Next Article in Journal
Mapping Soil Surface Moisture of an Agrophytocenosis via a Neural Network Based on Synchronized Radar and Multispectral Optoelectronic Data of SENTINEL-1,2—Case Study on Test Sites in the Lower Volga Region
Previous Article in Journal
Examining the Influence of Sustainable Management Accounting on Sustainable Corporate Governance: Empirical Evidence
 
 
Font Type:
Arial Georgia Verdana
Font Size:
Aa Aa Aa
Line Spacing:
Column Width:
Background:
Article

Sustainable Operations of Online and Offline Restaurants: Focusing on Multi-Brand Restaurants

1
Graduate School of Industrial Data Engineering, Hanyang University, Seongdong-gu, Seoul 04763, Republic of Korea
2
School of Interdisciplinary Industrial Studies, Hanyang University, Seongdong-gu, Seoul 04763, Republic of Korea
*
Author to whom correspondence should be addressed.
Sustainability 2024, 16(21), 9607; https://doi.org/10.3390/su16219607
Submission received: 25 September 2024 / Revised: 23 October 2024 / Accepted: 28 October 2024 / Published: 4 November 2024
(This article belongs to the Section Sustainable Management)

Abstract

This study investigates the sustainable operations of a multi-brand restaurant that adopts multiple brands in a store, unlike a typical restaurant that operates only a single brand. We introduce five restaurant operation models, including three traditional single-brand ones (offline, online, and multi-channel) and two recent multi-brand restaurants with a single fixed franchise fee and multiple franchise fees proportional to the number of brands. We then investigate the performance of the models in the changing market and cost environments. Through analytical and numerical analyses, we reveal that adopting a multi-brand restaurant does not always guarantee superior profit performance. Such an adoption is recommended under certain conditions, such as when the potential market base is large, consumers are not very price-sensitive, food and delivery costs are low, an increase in food items does not significantly impact process inefficiency, franchise fees are low, or the relative market power of multiple brands is strong. Otherwise, adopting the traditional single-brand restaurant would guarantee better profit performance. Therefore, for a sustainable multi-brand restaurant adoption, it is important to create a business environment that can lower food prices, and a thorough understanding of the decision dynamics related to the number of brands is required.

1. Introduction

As the online food delivery market expands and customer preferences change, we observe new franchise chain strategies, such as multi-brand online restaurants (or multi-brand cloud kitchens) that operate multiple brands in one store, unlike typical restaurants that operate only a single brand [1]. Byte to Bite in the United States (US), KLC Virtual Restaurants in Kuwait, DNY Hospitality and Rebel in India, and Nolboo in South Korea are representative examples of multi-brand restaurant chains [2,3,4,5,6]. Multi-brand restaurants can provide new opportunities to expand the market and enhance profits for many restaurants [1]. Moreover, multi-brand restaurants promote sustainable service operation practices [7,8]. By integrating operations across multiple brands, they can make significant contributions to the environment not only by reducing food waste and the consumption of energy and water but also by optimizing ingredient usage, menu consolidation and group order delivery [7,8,9]. Furthermore, this concept also helps reduce the environmental impact by reducing construction and land use for multiple brands [7,9]. Therefore, this study aims to investigate the sustainable operations strategy of this new multi-brand restaurant and reveal its effectiveness by comparing it with various types of single-brand offline and online restaurants.
The quarantine policies implemented by governments during the COVID-19 pandemic led to a sharp increase in online shopping worldwide, while in-person shopping in stores plummeted [10]. The restaurant business is no exception; online ordering and food delivery services have grown rapidly in recent years [11]. During the COVID-19 pandemic, the household use of food delivery services increased by 157% [12]. Even after the pandemic, consumers have continued to use online food delivery services. Changing consumer preferences have forced many traditional offline (or brick-and-mortar) restaurants to embrace online delivery systems [13,14].
A number of delivery-only online restaurants have also emerged in recent years [15]. As these restaurants do not have a physical dining area visible to customers, they are referred to as dark, cloud, ghost, invisible, commissary, satellite, virtual, or cyber-kitchens [16,17,18,19]. Due to the lack of dining spaces and the subsequent ease of opening and low maintenance costs, these restaurants are economically attractive [20]. The existence of franchise chain systems is also one of the most important reasons why many online restaurants currently exist. The opening of restaurants has become much easier with franchise chain systems, and restaurants can enjoy many advantages, such as established brand recognition, operational support, easier financing, and training programs [21,22]. Moreover, using online platforms such as Uber Eats, DoorDash, and Grubhub (USA), rather than their own websites for online ordering and deliveries, many restaurants have experienced even more significant sales improvements compared to the pre-pandemic period [23]. The number of online restaurants is increasing worldwide, and the market size is expected to grow at a compound annual rate of 11.42% from 2022 to reach USD 115.21 billion by 2030 [24].
However, operating an online delivery service does not always guarantee superior profits for restaurants. While the introduction of online services can expand market reach and capture more consumer demand, it can also cannibalize revenue from traditional offline channels [25]. In addition to that, most online restaurants use delivery platforms [26], which entail commissions and delivery costs [27]. Recently, platform fees have increased significantly [28], and restaurants are struggling with reduced margins [29]. Most importantly, as the online food delivery market expands, competition between franchise chains and delivery restaurants is also becoming fierce [13]. We can observe many new and existing similar franchise restaurants competing in the same and nearby areas, making it difficult for them to attract more customers and expand the market. In addition to competition, the fundamental characteristic of online restaurants that only deliver food can cause problems in expanding sales. Many of them are typically small, with limited space and staff. Therefore, they inherently lack the ability to handle a large number of customers and add new food items, which could lead to lower profits [30].
Through acquiring new customer bases, multi-brand online restaurants can be presented as a solution to these market expansion and profit issues. By operating many food items from multiple food brands in a single restaurant, they can relieve menu fatigue and increase customer base and frequency [31]. Recently, we observed many franchise chains that allow their franchise restaurants to operate multiple brands in a single restaurant, such as DNY Hospitality and Rebel in India, Nolboo in South Korea, Crawford Collective in Canada, KLC Virtual Restaurants in Kuwait, Dubai, and Qatar, Food Haven in Spain, and Byte to Bite in the US [2,3,4,5,6,32,33]. Moreover, multi-brand restaurants can bring an opportunity to significantly enhance environmental performance by reducing food waste and the consumption of energy and optimizing ingredient usage, menu consolidation and group order delivery [7,8,9].
Therefore, in the context of sustainable restaurant operations, which are currently undergoing significant transformations due to shifts in customer preferences, this study investigates the effectiveness of various restaurant types to reveal those that can achieve superior operational and profit performance, especially considering the new multi-brand restaurant strategy. Specifically, we consider five restaurant types, including (i) Case SF: a single-brand offline restaurant, the most traditional one that sells the food of one brand only in an offline restaurant, (ii) Case SN: a single-brand online restaurant that takes online orders only and delivers food to consumers, (iii) Case SFN: a single-brand multi-channel restaurant that sells the single-brand food through both offline and online channels, (iv) Case MN: a multi-brand online restaurant that handles various food items of multiple brands at a delivery-only cloud kitchen and pays a franchise fee proportional to the number of brands, and (v) Case M1: a multi-brand online restaurant that pays a fixed franchise fee regardless of the number of brands. We consider three traditional single-brand restaurant types in Cases SF, SN, and SFN. We also incorporate the two types of multi-brand restaurants in Cases MN and M1 with different franchise fees by following practices that could change depending on the franchise chain strategies. Case MN, with proportional franchise fees, is the most common practice. However, for example, in 2023, Nolboo, in Korea, promoted a single franchise fee regardless of the number of brands to its franchise restaurants that wanted to operate multi-brand online restaurants, as in Case M1 in this study [6]. DNY Hospitality in India waived franchise fees for the first 20 store openings [34]. We formulate the five models above and investigate their performance to reveal whether the new multi-brand online restaurant strategy is effective and, if so, under what conditions. The results are summarized as follows:
First, we reveal the decision dynamics of multi-brand restaurant operations. It is recommended that the food price of a multi-brand restaurant be set lower than that of a single-brand restaurant. This is to overcome its weak market power and expand the consumer market; it needs to lower food prices in addition to adopting multiple brands. More importantly, when deciding on the number of brands, a careful understanding of the decision dynamics is necessary. More brands provide an opportunity to enhance the environmental performance and expand market sales, but we need to understand the inefficiency problems caused by an increase in food items. As the number of brands increases, the price needs to be set higher to maintain profitability, which harms market performance.
Second, the adoption of multi-brand restaurants does not always guarantee superior profit performance. We reveal the market and cost conditions under which a multi-brand restaurant strategy outperforms a single-brand strategy. The adoption of a multi-brand restaurant is recommended when the potential market base is large, consumers are not very price-sensitive, food costs are low, delivery costs are low, an increase in food items does not significantly impact process inefficiency, franchise fees are low, or the relative market power of multiple brands is strong. Otherwise, adopting a single-brand restaurant would be better.
Third, when adopting a multi-brand restaurant, a single fixed franchise fee, regardless of the number of brands, can provide a chance to yield superior environmental and profit performance compared to a multiple franchise fee proportional to the number of brands. When adopting a single-brand restaurant, an online restaurant is recommended because of this favorable online environment. Offline or multi-channel restaurants need to have special advantages in having an in-store dining space, such as a large offline consumer base or high brand awareness.
This study is one of the first that attempts to offer a comprehensive understanding of sustainable restaurant operations, including traditional offline and online restaurants, as well as recent multi-channel and multi-brand restaurants. In particular, we contribute to sustainable service operations practices by providing new and important guidelines for multi-brand restaurant operations by comparing them with single-brand restaurant operations.

