Research Progress on the Activity Stimulation of Lithium Slag in Concrete
Abstract
1. Introduction
2. Physical and Chemical Properties of LS
2.1. Chemical Composition of LS
2.2. Mineral Phase Structure of LS
2.3. Pore Structure of LS
3. Evaluation of the Activity of LS in Concrete
4. Excitation Mode of LS
4.1. Physical Excitation
4.1.1. Mechanical Grinding
4.1.2. Thermal Activation
4.1.3. Comparative Analysis of Physical Excitation Methods
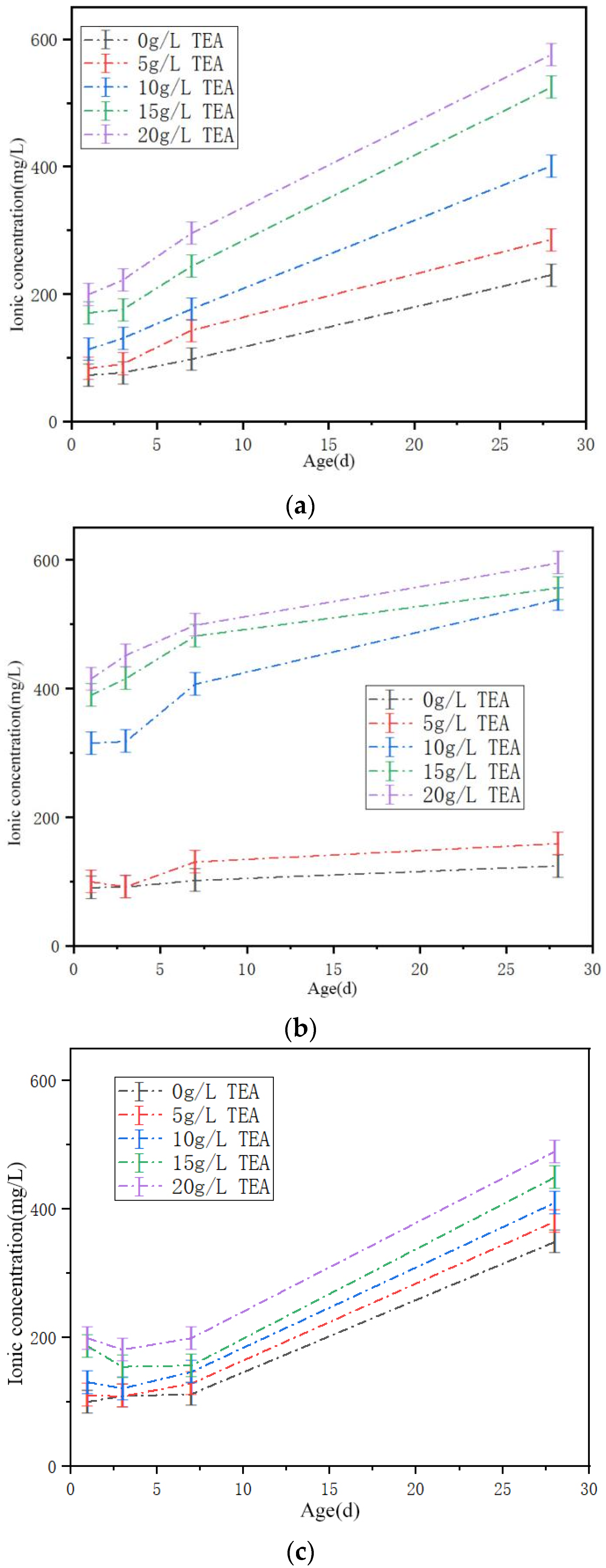
4.2. Chemical Excitation
4.2.1. Alkali Excitation
4.2.2. Organic Compound Excitation
4.2.3. Comparison of Different Chemical Activation Methods
4.3. Discussion and Analysis of LS Excitation Methods
5. Conclusions
- The influence of LS on concrete is primarily manifested in three areas: mechanical properties, pore structure, and slurry fluidity. The abundant silicon and aluminum ions found in LS promote the formation of N(C)A-S-H gels. Moreover, the optimal inclusion of LS can enhance the pore structure of concrete, contributing to its increased density. However, the adsorption characteristics of LS can diminish the slurry fluidity, which should be considered during the transportation of LS-containing mixtures. Furthermore, in their unactivated state, SiO2 and Al2O3 in LS are present in the crystalline form. The excessive addition of LS can elevate the SO42− concentration within the mix, potentially leading to cracking in the concrete. Therefore, it is imperative to activate LS to fully harness its benefits while mitigating possible adverse effects.
