Evaluation of Selected Factors Affecting the Speed of Drivers at Signal-Controlled Intersections in Poland
Abstract
1. Introduction
2. Literature Review
- there is an increased risk of severe accidents at signalized intersections during off-peak periods due to the dispersion of vehicle columns passing through the signalized intersection, while most driver behavior studies were conducted via simulation;
- drivers in dispersed (free-flow) traffic conditions are less likely to follow speed limits, particularly when they are in the so-called dilemma zone (after the onset of the yellow signal);
- the impact of the intersection travel relationship on speed value was shown to depend significantly on the horizontal curve radius.
- A comprehensive model incorporating multiple road infrastructure variables can accurately predict vehicle speeds at signalized intersections.
- Utilizing this model for calculating intergreen times will yield results that significantly differ from current methods used in Poland, potentially enhancing intersection safety.
3. Materials and Methods
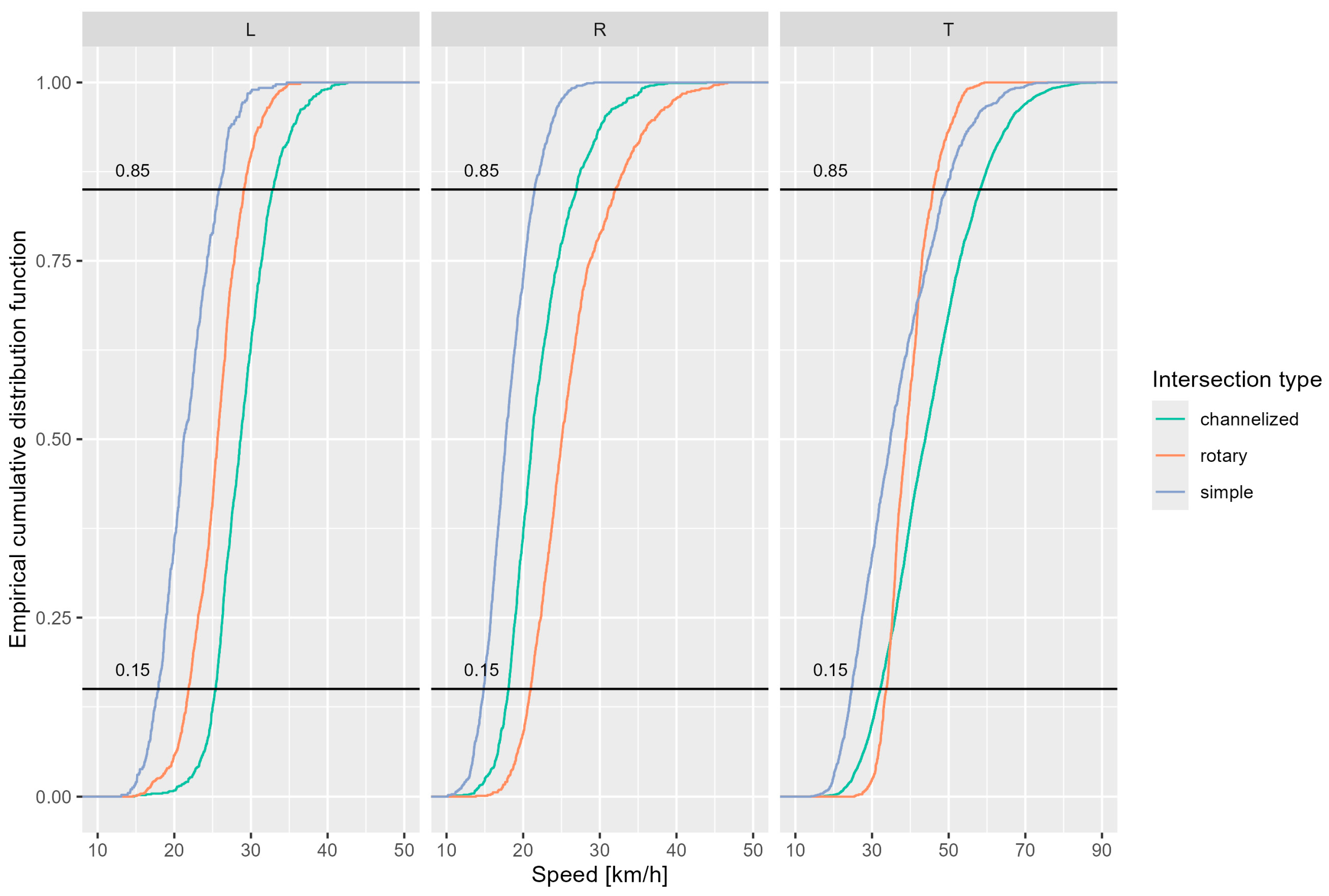
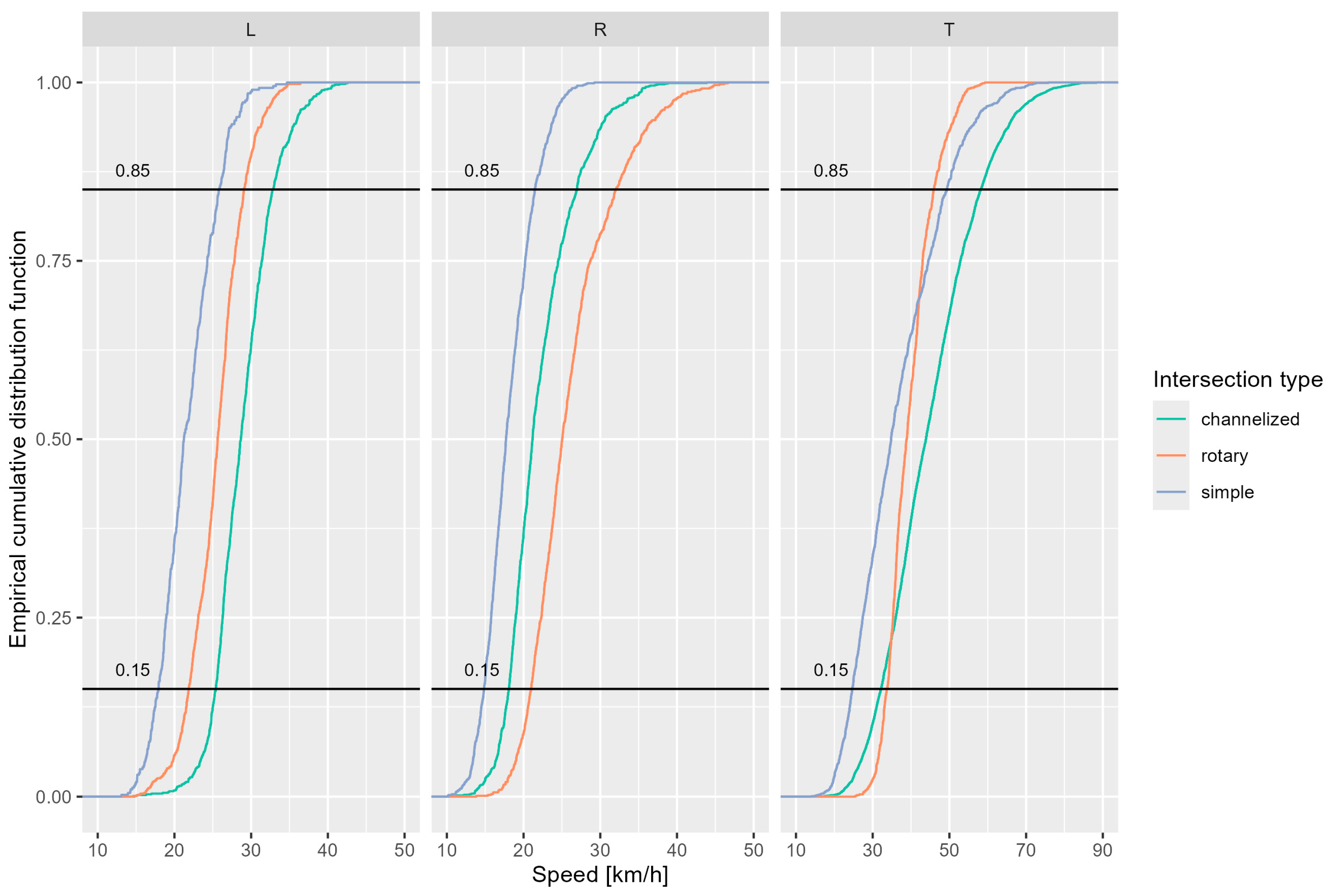
- Simple (I-1): defined as intersections of roads with an accessible surface where collision traffic streams intersect, without traffic channelization elements (with the possible exception of pavement guiding lines).