2. Literature Review

This study is relevant to the literature on restaurant operations. Specifically, we aim to reveal the effectiveness of various types of restaurant operations, and, hence, four research streams converge into this study, including (i) offline restaurant operations (e.g., [35,36]), (ii) multi-channel operations (e.g., [29,37]), (iii) delivery-only online restaurant (e.g., [38,39]) and (iv) multi-brand restaurant operations (e.g., [40,41]).
First, early research in this area focused on investigating various issues of offline (brick-and-mortar) restaurant operations. Refs. [36,42,43,44] investigated table-mix strategies and analyzed ways to improve seat occupancy and turnover based on the table type. Ref. [35] analyzed customer queue management and studied a revenue enhancement model by reducing customer waiting time. Ref. [45] considered both table-mix strategies and customer queue management. Ref. [46] conducted a study on increasing restaurant profits through mealtime management. However, these studies only consider the issue of running offline restaurants. In contrast to the studies above, which deal only with offline restaurant operations, we investigate the effectiveness of various restaurant types existing in the contemporary business environment.
Second, as consumer preferences and behaviors diversify and technology evolves, we can now observe various restaurant types. This study is directly relevant to multi-channel restaurant operations. Multi-channel operations generally indicate a firm’s multiple distribution channel operations, including the Internet (online) and brick-and-mortar (offline) stores [47]. The purpose of multi-channel operations is to create a competitive advantage by expanding consumer bases through different channel operations. The authors of [48,49,50,51] examined how the multi-channel expansion of traditional offline retailers, such as Walmart, Best Buy, and Barnes & Noble, affects profit performance.
Traditional offline restaurants could also have the opportunity to begin multi-channel operations with the advent of delivery platforms, such as Uber Eats, DoorDash, and Grubhub. In addition to dine-ins, they have expanded their consumer base by accepting online orders through these platforms. Customers also use platforms and online marketplaces because they can easily compare information about products [52]. Research on multi-channel restaurant operations has also expanded. Many studies have focused on the impact of online delivery from offline locations through platforms on restaurant sales and profits. Ref. [53] investigated which service operations is more beneficial to restaurant profits: an in-house delivery system or delivery through a platform. Their study showed that using a platform is beneficial to restaurant profits if the restaurant does not have a sufficiently large demand potential. On the other hand, ref. [26] argued that third-party delivery services, including platforms, do not provide superior profits to restaurants. Refs. [29,37] investigated the contractual arrangements between restaurants and platforms. They showed that the fees paid to the platform could lead to lower profits for restaurants. Furthermore, ref. [54] investigated the optimal price, profit, and environment of restaurants through omnichannel management strategies. As such, much of the existing research has focused on revealing the effectiveness of multi-channel online and offline restaurants compared to traditional offline restaurants. However, recently, new types of restaurants have been observed, such as delivery-only cloud kitchens. In this study, we incorporate such recently emerging restaurant types into our investigation.
Third, as mentioned earlier, after the outbreak of COVID-19 and governments’ quarantine policies, many delivery-only online restaurants emerged. They only accept orders online without an offline dining space and deliver food through the platform. They are also called cloud, virtual, or ghost restaurants, depending on the situation, but we simply call this type an online restaurant in this study. Refs. [38,39,55] investigated how consumers perceive and consume online restaurants. Refs. [38,39] argued that consumers’ knowledge of online restaurants is necessary for sales improvement. Ref. [55] showed that focusing on emotional and eco-friendly factors that are important to Gen Z customers helps online restaurant operations. While these studies showed that consumer perceptions help increase sales, they overlook the cost aspects associated with running an online restaurant. These aspects include the delivery costs that consumers have to pay and franchise fees that restaurants need to pay [27]. This study incorporates these cost factors into the online restaurant models, as in practice, and compares the profit performance of various restaurant models.
Fourth, consumers tend to want a variety of menu items [56], especially when choosing food online. To meet this desire and expand demand, multi-brand restaurants have recently emerged, operating different types of food brands under one roof [1,57]. As this type has only recently emerged, only a few relevant studies have been conducted. The authors of [40] argued in their case study that multi-brand operations allow restaurants to serve a large number of customers. Ref. [38] also introduced the multi-brand restaurant concept and argued, based on survey results, that it can provide a chance to meet the competitive advantages of the expanding delivery restaurant market. As such, studies on multi-brand restaurants are scarce. Moreover, it is difficult to find studies that mathematically model multi-brand restaurant operations and analytically investigate their environmental and profit performance compared with other existing restaurant models.
Overall, this study is one of the first studies that introduces and analytically investigates the sustainable operations of multi-brand restaurants. Based on the literature and practice, we formulate various types of restaurant models by considering the necessary cost and revenue factors, such as demand expansion from multi-brand adoption, delivery costs for online ordering, franchise fees, and economies of scale. The models include traditional offline, online, multi-channel, and two types of multi-brand restaurants. We then investigate the environmental and profit performance of multi-brand restaurant operations by comparing the models above. Through this investigation, we provide new and important guidelines for restaurant operations. We contribute to the body of knowledge by introducing multi-brand restaurant models and bridging the gap in the existing literature on restaurant operations.

3. Materials and Methods

This study considers five franchise restaurant types existing in practice. These are (i) Case SF: a single-brand offline restaurant, the most traditional; (ii) Case SN: a single-brand online restaurant that takes online delivery orders only; (iii) Case SFN: a single-brand multi-channel (both offline and online) restaurant; (iv) Case MN: a multi-brand online restaurant that pays a franchise fee proportional to the number of brands; and (v) Case M1: a multi-brand online restaurant that pays a fixed franchise fee regardless of the number of brands. In this section, we introduce the models for the five aforementioned cases and obtain their optimal solutions. In each model, we find the optimal food price, and we also find the optimal number of brands, especially for multi-brand restaurants in Cases MN and M1.

3.1. Case SF: A Single-Brand Offline Restaurant

Case SF is the most traditional type of franchise restaurant; it handles menu items of a single brand and sells them to consumers in an offline store. Various factors affect consumers’ buying behavior, but we focus on the unit food price p , one of the most important factors for a restaurant’s profit maximization. Therefore, the demand qSF and profit πSF of Case SF are defined as follows, where the subscript SF denotes Case SF.
q S F = α β p ,
π S F = q S F p c + n η f = q S F p c + η f ,
where α is the demand potential of the restaurant, and β is the demand sensitivity to price. As in typical economics and operations management literature, demand q is negatively affected by price p . The symbols used in this study are listed in Table 1.
Considering the restaurant’s operational situation dealing with various menu items, the sales price p is considered the average unit price. The unit food cost c can include various cost factors, such as the costs of ingredients and the unit royalty paid to the franchisor, as in many franchises. Another variable cost factor considered in this study is the inefficiency cost n η in Equation (2), which is a critical factor, especially when considering multi-brand restaurants, as in Cases MN and M1 in this study. When a franchise devises a multi-brand restaurant, it is a rational decision to mix different types of food brands to avoid possible cannibalization problems among brands, as can be observed in the examples of DNY Hospitality and Nolboo [6,34]. Although this strategy can be effective in increasing market sales, it may pose some challenges to the economies of scale that single-brand restaurants can enjoy, for example, by purchasing ingredients in bulk and paying less per unit [58,59]. This is because, as the number of different brands increases, significant diversification of menu items and the resulting complexity of ingredients, recipes, and cooking tools are unavoidable. Therefore, we define this inefficiency factor as n η that is proportional to the number of brands n . In the single-brand restaurants ( n = 1 ) of Cases SF, SN, and SFN, n η = η in Equations (2), (7), and (10), while it is n η in Equations (13) and (21) for multi-brand restaurants in Cases MN and M1.
In restaurant operations, the fixed costs include rent, equipment maintenance, employee salaries, etc. [60]. Among the various fixed cost factors, we focus on the fixed franchise fee f because this study focuses on investigating how to operate a franchise restaurant, especially comparing the performance of single-brand and multi-brand restaurants. The restaurant pays the franchise fee and royalty according to the contract it signs with the franchise headquarters, which is a fixed cost that is paid on a regular basis, usually monthly. The franchise fee for multi-brand restaurants is discussed in Section 3.4 and Section 3.5.
To obtain the optimal sales price p for Case SF, we first obtain the first-order necessary condition (FONC) in Equation (3) by differentiating π S F in Equation (2) with respect to p . From the FONC, we obtain the optimal p * in Equation (4).
π S F p = α 2 β p + β c + η = 0 ,
p S F * = α + β c + η 2 β .
We also obtained the second-order sufficient condition (SOSC) by differentiating Equation (3), with respect to p .
2 π S F p 2 = 2 β < 0 .
As the SOSC in Equation (5) satisfies the negative-definite property, the optimal p in Equation (4) guarantees the profit maximization of π S F in Equation (2). If we apply p S F * in Equation (4) to Equations (1) and (2), we obtain the optimal q S F * and π S F * , respectively. We summarize the optimal solutions of the five models in Section 4.

