 0.0398 | 1.1104 | 0.1238 | 1.406 | 33.72 | 156 | 19.0 | 3.1 | ||
| QR75 | 0.0536 | 1.0955 | −0.6959 | 1.619 | 39.61 | 167 | 53.6 | 14.9 | ||
| M3 | ONLS | 0.2299 | 0.0177 | −0.0240 | 1.438 | 36.09 | 157 | 22.6 | 4.4 | |
| QR25 | −0.3107 | 0.0191 | 1.1618 | 1.918 | 40.11 | 143 | 55.4 | 15.6 | ||
| QR50 | −0.0262 | 0.0204 | 0.2885 | 1.475 | 34.69 | 158 | 27.1 | 5.9 | ||
| QR75 | 0.3361 | 0.0199 | −0.8466 | 1.736 | 43.16 | 170 | 68.4 | 20.0 | ||
| M4 | ONLS | −1.1242 | 0.0662 | −3.9 × 10−4 | 0.0247 | 1.379 | 32.75 | 155 | 14.1 | 1.4 |
| QR25 | −0.5094 | 0.0276 | −7.5 × 10−5 | 1.1348 | 1.909 | 39.42 | 144 | 54.2 | 15.2 | |
| QR50 | −1.4527 | 0.0756 | −4.5 × 10−4 | −0.0128 | 1.391 | 32.27 | 154 | 12.7 | 1.0 | |
| QR75 | −0.8544 | 0.0660 | −4 × 10−4 | −0.8569 | 1.692 | 40.60 | 164 | 58.3 | 16.6 | |
| M5 | OLS | −0.3423 | 0.0790 | −1.4 × 10−4 | 6.5 × 10−17 | 1.415 | 34.48 | 157 | 19.3 | 3.3 |
| QR25 | 0.7011 | 0.0103 | 2.9 × 10−4 | 1.1555 | 1.925 | 39.75 | 144 | 55.7 | 15.7 | |
| QR50 | −0.1675 | 0.0621 | 5.7 × 10−5 | 0.1157 | 1.423 | 33.75 | 158 | 20.9 | 3.8 | |
| QR75 | −0.6876 | 0.1057 | −1.9 × 10−4 | −0.8048 | 1.692 | 41.23 | 168 | 61.4 | 17.6 |
| IDn | MODEL | RT | BIAS | RMSE | MAE (%) |
|---|---|---|---|---|---|
| ID_5 | M2 | QR50 | 0.3968 | 2.093 | 40.27 |
| ID_10 | M4 | QR50 | 0.0425 | 1.678 | 36.71 |
| ID_15 | M4 | ONLS | 0.0197 | 1.413 | 34.83 |
| ID_20 | M4 | ONLS | 0.0189 | 1.424 | 33.86 |
| ID_25 | M4 | QR50 | −0.0128 | 1.391 | 32.27 |
Disclaimer/Publisher’s Note: The statements, opinions and data contained in all publications are solely those of the individual author(s) and contributor(s) and not of MDPI and/or the editor(s). MDPI and/or the editor(s) disclaim responsibility for any injury to people or property resulting from any ideas, methods, instructions or products referred to in the content. |
© 2024 by the authors. Licensee MDPI, Basel, Switzerland. This article is an open access article distributed under the terms and conditions of the Creative Commons Attribution (CC BY) license (https://creativecommons.org/licenses/by/4.0/).
Share and Cite
Uçan, H.A.; Özdemir, E.; Sağlam, S.; Özdemir, G.A.; Makineci, E. Diameter Increment Estimations of Open-Grown Stone Pine (Pinus pinea L.) Trees in Urban Parks in Istanbul, Türkiye. Sustainability 2024, 16, 9793. https://doi.org/10.3390/su16229793
Uçan HA, Özdemir E, Sağlam S, Özdemir GA, Makineci E. Diameter Increment Estimations of Open-Grown Stone Pine (Pinus pinea L.) Trees in Urban Parks in Istanbul, Türkiye. Sustainability. 2024; 16(22):9793. https://doi.org/10.3390/su16229793
Chicago/Turabian StyleUçan, Hacı Abdullah, Emrah Özdemir, Serhun Sağlam, Gafura Aylak Özdemir, and Ender Makineci. 2024. "Diameter Increment Estimations of Open-Grown Stone Pine (Pinus pinea L.) Trees in Urban Parks in Istanbul, Türkiye" Sustainability 16, no. 22: 9793. https://doi.org/10.3390/su16229793
APA StyleUçan, H. A., Özdemir, E., Sağlam, S., Özdemir, G. A., & Makineci, E. (2024). Diameter Increment Estimations of Open-Grown Stone Pine (Pinus pinea L.) Trees in Urban Parks in Istanbul, Türkiye. Sustainability, 16(22), 9793. https://doi.org/10.3390/su16229793