- Channelized (I-2): at least one of the intersecting roads has a dividing lane, and the main collision plane may or may not have channelization with curbed islands or marked exclusion zones.
- Rotary (I-3): a channelized intersection where the collision area has a central island around which left-turning traffic moves and the road around the island can also serve as a vehicle accumulation area.
- turning relations (left-turn, right-turn, and U-turn);
- straight-through relations.
- B-1 “yield”—subordinated approach;
- B-1 and sign D-3—approach to an intersection with widened entries and exits with a central island and circular traffic;
- B-2 “stop”—subordinated approach, compulsory stop before entering the intersection if the traffic signals is not functioning;
- B-3—approach with priority and the main road goes straight;
- B-3 and H-8—approach with priority, but the main road changes direction at the intersection.
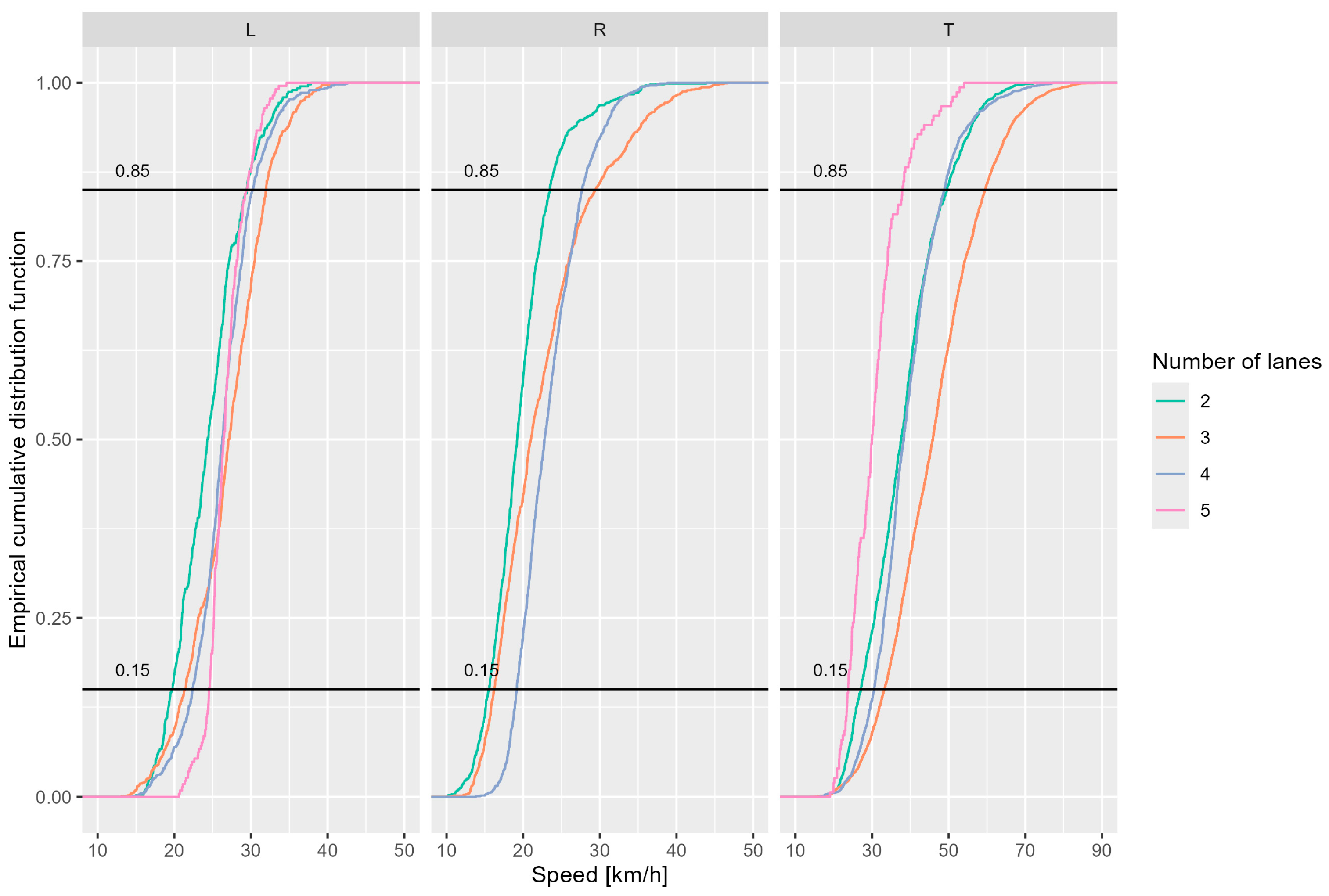
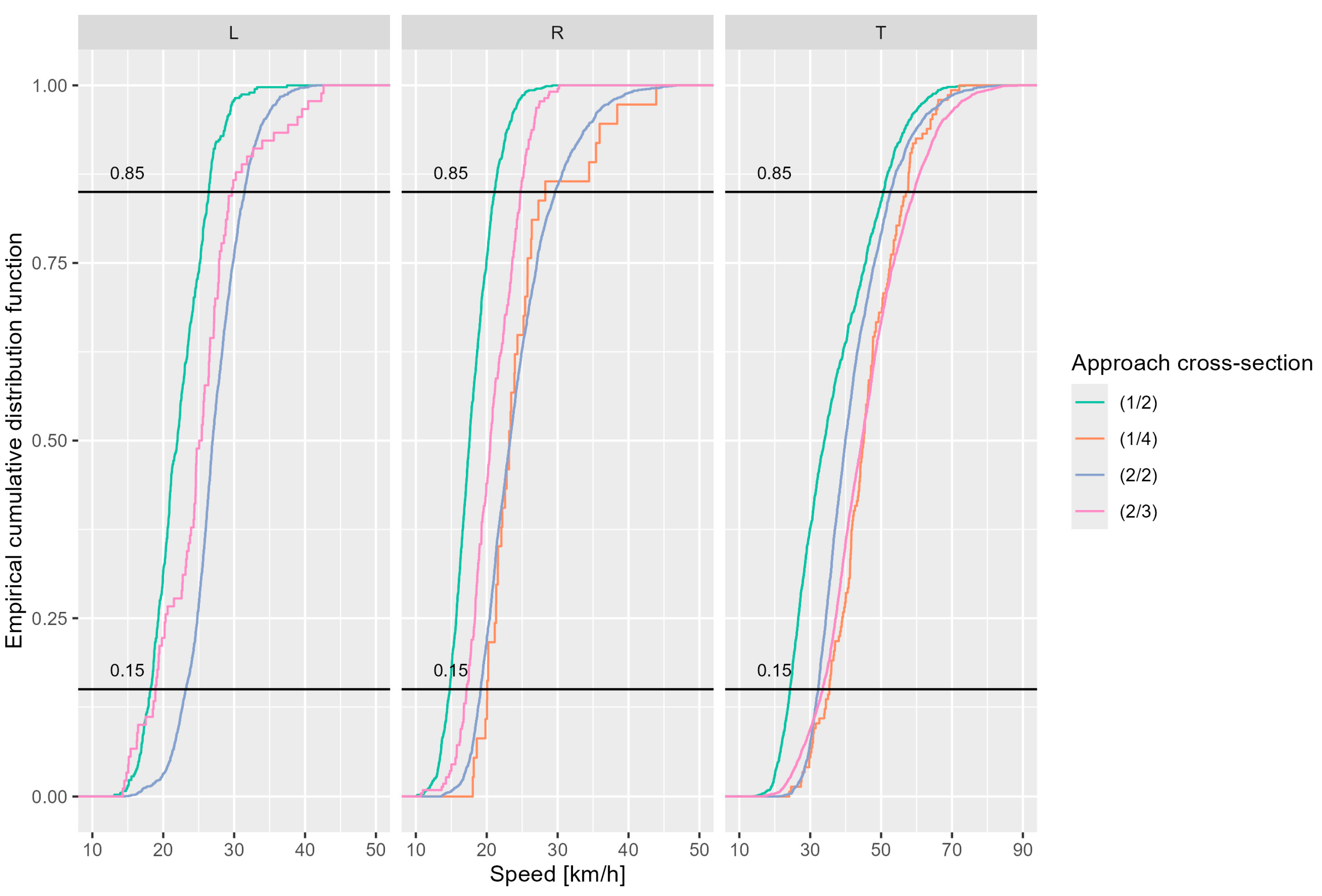
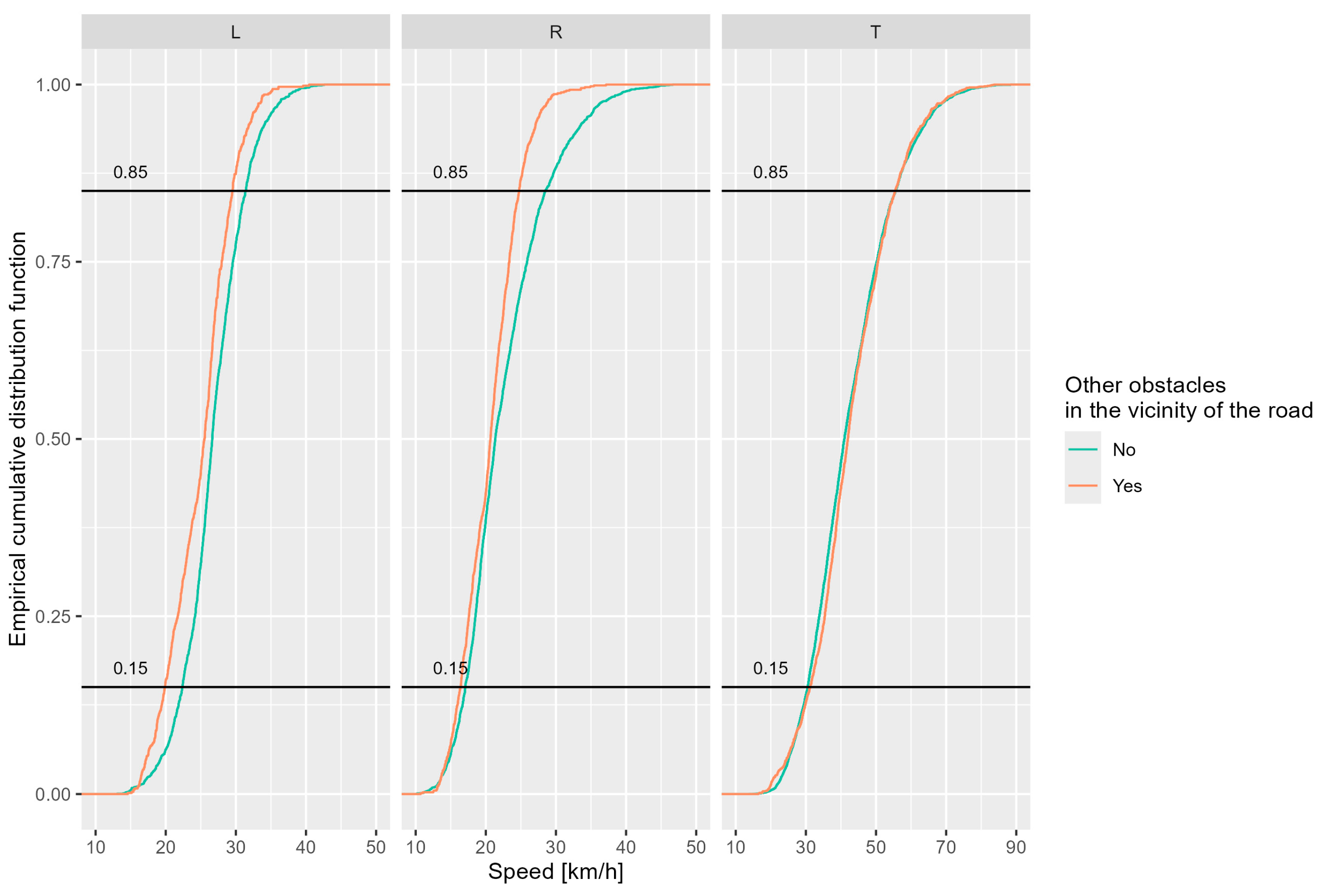
4. Results
4.1. Straight-Through Movements Only
4.2. Turning Movements Only
4.3. Results for All Relations Model
- Type of movement at the intersection (straight-through, left turn, right turn);
- Type of intersection and traffic organization at the analyzed approach;
- Type of signal indication provided by the traffic signal (general/permissive or directional/protected) for the given movement;
- Number of traffic lanes at the analyzed approach;
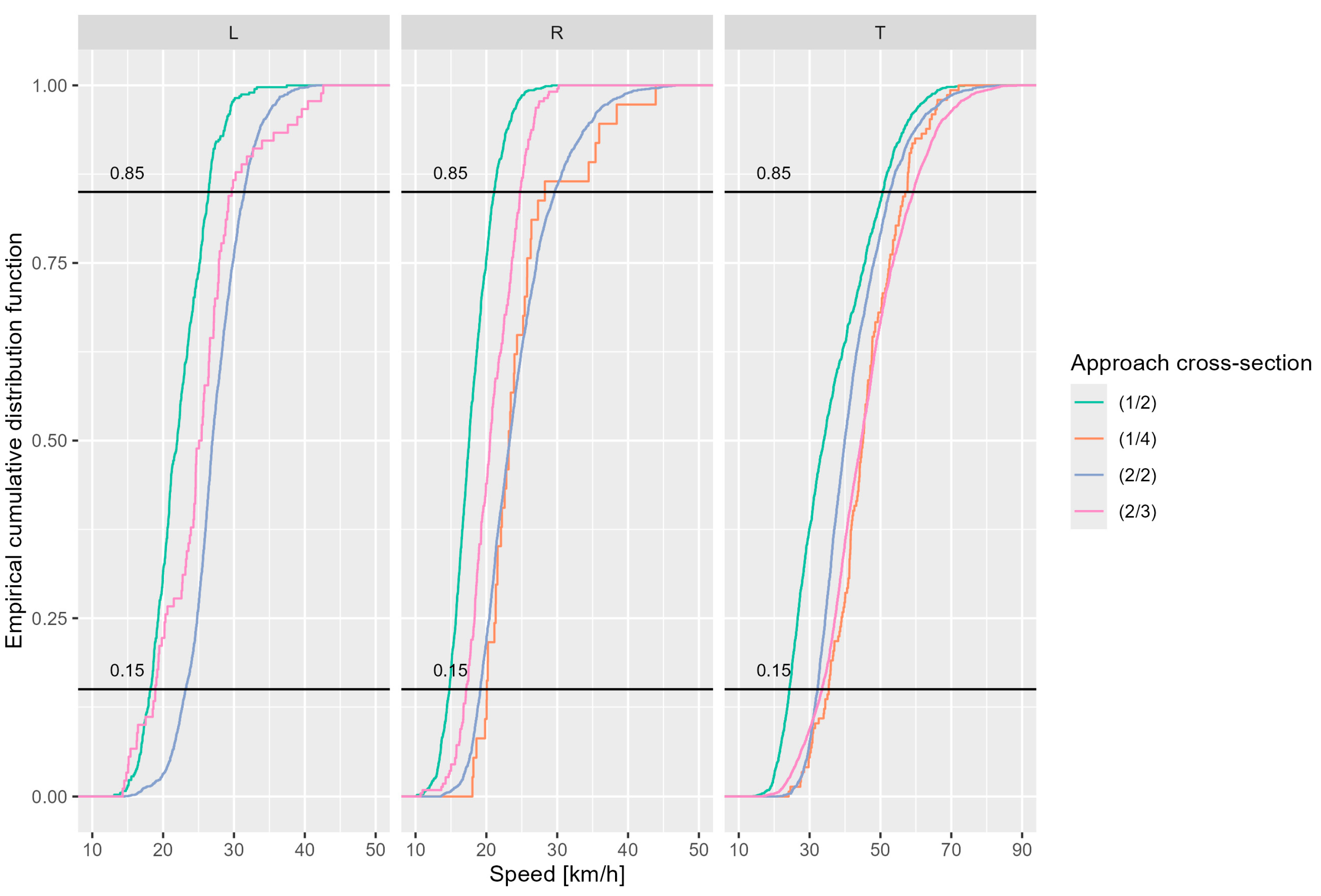
- Type of cross-section of the intersecting road at the analyzed approach;
- Longitudinal slope at analyzed approach;
- Presence and type of a channelizing island for the analyzed movement;
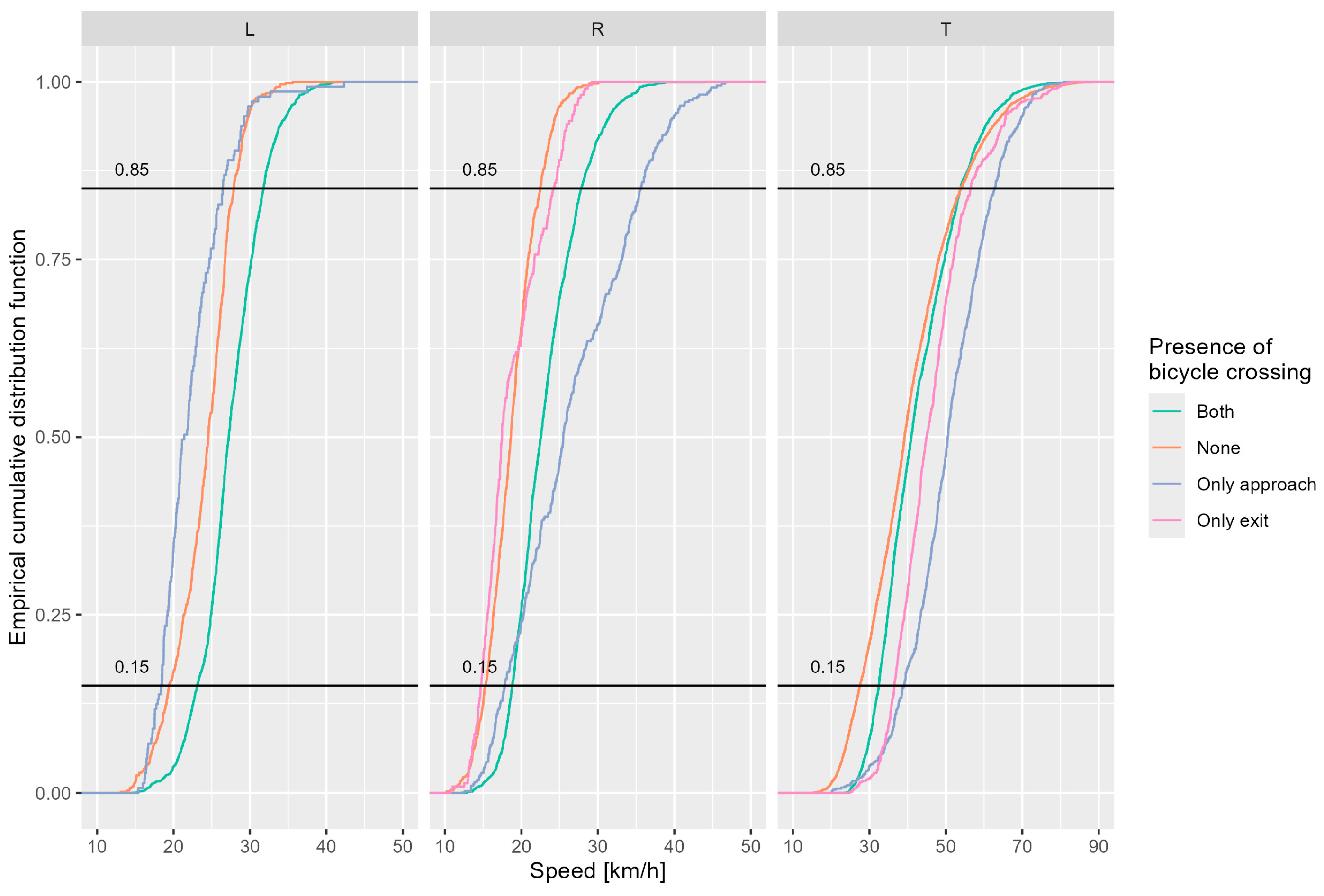
- Presence of bicycle crossings;
- Presence of tram crossings;
- Presence of buildings within less than 10 m from the edge of the roadway at the analyzed approach;
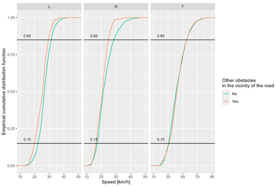
- Presence of other obstacles on the left or right side of the analyzed traffic lane (such as fences, road barriers, trees, or shrubs at the road edge).
5. Discussion
5.1. Speed Modeling Results
5.2. Comparison of Intergreen Time Calculations
6. Conclusions
Author Contributions
Funding
Institutional Review Board Statement
Informed Consent Statement
Data Availability Statement
Conflicts of Interest
References
- Rozporządzenie Ministra Infrastruktury w Sprawie Szczegółowych Warunków Technicznych Dla Znaków i Sygnałów Drogowych Oraz Urządzeń Bezpieczeństwa Ruchu Drogowego i Warunków Ich Umieszczania Na Drogach. Journal of Laws, item 2311, 2019. Available online: https://dziennikustaw.gov.pl/DU/rok/2019/pozycja/2311 (accessed on 27 September 2024).
- Richtlinien Für Lichtsignalanlagen. Lichtzeichenanlagen Für Den Straßenverkehr (RiLSA); FGSV Verlag GmbH: Köln, Germany, 2015. [Google Scholar]
- Transportstyrelsens Föreskrifter Och Allmänna Råd Om Trafiksignaler (Konsoliderad Elektronisk Utgåva). 2014. Available online: https://www.transportstyrelsen.se/sv/regler/ts-foreskrifter-i-nummerordning/2014/?RuleNumber=2014:30&RulePrefix=TSFS (accessed on 27 September 2024).
