A Site-Specific Wind Energy Potential Analysis Based on Wind Probability Distributions: A Ciudad Juárez-México Case Study
Abstract
1. Introduction
2. Generalities of the Study Region
3. Data and Models
3.1. Obtaininig of the Local Wind Speed Data
3.2. Fitting Probability Distributions to the Wind Speed Data
3.3. Comparison of Distributions and Selecting the Best via Information Criteria
3.4. Obtaining of the Power Curves
3.5. Wind Shear of Collected Wind Speed
3.6. Estimation of the Annual Energy Production Based on Wind Data
4. Results
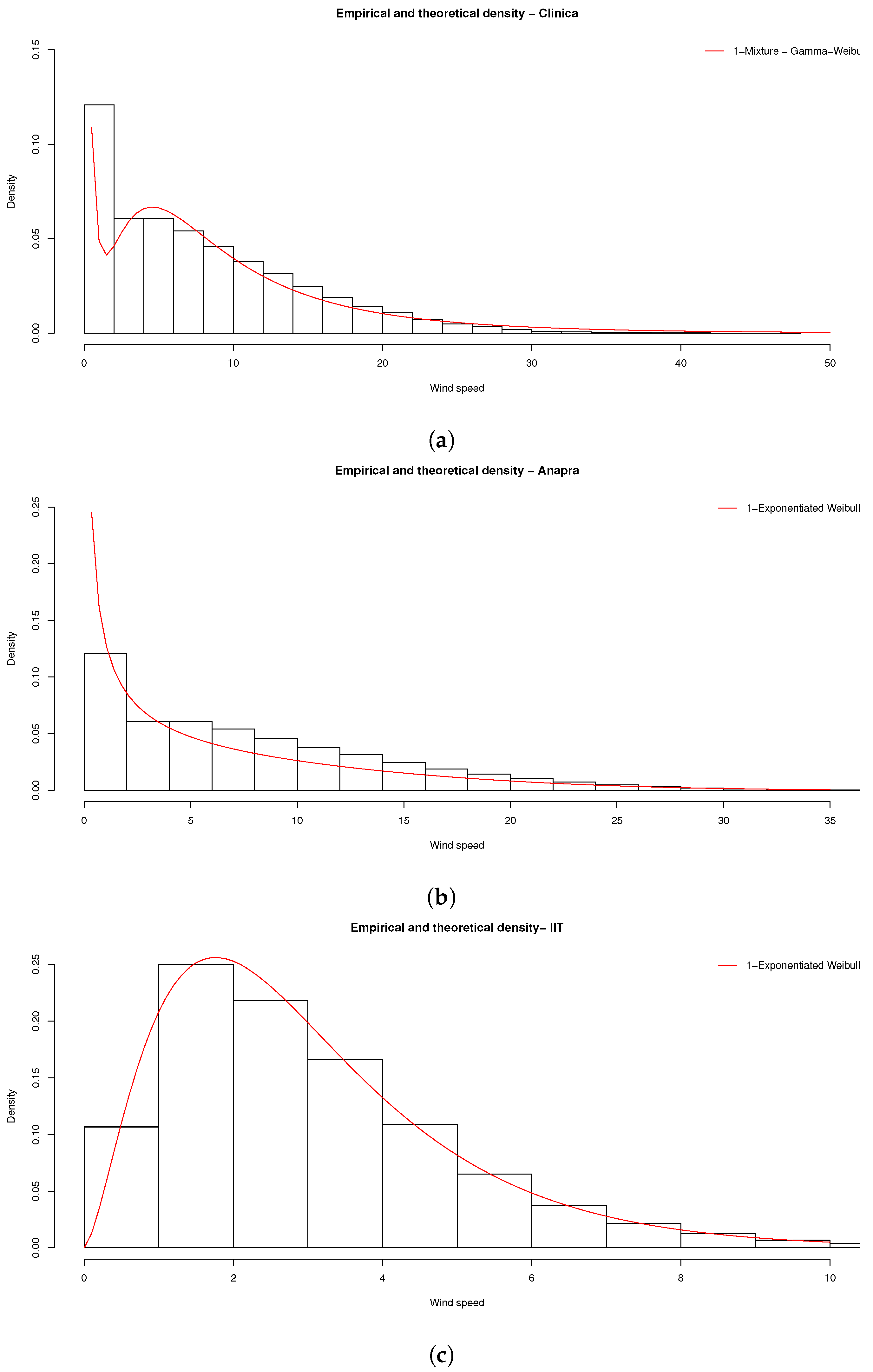
4.1. Fitting the Considered Distributions to the Wind Data
4.2. Characterization of the Power Curves and the Estimated Energy Production
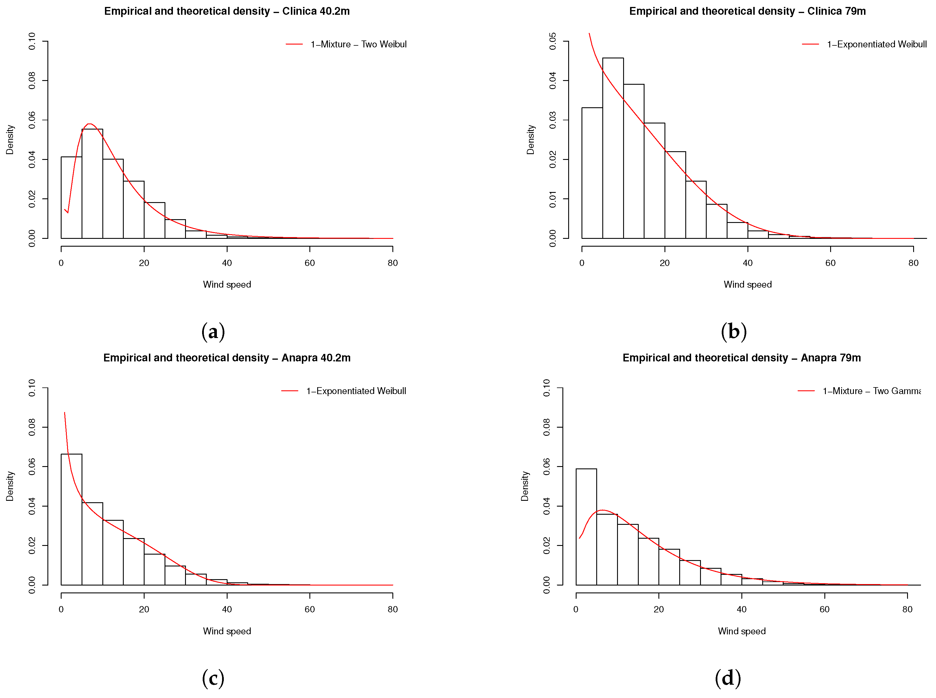
4.3. Assessing Wind Energy Production at Different Heights
5. Conclusions
Author Contributions
Funding
Institutional Review Board Statement
Informed Consent Statement
Data Availability Statement
Conflicts of Interest
References
- Pishgar-Komleh, S.; Keyhani, A.; Sefeedpari, P. Wind speed and power density analysis based on Weibull and Rayleigh distributions (a case study: Firouzkooh county of Iran). Renew. Sustain. Energy Rev. 2015, 42, 313–322. [Google Scholar] [CrossRef]
- Song, J.; Wang, J.; Lu, H. A novel combined model based on advanced optimization algorithm for short-term wind speed forecasting. Appl. Energy 2018, 215, 643–658. [Google Scholar] [CrossRef]
- Khosravi, A.; Koury, R.; Machado, L.; Pabon, J. Energy, exergy and economic analysis of a hybrid renewable energy with hydrogen storage system. Energy 2018, 148, 1087–1102. [Google Scholar] [CrossRef]
- Zuluaga, C.D.; Álvarez, M.A.; Giraldo, E. Short-term wind speed prediction based on robust Kalman filtering: An experimental comparison. Appl. Energy 2015, 156, 321–330. [Google Scholar] [CrossRef]
- Li, D.; Zhang, Z.; Zhou, X.; Zhang, Z.; Yang, X. Cross-wind dynamic response of concrete-filled double-skin wind turbine towers: Theoretical modelling and experimental investigation. J. Vib. Control 2023, 30, 2881–2893. [Google Scholar] [CrossRef]
- Li, D.; Fang, S.; Sun, C.; Zhang, Z.; Lai, Z. Passive structural control for wind turbine towers using a novel dual-track nonlinear energy sink. J. Vib. Control. 2024. [Google Scholar] [CrossRef]
