Multi-Sensory Interaction and Spatial Perception in Urban Microgreen Spaces: A Focus on Vision, Auditory, and Olfaction
Abstract
1. Introduction
- (1)
- What are the differences in visual attention recovery benefits and visual behavioral responses in urban microgreen spaces under single visual stimuli compared to combined visual–auditory and visual–olfactory stimuli?
- (2)
- What are the differences in olfactory sensitivity recovery benefits and olfactory behavioral responses in urban microgreen spaces under single olfactory stimuli compared to combined auditory–olfactory and visual–olfactory stimuli?
- (3)
- What are the differences in auditory perception recovery benefits and auditory behavioral responses in urban microgreen spaces under single auditory stimuli compared to combined auditory–olfactory and visual–auditory stimuli?
- (4)
- What are the differences in spatial perception in urban microgreen spaces under combined visual–auditory, visual–olfactory, auditory–olfactory, and visual–auditory–olfactory stimuli?
2. Materials and Methods
2.1. Overview of the Study Sample
2.2. Visual–Auditory–Olfactory Information Acquisition and Processing
2.2.1. Visual Information
2.2.2. Auditory Information
2.2.3. Olfactory Information
2.3. Experimental Design and Procedure
2.3.1. Subjects
2.3.2. Experimental Procedures
- (1)
- Before the start of the visual–auditory–smell experiment, a 30 s traffic video was played to induce attentional fatigue and stress in the subjects. After viewing, systolic blood pressure, diastolic blood pressure, and heart rate were measured with a sphygmomanometer, and the POMS scale was used to record the subjects’ real-time state of mind;
- (2)
- Subjects were given visual, auditory, or olfactory stimuli according to the experimental requirements. During the auditory–olfactory experiment, the subjects were required to close their eyes gently to avoid visual influence; the visual–auditory group, the visual–olfactory group, and the visual–auditory–smell group played the video of the experiment for 20 s, and the video order was randomized;
- (3)
- At the end of each small section of the experiment, SD semantic scale and POMS scale ratings were obtained, and the subjects’ blood pressure and heart rate data were measured again, a 1-min rest period during the survey has been shown to be reliable for restoring participants’ states [42], so a 1-min break was implemented between intervals. The above three steps were set as one experiment, and after completing these three steps, the process was repeated starting from the first step, for a total of nine repetitions.
2.4. Experimental Data Collection
2.4.1. Physiological Data
2.4.2. Psychological Data
2.5. Data Analysis Methods
3. Results
3.1. Psychological Data Results