- Agentschap Wegen en Verkeer (AWV). Handboek Ontwerp Verkeerslichtenregelingen 2020; Brussel, Belgium, 2020; Available online: https://wegenenverkeer.be/zakelijk/documenten/ontwerprichtlijnen/verkeerslichtenregeling (accessed on 27 September 2024).
- National Cooperative Highway Research Program Traffic. Signal Timming Manual; Washington, DC, USA, 2015; Available online: https://nap.nationalacademies.org/catalog/22097/signal-timing-manual-second-edition (accessed on 27 September 2024).
- Khasawneh, M.A.; Al-Omari, A.A.; Oditallah, M. Assessing Speed of Passenger Cars at Urban Channelized Right-Turn Roadways of Signalized Intersections. Arab. J. Sci. Eng. 2019, 44, 5057–5073. [Google Scholar] [CrossRef]
- Fitzpatrick, K.; Schneider, W.H.; Park, E.S. Predicting Speeds in an Urban Right-Turn Lane. J. Transp. Eng. 2006, 132, 199–204. [Google Scholar] [CrossRef]
- Sato, T.; Akamatsu, M. Analysis of Drivers’ Preparatory Behaviour before Turning at Intersections. IET Intell. Transp. Syst. 2009, 3, 379–389. [Google Scholar] [CrossRef]
- Lv, B.; Yue, R.; Zhang, Y. The Influence of Different Factors on Right-Turn Distracted Driving Behavior at Intersections Using Naturalistic Driving Study Data. IEEE Access 2019, 7, 137241–137250. [Google Scholar] [CrossRef]
- Fu, C.; Liu, H. Investigating Influence Factors of Traffic Violations at Signalized Intersections Using Data Gathered from Traffic Enforcement Camera. PLoS ONE 2020, 15, e0229653. [Google Scholar] [CrossRef] [PubMed]
- Song, Y.; Chitturi, M.V.; Bremer, W.F.; Bill, A.R.; Noyce, D.A. Review of United States Research and Guidelines on Left Turn Lane Offset: Unsignalized Intersections and Signalized Intersections with Permitted Left Turns. J. Traffic Transp. Eng. (Engl. Ed.) 2022, 9, 556–570. [Google Scholar] [CrossRef]
- Szczuraszek, T.; Klusek, R. Analysis of Factors Affecting Non-Compliance with the Red Light Signal at City Intersections Equipped with Traffic Signaling. In Proceedings of the Integration as Solution for Advanced Smart Urban Transport Systems, Katowice, Poland, 17–19 September 2018; Sierpiński, G., Ed.; Springer International Publishing: Cham, Switzerland, 2019; pp. 106–115. [Google Scholar]
- Haque, M.M.; Ohlhauser, A.D.; Washington, S.; Boyle, L.N. Decisions and Actions of Distracted Drivers at the Onset of Yellow Lights. Accid. Anal. Prev. 2016, 96, 290–299. [Google Scholar] [CrossRef]
- Aarts, L.; van Schagen, I. Driving Speed and the Risk of Road Crashes: A Review. Accid. Anal. Prev. 2006, 38, 215–224. [Google Scholar] [CrossRef]
- Li, X.; Sun, J.-Q. Effects of Vehicle–Pedestrian Interaction and Speed Limit on Traffic Performance of Intersections. Phys. A Stat. Mech. Its Appl. 2016, 460, 335–347. [Google Scholar] [CrossRef]
- Li, G.; Wang, Y.; Zhu, F.; Sui, X.; Wang, N.; Qu, X.; Green, P. Drivers’ Visual Scanning Behavior at Signalized and Unsignalized Intersections: A Naturalistic Driving Study in China. J. Saf. Res. 2019, 71, 219–229. [Google Scholar] [CrossRef]
- Galusca, N.-I.; Iriciuc, S.-C.; Gimiga, G.-R.; Dima, D.-N.; Scutaru, M.-C. Crossing speeds of cars through signalized intersections. J. Eng. Sci. 2023, 30, 26–34. [Google Scholar] [CrossRef] [PubMed]
- Singh, M.K.; Pathivada, B.K.; Rao, K.R.; Perumal, V. Driver Behaviour Modelling of Vehicles at Signalized Intersection with Heterogeneous Traffic. IATSS Res. 2022, 46, 236–246. [Google Scholar] [CrossRef]