- Brano, V.L.; Orioli, A.; Ciulla, G.; Culotta, S. Quality of wind speed fitting distributions for the urban area of Palermo, Italy. Renew. Energy 2011, 36, 1026–1039. [Google Scholar] [CrossRef]
- Li, G.; Shi, J. Application of Bayesian model averaging in modeling long-term wind speed distributions. Renew. Energy 2010, 35, 1192–1202. [Google Scholar] [CrossRef]
- Morgan, E.C.; Lackner, M.; Vogel, R.M.; Baise, L.G. Probability distributions for offshore wind speeds. Energy Convers. Manag. 2011, 52, 15–26. [Google Scholar] [CrossRef]
- Ouarda, T.B.; Charron, C.; Shin, J.Y.; Marpu, P.R.; Al-Mandoos, A.H.; Al-Tamimi, M.H.; Ghedira, H.; Al Hosary, T. Probability distributions of wind speed in the UAE. Energy Convers. Manag. 2015, 93, 414–434. [Google Scholar] [CrossRef]
- Wais, P. A review of Weibull functions in wind sector. Renew. Sustain. Energy Rev. 2017, 70, 1099–1107. [Google Scholar] [CrossRef]
- Zhou, Y.; Wu, W.; Liu, G. Assessment of onshore wind energy resource and wind-generated electricity potential in Jiangsu, China. Energy Procedia 2011, 5, 418–422. [Google Scholar] [CrossRef]
- Tuller, S.E.; Brett, A.C. The goodness of fit of the Weibull and Rayleigh distributions to the distributions of observed wind speeds in a topographically diverse area. J. Climatol. 1985, 5, 79–94. [Google Scholar] [CrossRef]
- Mohammadi, K.; Alavi, O.; Mostafaeipour, A.; Goudarzi, N.; Jalilvand, M. Assessing different parameters estimation methods of Weibull distribution to compute wind power density. Energy Convers. Manag. 2016, 108, 322–335. [Google Scholar] [CrossRef]
- Carta, J.A.; Ramirez, P.; Velazquez, S. A review of wind speed probability distributions used in wind energy analysis: Case studies in the Canary Islands. Renew. Sustain. Energy Rev. 2009, 13, 933–955. [Google Scholar] [CrossRef]
- Genc, A.; Erisoglu, M.; Pekgor, A.; Oturanc, G.; Hepbasli, A.; Ulgen, K. Estimation of wind power potential using Weibull distribution. Energy Sources 2005, 27, 809–822. [Google Scholar] [CrossRef]
- Zheng, H.; Huang, W.; Zhao, J.; Liu, J.; Zhang, Y.; Shi, Z.; Zhang, C. A novel falling model for wind speed probability distribution of wind farms. Renew. Energy 2022, 184, 91–99. [Google Scholar] [CrossRef]
- Wais, P. Two and three-parameter Weibull distribution in available wind power analysis. Renew. Energy 2017, 103, 15–29. [Google Scholar] [CrossRef]