3.2. Case SN: A Single-Brand Online Restaurant

Case SN refers to a single-brand online restaurant that operates based on online ordering and delivery services for one food brand without providing a physical location to consumers. This type of online restaurant is called a cloud, virtual, or ghost kitchen. The demand q S N and profit π S N of Case SN are defined as follows.
q S N = 1 + ϕ α β p + d ,
π S N = q S N p c + η f .
In Equation (6), q S N considers the two distinct properties of online restaurant operations. First, we consider the possible market expansion of online restaurants. Similar to [61], by offering online order and delivery services, the restaurant can attract new consumers that the offline restaurant cannot cater to. Therefore, the demand potential in the online restaurant is defined as larger than that of the offline restaurant as ( 1 + ϕ ) α in Equation (6), where ϕ     0 , and ϕ is the additional demand proportion of the online restaurant by offering online order and delivery services. Second, we consider the negative effect of delivery service in Equation (6). Delivery services provide opportunities to expand the market. However, the service requires a fee, and consumers are price-sensitive. Then, similar to [37,61], the delivery cost d negatively affects the food sales q in Equation (6), in addition to the food price p.
The profit π S N of Case SN in Equation (7) is similar to the profit π S F of Case SF in Equation (2). Following a track similar to that of Case SF, we obtain the optimal sales price p S N * in Equation (8) from the FONC of π S N in Equation (7). The solution guarantees the concavity of π S N by satisfying the SOSC, that is, 2   π S N p 2   = 2 β < 0 .
p S N * = 1 + ϕ α + β c + η d 2 β
The solution of Case SF is summarized in Table 2 and Table 3.

3.3. Case SFN: A Single-Brand Offline and Online Restaurant

Case SFN denotes a single-brand restaurant that provides both offline and online services. In general, this type of restaurant was originally offline but later launched online ordering and delivery services. It aims to increase exposure to consumers and, hence, profit by adopting a multi-channel (offline and online) strategy [62]. Sharing the online and offline properties defined in Sections 3.1 and 3.2 as in ref. [29], the demand q S F N and profit π S F N of Case SFN are defined as follows.
q S F N = 1 τ α β p + τ { 1 + ϕ α β p + d } ,
π S F N = q S F N { p c + η } f ,
where τ and ( 1 τ ) are demand potential fractions that favor online and offline services, respectively ( 0     τ     1 ) .
A restaurant that only operates offline can attract new consumers by launching online ordering and delivery services; however, some existing offline consumers tend to switch to online consumers [11]. Equation (9) considers this practice. The first and second parts in Equation (9) are the demands for offline and online services, respectively. By offering both services, the restaurant’s demand is divided into two channels, the proportion of ( 1 τ ) for consumers who favor offline dine-in service and that of τ for online consumers ( 0     τ     1 ) . For the online service, we need to also consider the market expansion by considering the additional demand potential ϕ as in Equation (6) of Case SN, and, hence, the resulting online demand potential becomes τ ( 1 + ϕ ) α in Equation (9). In the latter part of Equation (9), online demand is negatively affected by both the food price p and delivery cost d , whereas offline demand is only affected by p in the former part. The profit π S F N in Equation (10) is similar to that of the other single-brand Cases SF and SN.
Similar to Cases SF, SN, and SFN, we obtain the optimal price p S F N * for Case SFN in Equation (11) from the FONC. It guarantees the profit maximization by satisfying the SOSC, that is, 2   π S F N p 2   = 2 β < 0 .
p S F N * = α + β c + η + τ ( α ϕ β d ) 2 β .

3.4. Case MN: A Multi-Brand Online Restaurant with Multiple Franchise Fees

Consumers tend to want a variety of menus when choosing a restaurant [56], and to meet this desire, multi-brand cloud kitchens can secure large-scale demand based on menu diversity by operating multiple brands [1,58]. In particular, when the market power of brands is not very strong, a multi-brand restaurant strategy can provide an opportunity to boost profits, as observed in the case of Nolboo in Korea [6]. In reality, Nolboo suffered a decrease in revenue and profit until 2020 [63], which is one of the main reasons for devising new franchise strategies, including multi-brand restaurants. Consequently, Nolboo, in Korea, launched its multi-brand restaurant in 2018, and DNY Hospitality in India launched its multi-brand cloud restaurant business in 2014 [64,65]. Additionally, as in the cases of DNY Hospitality and Nolboo, when a franchisee wants to operate multiple brands, the franchisor devises a contract in which the franchisee pays a franchise fee for each brand [4,6]. Case MN reflects this practice in that the restaurant provides various menu items from multiple brands and pays a franchise fee proportional to the number of brands. Operating multiple brands in a single place, restaurants can also have many environmental benefits, such as a reduction in food waste, energy and water, and optimization of inventory management [7,8,9]. Considering the operations of multiple brands, the demand q M N and profit π M N of Case MN are defined as follows.
q M N = i = 1 n q i = i = 1 n { θ α β p + d } = n { θ α β p + d } ,
π M N = q M N p c + n η n f .
In Equation (12), the total demand q M N of the multi-brand restaurant is defined as the multiplication of the average demand of each brand q i and the number of brands n. For q i , we consider the relatively small market size of multiple online brands θ α as in the case of Nolboo in Equation (12) [6]. That is, θ α     α , where the relative average demand potential fraction of each brand θ is in [ 0 ,   1 ] . Most multi-brand restaurants operate as online cloud kitchens with online ordering and delivery services, as seen in the cases of HANGRY in Indonesia [66]; hence, we define that θ already includes the possibility of online market expansion, that is, ϕ in Equations (6) and (9) of Cases SN and SFN. Thus, for example, an expression such as θ α = ( 1 + ϕ ) ε α is possible, where ε   ( ε < 1 ) is the average market size when multiple brands operate offline. There is no reason to operate multi-brand restaurants if the power of each brand is sufficiently strong. We also consider the negative effect of the delivery cost d in Equation (12).
Increasing the number of brands n can provide an opportunity to expand the consumer market, as shown in Equation (12). However, we also consider two additional cost factors for the restaurant because of the operations of multiple brands in Equation (13). As already explained in Case SF, as the number of brands n increases, it is difficult for the restaurant to enjoy economies of scale; consequently, the cost due to inefficient operations increases, as expressed by n η in Equation (13). We also consider the franchise fee to be proportional to the number of brands, as in the cases of DNY Hospitality and Nolboo, that is, n f in Equation (13) [4,6]. The factors in Equations (12) and (13) are not considered in other studies that consider only single-brand restaurant operations.
Unlike the single-brand restaurants in Cases SF, SN, and SFN, there are two decision variables in Case MN: the number of brands n and the average unit food price p . The decision sequence is as follows: (i) the restaurant chooses the number of brands n it operates, and, then, (ii) determines the food price p , given n it has already determined.
Based on the backward induction, we first determine the optimal p * in Equation (15) as a function of the number of brands n from the FONC of π M N with respect to p .
π M N p = n θ α β 2 p + d c η n = 0 ,
p M N * n = θ α + β c + η n d 2 β .
p M N * ( n ) in Equation (15) satisfies the SOSC, that is, 2 π M N p 2 = 2 β n < 0 .
From Equation (15), the relationship between the variables is obtained as follows:
Proposition 1. 
p n > 0 always. q n > 0 if n < θ α β c + d 2 β η ; otherwise, q n < 0 .
Proof of Proposition 1. 
All proofs are available in Appendix A. □
Proposition 1 shows that the decision on the number of brands n impacts the overall decision and, hence, the performance of the restaurant. As n increases, it is optimal for the firm to increase the sales price p because of the increased inefficiencies from dealing with more food items. An increase in n can also initially expand consumer demand q; however, if n is too large, demand will decrease because of an excessively high p . Therefore, there exists an optimal n * from the interaction between p and q that changes with respect to n .
After plugging p M N *   ( n ) into π M N in Equation (13), we obtain the FONC below by differentiating π M N with respect to n .
π M N n p M N * n = θ α β 3 η n + d + c θ α β η n + d + c 4 β f = 0 .
From the FONC in Equation (16), two optimal n are possible. We select n M N * in Equation (17) as a closed-form optimal solution that satisfies the negative-definite property of the SOSC, as in Equation (18).
n M N * = 2 θ α β c + d θ α β ( c + d ) 2 + 12 β f 3 β η ,
2 Π M N n 2 = η ( θ α β c + d ) 2 + 12 β f 2 < 0 .
By applying n M N * to Equation (17) into p M N * (n) in Equation (15), we also obtain the closed form of p M N * as follows:
p M N * = 5 θ α β 5 d c + ( θ α β c + d ) 2 + 12 β f 6 β .
All solutions are summarized in Table 2 and Table 3.

3.5. Case M1: A Multi-Brand Online Restaurant with a Single Franchise Fee

Case M1 is a special variant of Case MN. The difference is that, in Case M1, the restaurant pays a single franchise fee regardless of the number of brands selected, whereas Case MN charges multiple franchise fees proportional to the number of brands. Case MN is considered a general case and Case M1 always looks advantageous owing to its single fee. However, we include an investigation of Case M1 in this study. This is because the multi-brand restaurant is now in its introduction stage; hence, in practice, we often observe franchisors offering special offers, such as in Case M1, to quickly expand their multi-brand franchise chains by allowing for a diverse customer base at a low cost. For example, DNY Hospitality in India and Nolboo in Korea now charge a franchise fee, as in Case MN, but they also charged a single franchise fee similar to Case M1 in their early stages [34,64]. By comparing the performance of both Cases MN and M1 with the single-brand restaurant strategies, we provide comprehensive guidelines for the adoption and operations of the multi-brand restaurant, especially in its recent introduction stage.
The difference in the profit functions of Cases MN and M1 lies only in the franchise fee, which is n f in Case MN in Equation (13) but f in Case M1, as follows:
q M 1 = q M N = n { θ α β p + d } ,
π M 1 = q M 1 p c + n η f .
In Equation (20), the demand of Case M1, q M 1 , is the same as q M N in Equation (12) of Case MN. In the profit function in Equation (21), except f, the other profit factors are the same as those of π M 1 in Equation (13).
As in Case MN, we also find the optimal price from the FONC of π M 1 with respect to p as the function of the number of brands n as follows.
p M 1 * n = θ α + β c + η n d 2 β .
From Equations (20) and (22), we investigate the relationship between variables n , p and q in Case M1, and the results are the same as those in Proposition 1 in Case MN. An increase in n increases p ; however, it first increases q but, then, decreases q if n is too high. From this interaction, we can find the optimal n .
After plugging p M 1 * into π M 1 in Equation (21), the FONC with respect to n is obtained as follows:
π M 1 n p M 1 * n = θ α β 3 η n + d + c θ α β η n + d + c 4 β = 0
Similarly in Case MN, from Equation (23), there can be two solutions of n , but we choose the one in Equation (24), which satisfies the SOSC in Equation (25) and, hence, profit maximization.
n M 1 * = θ α β c d 3 β η ,
2 π M 1 n 2 = η θ α β c + d 2 < 0 .
Applying n M 1 * in Equation (24) into Equation (22), we obtain the optimal p * as a closed-form solution, as follows:
p M 1 * = 2 θ α β 2 d c 3 β .
The solutions are summarized in Table 2 and Table 3 in the next section.