- Walton, D.; Buchanan, J. Motorcycle and Scooter Speeds Approaching Urban Intersections. Accid. Anal. Prev. 2012, 48, 335–340. [Google Scholar] [CrossRef] [PubMed]
- Dong, S.; Zhou, J. A Comparative Study on Drivers’ Stop/Go Behavior at Signalized Intersections Based on Decision Tree Classification Model. J. Adv. Transp. 2020, 2020, 1250827. [Google Scholar] [CrossRef]
- Stamatiadis, N.; Bąk, R.; Chodur, J. Type II Dilemma Zone at High-Speed Signalized Intersections in Poland. Arch. Civ. Eng. 2021, 67, 673–685. [Google Scholar]
- Papaioannou, P. Driver Behaviour, Dilemma Zone and Safety Effects at Urban Signalised Intersections in Greece. Accid. Anal. Prev. 2007, 39, 147–158. [Google Scholar] [CrossRef]
- Alomari, A.H.; AL-Mistarehi, B.W.; Al-Jammal, A.J.; Alhadidi, T.I.; Obeidat, M.S. Modelling Driver Behaviour at Urban Signalised Intersections Using Logistic Regression and Machine Learning. Promet Traffic Transp. 2023, 35, 838–854. [Google Scholar] [CrossRef]
- Palat, B.; Delhomme, P. A Simulator Study of Factors Influencing Drivers’ Behavior at Traffic Lights. Transp. Res. Part F Traffic Psychol. Behav. 2016, 37, 107–118. [Google Scholar] [CrossRef]
- Liu, B.-S. Association of Intersection Approach Speed with Driver Characteristics, Vehicle Type and Traffic Conditions Comparing Urban and Suburban Areas. Accid. Anal. Prev. 2007, 39, 216–223. [Google Scholar] [CrossRef]
- EVANS, L.; ROTHERY, R. Comments on Effects of Vehicle Type and Age on Driver Behaviour at Signalized Intersections. Ergonomics 1976, 19, 559–570. [Google Scholar] [CrossRef]
- Krukowicz, T.; Firląg, K.; Suda, J.; Czerliński, M. Analysis of the Impact of Countdown Signal Timers on Driving Behavior and Road Safety. Energies 2021, 14, 7081. [Google Scholar] [CrossRef]
- Sieklicka, A.; Chądzyńska, P.; Iwanowicz, D. Analysis of the Behavior of Vehicle Drivers at Signal-Controlled Intersection Approach While Waiting for a Green Signal—A Case Study in Poland. Appl. Sci. 2022, 12, 10133. [Google Scholar] [CrossRef]
- Wen, X.; Fu, L.; Fu, T.; Keung, J.; Zhong, M. Driver Behavior Classification at Stop-Controlled Intersections Using Video-Based Trajectory Data. Sustainability 2021, 13, 1404. [Google Scholar] [CrossRef]
- Iwanowicz, D.; Hasiewicz, J. Dylematy interpretacyjne stosowania sygnałów drogowych ze szczególnym uwzględnieniem sygnalizatora S-2 w „bezpiecznym” zarządzaniu ruchem drogowym. Część III/III. Paragraf Drodze 2024, 1, 41–66. [Google Scholar] [CrossRef]
- Krukowicz, T.; Firląg, K.; Sterniczuk, E. Incorrect U-Turning of Vehicles at Intersections with Traffic Lights. Arch. Transp. 2021, 57, 131–145. [Google Scholar] [CrossRef]
- Arvin, R.; Kamrani, M.; Khattak, A.J. How Instantaneous Driving Behavior Contributes to Crashes at Intersections: Extracting Useful Information from Connected Vehicle Message Data. Accid. Anal. Prev. 2019, 127, 118–133. [Google Scholar] [CrossRef]
- Changhyeon, P.; Seok-Cheol, K. Implementation of Autonomous Driving System in the Intersection Area Equipped with Traffic Lights. Trans. Korean Soc. Automot. Eng. 2019, 27, 379–387. [Google Scholar] [CrossRef]
- Xia, L.; Li, P.; Su, Z.; Chen, T.; Deng, Z.; Sun, D. Longitudinal Driving Behavior before, during, and after a Left-Turn Movement at Signalized Intersections: A Naturalistic Driving Study in China. Sustainability 2022, 14, 11630. [Google Scholar] [CrossRef]