- The primary methods for enhancing the reactivity of LS include physical and chemical activation. Physical activation increases the specific surface area of LS, thereby facilitating the chemical reactions of Al3+ and Si4+ within the slag. However, its activation strength is generally weaker than that of chemical activation, which results in a limited improvement in the concrete strength. In contrast, chemical activation creates an alkaline environment conducive to the hydration reactions of concrete, promoting the dissolution of Al3+ and Si4+ contained in LS and leading to the generation of a larger quantity of N(C)A-S-H gel, thereby enhancing the mechanical properties of the concrete. Nonetheless, each activation approach has its limitations: the effectiveness of physical activation is relatively low, whereas the reactivity associated with chemical activation can be unstable.
- The integration of physical and chemical activation demonstrates that physical activation can enhance the specific surface area of LS, thereby promoting the interaction between chemical activators and the slag while accelerating its hydration rate. This enhancement enables a higher proportion of LS to be incorporated into concrete. Simultaneously, chemical activation effectively addresses the limitations associated with physical activation, leading to the improved mechanical properties of the concrete. Employing multiple chemical activators in a composite activation strategy not only compensates for the deficiencies of individual activators by providing various functionalities to LS concrete but also assists in managing potentially harmful elements and substances contained within the LS.
- Current research indicates that the investigation of LS activation methods is still in the early stages, primarily focusing on singular activation and basic composite activation. There remains a lack of comprehensive understanding regarding the mechanisms through which these activation methods collectively influence the properties of LS and mitigate its adverse effects on concrete. To overcome the limitations inherent in singular activation methods, researchers should explore optimal activators and the interactions among various activation techniques, tailored to the physicochemical properties of LS. From a long-term perspective, the synergistic application of physical and chemical activation, in conjunction with the use of multiple activators, will promote the large-scale utilization of LS in concrete.
Author Contributions
Funding
Acknowledgments
Conflicts of Interest
References
- Wang, C.; Chen, X.; Peng, S.; Wang, C.; Wang, N.; Wang, J.; Qi, X.; Hong, Q.; Liu, J.; Zhang, W.; et al. Recent advances in lithium-ion batteries and their applications towards aerospace. J. Aeronaut. Mater. 2021, 41, 83–95. [Google Scholar] [CrossRef]
- Tian, J.; Li, T.; Wang, M.; Zhao, H.; Shi, J. Research progress on extraction process of lithium from lepidolite. J. Hubei Univ. Nat. Sci. 2020, 42, 56–60. [Google Scholar] [CrossRef]
- Liu, D.; Ma, P.; Wu, X.; Chen, L.; Zhou, K.; Tan, X. Research and application of high performance lithium slag concrete. China Concr. Cem. Prod. 2018, 01, 96–100. [Google Scholar] [CrossRef]
- Yiren, W.; Dongmin, W.; Yong, C.; Dapeng, Z.; Ze, L. Micro-morphology and phase composition of lithium slag from lithium carbonate production by sulphuric acid process. Constr. Build. Mater. 2019, 203, 304–313. [Google Scholar] [CrossRef]