4. Comparison

4.1. Analytical Comparison

We summarize the solutions to Cases SF, SN, SFN, MN, and M1 in Table 2 and Table 3.
Table 2. Optimal price p* and number of brands n*.
Table 2. Optimal price p* and number of brands n*.
Casep*n*
SF α + β ( c + η ) 2 β N/A
SN 1 + ϕ α + β ( c + η d ) 2 β N/A
SFN α + β c + η + τ ( α ϕ β d ) 2 β N/A
MN 5 θ α β 5 d c θ α β d β c 2 + 12 β f 6 β 2 θ α β c + d θ α β d β c 2 + 12 β f 3 β η
M1 2 θ α + β c 2 d 3 β θ α β ( c + d ) 3 β η
Table 3. Optimal demand q* and profit π*.
Table 3. Optimal demand q* and profit π*.
Caseq*π*
SF α β ( c + η ) 2 α α 2 β η + c + β 2 c + η 2 4 β f 4 β
SN 1 + ϕ α β ( c + d + η ) 2 α ϕ + 1 β η + d + c 2 4 β f 4 β
SFN α β ( c + η ) + τ ( α ϕ β d ) 2 α ϕ τ + 1 β η + τ d + c 2 4 β f 4 β
MN θ α β d + c + θ α β d β c 2 + 12 β f × 2 θ α 2 β d + c θ α β d β c 2 + 12 β f 18 β η θ α β d + c ( θ α β d + c 2 + 12 β f 2 × 2 { θ α β c + d } × θ α β d β c + ( θ α β d + c 2 + 12 β f + 24 β f 54 β 2 η
M1 θ α β c + d 2 9 β η θ α β c + d 3 27 β 2 η f
A direct comparison between the optimal prices of the single-brand and multi-brand restaurants in Table 2 yields the following properties:
Proposition 2. 
Comparing the decisions of single-brand and multi-brand cases.
(1)
p S N * > p S F N * > p S F * if α φ > β d , i.e., φ > β d α , α > β d φ , d < α φ β or β < α φ d . Otherwise, p S F * > p S F N * > p S N * .
(2)
p M 1 * > p S F * if θ > 3 4 + β c + 4 β d + 3 β η 4 α , p M 1 * > p S N * if θ > 3 1 + φ 4 + β ( c + d + 3 η ) 4 α , and p M 1 * > p S F N * if θ > 3 ( 1 + τ φ ) 4 + β ( c + 4 d + 3 η 3 τ d ) 4 α . Otherwise, ( p S F * ,   p S N * or p S F N * ) > p M 1 * .
(3)
p S F * > p M N * if θ < 3 5 + β 2 c + 5 d + 3 η 5 α or ( θ > 3 5 + β 2 c + 5 d + 3 η 5 α and f > ( 5 θ 3 α β 2 c + 5 d + 3 η ) 2 ( θ α β c β d ) 2 12 β ). Otherwise, p M N * > p S F * . The relationship between p M N * and ( p S N * or p S F N * ) is similar.
Proof of Proposition 2. 
All proofs are available in Appendix B. □
Proposition 2(1) shows the price comparison results for the three traditional single-brand strategies. Combining online and offline restaurant properties, the multi-channel strategy of Case SFN always yields a moderate sales price between that of Cases SF and SN. When the online restaurant’s high market expansion is expected (a high φ or α ) or the negative effect of delivery cost on consumers is not very severe (a low d or β ), the online restaurant can set the price higher than that of the offline one (i.e., p S N * > p S F * ) . Otherwise, it needs to set the price lower.
Proposition 2(2) indicates that the sales price of the multi-brand restaurant in Case M1 can be set higher than the single-brand restaurant types in Case SF, SN, or SFN when the market bases of its multiple brands θ are very high. However, it needs to be θ > 3 4 at least, as shown in Proposition 2(2)—too high considering the fundamental reason for the multi-brand strategy to overcome the weak market power [6]. Moreover, it is reasonable to also consider a not too high θ in Proposition 2(3). Then, the relationship ( p S F * ,   p S N *   o r   p S F N * ) > p M N * holds. Therefore, considering the results in Propositions 2(2) and 2(3), setting a lower price is optimal when operating a multi-brand restaurant (Case MN or M1) than when operating a single-brand restaurant (Case SF, SN, or SFN).
Then, we compare the solutions of two multi-brand cases as follows.
Proposition 3. 
Comparing Cases MN and M1, n M 1 * > n M N * , p M 1 * > p M N * and q M 1 * > q M N * always.
Proof of Proposition 3. 
All proofs are available in Appendix C. □
The results of Proposition 3 indicate that Case M1 can induce a superior performance compared with Case MN. Case M1 leads to greater consumer demand ( q M 1 * > q M N * ), even at a higher price ( p M 1 * > p M N * ), because it can adopt more brands ( n M 1 * > n M N * ) due to the single franchise fee, regardless of the number of brands. Therefore, by combining more brands, Case M1 also can have environmental advantages. Case MN, with a multiple franchise fee proportional to the number of brands, is a more general case in practice, but there can be some special offers from franchisors in this introduction stage of multi-brand adoption, as DNY Hospitality or Nolboo did before [34,64]. Thus, a restaurant may have the opportunity to enjoy better operations and profit performance. However, profit performance comparison is not easy to investigate analytically owing to mathematical difficulties; hence, we conduct numerical analyses in the next section.

4.2. Basic Numerical Example

In this section, we conduct numerical analyses to determine important managerial implications. This also verifies the results of the propositions and demonstrates the practical relevance of the results. The basic parameter settings are as follows: α = 1000 ,   β = 18 ,   τ = 0.3 ,   ϕ = 0.4 ,   d = 10 ,   c = 15 ,   η = 0.1 ,   f = 300 ,   θ = 0.7 . This parameter setting is not only used to properly obtain the optimal solutions to all cases by satisfying the SOSC but also to properly reflect the recent business situations. By applying the abovementioned parameter values to the equations summarized in Table 2 and Table 3, we obtain the results in Table 4a.
Table 4a confirms the results of Propositions 2 and 3. As in Proposition 2(1), the prices of traditional single-brand restaurants relate as p S N * > p S F N * > p S F * due to the favorable setting for online-ordering cases (Cases SN and SFN), that is,   α ϕ > β d with α = 1000 ,   β = 18 ,   ϕ = 0.4 and d = 10 . If we set α ϕ < β d , for example, with φ = 0.1 , we obtain the opposite result, p S F * > p S F N * > p S N * , as shown in Table 4b. However, we consider the recent situation in which online ordering and delivery services have grown rapidly with changes in consumer preferences [11,12]. Therefore, we will continue the investigations of cases based on the setting of ϕ = 0.4 to be online-favorable (i.e., α ϕ > β d ).
In this recent online-favorable environment in that the positive effect of market expansion surpasses the negative effect of additional delivery cost, Cases SN or SFN can enjoy better market and profit performance ( q S N * > q S F N * > q S F * , and π S N * > π S F N * > π S F * ) than the pure offline restaurant operations of Case SF even with the delivery cost and higher price p * . One could argue that many offline restaurants show better market and profit performance, but they have specific business situations, such as larger consumer bases from brand recognition or food quality. Notably, we compare the restaurant cases on an equal basis with the same parameter settings.
In Table 4a, Cases MN and M1 set food prices lower than Cases SF, SN, and SFN do, as explained in Propositions 2(2) and 2(3). It is reasonable for multi-band restaurants to set lower prices than single-brand restaurants to overcome the lower marker power (i.e., 0 < θ < 1 ). In Table 4a, multi-brand restaurants yield superior market performance compared with single-brand restaurants. That is, ( q M N *   o r   q M 1 * ) > ( q S F * , q S N *   o r   q S F N * ) in Table 4a. Notably, the primary reason for this superior market performance is the adoption of multiple brands, n * of 26.52 and 46.3 in Cases MN and M1, respectively, rather than lower prices. This result also confirms the result of Proposition 3, and Case M1 can yield better environmental performance by combining more brands.
The average demands for each brand in Cases MN and M1 ( q * / n * ) are only 101.13 and 83.33, respectively—much lower than those of the single-brand Case SF, SN, or SFN. The numbers of brand adoption, 26.52 and 46.3, may look too high, but we can find franchisors operating many brands in practice, such as KLC Virtual Restaurants, with 50 brands, and Byte to Bite, with 20 brands [3,33]. Furthermore, as this is the first mathematical study to investigate the effectiveness of multi-brand strategies, we do not limit the value of n*.
Table 4a also shows an interesting result that the multi-brand strategies in Cases MN and M1 do not always guarantee superior profit performance. That is, π _ M 1 ^ * > π S N * > π S F N * > π M N * > π S F * in this numerical example of Table 4a. In addition, as explained in Proposition 3, Case M1 always yields better price, market, and profit performances than Case MN by adopting more brands n*. However, considering that an MN with multiple franchise fees is more common than Case M1 with a single fixed fee, the profit comparison results show that business environmental conditions must be carefully considered when adopting multiple brands. In the next section, we present sensitivity analyses to provide important implications and practical guidelines for these conditions.