- Zhou, W.; Yang, L.; Ying, T.; Yuan, J.; Yang, Y. Velocity Prediction of Intelligent and Connected Vehicles for a Traffic Light Distance on the Urban Road. IEEE Trans. Intell. Transp. Syst. 2019, 20, 4119–4133. [Google Scholar] [CrossRef]
- Xu, B.; Ban, X.J.; Bian, Y.; Li, W.; Wang, J.; Li, S.E.; Li, K. Cooperative Method of Traffic Signal Optimization and Speed Control of Connected Vehicles at Isolated Intersections. IEEE Trans. Intell. Transp. Syst. 2019, 20, 1390–1403. [Google Scholar] [CrossRef]
- Tang, K.; Kuwahara, M.; Tanaka, S. Design of Intergreen Times Based on Safety Reliability. Transp. Res. Rec. 2011, 2259, 213–222. [Google Scholar] [CrossRef]
- Jiang, Z.; Wang, T. Intergreen Time Calculation Method of Signalized Intersections Based on Safety Reliability Theory: A Monte-Carlo Simulation Approach. J. Adv. Transp. 2019, 2019, 1941405. [Google Scholar] [CrossRef]
- Tipakornkiat, C.; Leelakajonjit, A.; Taneerananon, P. The Importance of Intergreen Time in Preventing Crash at Intersection. Proc. East. Asia Soc. Transp. Stud. 2009, 2009, 341. [Google Scholar] [CrossRef]
- Bąk, R.; Chodur, J.; Gaca, S.; Kieć, M.; Ostrowski, K. Wytyczne Projektowania Skrzyżowań Drogowych. Część 2: Skrzyżowania Zwykłe i Skanalizowane.; Wzorce i Standardy Rekomendowane Przez Ministra właściwego ds. Transportu; Ministerstwo Infrastruktury: Warszawa, Poland, 2022. [Google Scholar]
- Iwanowicz, D.; Chmielewski, J. Analysis of the Methods of Traffic Evaluation at the Approaches of Urban Signalised Intersections. In Proceedings of the Nodes in Transport Networks—Research, Data Analysis and Modelling, Katowice, Poland, 16–18 September 2019; Macioszek, E., Kang, N., Sierpiński, G., Eds.; Springer International Publishing: Cham, Switzerland, 2020; pp. 180–198. [Google Scholar]
- Chodur, J.; Ostrowski, K.; Tracz, M. Variability of Capacity and Traffic Performance at Urban and Rural Signalised Intersections. Transp. Res. Procedia 2016, 15, 87–99. [Google Scholar] [CrossRef]
- Abdelhalim, A.; Abbas, M.; Kotha, B.B.; Wicks, A. A Framework for Real-Time Traffic Trajectory Tracking, Speed Estimation, and Driver Behavior Calibration at Urban Intersections Using Virtual Traffic Lanes. In Proceedings of the 2021 IEEE International Intelligent Transportation Systems Conference (ITSC), Indianapolis, IN, USA, 19–22 September 2021; pp. 2863–2868. [Google Scholar]
- The R Project for Statistical Computing. Available online: https://www.r-project.org/ (accessed on 29 July 2024).
- Gagolewski, M. Stringi: Fast and Portable Character String Processing in R. J. Stat. Softw. 2022, 103, 1–59. [Google Scholar] [CrossRef]
- Wickham, H.; Averick, M.; Bryan, J.; Chang, W.; McGowan, L.D.; François, R.; Grolemund, G.; Hayes, A.; Henry, L.; Hester, J.; et al. Welcome to the Tidyverse. J. Open Source Softw. 2019, 4, 1686. [Google Scholar] [CrossRef]
- Convention on Road Signs and Signals Dona at Vienna on 8 November 1968 (Including the Amendments to the Convention Which Entered into Force on 30 November 1995 and the Amendments Which Entered into Force on 28 March 2006). Available online: https://unece.org/DAM/trans/conventn/Conv_road_signs_2006v_EN.pdf (accessed on 27 September 2024).