- Li, J.; Lian, P.; Huang, S.; Huang, L. Recycling of lithium slag extracted from lithium mica by preparing white Portland cement. J. Environ. Manag. 2020, 265, 110551. [Google Scholar] [CrossRef]
- Ali Shah, S.F.; Chen, B.; Ahmad, M.R.; Haque, M.A. Development of Cleaner One-part geopolymer from lithium slag. J. Clean. Prod. 2021, 291, 125241. [Google Scholar] [CrossRef]
- Hao, H.; Liu, Z.; Zhao, F.; Geng, Y.; Sarkis, J. Material flow analysis of lithium in China. Resour. Policy 2017, 51, 100–106. [Google Scholar] [CrossRef]
- Luo, Q.; Liu, Y.; Dong, B.; Ren, J.; He, Y.; Wu, K.; Wang, Y. Lithium slag-based geopolymer synthesized with hybrid solid activators. Constr. Build. Mater. 2023, 365, 130070. [Google Scholar] [CrossRef]
- Ji, K.; Zeng, L.; Hu, B. Study on the proportion of lithium slag composite admixture. Jiangxi Build. Mater. 2021, 13–14. [Google Scholar] [CrossRef]
- He, Y.; Zhang, Q.; Chen, Q.; Bian, J.; Qi, C.; Kang, Q.; Feng, Y. Mechanical and environmental characteristics of cemented paste backfill containing lithium slag-blended binder. Constr. Build. Mater. 2021, 271, 121567. [Google Scholar] [CrossRef]
- Zhou, M.; Yan, J.; Fan, J.; Xu, Y.; Lu, Y.; Duan, P.; Zhu, Y.; Zhang, Z.; Lu, Z. Insight to workability, compressive strength and microstructure of lithium slag-steel slag based cement under standard condition. J. Build. Eng. 2023, 75, 107076. [Google Scholar] [CrossRef]
- Jianzhuang, X.; Jianyu, S.; Meiyan, B.; Qi, G.; Yuching, W. Reuse of construction spoil in China: Current status and future opportunities. J. Clean. Prod. 2020, 290, 125742. [Google Scholar]
- Liu, C.; Lu, J. Research progress on physical and chemical properties and resource utilization of lithium slag. Ind. Miner. Process. 2023, 52, 56–64. [Google Scholar]
- Zhang, H.; Wen, J.; Tong, H.; Wang, Y. Resource reuse status and prospect of lithium tailings. Ceramics 2021, 03, 46–49. [Google Scholar] [CrossRef]
- Karrech, A.; Dong, M.; Elchalakani, M.; Shahin, M.A. Sustainable geopolymer using lithium concentrate residues. Constr. Build. Mater. 2019, 228, 116740. [Google Scholar] [CrossRef]
- He, Z.; Du, S.; Chen, D. Microstructure of ultra high performance concrete containing lithium slag. J. Hazard. Mater. 2018, 353, 35–43. [Google Scholar] [CrossRef]
- Zhai, M.; Zhao, J.; Wang, D.; Wang, Y.; Wang, Q. Hydration properties and kinetic characteristics of blended cement containing lithium slag powder. J. Build. Eng. 2021, 39, 102287. [Google Scholar] [CrossRef]
- Zhang, T.; Ma, B.; Tan, H.; Liu, X.; Chen, P.; Luo, Z. Effect of TIPA on mechanical properties and hydration properties of cement-lithium slag system. J. Environ. Manag. 2020, 276, 111274. [Google Scholar] [CrossRef]
- He, Y.; Chen, Q.; Qi, C.; Zhang, Q.; Xiao, C. Lithium slag and fly ash-based binder for cemented fine tailings backfill. J. Environ. Manag. 2019, 248, 109282. [Google Scholar] [CrossRef]
- Jingwei, Y.; Zhenming, X.; Baixi, C.; Zhijun, J.; Zhiqun, T.; Jianzhuang, X. Multi-scale experimental studies on mechanical properties of three-dimensional porous graphene cementitious composite. Cem. Concr. Compos. 2024, 147, 105412. [Google Scholar]
- Lv, Z.; He, B.; Han, G.; Mi, H.; Wang, C.; Chen, X. Influence of lithium slag content on properties of cement based composites. Sci. Technol. Eng. 2021, 21, 7313–7318. [Google Scholar]
- Chen, Z.; Su, X.; Yang, Z.; Xiao, H. Research status of properties and utilization of lepidolite lithium slag. Bull. Chin. Ceram. Soc. 2021, 40, 877–882. [Google Scholar] [CrossRef]