4.3. Comparative Static Analyses

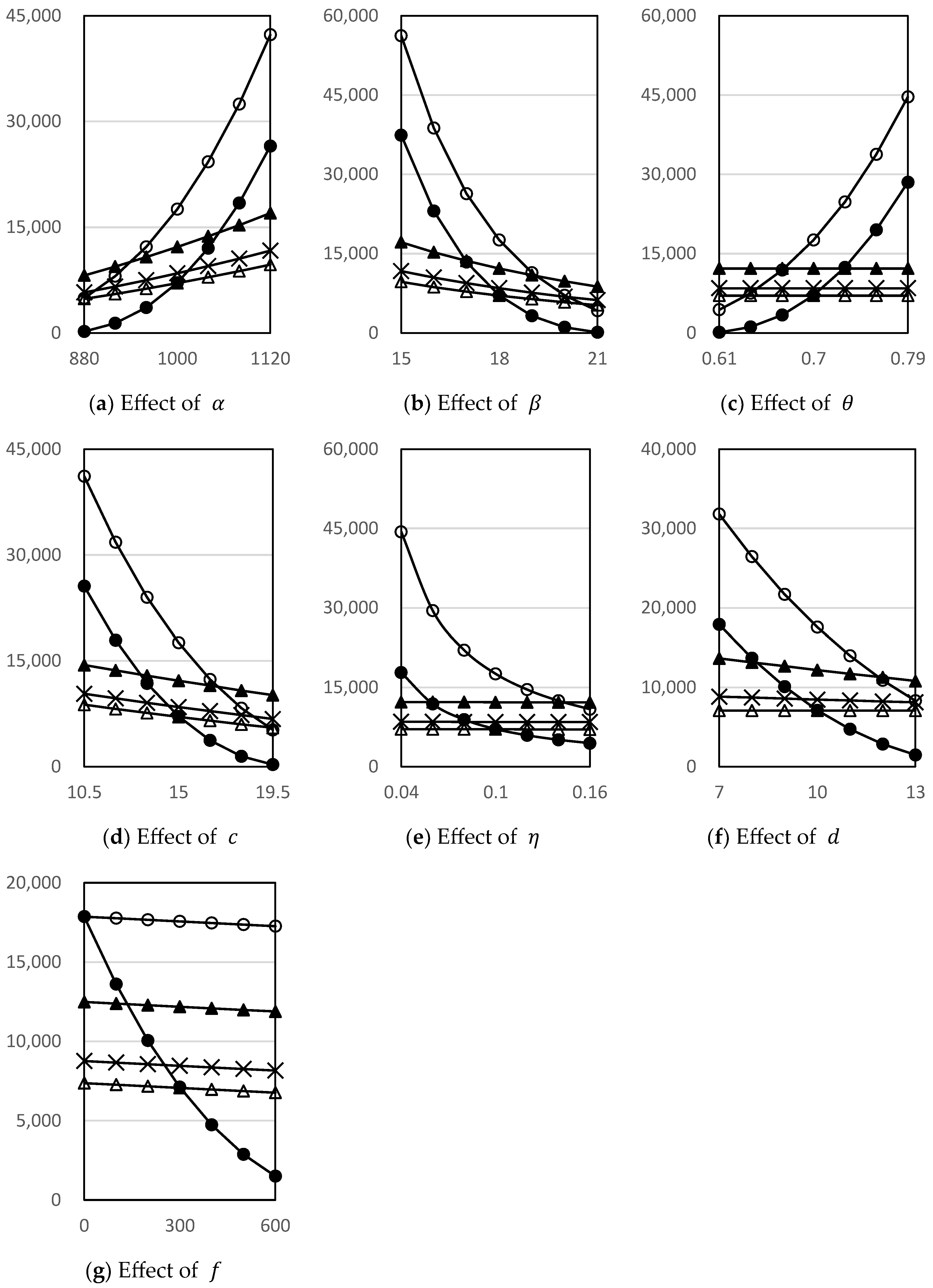
In this section, we investigate how the profit performance of each restaurant strategy changes according to the business environment. We select seven important environmental factors that can be classified into two categories—market and cost factors—and examine their impacts on profits in the ranges below, while the other parameters are set as in the basic numerical setting in Section 4.2. The categories are as follows: (i) market factors: the demand potential α   [ 880 ,     1120 ] , demand sensitivity to price β   [ 15 ,     21 ] , and relative market size of multiple brands θ   [ 0.61 ,     0.79 ] ; and (ii) cost factors: the unit food cost c   [ 10.5 ,     19.5 ] , inefficiency cost η   [ 0.04 ,     0.16 ] , delivery cost d   [ 7 ,     13 ] , and franchise fee f   [ 0 ,     600 ] . The profit equilibrium behaviors are graphically illustrated in Figure 1, and Table 5 summarizes the profit comparison results in Figure 1.
The comparative static analyses shown in Figure 1 and Table 5 confirm the results of the basic numerical example presented in Table 4a. As Table 4a shows, among the single-brand restaurant strategies, the online restaurants of Cases SN and SFN can outperform Case SF with offline-only properties in this recent online-friendly environment. Among the two multi-brand restaurant strategies, due to its fixed single franchise fee, Case M1 always outperforms Case MN. However, the overall comparison results among all single-brand and multi-brand restaurants can differ depending on the market and cost factors, as shown in Figure 1 and Table 5.
Regarding market factors, as shown in Figure 1a, an increase in demand potential α enhances the profit performance of all restaurant cases and impacts the multi-brand strategies of Cases MN and M1 more significantly. Therefore, in Figure 1a and Table 5a, we can observe that a sufficiently large market base (a high α ) is a prerequisite for the successful operations of multi-brand restaurant operations. Otherwise, adopting single-brand restaurants would be better. In Figure 1b, another market characteristic, the market sensitivity to price β , negatively impacts the profits of all cases, and Cases MN and M1 are more seriously impacted by β . Therefore, considering the results in Table 5a,b, the multi-brand strategy is appropriate for a large consumer market that prefers inexpensive food items. Therefore, the analytical results of Propositions 2(2) and 2(3) are reasonable in that the price is set lower in the multi-brand restaurant (Case MN or M1) for this market characteristic than in the single-brand restaurant (Case SF, SN, or SFN). In addition, as argued in Proposition 2, the relatively small market size of each multi-brand (a low θ ) is a fundamental reason for multi-brand strategy. However, as shown in Figure 1c and Table 5c, if θ is too small, it is recommended for the restaurant not to operate multiple brands but to choose a single brand.
Considering cost factors, Figure 1d,e show that the unit costs to make food items ( c and η ) impact Cases MN and M1 more seriously than Cases SN, SF, and SFN. It is difficult to set a high price in Cases MN and M1, as Propositions 2(2) and 2(3) show. Therefore, an increase in costs can lead to a significant margin loss for multi-brand restaurants, especially for Case MN with multiple franchise fees, as shown in Table 5d,e. Figure 1f and Table 5f also show the vulnerability of multi-brand restaurants to delivery cost d . An increase in d affects all delivery restaurants in Cases SN, SFN, MN, and M1, and as can be inferred from Figure 1f, if d is excessively high beyond the range of [10,16] in this study, the profits of Cases SN and M1 may also be devastated. However, its impact is more serious in Case MN, with multiple franchise fees. Finally, an increase in the franchise fee f affects all cases. However, as shown in Figure 1g and Table 5g, Case MN is significantly impacted by f . The multiple franchise fees in Case MN make it difficult to operate a sufficiently large number of brands, as shown in Proposition 3 and Table 4a, especially when f is very high, and this highly negatively impacts the profit of Case MN.