3.1.1. SD Scale
3.1.2. POMS Scale
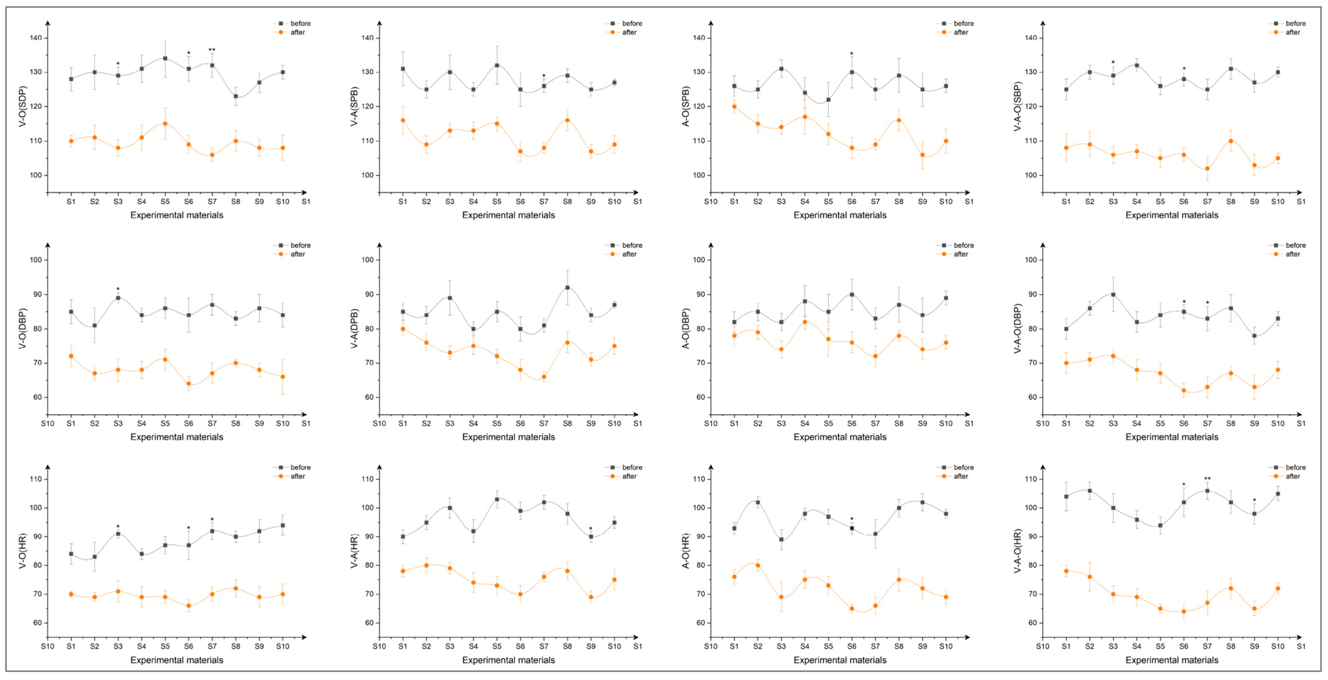
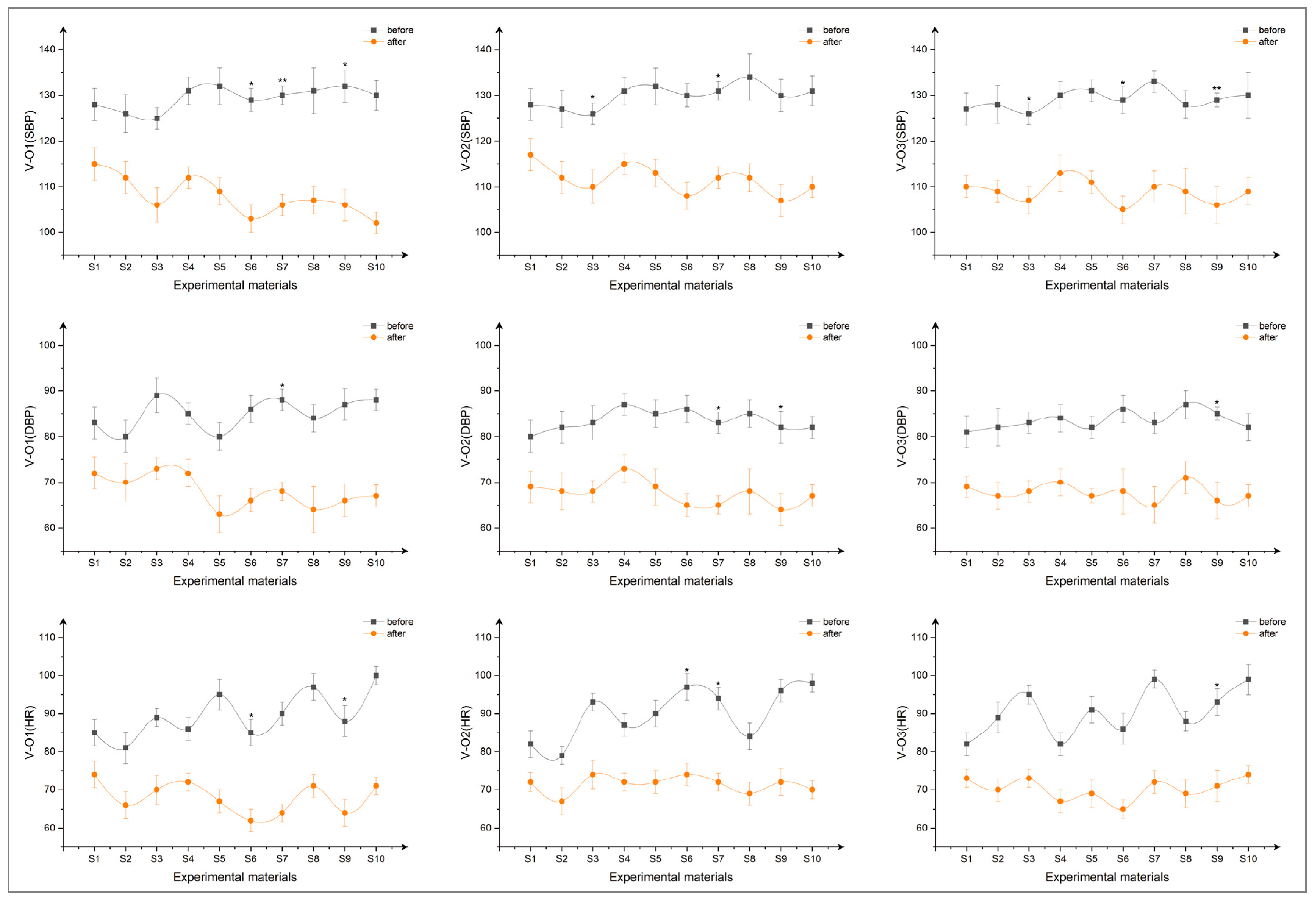
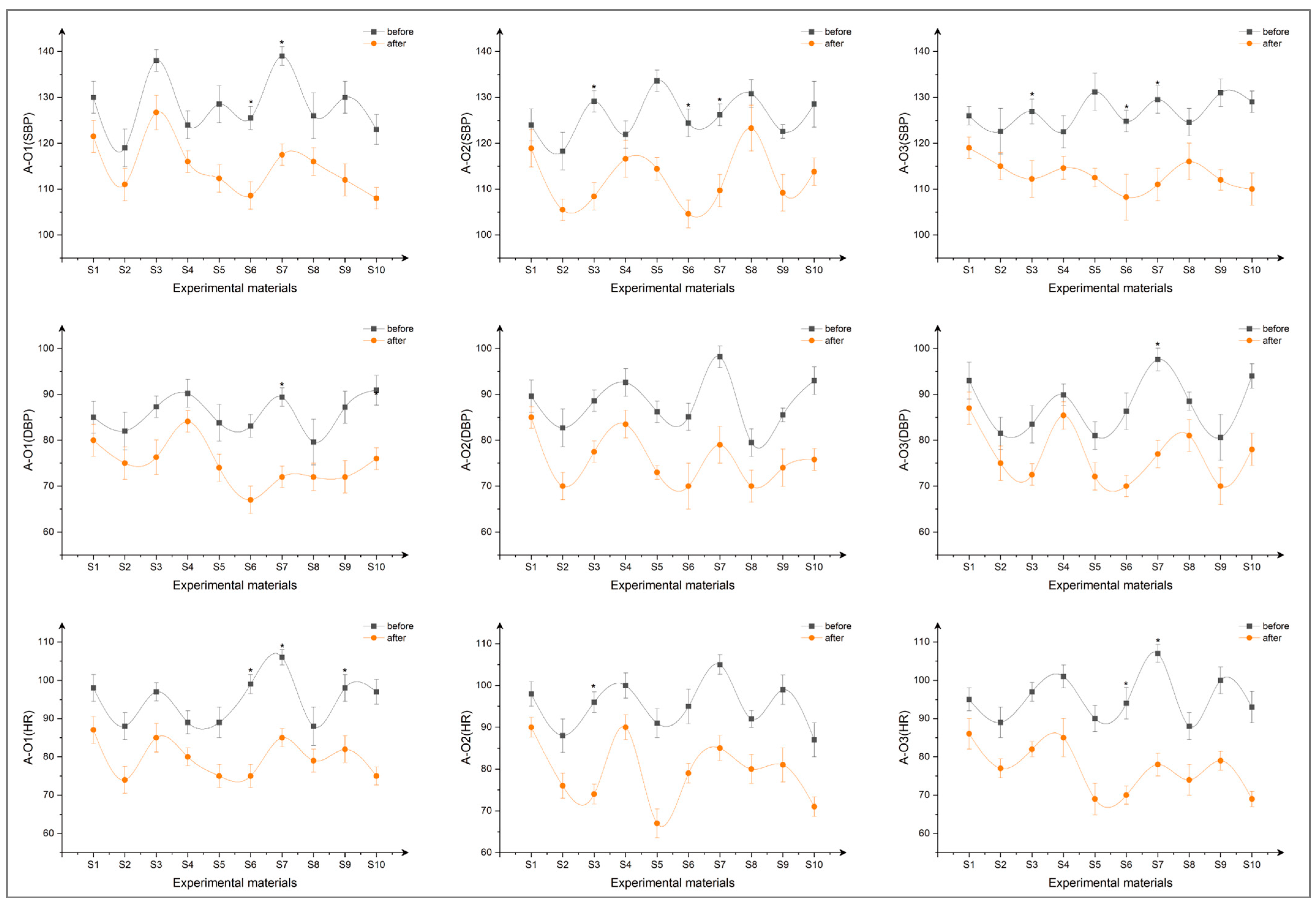
3.2. Physiological Data Results
3.2.1. Single-Sensory Interaction Results
3.2.2. Multi-Sensory Interaction Results
3.2.3. Visual–Olfactory Interaction Results
3.2.4. Auditory–Olfactory Interaction Results
3.3. Results of Eye Movement Data
3.3.1. Eye Movement Hotspot Map Analysis
3.3.2. Visual–Auditory–Olfactory Eye Movement Results
4. Discussion
5. Summary
5.1. Effect of Multisensory Interactions on the Perceived Quality of Urban Microgreen Spaces
5.2. The Impact of Multi-Sensory Integration on Spatial Perception in Micro Park Design and Its Planning Significance
5.3. Limitations
Author Contributions
Funding
Data Availability Statement
Acknowledgments
Conflicts of Interest
References
- Nordström, J.; Hammarlund, C. You Win Some, You Lose Some: Compensating the Loss of Green Space in Cities Considering Heterogeneous Population Characteristics. Land 2021, 10, 1156. [Google Scholar] [CrossRef]
- Sylwia, K.; Aleksandra, G. Pocket parks in Lodz as an element of improving urban resilience in the city centre. Builder 2022, 303, 52–55. [Google Scholar]
- Zhou, S.Y.; Peng, J. On the Features of Village Space Perception in the Transition Period—A Case Study of Dongshan, Wu County, Jiangsu Province. Hum. Geogr. 1998, 4, 14–18+52. [Google Scholar]
- Daniel, T.C. Whither scenic beauty? Visual landscape quality assessment in the 21st century. Landsc. Urban Plan. 2001, 54, 267–281. [Google Scholar] [CrossRef]
- Lin, J.; Li, Y. Influence of Visual Characteristics on the Creation of Plant Landscape Space. J. Beijing For. Univ. (Soc. Sci. Ed.) 2007, 1, 46–50+78. [Google Scholar]
- Hu, D.; Qin, W. Evaluation of the beauty of urban park plant landscape under the background of culture and tourism. J. Cent. South Univ. For. Technol. 2024, 44, 189–200. [Google Scholar]
- Liu, Z. Visual landscape quality evaluation of suburban forest parks in Taiyuan based on the AHP method. J. Cent. South Univ. For. Technol. 2023, 43, 188–200. [Google Scholar]
- Xiao, W.F.; Zhang, T.T. Evaluation of landscape elements and layout optimisation of Kirin Mountain Park in Baise City based on visual analysis. Planner 2016, 32, 78–84. [Google Scholar]
- He, S.L.; Li, X.T.; Wang, M. Landscape design evaluation of nine pocket parks in Guangzhou based on AHP method. Mod. Hortic. 2024, 47, 51–55. [Google Scholar]
- Liu, B.Y.; Fan, R. Experiment and analysis of landscape spatial visual attraction mechanism. China Gard. 2014, 30, 33–36. [Google Scholar]
- Zhang, G.; Yang, J.; Jin, J. Assessing relations among landscape preference, informational variables, and visual attributes. J. Environ. Eng. J. Environ. Eng. Landsc. Manag. 2021, 29, 294–304. [Google Scholar] [CrossRef]