- Rahman, S.A.; Shaikh, F.U.A.; Sarker, P.K. A comprehensive review of properties of concrete containing lithium refinery residue as partial replacement of cement. Constr. Build. Mater. 2022, 328, 127053. [Google Scholar] [CrossRef]
- Jingwei, Y.; Junzhou, H.; Jianzhuang, X. Test and theoretical prediction of chloride ion diffusion in recycled fine aggregate mortar under uniaxial compression. Constr. Build. Mater. 2022, 321, 126384. [Google Scholar]
- Javed, U.; Shaikh, F.U.A.; Sarker, P.K. Thermal stability and strength degradation of lithium slag geopolymer containing fly ash and silica fume. Constr. Build. Mater. 2024, 425, 135976. [Google Scholar] [CrossRef]
- Zhang, S.; Zhang, Y.; Zhang, J.; Li, Y. Compressive Strength and Resistance to Sulphate Attack of Ground Granulated Blast Furnace Slag, Lithium Slag, and Steel Slag Alkali-Activated Materials. Buildings 2024, 14, 2320. [Google Scholar] [CrossRef]
- Zhong, W.; Wu, C.; Ai, L.; Wang, L.; Zhu, D. Effects of modified multi-walled carbon nanotubes and PVA fibers on mechanical properties and microstructure of lithium slag base geopolymer. Constr. Build. Mater. 2024, 438, 137237. [Google Scholar] [CrossRef]
- Zhai, J.; Chen, P.; Long, J.; Fan, C.; Chen, Z.; Sun, W. Recent advances on beneficial management of lithium refinery residue in China. Miner. Eng. 2024, 208, 108586. [Google Scholar] [CrossRef]
- He, Z.-h.; Li, L.-y.; Du, S.-g. Mechanical properties, drying shrinkage, and creep of concrete containing lithium slag. Constr. Build. Mater. 2017, 147, 296–304. [Google Scholar] [CrossRef]
- Wang, J.; Han, L.; Liu, Z.; Wang, D. Setting controlling of lithium slag-based geopolymer by activator and sodium tetraborate as a retarder and its effects on mortar properties. Cem. Concr. Compos. 2020, 110, 103598. [Google Scholar] [CrossRef]
- Wang, H.; Liu, X.; Zhang, Z. Pozzolanic activity evaluation methods of solid waste: A review. J. Clean. Prod. 2023, 402, 136783. [Google Scholar] [CrossRef]
- Zhou, J.; Ai, X.; Shi, J.; Deng, T.; Fu, Y. Research progress of lithium extraction technology and resource utilization of lithium slag from lithium ore. Energy Res. Manag. 2022, 14, 71–77. [Google Scholar] [CrossRef]
- Yan, P.; Han, J. Early-age hydrates and paste structure of complex binders. J. Build. Mater. 2004, 02, 202–206. [Google Scholar] [CrossRef]
- Chen, Y.; Tian, Q.; Chen, B.; Shi, X.; Liao, T. Preparation of lithium carbonate from spodumene by a sodium carbonate autoclave process. Hydrometallurgy 2011, 109, 43–46. [Google Scholar] [CrossRef]
- Duan, Y.; Xiang, C.; Wang, Y.; Wang, W.; Xia, F.; Cheng, L. Research and application of lithium slag as cement mixing material. China Cem. 2022, 07, 69–71. [Google Scholar] [CrossRef]
- Shi, Q.; Huang, S.; Liang, J.; Cai, H. Research on the Influence of Different Kinds of Lithium Slag Powder on Concrete Performance. Jiangxi Build. Mater. 2020, S1, 31–33. [Google Scholar] [CrossRef]
- Wu, F.; Wang, G.; Shi, K.; Hao, J.; Zhai, C. Comprehensive utilization of lithium slag. Fly Ash Compr. Util. 2012, 3, 46–50. [Google Scholar] [CrossRef]
- Chen, D.; Hu, X.; Shi, L.; Cui, Q.; Wang, H.; Yao, H. Synthesis and characterization of zeolite X from lithium slag. Appl. Clay Sci. 2012, 59–60, 148–151. [Google Scholar] [CrossRef]