5. Discussion

In this section, we summarize the investigation results in the previous sections and provide important practical implications and guidelines for single- and multi-brand restaurant operations.
Implication 1. 
Comparing the pricing strategies of single-brand restaurants, the online restaurant may set higher prices than the offline one when online orders are expected to be high or when delivery costs do not significantly affect consumers. Otherwise, its price needs to be set lower. It is best to set prices at a mid-range level for the multi-channel online and offline restaurant.
Implication 1 is based on the results of Proposition 2 and Table 4. The COVID-19 pandemic has changed customer preferences, and we have observed a sharp increase in the online food delivery market. In this recent online-favorable environment, it is recommended to set food prices high for online restaurants in comparison with offline restaurants. However, we need to be cautious about the delivery costs, which tend to rise as the number of online restaurants increases. Delivery costs have increased by 33–50 percent in Korea in 2023 compared to those in 2021 [67]. Therefore, it is recommended that online restaurants consider delivery costs when setting food prices because both have serious impacts on consumers’ buying intentions. In the case of offline or multi-channel restaurants, if there are no advantages to having an in-store dining space, such as a large offline consumer base or high brand awareness, prices should be set lower than those of online restaurants.
Implication 2. 
It is recommended to set the food price of multi-brand restaurants lower than the single-brand restaurants.
This implication is based on Proposition 2 and Table 4. One of the fundamental reasons for operating a multi-brand restaurant is its weak brand recognition and market power. Therefore, to overcome its basic weakness and expand the consumer market, food prices need to be lowered in addition to adopting multiple brands. It is recommended that the price be raised to a level similar to that of a single-brand restaurant after the consumer awareness of multiple brands is sufficiently established. Also, note that implications 2 through 5 about the multi-brand restaurant operations cannot be found in any previous single-brand restaurant studies on offline restaurant operations (e.g., [35,36]), multi-channel operations (e.g., [29,37]), and delivery-only online restaurant (e.g., [38,39]).
Implication 3. 
The decision on the number of multiple brands impacts the overall decisions of the multi-brand restaurant. More brands entail higher prices, and more brands do not always guarantee more sales.
Implication 3 is based on the results of Proposition 1. When deciding the number of brands in multi-brand restaurant operations, a careful understanding of decision dynamics is always necessary. More brands can provide opportunities to expand market sales. However, inefficiency problems due to the increase in food items in kitchens must be considered. Such a problem is very serious because multi-brand restaurants need to deal with completely different food brands to alleviate the cannibalization issue, as DNY Hospitality and Nolboo do. Therefore, as the number of brands increases, the price needs to be set higher to maintain profitability, which harms market performance. Most importantly, when considering multi-brand restaurants, a restaurant operator must carefully consider the operational ability of the franchise chain to make the restaurant operation process efficient, regardless of the increase in the number of brands.
Implication 4. 
Multi-brand restaurant operations do not always guarantee superior profit performance. Careful consideration of market and cost factors is necessary when considering the adoption of multi-brand restaurants.
Based on the results in Table 5 and Figure 1, we summarize the market and cost conditions under which either a single-brand or a multi-brand restaurant outperforms (Table 6). The adoption of multi-brand restaurants can guarantee superior profit performance only when internal and external business environmental factors are carefully considered. In short, the multi-brand operations strategy is appropriate for a large consumer market that prefers economical consumption with inexpensive food prices and delivery costs. Therefore, it is important to reduce costs and create a robust operational process that is not seriously affected by an increase in the number of brands and food items. Otherwise, adopting single-brand restaurants would be better.
Implication 5. 
When adopting the multi-brand restaurant model, the single fixed franchise fee regardless of the number of brands can provide a great chance to yield superior environmental and profit performance compared to the multiple franchise fee proportional to the number of brands.
Implication 5 is based on the results of Proposition 3, Table 4 and Table 5, and Figure 1. We can observe in the investigation results that the single fixed franchise fee is advantageous to a restaurant’s environmental and profit performance. In the early stage of multi-brand franchise chains, there can be some promotion opportunities from franchise chains that lower the financial burdens of multi-brand adoption. This provides a great opportunity to enhance the environmental and profit performance by increasing the number of brands and food prices.

6. Concluding Remarks

The COVID-19 pandemic has led to a sharp increase in the online food delivery market, and as competition has become fierce, we now observe new franchise chain strategies, such as multi-brand online restaurants that operate multiple brands in a store. By operating many food items from multiple food brands in a single kitchen, they can relieve menu fatigue and increase customer base and frequency. Moreover, by combining many food brands, they can yield better environmental performance by reducing food waste, energy, water and land use. Therefore, we can now observe many new franchise chains in many countries, such as India, Korea, Canada, the US, Spain, and Kuwait, which allow franchised restaurants to operate multiple brands in a single restaurant. However, it is difficult to find a previous study that has investigated the recently evolving multi-brand restaurant strategy.
This study is one of the first to fill this gap between practice and academia. Specifically, to reflect reality, we introduce five restaurant operations models, including three traditional single-brand and two recent multi-brand restaurants with different franchise fees. By introducing the five models, we complement and contribute to the research on sustainable service operations. In particular, we provide a comprehensive model of restaurant operations, including online, offline, multi-channel, and multi-brand restaurants, which will help future research in relevant studies. We then investigate the performance of the five service operations models in the changing market and cost environments. Through analytical and numerical analyses, we provide new and important guidelines for restaurant operations managers, especially for the selection and sustainable operations of multi-brand and single-brand restaurants. The details of the implications and conditions are presented in Section 5.

Author Contributions

Conceptualization, B.K. and S.H.Y.; methodology, B.K. and S.H.Y.; software, B.K. and S.H.Y.; validation, B.K. and S.H.Y.; formal analysis, B.K. and S.H.Y.; investigation B.K. and S.H.Y.; resources, B.K. and S.H.Y.; writing—original draft preparation, B.K. and S.H.Y.; writing—review and editing, B.K. and S.H.Y.; visualization, B.K. and S.H.Y.; supervision, S.H.Y.; project administration, S.H.Y.; funding acquisition, S.H.Y. All authors have read and agreed to the published version of the manuscript.

Funding

This work was supported by the research fund of Hanyang University (HY-202300000001717).

Institutional Review Board Statement

Not applicable.

Informed Consent Statement

Not applicable.

Data Availability Statement

Data are available from the authors upon reasonable request.

Conflicts of Interest

The authors declare no conflicts of interest.

Appendix A

By plugging p M N * into Equation (12) and differentiating p and q in Equations (15) and (12) with respect to n, we obtain p n = η 2 > 0 and q n = θ α β c + d 2 β η n . These results support Proposition 1.

Appendix B

A direct comparison of the optimal prices summarized in Table 2 yields the following relationships:
p S N p S F = α φ β d 2 β ,   p S N F p S F = τ α φ β d 2 β ,   p S N p S N F = 1 τ α φ β d 2 β ,   p M 1 p S F = 4 θ 3 α β c + 3 η + 4 d 6 β ,   p M 1 p S N = 4 θ 3 1 + φ α β c + d + 3 η 6 β ,   p M 1 p S N F = 4 θ 3 α β c + 3 η + 4 d 3 τ α φ β d 6 β ,   p M N p S F = 5 θ 3 α β 2 c + 3 η + 5 d θ α β c β d 2 + 12 β f 6 β ,   p M N p _ S N = 5 θ 3 1 + φ α β 2 c + 2 d + 3 η θ α β c β d 2 + 12 β f 6 β , and p M N p S N F = 5 θ 3 α β 2 c + 3 η + 5 d 3 τ α φ β d θ α β c β d 2 + 12 β f 6 β .
From the above, we can easily find that the comparison results among p S N , p S F and p S F N depend on the sign of the term, ( α φ β d ) , and the result of Proposition 2(1) is established. The result of Proposition 2(2) is induced from the comparison result between p M 1 and p S F , i.e., s i g n [ p M 1 p S F ] =   s i g n [ ( 4 θ 3 ) α β ( c + 3 η + 4 d ) ] . Similarly, we also obtain the comparison results among p S N , p S F N and p M 1 in Proposition 2(2) from the above comparison equations by rearranging them with respect to θ .
In the comparison between p M N and p S F , the parameter through which we can see the relationship is the fixed franchise fee f , and we can obtain the condition of f if we arrange the numerator part of ( p M N p S F ) with respect to f . This is similar to the comparison results for p S N and p S N F . Therefore, Proposition 2(3) holds.

Appendix C

Direct comparison of Cases MN and M1 yields n M 1 * n M N * = θ α β d β c 2 + 12 β f θ α β c β d 3 β η , p M 1 * p M N * = ( θ α β c β d ) 2 + 12 β f ( θ α β c β d ) 6 β , and q M 1 * q M N * = θ α β c β d 2 + 12 β f ( θ α β c β d 2 + 12 β f ( θ α β c β d ) ) 18 β η . In the numerator parts of comparison equations, ( θ α β c β d ) 2 + 12 β f > ( θ α β c β d ) , and, hence, we obtain the results of Proposition 3.