- Granö, J.G.; Geographie, R.; Geographica, A. English Tr.: Pure Geography. Baltimore and London; The Johns Hopkins University Press: Baltimore, MD, USA, 1997. [Google Scholar]
- Hedfors, P.; Berg, G.P. The Sounds of Two Landscape Settings: Auditory concepts for physical planning and design. Landsc. Res. 2003, 28, 245–263. [Google Scholar] [CrossRef]
- Jordan, L. Thoughts towards a Fourth Phase of Soundscape Research: (re)merging quantitative and artistic practice. INTER—NOISE NOISE-CON Congr. Conf. Proc. 2019, 259, 698–706. [Google Scholar]
- Torresin, S.; Aletta, F.; Babich, F.; Bourdeau, E.; Harvie-Clark, J.; Kang, J.; Lavia, L.; Radicchi, A.; Albatici, R. Acoustics for Supportive and Healthy Buildings: Emerging Themes on Indoor Soundscape Research. Sustainability 2020, 12, 6054. [Google Scholar] [CrossRef]
- Zhang, D.Y.; Chen, J.; Xu, X.J. Analysis of soundscape concept. J. Hefei Univ. Technol. (Nat. Sci. Ed.). 2007, 1, 53–56. [Google Scholar]
- Schafer, R.M. The Tuning of the World. J. Res. Music Educ. 1977, 25, 291–293. [Google Scholar]
- Aletta, F.; Van Renterghem, T.; Botteldooren, D. Influence of Personal Factors on Sound Perception and Overall Experience in Urban Green Areas. a Case Study of a Cycling Path Highly Exposed to Road Traffic Noise. Int. J. Environ. Res. Public Health 2018, 15, 1118. [Google Scholar] [CrossRef]
- Uebel, K.; Marselle, M.; Dean, A.J.; Rhodes, J.R.; Bonn, A. Urban green space soundscapes and their perceived restorativeness. People Nat. 2021, 3, 756–769. [Google Scholar] [CrossRef]
- Korpilo, S.; Nyberg, E.; Vierikko, K.; Nieminen, H.; Arciniegas, G.; Raymond, C.M. Developing a Multi-sensory Public Participation GIS (MSPPGIS) method for integrating landscape values and soundscapes of urban green infrastructure. Landsc. Urban Plan. 2023, 230, 104617. [Google Scholar] [CrossRef]
- Xiao, J.L.; Feng, H.C.; Xie, H. From “smell” to “landscape”: An overview of olfactory landscape research methods and design theories. J. West. Habitat 2021, 36, 7–14. [Google Scholar]
- Porteous, J.D. Smellscape. Prog. Phys. Geogr. 1985, 3, 356–378. [Google Scholar] [CrossRef]
- Pallasmaa, J. The Eyes of the Skin: Architecture and the Senses; John Wiley & Sons: Hoboken, NJ, USA, 1996. [Google Scholar]
- Koenig, O.; Bourron, G.; Royet, J. Evidence for Separate Perceptive and Semantic Memories for Odours: A Priming Experiment. Chem. Senses 2000, 6, 703–708. [Google Scholar] [CrossRef] [PubMed][Green Version]
- Ni, D.F. Olfactory disorders and olfactory function tests. J. Clin. Otolaryngol. 2003, 9, 571–575. [Google Scholar]
- Henshaw, V. Urban Smellscapes: Understanding and Designing City Smell Environments; Routledge: London, UK, 2013; p. 272. [Google Scholar]