- Szczuraszek, T.; Kempa, J.; Chmielewski, J.; Iwanowicz, D.; Karwasz, M.; Klusek, R.; Olenkowicz-Trempała, P.; Wiśniewski, D. Raport o Stanie Bezpieczeństwa Ruchu Drogowego w Toruniu 2018; Wydawnictwa Uczelniane UTP: Warsaw, Poland, 2019; ISBN 978-83-66530-01-0. [Google Scholar]
- Kempa, J.; Chmielewski, J.; Olenkowicz-Trempała, P.; Bebyn, G.; Iwanowicz, D.; Karwasz, M.; Klusek, R.; Wiśniewski, D. Raport o Stanie Bezpieczeństwa Ruchu Drogowego w Bydgoszczy 2020; Wydawnictwa Uczelniane Politechniki Bydgoskiej: Bydgoszcz, Poland, 2023; ISBN 978-83-66530-82-9. [Google Scholar]
- Iwanowicz, D. Raport z Audytu Bezpieczeństwa Ruchu Drogowego Dla Wybranych Skrzyżowań z Sygnalizacją Świetlną w m.St Warszawa; Zarząd Dróg Miejskich Warszawa: Warsaw, Poland, 2023. [Google Scholar]










| City | Straight-Through Relations | Turning Relations | ||
|---|---|---|---|---|
| FALSE | TRUE | FALSE | TRUE | |
| Bydgoszcz | 5 | 1 | 4 | 15 |
| Toruń | 5 | 1 | 3 | 16 |
| Warsaw | 20 | 95 | 8 | 54 |
| Variables | Bydgoszcz, N = 3452 1 | Toruń, N = 3522 1 | Warsaw, N = 5779 1 |
|---|---|---|---|
| Speed [km/h] | 29, [27], /10/, (20; 39) | 28, [27], /9/, (19; 37) | 43, [43], /14/, (28; 57) |
| Relation type | |||
| straight-through | 1269, 37% | 1174, 33% | 5180, 90% |
| left-turn | 934, 27% | 1175, 33% | 147, 2.5% |
| right-turn | 1249, 36% | 1173, 33% | 450, 7.8% |
| U-turn | 0, 0% | 0, 0% | 2, <0.1% |
| Intersection type | |||
| simple (I-1) | 1002, 29% | 816, 23% | 900, 16% |
| channelized (I-2) | 1053, 31% | 1400, 40% | 4879, 84% |
| rotary (I-3) | 1397, 40% | 1306, 37% | 0, 0% |
| Signal type | |||
| direction-only | 1167, 34% | 1639, 47% | 32, 0.6% |
| general | 2285, 66% | 1883, 53% | 5747, 99% |
| Radius of the horizontal curve | 18, [16], /5/, (12; 25) | 25, [25], /12/, (12; 36) | 17, [14], /9/, (11; 26) |
| Lane width [m] | |||
| 2.75 | 0, 0% | 0, 0% | 14, 0.2% |
| 3.00 | 1580, 46% | 1409, 40% | 4616, 80% |
| 3.25 | 233, 6.7% | 0, 0% | 108, 1.9% |
| 3.30 | 0, 0% | 0, 0% | 206, 3.6% |
| 3.50 | 1639, 47% | 2113, 60% | 322, 5.6% |
| 3.75 | 0, 0% | 0, 0% | 469, 8.1% |
| 4.00 | 0, 0% | 0, 0% | 26, 0.4% |
| 5.25 | 0, 0% | 0, 0% | 18, 0.3% |
| Channelized type | |||
| none | 3452, 100% | 3047, 87% | 5644, 98% |
| horizontal marking (traffic closed area) | 0, 0% | 0, 0% | 37, 0.6% |
| island with curb | 0, 0% | 475, 13% | 98, 1.7% |
| Number of lanes | |||
| 2 | 716, 21% | 944, 27% | 1031, 18% |
| 3 | 985, 29% | 1397, 40% | 3670, 64% |
| 4 | 1526, 44% | 1181, 34% | 925, 16% |
| 5 | 225, 6.5% | 0, 0% | 153, 2.6% |
| Cross-section entry type (number of roadways / number of lanes) | |||
| (1/2) | 1002, 29% | 816, 23% | 799, 14% |
| (1/4) | 0, 0% | 0, 0% | 195, 3.4% |
| (2/2) | 2450, 71% | 2706, 77% | 1126, 19% |
| (2/3) | 0, 0% | 0, 0% | 3659, 63% |
| Approach width [m] | 11.03, [13.00], /3.23/, (6.00; 14.00) | 10.25, [10.00], /2.80/, (6.00; 13.50) | 10.02, [9.00], /1.64/, (9.00; 12.00) |
| Longitudinal slope at approach [%] | 0.05, [0.40], /0.89/, (−1.00; 0.60) | 0.29, [0.50], /1.19/, (−1.00; 1.40) | −0.20, [−0.20], /0.89/, (−0.80; 0.50) |
| Trams crossing presence | |||
| no | 2409, 70% | 2694, 76% | 4245, 73% |
| yes | 1043, 30% | 828, 24% | 1534, 27% |
| Building presence | |||
| no | 2979, 86% | 2934, 83% | 4795, 83% |
| yes | 473, 14% | 588, 17% | 984, 17% |
| Other obstacles presence | |||
| no | 2763, 80% | 2468, 70% | 4320, 75% |
| yes | 689, 20% | 1054, 30% | 1459, 25% |
| Traffic organization signs at approach | |||
| B-1 | 716, 21% | 934, 27% | 1388, 24% |
| B-1/D-3 | 1397, 40% | 475, 13% | 0, 0% |
| B-2 | 0, 0% | 120, 3.4% | 0, 0% |
| B-3 | 1339, 39% | 1532, 43% | 4391, 76% |
| B-3/H-8 | 0, 0% | 461, 13% | 0, 0% |
| Pedestrian crossing presence | |||
| none | 0, 0% | 239, 6.8% | 0, 0% |
| both | 3452, 100% | 2926, 83% | 4804, 83% |
| approach only | 0, 0% | 238, 6.8% | 513, 8.9% |
| exit only | 0, 0% | 119, 3.4% | 462, 8.0% |
| Bicycle crossing presence | |||
| none | 1002, 29% | 710, 20% | 3565, 62% |
| both | 2450, 71% | 2110, 60% | 871, 15% |
| approach only | 0, 0% | 471, 13% | 708, 12% |
| exit only | 0, 0% | 231, 6.6% | 635, 11% |
| Variables | p-Value | Statistical Significance |
|---|---|---|
| signal type | <0.01 | TRUE |
| channelized | <0.01 | TRUE |
| tram crossing | <0.01 | TRUE |
| buildings | <0.01 | TRUE |
| other obstacles | 0.03 | TRUE |
| Comparison | Z | P.unadj | P.adj | Statistical Significance |
|---|---|---|---|---|
| Intersection type | ||||
| I-2–I-3 | 11.78 | <0.01 | <0.01 | TRUE |
| I-2–I-1 | 23.48 | <0.01 | <0.01 | TRUE |
| I-3–I-1 | 6.66 | <0.01 | <0.01 | TRUE |
| Lane width | ||||
| (2.5, 3]–(3, 3.5] | 2.10 | 0.04 | 0.11 | FALSE |
| (2.5, 3]–(3.5, 4] | −20.32 | <0.01 | <0.01 | TRUE |