- He, Y.; Liu, S.; Hooton, R.D.; Zhang, X.; He, S. Effects of TEA on rheological property and hydration performance of lithium slag-cement composite binder. Constr. Build. Mater. 2022, 318, 125757. [Google Scholar] [CrossRef]
- Gu, X.; Wang, H.; Zhu, Z.; Liu, J.; Xu, X.; Wang, Q. Synergistic effect and mechanism of lithium slag on mechanical properties and microstructure of steel slag-cement system. Constr. Build. Mater. 2023, 396, 131768. [Google Scholar] [CrossRef]
- Li, B.; You, N.; Cao, R.; Huo, B.; Chen, C.; Zhang, Y. Composition of lithium slag powder and its physical and chemical reaction characteristics in cement paste. Mater. Rep. 2019, 34, 10046–10051. [Google Scholar] [CrossRef]
- Zheng, D.-D.; Ji, T.; Wang, C.-Q.; Sun, C.-J.; Lin, X.-J.; Hossain, K.M.A. Effect of the combination of fly ash and silica fume on water resistance of Magnesium–Potassium Phosphate Cement. Constr. Build. Mater. 2016, 106, 415–421. [Google Scholar] [CrossRef]
- Wu, F.; Wang, X.; Chen, L.; Shi, K.; Zhang, K. Activity evaluation and pore distribution of lithium slag concrete under alkali-activated. Water Resour. Power 2016, 34, 119–122. [Google Scholar]
- Luo, X.; Huang, X.; Liu, Y.; Tao, J.; Xiao, S.; Peng, B. Performance characterization and optimization of cement-lithium powder-grain slag composite cementitious materials. Constr. Build. Mater. 2023, 409, 133851. [Google Scholar] [CrossRef]
- Zhai, Y.; Miao, M.; Xiao, L. Effect of lithium slag fineness on rheological properties of cement paste mixed with superplasticizers. Mater. Rep. 2020, 34, 18056–18059. [Google Scholar] [CrossRef]
- He, Y.; Zhang, G.; He, S.; Liu, S.; Jiang, M. Effect of C-S-H-PCE and TEA on performances of lithium slag-cement binder. J. Build. Eng. 2023, 78, 107659. [Google Scholar] [CrossRef]
- Li, B.; Cao, R.; You, N.; Chen, C.; Zhang, Y. Products and properties of steam cured cement mortar containing lithium slag under partial immersion in sulfate solution. Constr. Build. Mater. 2019, 220, 596–606. [Google Scholar] [CrossRef]
- Tan, H.; Li, M.; He, X.; Su, Y.; Zhang, J.; Pan, H.; Yang, J.; Wang, Y. Preparation for micro-lithium slag via wet grinding and its application as accelerator in Portland cement. J. Clean. Prod. 2020, 250, 119528. [Google Scholar] [CrossRef]
- Tan, H.; Li, M.; He, X.; Su, Y.; Yang, J.; Zhao, H. Effect of wet grinded lithium slag on compressive strength and hydration of sulphoaluminate cement system. Constr. Build. Mater. 2021, 267, 120465. [Google Scholar] [CrossRef]
- Zhang, Y.; Zhang, L.; Wang, Q.; Han, D.; Li, Z. Iron ore tailings, phosphate slags, and lithium slags as ternary supplementary cementitious materials for concrete: Study on compression strength and microstructure. Mater. Today Commun. 2023, 36, 106644. [Google Scholar] [CrossRef]
- Li, M.; He, Y.; Jiang, M.; Liu, S.; Shen, J. Study on hydration properties of calcificated and thermal activated lithium slag based cement. Non-Met. Mines 2022, 45, 90–93. [Google Scholar] [CrossRef]
- Javed, U.; Shaikh, F.U.A.; Sarker, P.K. Microstructural investigation of lithium slag geopolymer pastes containing silica fume and fly ash as additive chemical modifiers. Cem. Concr. Compos. 2022, 134, 104736. [Google Scholar] [CrossRef]
- Wang, Y.; Wang, D.; Zhao, J.; Zhai, M. Pozzolanic reactivity of lithium slag-CaO cementitious system. Bull. Chin. Ceram. Soc. 2020, 39, 2501–2507. [Google Scholar] [CrossRef]
- Wu, J. Experimental research on high calcium CFB desulfurization ash as raw material and admixture of sulphoaluminate cement. Zhejiang University, 2021.