- Zhou, W.; Feng, G. Olfactory perception and its interaction with the emotional system. Adv. Psychol. Sci. 2012, 20, 2–9. [Google Scholar] [CrossRef]
- Yang, I.Q.; Deng, Z.P.; Pei, S.C.; Zhang, N. A feasibility study on indoor therapeutic horticulture to alleviate sleep and anxiety problems: The impact of plants and activity choice on its therapeutic effect. Complement. Ther. Med. 2024, 81, 103032. [Google Scholar] [CrossRef]
- Han, S.S.; Su, J.L.; Sun, G.C. Relationships between personality traits and attitudes toward the sense of smell. Front. Psychol. 2013, 4, 901. [Google Scholar]
- Chen, Y.W.; Yuan, X.M. Progress of odour landscape research. China Gard. 2017, 33, 107–112. [Google Scholar]
- Chan, C.S.; Shek, K.F.; Agapito, D. The sensory experience of visitors with hearing impairment in Hong Kong Wetland Park based on spatial sensory mapping and self-reported textual analysis. Landsc. Urban Plan. 2022, 226, 104491. [Google Scholar] [CrossRef]
- Park, H.; Kayser, C. The context of experienced sensory discrepancies shapes multisensory integration and recalibration differently. Cognition 2022, 225, 105092. [Google Scholar] [CrossRef]
- Li, W.B.; Yang, L. Predicting the Impact of Integrated Audio-Visual Environments on Perceived Restorative Benefits Across Different Park types: A Field Study Based on Seven Parks in Hangzhou, China. Urban For. Urban Green. 2024, 101, 128517. [Google Scholar] [CrossRef]
- Zhu, Y.Q.; Chen, Y. A study of noise exposure of traffic-type pocket parks in old urban districts based on audio-visual interaction. Appl. Acoust. 2023, 213, 109628. [Google Scholar] [CrossRef]
- Song, C.; Ikei, H.; Miyazaki, Y. Physiological effects of forest-related visual, olfactory, and combined stimuli on humans: An additive combined effect. Urban For. Urban Green. 2019, 44, 126437. [Google Scholar] [CrossRef]
- Ha, J.Y.; Kim, H.J. The restorative effects of campus landscape biodiversity: Assessing visual and auditory perceptions among university students. Urban For. Urban Green. 2021, 64, 127259. [Google Scholar] [CrossRef]
- Liu, L.H.; Wu, M.Y.; Ma, Y.M.; Qu, H.Y. A research review of eye tracking application in landscape. J. West. Habitat 2021, 36, 125–133. [Google Scholar]
- Chen, B.J.; Gong, C.; Li, S.H. Looking at buildings or trees? Association of human nature relatedness with eye movements in outdoor space. J. Environ. Psychol. 2022, 80, 101756. [Google Scholar] [CrossRef]
- Liu, Y.P.; Hu, M.J.; Zhao, B. Audio-visual interactive evaluation of the forest landscape based on eye tracking experiments. Urban For. Urban Green. 2019, 46, 126476. [Google Scholar] [CrossRef]
- Editorial Board of Waterfront Landscapes. Waterfront Landscape; China Forestry Press: Beijing, China, 2014; pp. 48–56. [Google Scholar]