- Wan, J.; Zheng, F.; Luan, H.; Tian, Y.; Li, L.; Ma, Z.; Xu, Z.; Li, Y. Assessment of wind energy resources in the urat area using optimized weibull distribution. Sustain. Energy Technol. Assessments 2021, 47, 101351. [Google Scholar] [CrossRef]
- Saeed, M.A.; Ahmed, Z.; Hussain, S.; Zhang, W. Wind resource assessment and economic analysis for wind energy development in Pakistan. Sustain. Energy Technol. Assessments 2021, 44, 101068. [Google Scholar] [CrossRef]
- Akgül, F.G.; Şenoğlu, B.; Arslan, T. An alternative distribution to Weibull for modeling the wind speed data: Inverse Weibull distribution. Energy Convers. Manag. 2016, 114, 234–240. [Google Scholar] [CrossRef]
- Chang, T.P. Performance comparison of six numerical methods in estimating Weibull parameters for wind energy application. Appl. Energy 2011, 88, 272–282. [Google Scholar] [CrossRef]
- Shata, A.A.; Hanitsch, R. Evaluation of wind energy potential and electricity generation on the coast of Mediterranean Sea in Egypt. Renew. Energy 2006, 31, 1183–1202. [Google Scholar] [CrossRef]
- Han, K.; Choi, J.; Kim, C. Comparison of statistical post-processing methods for probabilistic wind speed forecasting. Asia-Pac. J. Atmos. Sci. 2018, 54, 91–101. [Google Scholar] [CrossRef]
- Liu, F.J.; Chang, T.P. Validity analysis of maximum entropy distribution based on different moment constraints for wind energy assessment. Energy 2011, 36, 1820–1826. [Google Scholar] [CrossRef]
- Rajabi, M.; Modarres, R. Extreme value frequency analysis of wind data from Isfahan, Iran. J. Wind Eng. Ind. Aerodyn. 2008, 96, 78–82. [Google Scholar] [CrossRef]
- Ouarda, T.B.; Charron, C. On the mixture of wind speed distribution in a Nordic region. Energy Convers. Manag. 2018, 174, 33–44. [Google Scholar] [CrossRef]
- Kollu, R.; Rayapudi, S.R.; Narasimham, S.; Pakkurthi, K.M. Mixture probability distribution functions to model wind speed distributions. Int. J. Energy Environ. Eng. 2012, 3, 27. [Google Scholar] [CrossRef]
- Carta, J.; Ramirez, P. Analysis of two-component mixture Weibull statistics for estimation of wind speed distributions. Renew. Energy 2007, 32, 518–531. [Google Scholar] [CrossRef]
- Wang, J.; Hu, J.; Ma, K. Wind speed probability distribution estimation and wind energy assessment. Renew. Sustain. Energy Rev. 2016, 60, 881–899. [Google Scholar] [CrossRef]