| (3, 3.5]–(3.5, 4] | −20.42 | <0.01 | <0.01 | TRUE |
| (2.5, 3]–(4.5, 5.25] | 0.59 | 0.56 | 1 | FALSE |
| (3, 3.5]–(4.5, 5.25] | 0.39 | 0.7 | 0.7 | FALSE |
| (3.5, 4]–(4.5, 5.25] | 4.16 | <0.01 | <0.01 | TRUE |
| Number of lanes | ||||
| 2–3 | −22.05 | <0.01 | <0.01 | TRUE |
| 2–4 | −2.79 | 0.01 | 0.01 | TRUE |
| 3–4 | 20.10 | <0.01 | <0.01 | TRUE |
| 2–5 | 8.20 | <0.01 | <0.01 | TRUE |
| 3–5 | 16.48 | <0.01 | <0.01 | TRUE |
| 4–5 | 9.42 | <0.01 | <0.01 | TRUE |
| Cross-section entry type (number of roads/number of lanes) | ||||
| (1/2)–(1/4) | −9.47 | <0.01 | <0.01 | TRUE |
| (1/2)–(2/2) | −13.86 | <0.01 | <0.01 | TRUE |
| (1/4)–(2/2) | 4.29 | <0.01 | <0.01 | TRUE |
| (1/2)–(2/3) | −23.96 | <0.01 | <0.01 | TRUE |
| (1/4)–(2/3) | 0.61 | 0.55 | 0.55 | FALSE |
| (2/2)–(2/3) | −12.16 | <0.01 | <0.01 | TRUE |
| Approach width | ||||
| (0, 6]–(12, 15] | −14.07 | <0.01 | <0.01 | TRUE |
| (0, 6]–(6, 9] | −26.69 | <0.01 | <0.01 | TRUE |
| (12, 15]–(6, 9] | −16.01 | <0.01 | <0.01 | TRUE |
| (0, 6]–(9, 12] | −21.56 | <0.01 | <0.01 | TRUE |
| (12, 15]–(9, 12] | −9.11 | <0.01 | <0.01 | TRUE |
| (6, 9]–(9, 12] | 7.47 | <0.01 | <0.01 | TRUE |
| Longitudinal slope at approach | ||||
| (−0.5, 0.5]–(−1.5, −0.5] | 17.86 | <0.01 | <0.01 | TRUE |
| (−0.5, 0.5]–(−2.5, −1.5] | −15.19 | <0.01 | <0.01 | TRUE |
| (−1.5, −0.5]–(−2.5, −1.5] | −23.73 | <0.01 | <0.01 | TRUE |
| (−0.5, 0.5]–(−3.5, −2.5] | −0.39 | 0.69 | 0.69 | FALSE |
| (−1.5, −0.5]–(−3.5, −2.5] | −2.41 | 0.02 | 0.1 | FALSE |
| (−2.5, −1.5]–(−3.5, −2.5] | 2.68 | 0.01 | 0.05 | FALSE |
| (−0.5, 0.5]–(0.5, 1.5] | 8.66 | <0.01 | <0.01 | TRUE |
| (−1.5, −0.5]–(0.5, 1.5] | −3.07 | <0.01 | 0.02 | TRUE |
| (−2.5, −1.5]–(0.5, 1.5] | 18.30 | <0.01 | <0.01 | TRUE |
| (−3.5, −2.5]–(0.5, 1.5] | 1.84 | 0.07 | 0.2 | FALSE |
| (−0.5, 0.5]–(1.5, 2.5] | −1.91 | 0.06 | 0.22 | FALSE |
| (−1.5, −0.5]–(1.5, 2.5] | −6.48 | <0.01 | <0.01 | TRUE |
| (−2.5, −1.5]–(1.5, 2.5] | 4.82 | <0.01 | <0.01 | TRUE |
| (−3.5, −2.5]–(1.5, 2.5] | −0.41 | 0.68 | 1 | FALSE |
| (0.5, 1.5]–(1.5, 2.5] | −5.01 | <0.01 | <0.01 | TRUE |
| (−0.5, 0.5]–(2.5, 3.5] | 9.47 | <0.01 | <0.01 | TRUE |
| (−1.5, −0.5]–(2.5, 3.5] | 2.03 | 0.04 | 0.21 | FALSE |
| (−2.5, −1.5]–(2.5, 3.5] | 17.28 | <0.01 | <0.01 | TRUE |
| (−3.5, −2.5]–(2.5, 3.5] | 2.90 | <0.01 | 0.03 | TRUE |
| (0.5, 1.5]–(2.5, 3.5] | 3.67 | <0.01 | <0.01 | TRUE |
| (1.5, 2.5]–(2.5, 3.5] | 6.77 | <0.01 | <0.01 | TRUE |
| Traffic organization signs at approach | ||||
| B-1–B-1/D-3 | −12.92 | <0.01 | <0.01 | TRUE |
| B-1–B-2 | 3.40 | <0.01 | <0.01 | TRUE |
| B-1/D-3–B-2 | 9.15 | <0.01 | <0.01 | TRUE |
| B-1–B-3 | −41.85 | <0.01 | <0.01 | TRUE |
| B-1/D-3–B-3 | −14.87 | <0.01 | <0.01 | TRUE |
| B-2–B-3 | −16.30 | <0.01 | <0.01 | TRUE |
| B-1–B-3/H-8 | 7.62 | <0.01 | <0.01 | TRUE |
| B-1/D-3–B-3/H-8 | 13.11 | <0.01 | <0.01 | TRUE |
| B-2–B-3/H-8 | 3.16 | <0.01 | <0.01 | TRUE |
| B-3–B-3/H-8 | 20.41 | <0.01 | <0.01 | TRUE |
| Pedestrian crossing presence | ||||
| both–approach only | −13.63 | <0.01 | <0.01 | TRUE |
| both–exit only | −12.23 | <0.01 | <0.01 | TRUE |
| approach only–exit only | 1.27 | 0.2 | 0.2 | FALSE |
| Bicycle crossing presence | ||||
| none–both | −7.29 | <0.01 | <0.01 | TRUE |
| none–approach only | −20.36 | <0.01 | <0.01 | TRUE |
| both–approach only | −15.28 | <0.01 | <0.01 | TRUE |
| none–exit only | −12.53 | <0.01 | <0.01 | TRUE |
| both–exit only | −7.78 | <0.01 | <0.01 | TRUE |
| approach only–exit only | 5.95 | <0.01 | <0.01 | TRUE |
| 0.15 Quantile | Mean | 0.85 Quantile | |||||||
|---|---|---|---|---|---|---|---|---|---|
| Variable | Coeff | 95% CI 1 | p-Value | Coeff | 95% CI 1 | p-Value | Coeff | 95% CI 1 | p-Value |
| (Intercept) | −3.2 | −3.5, −2.8 | <0.001 | 0.38 | −0.29, 1.0 | 0.3 | 3.9 | 3.5, 4.2 | <0.001 |
| log(radius) | 8.1 | 7.9, 8.2 | <0.001 | 8.0 | 7.8, 8.3 | <0.001 | 8.0 | 7.9, 8.2 | <0.001 |
| Variable | Coeff | 95% CI 1 | p-Value |
|---|---|---|---|
| (Intercept) | 34 | 33, 35 | <0.001 |
| Type of movement at the intersection | |||
| straight-through | 0.00 | — | |
| left turn | −12 | −12, −11 | <0.001 |
| right turn | −18 | −18, −18 | <0.001 |
| Type of intersection and traffic organization | |||
| I-1_B-1 | 0.00 | — | |
| I-1_B-2 | −0.91 | −2.6, 0.74 | 0.3 |
| I-1_B-3 | 4.4 | 3.5, 5.3 | <0.001 |
| I-1_B-3/H-8 | −1.7 | −2.9, −0.56 | 0.004 |
| I-2_B-1 | 5.8 | 4.8, 6.7 | <0.001 |
| I-2_B-3 | 12 | 11, 13 | <0.001 |
| I-3_B-1 | 3.5 | 2.0, 5.0 | <0.001 |
| I-3_B-1/D-3 | 13 | 12, 14 | <0.001 |
| I-3_B-3 | 8.4 | 6.8, 9.9 | <0.001 |
| Signal type | |||
| direction-only | 0.00 | — | |
| general | 0.61 | 0.04, 1.2 | 0.035 |
| Number of lanes | |||
| 2 | 0.00 | — | |