- Ba, M.H.; Kang, J. Perception and Behaviour under the Audio-olfactory Interaction in Urban Public Open Spaces. South Archit. 2022, 10, 19–29. [Google Scholar]
- Zhu, Y.J.; Dong, J.Y.; Weng, Y.X.; Dong, J.W.; Wang, M.H. Audio-visual Interaction Evaluation of Forest Park Environment Based on Eye Movement Tracking Technology. Chin. Landsc. Archit. 2021, 37, 69–74. [Google Scholar]
- Topouchian, J.; El Assaad, M.E.; Orobinskaia, V.L.; El Feghali, R.E.; Asmar, R. Validation of two automatic devices for self-measurement of blood pressure according to the International Protocol of the European Society of Hypertension: The Omron M6 (HEM-7001-E) and the Omron R7 (HEM 637-IT). Blood Press. Monit. 2006, 3, 165–171. [Google Scholar] [CrossRef]
- Pei, S. A Study of Assessment of Landscape Perception of Urban Parks Based on SD Technique: A Case Study on Jiangxinzhou Park in Xuancheng City, Anhui Province. In Proceedings of the 2021 2nd International Conference on Urban Engineering and Management Science (ICUEMS), Sanya, China, 29–31 January 2021; pp. 272–277. [Google Scholar]
- Zhang, J. Plants community scenery evaluation for gardens in Nantong City based on SD method. J. Zhejiang Agric. Sci. 2018, 59, 829–832+836. [Google Scholar]
- Zhou, Y.H.; Wang, Y.F.; Jin, H.X. Study on the Restorative Benefits of Campus Green Space under Visual and Olfactory Perceptions. Chin. Landsc. Archit. 2023, 39, 36–41. [Google Scholar]
- Zhu, B.L. Introduction to the POMS scale and the short-form Chinese norm. J. Tianjin Sports Inst. 1995, 1, 35–37. [Google Scholar]
- Yan, M.M.; Zheng, Y.L.; Qi, Y.H. Establishment of eye movement database based on region of interest images. J. Xi’an Univ. Technol. 2014, 1, 85–90. [Google Scholar]
- Kaplan, S. The restorative benefits of nature: Toward an integrative framework. J. Environ. Psychol. 1995, 3, 169–182. [Google Scholar] [CrossRef]
- Rinaldi, L.; Maggioni, E.; Olivero, N.; Maravita, A.; Girelli, L. Smelling the space around us: Odor pleasantness shifts visuospatial attention in humans. Emotion 2018, 18, 971–979. [Google Scholar] [CrossRef] [PubMed]
- Li, C.A.; Yeh, S.L. What You Smell Affects Different Components of Your Visual Attention. I-Perception 2011, 2, 942. [Google Scholar] [CrossRef]
- Iordanescu, L.; Grabowecky, M.; Suzuki, S. Meaningful association of a sound with a target facilitates visual search. J. Vis. 2007, 7, 304. [Google Scholar] [CrossRef]
- Olofsson, J.K.; Ekström, I.; Lindström, J.; Syrjänen, E.; Stigsdotter-Neely, A.; Nyberg, L.; Jonsson, S.; Larsson, M. Smell-Based Memory Training: Evidence of Olfactory Learning and Transfer to the Visual Domai. Chem. Senses 2020, 7, 593–600. [Google Scholar] [CrossRef]
- T/ASC 02-2021; Healthy Building Evaluation Standards. Chinese Society for Architecture: Beijing, China, 2021.