- Asghar, A.B.; Liu, X. Estimation of wind speed probability distribution and wind energy potential using adaptive neuro-fuzzy methodology. Neurocomputing 2018, 287, 58–67. [Google Scholar] [CrossRef]
- Zhang, Y.; Pan, G.; Zhao, Y.; Li, Q.; Wang, F. Short-term wind speed interval prediction based on artificial intelligence methods and error probability distribution. Energy Convers. Manag. 2020, 224, 113346. [Google Scholar] [CrossRef]
- Miao, S.; Gu, Y.; Li, D.; Li, H. Determining suitable region wind speed probability distribution using optimal score-radar map. Energy Convers. Manag. 2019, 183, 590–603. [Google Scholar] [CrossRef]
- Fadare, D. The application of artificial neural networks to mapping of wind speed profile for energy application in Nigeria. Appl. Energy 2010, 87, 934–942. [Google Scholar] [CrossRef]
- Ouarda, T.B.; Charron, C.; Chebana, F. Review of criteria for the selection of probability distributions for wind speed data and introduction of the moment and L-moment ratio diagram methods, with a case study. Energy Convers. Manag. 2016, 124, 247–265. [Google Scholar] [CrossRef]
- Jónsdóttir, G.M.; Milano, F. Data-based continuous wind speed models with arbitrary probability distribution and autocorrelation. Renew. Energy 2019, 143, 368–376. [Google Scholar] [CrossRef]
- Calero, R.; Carta, J.A. Action plan for wind energy development in the Canary Islands. Energy Policy 2004, 32, 1185–1197. [Google Scholar] [CrossRef]
- Canavos, G.C. Applied Probability and Statistical Methods; Little, Brown: Boston, MA, USA, 1984. [Google Scholar]
- Akaike, H. A new look at the statistical model identification. IEEE Trans. Autom. Control 1974, 19, 716–723. [Google Scholar] [CrossRef]
- Ochoa, G.V.; Alvarez, J.N.; Chamorro, M.V. Data set on wind speed, wind direction and wind probability distributions in Puerto Bolivar-Colombia. Data Brief 2019, 27, 104753. [Google Scholar] [CrossRef]
- Chen, H.; Anfinsen, S.N.; Birkelund, Y.; Yuan, F. Probability distributions for wind speed volatility characteristics: A case study of Northern Norway. Energy Rep. 2021, 7, 248–255. [Google Scholar] [CrossRef]