- Liu, Z.; Wang, J.; Jiang, Q.; Cheng, G.; Li, L.; Kang, Y.; Wang, D. A green route to sustainable alkali-activated materials by heat and chemical activation of lithium slag. J. Clean. Prod. 2019, 225, 1184–1193. [Google Scholar] [CrossRef]
- Yang, B.; Zhang, Y.; Zhang, W.; Sun, H.; Wang, Q.; Han, D. Recycling lithium slag into eco-friendly ultra-high performance concrete: Hydration process, microstructure development, and environmental benefits. J. Build. Eng. 2024, 91, 109563. [Google Scholar] [CrossRef]
- Rahman, S.M.A.; Dodd, A.; Khair, S.; Shaikh, F.U.A.; Sarker, P.K.; Hosan, A. Assessment of lithium slag as a supplementary cementitious material: Pozzolanic activity and microstructure development. Cem. Concr. Compos. 2023, 143, 105262. [Google Scholar] [CrossRef]
- Dong, P.; Ahmad, M.R.; Chen, B.; Munir, M.J.; Saleem Kazmi, S.M. Preparation and study of magnesium ammonium phosphate cement from waste lithium slag. J. Clean. Prod. 2021, 316, 128371. [Google Scholar] [CrossRef]
- Wang, S.; Gu, X.; Liu, J.; Zhu, Z.; Wang, H.; Ge, X.; Hu, Z.; Xu, X.; Nehdi, M.L. Assessment of lithium slag as a supplementary siliceous material in autoclaved aerated concrete: Physical properties and hydration characteristics. Constr. Build. Mater. 2024, 442, 137621. [Google Scholar] [CrossRef]
- Tan, H.; Zhang, X.; He, X.; Guo, Y.; Deng, X.; Su, Y.; Yang, J.; Wang, Y. Utilization of lithium slag by wet-grinding process to improve the early strength of sulphoaluminate cement paste. J. Clean. Prod. 2018, 205, 536–551. [Google Scholar] [CrossRef]
- Hu, P.; Zhu, A.; Liang, J. Experimental study on influence of grinding time and lithium residue on mechanical properties of mortar. Concrete 2023, 8, 138–141+147. [Google Scholar] [CrossRef]
- Chen, P. Research on Silicate Aluminum Slag Containing Modified Lithium Concrete. Master’s Thesis, Chongqing University, Shapingba, China, 2007. [Google Scholar]
- Rieger, D.; Kovářík, T.; Říha, J.; Medlín, R.; Novotný, P.; Bělský, P.; Kadlec, J.; Holba, P. Effect of thermal treatment on reactivity and mechanical properties of alkali activated shale–slag binder. Constr. Build. Mater. 2015, 83, 26–33. [Google Scholar] [CrossRef]
- Wang, Y.; Wang, D.; Zheng, Y.; Hua, K.; Liu, J. Thermal activation mechanism and activity evaluation of lithium slag: Insights from simulated hydration. Constr. Build. Mater. 2024, 411, 134615. [Google Scholar] [CrossRef]
- He, Y.; Liu, S.; Ning, J.; Zhang, Y.; Kang, J.; Chen, J.; Liang, C. Study on the mechanical strength and hydration properties of thermal activated lithium slag-cement mortar. Non-Met. Mines 2020, 43, 99–102. [Google Scholar] [CrossRef]
- Javed, U.; Uddin Ahmed Shaikh, F.; Kumar Sarker, P. Microstructural investigation of thermo-mechanically processed lithium slag for geopolymer precursor using various characterization techniques. Constr. Build. Mater. 2022, 342, 127952. [Google Scholar] [CrossRef]
- He, Y.; Kang, Q.; Lan, M.; Zhang, S. Research on mechanical characteristics of the activated lithium slag-based cemented material for fine tailings backfill. J. Univ. S. China Sci. Technol. 2022, 36, 32–38. [Google Scholar] [CrossRef]