| Sample Plot | Type of Space | Environmental Characteristics | Botanical Landscape |
|---|---|---|---|
| S1 | open space | Adjacent to the road, noisy | Bush, herbaceous flowers |
| S2 | open space | Junction of entrance and plaza | Bush, herbaceous flowers |
| S3 | open space | West of the main square, recreation area | Herbaceous flowers, trees |
| S4 | open space | North of the main square with sports equipment | Herbaceous flowers, bushes, trees |
| S5 | under-canopy space | East of the Grand Concourse, round the corner. | Herbaceous flowers, trees |
| S6 | under-canopy space | Forking roads, poor road conditions | Lawns, ground covers, bushes, trees |
| S7 | under-canopy space | Paths, roads in poor condition | Lawns, ground covers, bushes, trees |
| S8 | open space | Small square, recreation area | Herbaceous flowers, trees |
| S9 | under-canopy space | Walking path with wooded views | Ground cover, trees |
| S10 | open space | Walking path with wooded views | Ground cover, bushes, trees |
| Form | Evaluation Unit | Conjunctions | Very Much | Usual | Medium | Usual | Very Much | Conjunctions |
|---|---|---|---|---|---|---|---|---|
| environmental awareness | environmental element | sole | −2 | −1 | 0 | 1 | 2 | ample |
| green measurements | faint | −2 | −1 | 0 | 1 | 2 | lively | |
| naturalness | synthetic | −2 | −1 | 0 | 1 | 2 | natural | |
| psychological perception | coherence | messy | −2 | −1 | 0 | 1 | 2 | harmonious |
| comfort | uneven | −2 | −1 | 0 | 1 | 2 | comfortable | |
| sex appeal | flat | −2 | −1 | 0 | 1 | 2 | fascinating | |
| sense of mood | realistic | −2 | −1 | 0 | 1 | 2 | associative | |
| ambiance | lively | −2 | −1 | 0 | 1 | 2 | quiet | |
| fun | routine | −2 | −1 | 0 | 1 | 2 | funny thing |
| Area | Dimension (Math.) | Audible | Noiselessly | Relief (i.e., Height of Land in Geography) | t | ||
|---|---|---|---|---|---|---|---|
| Average Value | (Statistics) Standard Deviation | Average Value | (Statistics) Standard Deviation | ||||
| S1 | Average gaze time | 328.067 | 66.828 | 345.643 | 76.652 | −17.576 | −1.633 |
| Average eye jump | 5.914 | 1.496 | 5.422 | 1.248 | 0.492 | 1.115 | |
| gaze | 46.879 | 7.871 | 43.641 | 7.135 | 3.238 | 0.927 | |
| S2 | Average gaze time | 338.596 | 72.857 | 331.033 | 106.551 | 7.563 | 2.744 |
| Average eye jump | 5.382 | 1.232 | 5.591 | 1.402 | −0.209 | −2.521 | |
| gaze | 45.967 | 9.036 | 47.758 | 8.068 | −1.791 | −1.910 | |
| S3 | Average gaze time | 342.806 | 133.264 | 326.446 | 89.262 | 16.36 | 2.720 |
| Average eye jump | 5.327 | 1.543 | 5.674 | 1.278 | −0.347 | −1.626 | |
| gaze | 43.967 | 7.509 | 46.867 | 7.903 | −2.9 | −1.063 | |
| S4 | Average gaze time | 326.905 | 93.566 | 335.502 | 94.557 | −8.597 | −4.376 |
| Average eye jump | 5.541 | 1.463 | 5.486 | 1.221 | 0.055 | 1.657 | |
| gaze | 50.322 | 7.782 | 49.067 | 5.232 | 1.255 | 2.074 | |
| S5 | Average gaze time | 346.531 | 133.825 | 332.271 | 158.246 | 43.866 | 1.385 |
| Average eye jump | 4.929 | 1.317 | 5.162 | 1.021 | −0.233 | −2.007 | |
| gaze | 43.567 | 6.204 | 45.621 | 6.994 | −2.054 | −1.285 | |
| S6 | Average gaze time | 394.203 | 117.106 | 342.149 | 175.753 | 52.054 | 2.325 * |
| Average eye jump | 5.192 | 1.563 | 5.318 | 1.295 | −0.126 | −2.537 | |
| gaze | 44.919 | 5.379 | 47.055 | 3.143 | −2.136 | −2.568 * | |
| S7 | Average gaze time | 405.957 | 95.187 | 347.805 | 73.315 | 58.152 | 4.387 ** |
| Average eye jump | 4.656 | 1.124 | 5.142 | 1.358 | −0.486 | −1.021 | |
| gaze | 39.814 | 3.886 | 43.917 | 5.905 | −4.1032 | −4.213 ** | |
| S8 | Average gaze time | 355.096 | 86.635 | 335.972 | 109.192 | 19.124 | 2.048 |
| Average eye jump | 5.304 | 1.241 | 5.403 | 1.399 | −0.099 | −5.333 | |