- Li, D.; Miao, S. Fitting the wind speed probability distribution with Maxwell and power Maxwell distributions: A case study of North Dakota sites. Sustain. Energy Technol. Assessments 2021, 47, 101446. [Google Scholar] [CrossRef]
- Bokde, N.; Feijóo, A.; Villanueva, D. Wind turbine power curves based on the weibull cumulative distribution function. Appl. Sci. 2018, 8, 1757. [Google Scholar] [CrossRef]
- Lydia, M.; Selvakumar, A.I.; Kumar, S.S.; Kumar, G.E.P. Advanced algorithms for wind turbine power curve modeling. IEEE Trans. Sustain. Energy 2013, 4, 827–835. [Google Scholar] [CrossRef]
- Kusiak, A.; Zheng, H.; Song, Z. On-line monitoring of power curves. Renew. Energy 2009, 34, 1487–1493. [Google Scholar] [CrossRef]
- Zafirakis, D.; Paliatsos, A.; Kaldellis, J. Energy Yield of Contemporary Wind Turbines. In Comprehensive Renewable Energy; Elsevier: Amsterdam, The Netherlands, 2012; pp. 113–168. [Google Scholar] [CrossRef]
- de Mexico, G. Servicio Meteorológico Nacional. Available online: https://smn.conagua.gob.mx/es/ (accessed on 1 January 2022).
- Windfinder. Predicciones de viento, mapa de viento, velocidad del viento y observaciones meteorologicas. Available online: https://www.windfinder.com/#3/39.5000/-98.3500/spot (accessed on 1 January 2023).
- de Ciudad Juárez, U.A. Laboratorio de Climatologia y Calidad del aire. Available online: https://erecursos.uacj.mx/communities/b27494f3-ef56-4f2b-9b58-12db83e20176 (accessed on 1 December 2023).
- Pal, M.; Ali, M.M.; Woo, J. Exponentiated weibull distribution. Statistica 2006, 66, 139–147. [Google Scholar] [CrossRef]
- Folks, J.L.; Chhikara, R.S. The inverse Gaussian distribution and its statistical application—A review. J. R. Stat. Soc. Ser. B (Methodological) 1978, 40, 263–275. [Google Scholar] [CrossRef]
- Khamees, A.K.; Abdelaziz, A.Y.; Ali, Z.M.; Alharthi, M.M.; Ghoneim, S.S.; Eskaros, M.R.; Attia, M.A. Mixture probability distribution functions using novel metaheuristic method in wind speed modeling. Ain Shams Eng. J. 2022, 13, 101613. [Google Scholar] [CrossRef]
- Delignette-Muller, M.L.; Dutang, C. fitdistrplus: An R package for fitting distributions. J. Stat. Softw. 2015, 64, 1–34. [Google Scholar] [CrossRef]
- Shalizi, C. F-Tests, R2, and Other Distractions, 2015. Carnegie Mellon Institute. Available online: https://www.stat.cmu.edu/~cshalizi/mreg/15/lectures/10/lecture-10.pdf (accessed on 1 January 2023).