| 3 | 0.54 | 0.05, 1.0 | 0.030 |
| 4 | −4.0 | −4.6, −3.5 | <0.001 |
| 5 | −6.4 | −7.4, −5.4 | <0.001 |
| Cross-section entry type | |||
| (1/2) | 0.00 | — | |
| (1/4) | 8.4 | 7.1, 9.7 | <0.001 |
| (2/2) | −0.69 | −1.4, −0.01 | 0.047 |
| (2/3) | 3.4 | 2.8, 4.1 | <0.001 |
| Longitudinal slope at approach | |||
| (−3.5, −1.5] | 0.00 | — | |
| (−1.5, 1.5] | −2.4 | −3.3, −1.5 | <0.001 |
| (1.5, 3.5] | −3.1 | −4.3, −2.0 | <0.001 |
| Channelized type | |||
| none | 0.00 | — | |
| horizontal marking | 2.5 | −0.29, 5.3 | 0.079 |
| island with curb | 3.4 | 2.2, 4.7 | <0.001 |
| Bicycle crossing presence | |||
| none | 0.00 | — | |
| both | 1.9 | 1.3, 2.4 | <0.001 |
| approach only | 6.7 | 6.0, 7.3 | <0.001 |
| exit only | 4.4 | 3.8, 5.1 | <0.001 |
| Tram crossing presence | |||
| no | 0.00 | — | |
| yes | −1.7 | −2.1, −1.3 | <0.001 |
| Buildings presence | |||
| no | 0.00 | — | |
| yes | −1.6 | −2.1, −1.2 | <0.001 |
| Other obstacles presence | |||
| no | 0.00 | — | |
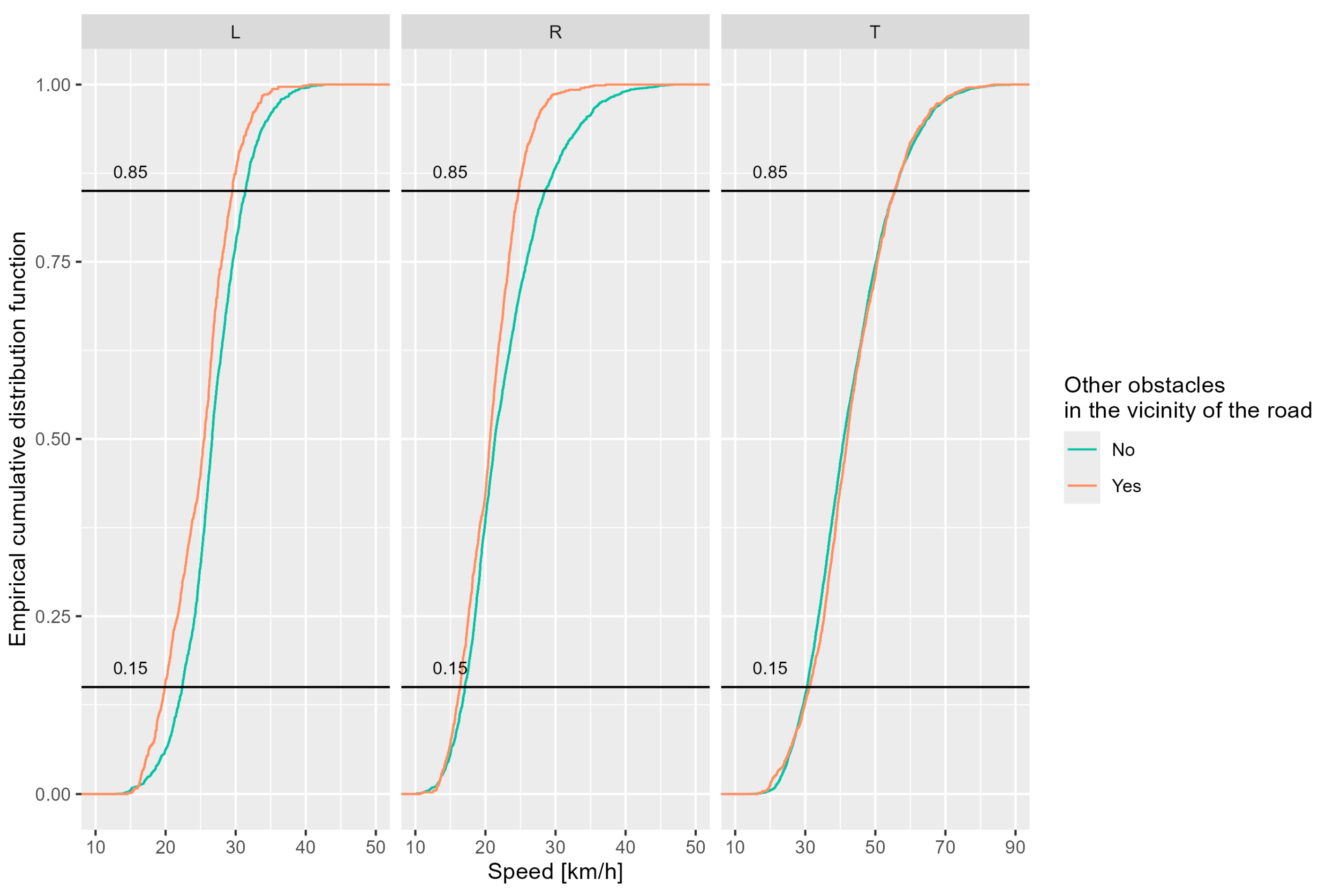
| yes | −2.2 | −2.6, −1.8 | <0.001 |
| National Model | Proposed Model | ||||||||||
|---|---|---|---|---|---|---|---|---|---|---|---|
| Basic Statistic; N = 980 | |||||||||||
| Min. | 1st Qu. | Med. | Mean | 3rd Qu | Max. | Min. | 1st Qu. | Med. | Mean | 3rd Qu | Max. |
| −4.664 | 2.176 | 3.470 | 3.737 | 5.143 | 12.469 | −6.454 | 1.797 | 4.164 | 4.267 | 6.641 | 16.887 |
| Shapiro-Wilk normality test | |||||||||||
| W statistic | p-value | W statistic | p-value | ||||||||
| 0.97023 | <0.001 | 0.99524 | 0.004 | ||||||||
| Wilcoxon signed rank test with continuity correction | |||||||||||
| Tested probe | V statistic | p-value | |||||||||
| all intersection types | 184,569 | <0.001 | |||||||||
| I-1 | 667 | <0.001 | |||||||||
| I-2 | 14,092 | 0.018 | |||||||||
| I-3 | 81,026 | 0.001 | |||||||||
| Intraclass Correlation Coefficient | |||||||||||
| Tested probe | ICC statistic [95% CI1]; F statistic | p-value | |||||||||
| all intersection types | 0.685 [0.640; 0.724]; 5.55 | <0.001 | |||||||||
| I-1 | 0.612 [0.367; 0.762]; 4.96 | <0.001 | |||||||||
| I-2 | 0.719 [0.654; 0.773]; 6.26 | <0.001 | |||||||||
| I-3 | 0.679 [0.629; 0.722]; 5.38 | <0.001 | |||||||||
| Pearson’s product-moment correlation | |||||||||||
| Tested probe | R statistic [95% CI1]; t value | p-value | |||||||||
| all intersection types | 0.722 [0.691; 0.751]; 32.644 | <0.001 | |||||||||
| I-1 | 0.666 [0.513; 0.778]; 7.467 | <0.001 | |||||||||
| I-2 | 0.768 [0.714; 0.813]; 19.676 | <0.001 | |||||||||
| I-3 | 0.714 [0.674; 0.750]; 25.669 | <0.001 | |||||||||
| Spearman’s rank correlation rho | |||||||||||
| Tested probe | Ρ statistic; S statistic | p-value | |||||||||
| all intersection types | 0.700; 47,102,835 | <0.001 | |||||||||
| I-1 | 0.697; 18,874 | <0.001 | |||||||||
| I-2 | 0.729; 898,333 | <0.001 | |||||||||
| I-3 | 0.694; 13,062,598 | <0.001 | |||||||||
| Root Mean Squared Error RMSE [s] | |||||||||||
| all intersection types | I-1 | I-2 | I-3 | ||||||||
| 2.53 | 2.67 | 2.49 | 2.52 | ||||||||
Disclaimer/Publisher’s Note: The statements, opinions and data contained in all publications are solely those of the individual author(s) and contributor(s) and not of MDPI and/or the editor(s). MDPI and/or the editor(s) disclaim responsibility for any injury to people or property resulting from any ideas, methods, instructions or products referred to in the content. |
© 2024 by the authors. Licensee MDPI, Basel, Switzerland. This article is an open access article distributed under the terms and conditions of the Creative Commons Attribution (CC BY) license (https://creativecommons.org/licenses/by/4.0/).
Share and Cite
Iwanowicz, D.; Krukowicz, T.; Chadała, J.; Grabowski, M.; Woźniak, M. Evaluation of Selected Factors Affecting the Speed of Drivers at Signal-Controlled Intersections in Poland. Sustainability 2024, 16, 8862. https://doi.org/10.3390/su16208862
Iwanowicz D, Krukowicz T, Chadała J, Grabowski M, Woźniak M. Evaluation of Selected Factors Affecting the Speed of Drivers at Signal-Controlled Intersections in Poland. Sustainability. 2024; 16(20):8862. https://doi.org/10.3390/su16208862
Chicago/Turabian StyleIwanowicz, Damian, Tomasz Krukowicz, Justyna Chadała, Michał Grabowski, and Maciej Woźniak. 2024. "Evaluation of Selected Factors Affecting the Speed of Drivers at Signal-Controlled Intersections in Poland" Sustainability 16, no. 20: 8862. https://doi.org/10.3390/su16208862
APA StyleIwanowicz, D., Krukowicz, T., Chadała, J., Grabowski, M., & Woźniak, M. (2024). Evaluation of Selected Factors Affecting the Speed of Drivers at Signal-Controlled Intersections in Poland. Sustainability, 16(20), 8862. https://doi.org/10.3390/su16208862