- Zhang, Y.; Yang, B.; Gu, X.; Han, D.; Wang, Q. Improving the performance of ultra-high performance concrete containing lithium slag by incorporating limestone powder. J. Build. Eng. 2023, 72, 106610. [Google Scholar] [CrossRef]
- Huo, Y.; Huang, J.; Lu, D.; Han, X.; Sun, H.; Liu, T.; Wang, J.; Wang, F.; Tan, P.; Wang, M.; et al. Durability of alkali-activated slag concrete incorporating silica fume and rice husk ash. J. Build. Eng. 2023, 78, 107637. [Google Scholar] [CrossRef]
- Li, J.; Wang, S.; Zhong, J.; Xin, Y.; Lv, X.; Zeng, L.; Zeng, G. Properties and microstructure development of alkali—Activated coal bottom ash and titanium—Extraction tailing slag binder. Constr. Build. Mater. 2023, 403, 133087. [Google Scholar] [CrossRef]
- Kim, M.J.; Ishida, T.; Cho, W.J. Characteristics of micro structure and strength development of alkali activated GGBS-FNS hybrid cement. Constr. Build. Mater. 2023, 408, 133773. [Google Scholar] [CrossRef]
- Aiken, T.A.; Kwasny, J.; Sha, W.; Tong, K.T. Mechanical and durability properties of alkali-activated fly ash concrete with increasing slag content. Constr. Build. Mater. 2021, 301, 124330. [Google Scholar] [CrossRef]
- Wu, F.; Dong, S.; Gong, J.; Shi, K.; Chen, L.; Wang, X. Enhancement effect on mechanical properties of lithium slag concrete under alkali excited. Water Resour. Power 2016, 34, 131–134+151. [Google Scholar]
- Liu, Z.; Wei, J.; Cheng, Y.; Wu, J. Preparation of lithium slag-cement based composite alkali activated cementitious material. Jiangxi Build. Mater. 2020, S1, 61–66. [Google Scholar] [CrossRef]
- Cao, R.; Li, B.; Jia, Z.; Zhang, S.; Zhang, Y. Leaching characteristics and reaction products of lithium slag in alkali-hydrothermal environment. J. Build. Mater. 2023, 26, 163–171. [Google Scholar] [CrossRef]
- Liang, G.; Ni, D.; Li, H.; Dong, B.; Yang, Z. Synergistic effect of EVA, TEA and C-S-Hs-PCE on the hydration process and mechanical properties of Portland cement paste at early age. Constr. Build. Mater. 2021, 272, 121891. [Google Scholar] [CrossRef]
- Luan, C.; Wang, J.; Zhou, Z. Synergic effect of triethanolamine and C-S-H seeding on early hydration of the limestone calcined clay cement in UHPC. Constr. Build. Mater. 2023, 400, 132675. [Google Scholar] [CrossRef]
- Aiad, I.; Mohammed, A.A.; Abo-El-Enein, S.A. Rheological properties of cement pastes admixed with some alkanolamines. Cem. Concr. Res. 2003, 33, 9–13. [Google Scholar] [CrossRef]
- Wang, Y.-T.; Zhao, X.; Cao, P.-Y.; Zhang, Z.-Y.; Liu, J.-X. Effect of triethanolamine on the initial setting time and hydration behavior of BOFS—Cement materials. J. Build. Eng. 2023, 78, 107751. [Google Scholar] [CrossRef]
- Yao, Z.; Wu, Y.; Chu, Y.; Bai, X.; He, S.; He, Y. Influence of chemical admixture on cement hydration properties. Jiangxi Build. Mater. 2020, 10, 33–34. [Google Scholar] [CrossRef]
- Wang, Y.; He, Y.; He, S. Influence of triethanolamine on mechanical strength and hydration properties of lithium slag composite binder. New Build. Mater. 2020, 47, 97–102. [Google Scholar] [CrossRef]