- Carrillo, C.; Montaño, A.O.; Cidrás, J.; Díaz-Dorado, E. Review of power curve modelling for wind turbines. Renew. Sustain. Energy Rev. 2013, 21, 572–581. [Google Scholar] [CrossRef]
- Manwell, J.F.; McGowan, J.G.; Rogers, A.L. Wind Energy Explained: Theory, Design and Application; John Wiley & Sons: Hoboken, NJ, USA, 2010. [Google Scholar]
- Debnath, B.; Shakur, M.S.; Siraj, M.T.; Bari, A.M.; Islam, A.R.M.T. Analyzing the factors influencing the wind energy adoption in Bangladesh: A pathway to sustainability for emerging economies. Energy Strategy Rev. 2023, 50, 101265. [Google Scholar] [CrossRef]













| Station | Latitude | Longitude | Altitude | Period |
|---|---|---|---|---|
| Anapra | 31°46′23.94″ N | 106°33′51.48″ W | 1218 (m) | 2019/01–2019/12 |
| Clínica | 31°39′19.38″ N | 106°27′59.42″ W | 1212 (m) | 2019/04–2019/12 |
| IIT | 31°44′34.90″ N | 106°26′00.52″ W | 1158 (m) | 2019/01–2019/12 |
| Distribution (Nomenclature) | Domain | |
|---|---|---|
| Weibull–Two parameters (W2) | ||
| Gamma (GA) | ||
| Lognormal–Two parameters (LN2) | ||
| Weibull–Three parameters (W3) | ||
| Lognormal–Three parameters (LN3) | ||
| Generalized extreme value (GEV) | ||
| Kappa (KAP) | ||
| Mixture - Two Weibull (MWW) | ||
| Mixture–Two Gamma (MGG) | ||
| Exponentiated Weibull (EXW) | ||
| Inverse Weibull (INW) | ||
| Inverse Gaussian (IG) | ||
| Burr (BR) | ||
| Rayleigh (RA) | ||
| Mixture–Gamma–Weibull (MGW) | ||
| Mixture–Lognormal–Generalized extreme value (MLGEV) |
| Station | Minimum | First Quartile | Median | Mean | Third Quartile | Maximum | Standard Deviation | Variance |
|---|---|---|---|---|---|---|---|---|
| Anapra | 0 | 2.142 | 6.267 | 7.735 | 11.724 | 47.287 | 6.831 | 46.675 |
| Clńica | 0 | 4.157 | 7.396 | 8.511 | 12.014 | 42.750 | 5.776 | 33.362 |
| IIT | 0.024 | 1.101 | 1.845 | 2.147 | 2.851 | 15.570 | 1.404 | 1.973 |
| /Method | Parameters | Stations | ||
|---|---|---|---|---|
| Clínica | Anapra | IIT | ||
| W2/MLE | k | 1.217899 | 0.494688 | 1.619208 |
| 8.927912 | 5.783119 | 2.406999 | ||
| RA/MLE | 7.273111 | 7.297361 | 1.814012 | |
| G/MLE | k | 1.102227 | 0.356256 | 2.405558 |
| 7.723557 | 21.71181 | 0.892315 | ||
| IG/MGE | k | 9.497295 | 10.17459 | 2.277247 |
| 13.34213 | 5.612269 | 3.997255 | ||
| BR/MLE | k | 8.756322 | 2.911708 | 3.494612 |
| 1.297835 | 0.546432 | 1.922758 | ||
| 45.03091 | 28.63966 | 4.098941 | ||
| LN2/MLE | 1.623222 | 0.164076 | 0.54185 | |
| 2.116819 | 4.72791 | 0.708024 | ||
| LN3/MLE | 0.436431 | 0.820372 | 0.539561 | |
| 2.489861 | 1.951302 | 0.793198 | ||
| m | −4.72813 | −1.72729 | −0.40218 | |
| KAP/MLE | k | 5.220631 | 3.275603 | 4.765368 |
| 11.14205 | 8.991769 | 2.614413 | ||
| W3/MGE | k | 1.569652 | 1.297424 | 1.398526 |
| 10.01682 | 10.30357 | 2.060296 | ||
| m | −0.44739 | −1.59993 | 0.257129 | |