References

  1. Gofrugal. Multi Brand Cloud Kitchens: Concept, Benefits & How to Manage It? Available online: https://www.gofrugal.com/blog/multi-brand-cloud-kitchens/ (accessed on 2 August 2023).
  2. Deliverect. Byte to Bite. Available online: https://www.deliverect.com/en/customers/byte-to-bite (accessed on 5 April 2024).
  3. KLC Virtual Restaurants. Quality Food Delivered. Available online: https://klcvirtualrestaurants.com/ (accessed on 5 April 2024).
  4. DNY Hospitality. End-to-End Consulting & Scaling Up Food Brands. Available online: https://dnyhospitality.com/ (accessed on 5 April 2024).
  5. Rebel Foods. Franchise with Rebel Foods. Available online: https://www.rebelfoods.com/franchise (accessed on 21 July 2023).
  6. Nolboo. Successful Startup. Available online: https://www.nolboo.co.kr/changup/Sucesschangup (accessed on 21 July 2023).
  7. Growthkitchen. Sustainability in the Culinary World Is Gaining Unprecedented Importance. Available online: https://growthkitchen.co/2024/09/06/sustainability-in-the-culinary-world-is-gaining-unprecedented-importance/ (accessed on 10 September 2024).
  8. GridDuck. Dark Kitchens and Sustainability: What’s the Story? Available online: https://www.gridduck.com/blog/dark-kitchens-sustainability (accessed on 8 August 2024).
  9. Anand, M.S. How Sustainable Cloud Kitchen Brands Can Have a Unique Differentiator in 2023? Available online: https://hospitality.economictimes.indiatimes.com/news/speaking-heads/how-sustainable-cloud-kitchen-brands-can-have-a-unique-differentiator-in-2023/95833946 (accessed on 7 August 2024).
  10. Shaw, N.; Eschenbrenner, B.; Baier, D. Online Shopping Continuance After COVID-19: A comparison of Canada, Germany and The United States. J. Retail. Consum. Serv. 2022, 69, 103100. [Google Scholar] [CrossRef]
  11. Collison, J. The Impact of Online Food Delivery Services on Restaurant Sales; Stanford University: Stanford, CA, USA, 2020. [Google Scholar]
  12. Chenarides, L.; Grebitus, C.; Lusk, J.L.; Printezis, I. Food Consumption Behavior During the COVID-19 Pandemic. Agribusiness 2021, 37, 44–81. [Google Scholar] [CrossRef] [PubMed]
  13. McKinsey & Company. Ordering in: The Rapid Evolution of Food Delivery. Available online: https://www.mckinsey.com/industries/technology-media-and-telecommunications/our-insights/ordering-in-the-rapid-evolution-of-food-delivery (accessed on 2 August 2023).
  14. Gavilan, D.; Balderas-Cejudo, A.; Fernández-Lores, S.; Martinez-Navarro, G. Inovation in Online Food Delivery: Learnings from COVID-19. Int. J. Gastron. Food Sci. 2021, 24, 100330. [Google Scholar] [CrossRef] [PubMed]
  15. AP News. Delivery-Only Restaurant Brands See Pandemic-Fueled Growth. Available online: https://apnews.com/article/coronavirus-pandemic-restaurants-79f4410c93bbee8ef681c217d7b60f97 (accessed on 5 April 2024).
  16. Chatterjee, R.; Singh, A.; Singh, V. Ethical and Sustainable Perceptions on Cloud Kitchen Business-A Study of Consumers and Stakeholders during the Covid-19 Pandemic. Int. J. Hosp. Tour. Syst. 2022, 15, 76–87. [Google Scholar]
  17. Dian, H.F.; Iqbal, M.; Atmojo, M.E. Cloud Kitchen: Strategy for Indonesian Culinary Business (SMEs) Growth During and Post Pandemic Era. Manag. Res. Behav. J. 2021, 1, 41–46. [Google Scholar]
  18. John, K.T. Digital disruption: The hyperlocal delivery and cloud kitchen driven future of food services in post-COVID India. Int. Hosp. Rev. 2021, 37, 161–187. [Google Scholar] [CrossRef]
  19. Upadhye, N.; Sathe, S. Cloud Kitchen-Case Study of Swiggy Cloud Kitchen in Pune. Mukt Shabd. 2020, 6, 107–114. [Google Scholar]
  20. Restaurant Owner. Independent Restaurant Cost to Open Survey. Available online: https://www.restaurantowner.com/public/CTOSurvey-SummaryReport.pdf (accessed on 28 March 2024).
  21. Forbes. 5 Key Reasons to Franchise a Restaurant Concept. Available online: https://www.forbes.com/sites/garyocchiogrosso/2020/12/09/5-key-reasons-to-franchise-a-restaurant-concept/?sh=48a830035309 (accessed on 21 July 2023).
  22. Grubhub for Restaurants. Discover the Benefits of Opening a Restaurant Franchise. Available online: https://get.grubhub.com/blog/restaurant-franchise/ (accessed on 21 March 2024).
  23. Raj, M.; Sundararajan, A.; You, C. How Disrupting a Traditional Channel Reshapes Platform Consumption and Provider Resilience: Evidence from Uber Eats During the COVID-19 Pandemic. SSRN. 2020. Available online: https://papers.ssrn.com/sol3/papers.cfm?abstract_id=3625638 (accessed on 23 October 2024).
  24. Market Research Future. Ghost Kitchen Market Research Report Information by Type (Incubator/Pop Up Kitchen, Commissary/Shared Kitchen and Kitchen Pods), by Food Type (Burger and Sandwich, Pizza and Pasta, Chicken, Seafood and Others), by End Use (Restaurants, Office and Food Service) and by Region (North America, Europe, Asia-Pacific and Rest of the Owrld)-Forecast till 2030. 2023. Available online: https://www.marketresearchfuture.com/reports/ghost-kitchen-market-11417 (accessed on 13 January 2024).
  25. Du, S.; Peng, X.; Nie, T.; Zhu, Y. Multichannel design and pricing in vertically differentiated expert service markets. Manag. Decis. Econ. 2023, 44, 3787–3813. [Google Scholar] [CrossRef]
  26. Khan, M.A. Technological Disruptions in Restaurant Services: Impact of Innovations and Delivery Services. J. Hosp. Tour. Res. 2020, 44, 715–732. [Google Scholar] [CrossRef]
  27. Restaurant Engine. Ultimate Guide to Restaurant Delivery Services–UberEats, GrubHub, PostMates and DoorDash. Available online: https://restaurantengine.com/ultimate-guide-to-restaurant-delivery-services-ubereats-grubhub-postmates-and-doordash/ (accessed on 21 August 2023).
  28. Bloomberg. When Delivery Costs More than the Food You Ordered. Available online: https://www.bloomberg.com/opinion/articles/2023-05-26/when-delivery-fees-cost-more-than-the-food-you-ordered (accessed on 4 March 2024).
  29. Feldman, P.; Frazelle, A.; Swinney, R. Managing Relationships Between Restaurants and Food Delivery Platforms: Conflict, Contracts and Coordination. Manag. Sci. 2022, 69, 812–823. [Google Scholar] [CrossRef]
  30. Cuboh. What Are the Disadvantages of a Ghost Kitchen? Available online: https://www.cuboh.com/blog/what-are-the-disadvantages-of-a-ghost-kitchen (accessed on 21 August 2023).
  31. Enz, C.A. Multibranding strategy: The case of Yum! Brands. Cornell Hotel. Restaur. Adm. Q. 2005, 46, 85–91. [Google Scholar] [CrossRef]
  32. Deliverect. Crawford Collective. Available online: https://www.deliverect.com/en/customers/crawford-collective (accessed on 21 April 2024).
  33. Deliverect. Food Haven. Available online: https://www.deliverect.com/en/customers/food-haven (accessed on 5 April 2024).
  34. DNY Hospitality. Dny Kitchens–Multi-Brand Cloud Kitchen Franchise in INR 10 Lacs in India (No Franchise Fee, No Additional Cost). Available online: https://dnyhospitality.com/blog/dny-kitchens-multi-brand-cloud-kitchen-franchise-in-inr-10-lacs-in-india-no-franchise-fee-no-additional-cost (accessed on 28 April 2024).
  35. Bertsimas, B.; Shioda, R. Restaurant Revenue Management. Oper. Res. 2003, 51, 472–486. [Google Scholar] [CrossRef]
  36. Kimes, S.E.; Thompson, G.M. An evaluation of heuristic methods for determining the best table mix in full-service restaurants. J. Oper. Manag. 2005, 23, 599–617. [Google Scholar] [CrossRef]
  37. Chen, M.; Hu, M.; Wang, J. Food Delivery Service and Restaurant: Friend or Foe? Manag. Sci. 2022, 68, 6539–6551. [Google Scholar] [CrossRef]
  38. Hakim, M.P.; Libera, V.M.D.; Zanetta, L.D.; Nascimento, L.G.P.; Cunha, D.T.D. What is a dark kitchen? A study of consumer’s perceptions of deliver-only restaurants using food delivery apps in Brazil. Food Res. Int. 2022, 161, 111768. [Google Scholar] [CrossRef]
  39. Sanny, L.; Hamada, A.; Prameswari, A.; Setiawan, A. Effects of Social Media Marketing in Cloud Kitchen Towards Online Platform in Indonesia. In Proceedings of the 2022 International Seminar on Application for Technology of Information and Communication (iSemantic), Semarang, Indonesia, 17–18 September 2022; pp. 367–371. [Google Scholar]
  40. Beniwal, T.; Mathur, V.K. Multi-Brand Cloud Kitchens: The Efficient Route. Int. Adv. Res. J. Sci. Eng. Technol. 2021, 8, 551–560. [Google Scholar] [CrossRef]
  41. Sharma, A.J.; Dey, D. ONE STOP KITCHEN: Managing a multi-brand cloud kitchen. Emerald Emerg. Mark. Case Stud. 2021, 11, 1–17. [Google Scholar] [CrossRef]
  42. Thompson, G.M. Optimizing a restaurant’s seating capacity: Use dedicated or combinable tables. Cornell Hotel. Restaur. Adm. Q. 2002, 43, 48–57. [Google Scholar] [CrossRef]
  43. Kimes, S.E.; Thompson, G.M. Restaurant Revenue Management at Chevys: Determining the Best Table Mix. Decis. Sci. 2004, 35, 371–392. [Google Scholar] [CrossRef]
  44. Guerriero, F.; Miglionico, G.; Olivito, F. Strategic and operational decisions in restaurant revenue management. Eur. J. Oper. Res. 2014, 237, 1119–1132. [Google Scholar] [CrossRef]