| gaze | 46.127 | 8.915 | 47.689 | 8.106 | −1.562 | −2.179 | |
| S9 | Average gaze time | 381.949 | 134.858 | 334.317 | 91.277 | 47.632 | 3.097 * |
| Average eye jump | 5.106 | 1.741 | 5.197 | 1.634 | −0.091 | −1.418 | |
| gaze | 42.726 | 3.509 | 46.726 | 6.085 | −4.095 | −1.886 | |
| S10 | Average gaze time | 381.832 | 91.556 | 308.073 | 40.139 | 73.756 | 4.325 ** |
| Average eye jump | 4.771 | 1.217 | 5.577 | 1.543 | −0.806 | −0.685 | |
| gaze | 46.267 | 7.457 | 49.928 | 8.764 | −3.661 | −0.886 | |
| Area | Dimension (Math.) | Aztec or African Marigold (Tagetes Erecta) | Odourless | Relief (i.e., Height of Land in Geography) | t | ||
|---|---|---|---|---|---|---|---|
| Average Value | (Statistics) Standard Deviation | Average Value | (Statistics) Standard Deviation | ||||
| sweet scent | Average gaze time | 382.687 | 64.898 | 342.573 | 19.497 | 40.114 | 2.664 * |
| twitching of eye | 5.209 | 1.385 | 5.364 | 1.148 | −0.155 | −0.334 | |
| gaze | 45.355 | 7.686 | 46.884 | 5.126 | −1.472 | −2.468 | |
| aromatic (chemistry) | Average gaze time | 433.949 | 66.197 | 342.573 | 19.497 | 91.376 | 6.116 *** |
| twitching of eye | 5.009 | 1.284 | 5.364 | 1.148 | −0.355 | −0.812 | |
| gaze | 43.234 | 4.241 | 46.884 | 5.126 | −3.650 | −3.650 ** | |
| pungent | Average gaze time | 324.704 | 103.226 | 342.573 | 19.497 | −17.869 | −0.521 |
| twitching of eye | 5.794 | 2.309 | 5.364 | 1.148 | 0.430 | 0.794 | |
| gaze | 49.698 | 4.070 | 46.884 | 5.126 | 2.814 | 1.609 | |
| Area | Dimension (Math.) | Chinese Poplar (Populus Tremula) | Odourless | Relief (i.e., Height of Land in Geography) | t | ||
|---|---|---|---|---|---|---|---|
| Average Value | (Statistics) Standard Deviation | Average Value | (Statistics) Standard Deviation | ||||
| sweet scent | Average gaze time | 382.267 | 69.866 | 342.573 | 19.497 | 39.694 | 2.237 |
| twitching of eye | 5.167 | 1.261 | 5.364 | 1.148 | −0.198 | −0.976 | |
| gaze | 45.204 | 4.179 | 46.884 | 5.126 | −1.68 | −0.841 | |
| aromatic (chemistry) | Average gaze time | 406.459 | 81.177 | 342.573 | 19.497 | 63.886 | 2.942 * |
| twitching of eye | 5.016 | 1.058 | 5.364 | 1.148 | −0.349 | −0.982 | |
| gaze | 42.715 | 8.330 | 46.884 | 5.126 | −4.168 | −3.099 * | |
| pungent | Average gaze time | 330.641 | 76.420 | 342.573 | 19.497 | −11.932 | −0.502 |
| twitching of eye | 5.591 | 0.812 | 5.364 | 1.148 | 0.231 | 0.948 | |
| gaze | 47.112 | 5.728 | 46.884 | 5.126 | 0.228 | 0.121 | |
| Area | Dimension (Math.) | Camphor | Odourless | Relief (i.e., Height of Land in Geography) | t | ||
|---|---|---|---|---|---|---|---|
| Average Value | (Statistics) Standard Deviation | Average Value | (Statistics) Standard Deviation | ||||
| sweet scent | Average gaze time | 394.174 | 91.528 | 342.573 | 19.497 | 51.601 | 1.701 |
| twitching of eye | 5.323 | 2.539 | 5.364 | 1.148 | −0.040 | −0.06 | |
| gaze | 44.935 | 8.824 | 46.884 | 5.126 | −1.949 | −1.332 | |
| aromatic (chemistry) | Average gaze time | 435.821 | 106.217 | 342.573 | 19.497 | 93.248 | 3.164 * |
| twitching of eye | 5.073 | 1.359 | 5.364 | 1.148 | −0.291 | −0.887 | |
| gaze | 41.522 | 5.081 | 46.884 | 5.126 | −5.362 | −2.743 | |
| pungent | Average gaze time | 330.893 | 82.892 | 342.573 | 19.497 | −11.680 | −0.529 |
| twitching of eye | 5.554 | 1.049 | 5.364 | 1.148 | 0.190 | 0.396 | |
| gaze | 48.333 | 6.038 | 46.884 | 5.126 | 1.449 | 0.985 | |
| Area | Dimension (Math.) | Smell and Hear | Control Subjects | Relief (i.e., Height of Land in Geography) | t | ||
|---|---|---|---|---|---|---|---|
| Average Value | (Statistics) Standard Deviation | Average Value | (Statistics) Standard Deviation | ||||
| S1 | Average gaze time | 358.267 | 62.327 | 345.643 | 76.652 | 12.624 | 0.404 |