| EXW/MLE | k | 2.205107 | 2.009939 | 1.043684 |
| 14.30428 | 16.36893 | 1.32843 | ||
| h | 0.396761 | 0.199628 | 2.453489 | |
| MWW/MGE | 4.147646 | 0.721678 | 1.420073 | |
| 2.889376 | 3.508384 | 2.168363 | ||
| 1.396439 | 0.914911 | 1.454326 | ||
| 9.238495 | 1.996823 | 0.396516 | ||
| w | −0.04263 | 2.742655 | 1.102644 | |
| MGG/MGE | 1.194281 | 0.698939 | 2.123455 | |
| 0.194875 | 0.115786 | 1.306952 | ||
| 1.400363 | 1.590897 | 2.353728 | ||
| 0.400417 | 0.745861 | 1.094218 | ||
| w | 1.983207 | 1.546984 | 0.022201 | |
| INW/MLE | k | 0.213576 | 0.145404 | 1.223098 |
| 1.219106 | 0.064616 | 1.188139 | ||
| MGW/MGE | 0.939225 | 1.100655 | 2.366214 | |
| 0.414885 | 0.542622 | 1.105692 | ||
| 0.837682 | 0.74234 | 15.46061 | ||
| 4.070996 | 4.419968 | 2.293967 | ||
| w | −1.9552 | −0.94851 | 1.006446 | |
| MLGEV–MME | 2.086203 | 1.41149 | 1.480231 | |
| 1.545264 | 0.585903 | 0.511413 | ||
| 1.988339 | 1.63896 | 0.602557 | ||
| k | 0.799103 | 1.036238 | 0.742536 | |
| 7.298414 | −9.5015 | −26.01969 | ||
| w | −0.02659 | 0.056148 | −0.0296 | |
| GEV/MGE | 429,477,537 | 325,605,079 | 1,179,839,063 | |
| k | 1,274,956,183 | 807,641,311 | 1,264,925,534 | |
| −720,191,897 | −511,774,320 | −474,293,383 | ||
| Anapra | Clínica | IIT | |||
|---|---|---|---|---|---|
| EXW | 731,684.2 | MGW | 505,705.6 | EXW | 1,805,736 |
| GA | 758,407.3 | EXW | 510,418.8 | MWW | 1,806,030 |
| MGG | 794,922.1 | KAP | 511,954.8 | GA | 1,806,292 |
| MWW | 795,816.1 | W3 | 513,285.3 | MGW | 1,806,460 |
| MGW | 796,863.8 | MGG | 513,762.3 | MGG | 1,806,553 |
| W2 | 813,733.6 | LN3 | 516,781 | BR | 1,810,058 |
| BR | 848,374.4 | W2 | 522,830.8 | LN3 | 1,811,699 |
| KAP | 942,481.6 | MWW | 524,600.9 | W2 | 1,822,666 |
| MLGEV | 958,160.6 | BR | 526,354.7 | LN2 | 1,834,905 |
| LN2 | 961,192.3 | GA | 526,644.4 | RA | 1,873,079 |
| W3 | 968,518 | RA | 561,282 | KAP | 1,876,661 |
| LN3 | 972,511.7 | LN2 | 636,387.2 | IG | 1,892,098 |
| INW | 1,067,422 | INW | 751,179.1 | INW | 2,035,818 |
| RA | 1,475,097 | GEV | 3,606,003 | MLGEV | 8,556,694 |
| GEV | 6,559,969 | IG | * | GEV | 22,690,113 |
| IG | * | MLGEV | * | W3 | * |
| Wind Turbine | Maximum Power (kw) | Rotor Diameter (m) | Tower Height (m) |
|---|---|---|---|
| C&F Green Energy CF11 9 m 11 kW | 11.1 | 9 | 15 |
| C&F Energy CF15e 13.1 m 15 kW | 15.2 | 13.1 | 15 |
| Month | Mean Wind Speed (m/s) | MWh | |
|---|---|---|---|
| C&F-Green Energy CF11 | C&F-Energy CF15e | ||
| 4 | 8.3 | 3.8 | 5.2 |
| 5 | 11.2 | 5.1 | 7 |
| 6 | 10.3 | 4.8 | 6.6 |
| 7 | 9.2 | 4.4 | 6 |
| 8 | 9.2 | 3.1 | 4.3 |
| 9 | 7.7 | 3.4 | 4.6 |
| 10 | 8.8 | 3.9 | 5.4 |
| 11 | 7.4 | 3.2 | 4.4 |
| 12 | 7.2 | 3.4 | 4.7 |
| Annual energy production (MWh) | 35.2 | 48.2 | |
| Month | Mean Wind Speed (m/s) | MWh | |
|---|---|---|---|
| C&F Green Energy CF11 | C&F Energy CF15e | ||
| 1 | 8.3 | 2.1 | 2.9 |