- He, Y.; Ding, H.; Chen, J.; Zhang, G.; You, C.; Gao, Z. Synergistic effect of C-S-H-PCE and TEA on the hydration properties of lithium slag-cement composite binder. Non-Met. Mines 2020, 46, 98–101. [Google Scholar] [CrossRef]
- Huang, K.; He, Y.; Ling, F.; Liu, Z.; Cheng, W.; Xu, B.; Gao, Z.; Shi, P. Synergistic effect of C-S-H-PCE and Al2(SO4)3 on the hydration properties of lithium slag-cement composite binder. Non-Met. Mines 2023, 46, 103–106. [Google Scholar] [CrossRef]














| Lithium Extraction Processes | SiO2 | Al2O3 | Fe2O3 | Quantity Contained% | Na2O | K2O | MgO | |
|---|---|---|---|---|---|---|---|---|
| CaO | SO3 | |||||||
| Sulfuric acid method | 57.68 | 15.63 | 0.80 | 3.63 | 4.48 | — | — | 0.20 |
| Sulfate method | 45.50 | 17.59 | 1.45 | 2.78 | 3.87 | 1.79 | 13.64 | 2.71 |
| Limestone method | 23.46 | 9.12 | 1.26 | 54.58 | — | 0.15 | 0.11 | 0.13 |
| Pressure cooking | 47.62 | 21.56 | 0.48 | 2.02 | 0.03 | 10.68 | 3.05 | 0.12 |
| Samples | Hydrated Calcium Silicate/Polycarboxylic Acid /wt.% | Triethanolamine /wt.% | Compressive Strength/MPa | |||
|---|---|---|---|---|---|---|
| 12 h | 1 d | 3 d | 28 d | |||
| S0 | 0 | 0 | 6.2 | 8.5 | 17.2 | 43.5 |
| S1 | 1 | 0 | 7.9 | 9.8 | 19.9 | 45.6 |
| S2 | 2 | 0 | 8.5 | 11.2 | 21.6 | 46.6 |
| S0-0.1 | 0 | 0.1 | 6.5 | 9.0 | 18.6 | 44.8 |
| S0-0.5 | 0 | 0.5 | 6.2 | 8.9 | 18.8 | 45.1 |
| S1-0.1 | 1 | 0.1 | 8.9 | 13.2 | 21.5 | 46.3 |
| S1-0.5 | 1 | 0.5 | 10.9 | 13.9 | 22.1 | 49.8 |
| S2-0.1 | 2 | 0.1 | 11.5 | 15.2 | 25.9 | 49.8 |
| S2-0.5 | 2 | 0.5 | 12.9 | 18.0 | 28.2 | 50.2 |
Disclaimer/Publisher’s Note: The statements, opinions and data contained in all publications are solely those of the individual author(s) and contributor(s) and not of MDPI and/or the editor(s). MDPI and/or the editor(s) disclaim responsibility for any injury to people or property resulting from any ideas, methods, instructions or products referred to in the content. |
© 2024 by the authors. Licensee MDPI, Basel, Switzerland. This article is an open access article distributed under the terms and conditions of the Creative Commons Attribution (CC BY) license (https://creativecommons.org/licenses/by/4.0/).
Share and Cite
Ke, Y.; Li, J.; Yan, X.; Xiong, Z. Research Progress on the Activity Stimulation of Lithium Slag in Concrete. Sustainability 2024, 16, 9549. https://doi.org/10.3390/su16219549
Ke Y, Li J, Yan X, Xiong Z. Research Progress on the Activity Stimulation of Lithium Slag in Concrete. Sustainability. 2024; 16(21):9549. https://doi.org/10.3390/su16219549
Chicago/Turabian StyleKe, Yuxian, Jingyi Li, Xinyi Yan, and Zhipeng Xiong. 2024. "Research Progress on the Activity Stimulation of Lithium Slag in Concrete" Sustainability 16, no. 21: 9549. https://doi.org/10.3390/su16219549
APA StyleKe, Y., Li, J., Yan, X., & Xiong, Z. (2024). Research Progress on the Activity Stimulation of Lithium Slag in Concrete. Sustainability, 16(21), 9549. https://doi.org/10.3390/su16219549