| Average eye jump | 4.814 | 1.676 | 5.422 | 1.248 | −0.608 | −0.920 | |
| gaze | 42.779 | 8.671 | 43.641 | 7.135 | −0.862 | −0.243 | |
| S2 | Average gaze time | 347.596 | 72.857 | 331.033 | 106.551 | 16.563 | 0.406 |
| Average eye jump | 5.082 | 1.232 | 5.591 | 1.402 | −0.509 | −0.862 | |
| gaze | 43.975 | 9.036 | 47.758 | 8.068 | −3.783 | −0.988 | |
| S3 | Average gaze time | 352.891 | 91.556 | 326.446 | 89.262 | 26.445 | 0.654 |
| Average eye jump | 5.127 | 1.543 | 5.674 | 1.278 | −0.547 | −0.863 | |
| gaze | 41.765 | 7.509 | 46.867 | 7.903 | −5.102 | −1.480 | |
| S4 | Average gaze time | 346.578 | 93.566 | 335.502 | 94.557 | 11.076 | 0.263 |
| Average eye jump | 5.323 | 1.463 | 5.486 | 1.221 | −0.163 | −0.270 | |
| gaze | 47.865 | 7.782 | 49.067 | 5.232 | −1.202 | −0.405 | |
| S5 | Average gaze time | 358.865 | 133.825 | 332.271 | 158.246 | 26.594 | 0.406 |
| Average eye jump | 4.836 | 1.317 | 5.162 | 1.021 | −0.326 | −0.619 | |
| gaze | 43.567 | 6.204 | 45.621 | 6.994 | −2.054 | −0.695 | |
| S6 | Average gaze time | 439.927 | 155.790 | 342.149 | 175.753 | 97.778 | 4.168 ** |
| Average eye jump | 4.695 | 1.563 | 5.318 | 1.295 | −0.623 | −0.971 | |
| gaze | 43.215 | 5.161 | 47.055 | 3.143 | −3.840 | −4.259 ** | |
| S7 | Average gaze time | 442.198 | 165.525 | 347.805 | 73.315 | 94.393 | 2.624 * |
| Average eye jump | 4.482 | 1.124 | 5.142 | 1.358 | −0.660 | −1.184 | |
| gaze | 37.870 | 6.223 | 43.917 | 5.905 | −6.049 | −3.761 * | |
| S8 | Average gaze time | 358.096 | 86.635 | 335.972 | 109.192 | 22.124 | 0.502 |
| Average eye jump | 5.198 | 1.241 | 5.403 | 1.399 | −0.205 | −0.347 | |
| gaze | 45.306 | 8.915 | 47.689 | 8.106 | −2.383 | −0.625 | |
| S9 | Average gaze time | 429.517 | 147.499 | 315.037 | 85.987 | 114.479 | 3.188 * |
| Average eye jump | 4.936 | 1.741 | 5.197 | 1.634 | −0.261 | −0.346 | |
| gaze | 41.697 | 8.832 | 47.323 | 4.170 | −5.626 | −2.590 * | |
| S10 | Average gaze time | 394.628 | 133.264 | 308.073 | 40.139 | 86.555 | 1.967 |
| Average eye jump | 4.589 | 1.217 | 5.577 | 1.543 | −0.988 | −1.590 | |
| gaze | 44.741 | 7.457 | 49.928 | 8.764 | −5.187 | −1.425 | |
Disclaimer/Publisher’s Note: The statements, opinions and data contained in all publications are solely those of the individual author(s) and contributor(s) and not of MDPI and/or the editor(s). MDPI and/or the editor(s) disclaim responsibility for any injury to people or property resulting from any ideas, methods, instructions or products referred to in the content. |
© 2024 by the authors. Licensee MDPI, Basel, Switzerland. This article is an open access article distributed under the terms and conditions of the Creative Commons Attribution (CC BY) license (https://creativecommons.org/licenses/by/4.0/).
Share and Cite
Zheng, H.; Luo, M.; Wang, Y.; Wei, Y. Multi-Sensory Interaction and Spatial Perception in Urban Microgreen Spaces: A Focus on Vision, Auditory, and Olfaction. Sustainability 2024, 16, 8809. https://doi.org/10.3390/su16208809
Zheng H, Luo M, Wang Y, Wei Y. Multi-Sensory Interaction and Spatial Perception in Urban Microgreen Spaces: A Focus on Vision, Auditory, and Olfaction. Sustainability. 2024; 16(20):8809. https://doi.org/10.3390/su16208809
Chicago/Turabian StyleZheng, Haohua, Man Luo, Yihan Wang, and Yangyang Wei. 2024. "Multi-Sensory Interaction and Spatial Perception in Urban Microgreen Spaces: A Focus on Vision, Auditory, and Olfaction" Sustainability 16, no. 20: 8809. https://doi.org/10.3390/su16208809
APA StyleZheng, H., Luo, M., Wang, Y., & Wei, Y. (2024). Multi-Sensory Interaction and Spatial Perception in Urban Microgreen Spaces: A Focus on Vision, Auditory, and Olfaction. Sustainability, 16(20), 8809. https://doi.org/10.3390/su16208809