| 2 | 9.7 | 1.7 | 2.3 |
| 3 | 12.7 | 1.9 | 2.6 |
| 4 | 9.7 | 2.4 | 3.3 |
| 5 | 9.5 | 1.9 | 2.6 |
| 6 | 9.6 | 2 | 2.8 |
| 7 | 8.5 | 2.5 | 3.4 |
| 8 | 7.7 | 2.3 | 3.1 |
| 9 | 7.3 | 2.2 | 3 |
| 10 | 8.4 | 2.4 | 3.3 |
| 11 | 8.2 | 2.1 | 2.9 |
| 12 | 5.3 | 1.7 | 2.3 |
| Annual energy production (MWh) | 25.1 | 34.4 | |
| Month | Mean Wind Speed (m/s) | MWh | |
|---|---|---|---|
| C&F Green Energy CF11 | C&F Energy CF15e | ||
| 1 | 1.8 | 2.63 | 3.6 |
| 2 | 2.3 | 2.7 | 3.69 |
| 3 | 2.7 | 3.33 | 4.56 |
| 4 | 2.6 | 3.15 | 4.31 |
| 5 | 2.6 | 3.33 | 4.57 |
| 6 | 2.4 | 3.23 | 4.42 |
| 7 | 2.1 | 3.06 | 4.19 |
| 8 | 2.1 | 3.17 | 4.35 |
| 9 | 1.8 | 2.7 | 3.69 |
| 10 | 2 | 2.88 | 3.94 |
| 11 | 1.8 | 2.42 | 3.31 |
| 12 | 1.6 | 2.39 | 3.28 |
| Annual energy production (MWh) | 34.99 | 47.91 | |
Disclaimer/Publisher’s Note: The statements, opinions and data contained in all publications are solely those of the individual author(s) and contributor(s) and not of MDPI and/or the editor(s). MDPI and/or the editor(s) disclaim responsibility for any injury to people or property resulting from any ideas, methods, instructions or products referred to in the content. |
© 2024 by the authors. Licensee MDPI, Basel, Switzerland. This article is an open access article distributed under the terms and conditions of the Creative Commons Attribution (CC BY) license (https://creativecommons.org/licenses/by/4.0/).
Share and Cite
Hernández-Meléndez, C.A.; Rodríguez-Picón, L.A.; Pérez-Olguín, I.J.C.; Vázquez-Galvez, F.A.; Hernández-Hernández, J.I.; Méndez-González, L.C. A Site-Specific Wind Energy Potential Analysis Based on Wind Probability Distributions: A Ciudad Juárez-México Case Study. Sustainability 2024, 16, 9486. https://doi.org/10.3390/su16219486
Hernández-Meléndez CA, Rodríguez-Picón LA, Pérez-Olguín IJC, Vázquez-Galvez FA, Hernández-Hernández JI, Méndez-González LC. A Site-Specific Wind Energy Potential Analysis Based on Wind Probability Distributions: A Ciudad Juárez-México Case Study. Sustainability. 2024; 16(21):9486. https://doi.org/10.3390/su16219486
Chicago/Turabian StyleHernández-Meléndez, Carlos Adrián, Luis Alberto Rodríguez-Picón, Iván Juan Carlos Pérez-Olguín, Felipe Adrián Vázquez-Galvez, Jesús Israel Hernández-Hernández, and Luis Carlos Méndez-González. 2024. "A Site-Specific Wind Energy Potential Analysis Based on Wind Probability Distributions: A Ciudad Juárez-México Case Study" Sustainability 16, no. 21: 9486. https://doi.org/10.3390/su16219486
APA StyleHernández-Meléndez, C. A., Rodríguez-Picón, L. A., Pérez-Olguín, I. J. C., Vázquez-Galvez, F. A., Hernández-Hernández, J. I., & Méndez-González, L. C. (2024). A Site-Specific Wind Energy Potential Analysis Based on Wind Probability Distributions: A Ciudad Juárez-México Case Study. Sustainability, 16(21), 9486. https://doi.org/10.3390/su16219486