  45. Kimes, S.E. Restaurant Revenue Management: Implementation at Chevys Arrowhead. Cornell Hotel. Restaur. Adm. Q. 2004, 45, 52–67. [Google Scholar] [CrossRef]
  46. Thompson, G.M. Revenue benefits of reducing dining duration in restaurants. Cornell Hotel. Restaur. Adm. Q. 2009, 50, 96–112. [Google Scholar] [CrossRef]
  47. Carlson, J.; O’Cass, A. Managing web site performance taking account of the contingency role of branding in multi-channel retailing. J. Consum. Mark. 2011, 28, 524–531. [Google Scholar] [CrossRef]
  48. Hahn, K.H.; Kim, K. The effect of offline brand trust and perceived internet confidence on online shopping intention in the integrated multi-channel context. Int. J. Retail Distrib. Manag. 2009, 37, 126–141. [Google Scholar] [CrossRef]
  49. Biyalogorsky, E.; Naik, P. Clicks and Mortar: The Effect of On-line Activities on Off-line Sales. Mark. Lett. 2003, 14, 21–32. [Google Scholar] [CrossRef]
  50. Agnihotri, A. Can Brick-and-Mortar Retailers Successfully Become Multichannel Retailers? J. Mark. Channels 2015, 22, 62–73. [Google Scholar] [CrossRef]
  51. Zhang, P.; He, Y.; Shi, C. Retailer’s channel structure choice: Online channel, offline channel, or dual channels? Int. J. Prod. Econ. 2017, 191, 37–50. [Google Scholar] [CrossRef]
  52. Kobayashi, H.; Matsubayashi, N. The strategic effect of retailers’ in-store advertising services under product variety competition. Manag. Decis. Econ. 2019, 40, 232–242. [Google Scholar] [CrossRef]
  53. Niu, B.; Li, Q.; Mu, Z.; Chen, L.; Ji, P. Platform logistics or self-logistics? Restaurants’ cooperation with online food-delivery platform considering profitability and sustainability. Int. J. Prod. Econ. 2021, 234, 108064. [Google Scholar] [CrossRef]
  54. Guo, Q.; He, L.; He, L. Omnichannel service operations with order-online-and-dine-in-store strategy. Manag. Decis. Econ. 2022, 43, 2311–2325. [Google Scholar] [CrossRef]
  55. Kulshreshtha, K.; Sharma, G. From restaurant to cloud kitchen: Survival of the fittest during COVID-19 An empirical examination. Technol. Forecast. Soc. Chang. 2022, 179, 121629. [Google Scholar] [CrossRef] [PubMed]
  56. Chua, B.L.; Karim, S.; Lee, S.; Han, H. Customer Restaurant Choice: An Empirical Analysis of Restaurant Types and Eating-Out Occasions. Int. J. Environ. Res. Public Health 2020, 17, 6276. [Google Scholar] [CrossRef] [PubMed]
  57. Best POS in Singapore. Multi-Brand Cloud Kitchens–Why Should You Be Investing in One? Available online: https://bestposinsingapore.com/multi-brand-cloud-kitchens-why-should-you-be-investing-in-one/ (accessed on 5 September 2023).
  58. Deaton, A.; Christina, P. Economies of scale, household size and the demand for food. J. Political Econ. 1998, 106, 897–930. [Google Scholar] [CrossRef]
  59. Guo, F.; Zheng, X.; Wang, C.; Zhang, L. Sharing matters: Household and urban economies of scale for a carbon-neutral future. Resour. Conserv. Recycl. 2022, 184, 106410. [Google Scholar] [CrossRef]
  60. Linkedin. Leveraging Data: The Key to Successful Multi-Brand Super Cloud Kitchens. Available online: https://www.linkedin.com/pulse/leveraging-data-key-successful-multi-brand-super-cloud-sawant/ (accessed on 21 August 2023).
  61. Ma, J.; Webb, T.; Schwartz, Z. A blended model of restaurant deliveries, dine-in demand and capacity constraints. Int. J. Hosp. Manag. 2021, 96, 102981. [Google Scholar] [CrossRef]
  62. Venkatesan, R.; Kumar, V.; Ravishanker, N. Multichannel Shopping: Causes and Consequences. J. Mark. 2007, 71, 114–132. [Google Scholar] [CrossRef]
  63. eDaily. The Sale of ‘Bosam-Budae Stew’ at Nolboo Pushed Through … Resulting in the First Loss-Cutting Measure in 10 Years. Available online: https://www.edaily.co.kr/news/read?newsId=02994646629217512&mediaCodeNo=257 (accessed on 21 April 2024).
  64. Distribution Economy. Nolboo Introduces ‘Shop-in-Shop’ Solution. Available online: https://g-enews.com/view.php?ud=201810011914112220c176748603_1 (accessed on 21 April 2024).
  65. DNY Hospitality. In the Hands of Visionaries. Available online: https://dnyhospitality.com/about (accessed on 6 April 2024).
  66. HANGRY! Rumah Dari Brand Kuliner Terdepan. Available online: https://www.ishangry.com/ (accessed on 21 March 2024).
  67. Inside Retail. Korean Consumers and Restaurants Feel the Pinch as Delivery Costs Surge. Available online: https://insideretail.asia/2023/02/20/korean-consumers-and-restaurants-feel-the-pinch-as-delivery-costs-surges/ (accessed on 28 May 2024).
Figure 1. Sensitivity analyses of profits (△: Case SF, : Case SN, ×: Case SFN, : Case M1, ●: Case MN).
Figure 1. Sensitivity analyses of profits (△: Case SF, : Case SN, ×: Case SFN, : Case M1, ●: Case MN).
Sustainability 16 09607 g001
Table 1. Notation summary (: decision variable).
Table 1. Notation summary (: decision variable).
p   average unit sales price of the food item
n   number of brands
q   consumer demand
π   restaurant’s profit
α   demand potential
β   demand sensitivity to price
c   unit cost of the food item
η   unit inefficiency cost
f   franchise fee
d   delivery cost
φ   additional demand proportion for the online restaurant (φ ≥ 0)
τ, 1–τ   market fraction who favors either online or offline orders in Case SFN, respectively (0 ≤ τ ≤ 1)
θ   relative market size of multiple brands in Cases MN and M1 (0 ≤ θ ≤ 1)
Table 4. Basic numerical example.
Table 4. Basic numerical example.
(a) with  φ = 0.4
Case SFCase SNCase SFNCase MNCase M1
Number of brands n * ---26.5246.30
Sales price p * 35.3341.4437.1623.2724.26
Demand q * 364.10474.10397.12682.033858.03
Profit π * 7064.9312,187.278460.477112.7817,561.23
(b) with  φ  = 0.1
Case SFCase SNCase SFN
Number of brands n *
Sales price p * 35.3333.1134.66
Demand q * 364.10324.10352.10
Profit π * 7064.935535.606587.47
Table 5. Profit comparison with respect to parameter changes.
Table 5. Profit comparison with respect to parameter changes.
ParameterProfit Comparison
Market factor(a) Demand potential αLow π S N * > π S F N * > π S F * > π M 1 * > π M N *
High π M 1 * > π M N * > π S N * > π S F N * > π S F *
(b) Demand sensitivity to price βLow π M 1 * > π M N * > π S N * > π S F N * > π S F *
High π S N * > π S F N * > π S F * > π M 1 * > π M N *
(c) Market size of multiple brands θLow π S N * > π S F N * > π S F * > π M 1 * > π M N *
High π M 1 * > π M N * > π S N * > π S F N * > π S F *
Cost factor(d) Unit cost cLow π M 1 * > π M N * > π S N * > π S F N * > π S F *
High π S N * > π S F N * > π S F * > π M 1 * > π M N *
(e) Inefficiency cost ηLow π M 1 * > π M N * > π S N * > π S F N * > π S F *
High π S N * > π M 1 * > π S F N * > π S F * > π M N *
(f) Delivery cost dLow π M 1 * > π M N * > π S N * > π S F N * > π S F *
High π S N * > π M 1 * > π S F N * > π S F * > π M N *
(g) Franchise fee fLow π M 1 * = π M N * > π S N * > π S F N * > π S F *
High π M 1 * > π S N * > π S F N * > π S F * > π M N *
Table 6. Conditions for multi-brand and single-brand strategy adoption.
Table 6. Conditions for multi-brand and single-brand strategy adoption.
Single-Brand StrategyMulti-Brand Strategy
There are relatively few potential consumers
Consumers are highly price-sensitive
Food costs are high
Delivery costs are high
Increasing the menu highly impacts process inefficiency
Franchise fee is high
Relative market power of multiple brands is weak
There are many potential consumers
Consumers are not very price-sensitive
Food costs are low
Delivery costs are low
Increasing the menu does not highly impact process inefficiency
Franchise fee is low
Relative market power of multiple brands is strong
Disclaimer/Publisher’s Note: The statements, opinions and data contained in all publications are solely those of the individual author(s) and contributor(s) and not of MDPI and/or the editor(s). MDPI and/or the editor(s) disclaim responsibility for any injury to people or property resulting from any ideas, methods, instructions or products referred to in the content.

Share and Cite

MDPI and ACS Style

Kang, B.; Yoo, S.H. Sustainable Operations of Online and Offline Restaurants: Focusing on Multi-Brand Restaurants. Sustainability 2024, 16, 9607. https://doi.org/10.3390/su16219607

AMA Style

Kang B, Yoo SH. Sustainable Operations of Online and Offline Restaurants: Focusing on Multi-Brand Restaurants. Sustainability. 2024; 16(21):9607. https://doi.org/10.3390/su16219607

Chicago/Turabian Style

Kang, Byeongmo, and Seung Ho Yoo. 2024. "Sustainable Operations of Online and Offline Restaurants: Focusing on Multi-Brand Restaurants" Sustainability 16, no. 21: 9607. https://doi.org/10.3390/su16219607

APA Style

Kang, B., & Yoo, S. H. (2024). Sustainable Operations of Online and Offline Restaurants: Focusing on Multi-Brand Restaurants. Sustainability, 16(21), 9607. https://doi.org/10.3390/su16219607

Note that from the first issue of 2016, this journal uses article numbers instead of page numbers. See further details here.

Article Metrics

Back to TopTop