Impact of the Source Material Gradation on the Disaster Mechanism of Underground Debris Flows in Mines
Abstract
1. Introduction
2. Methodology
2.1. Model Setting and Monitoring Device
2.2. Experimental Materials and Programs
3. Results
3.1. Analysis of the Vibration Signals of Underground Debris Flows
3.2. Disaster Evolution Mechanism of Underground Debris Flows
3.2.1. Signal Processing and Impact Phenomenon Analysis
3.2.2. Effect of the Material Source Gradation on the Impact Mechanism of Underground Debris Flows
4. Numerical Simulation of Underground Debris Flows
4.1. Numerical Model
4.1.1. ARR (Adhesive Rolling Resistance) Model
4.1.2. Determination of Model Parameters
4.1.3. Model Domain and Specimen Boundary Conditions
4.2. Model Validation
4.3. Analysis of Simulation Results
4.3.1. Initial Velocity and Force-Chain Characteristics of the Particle Column
4.3.2. Particle Microscopic Motion Characteristics
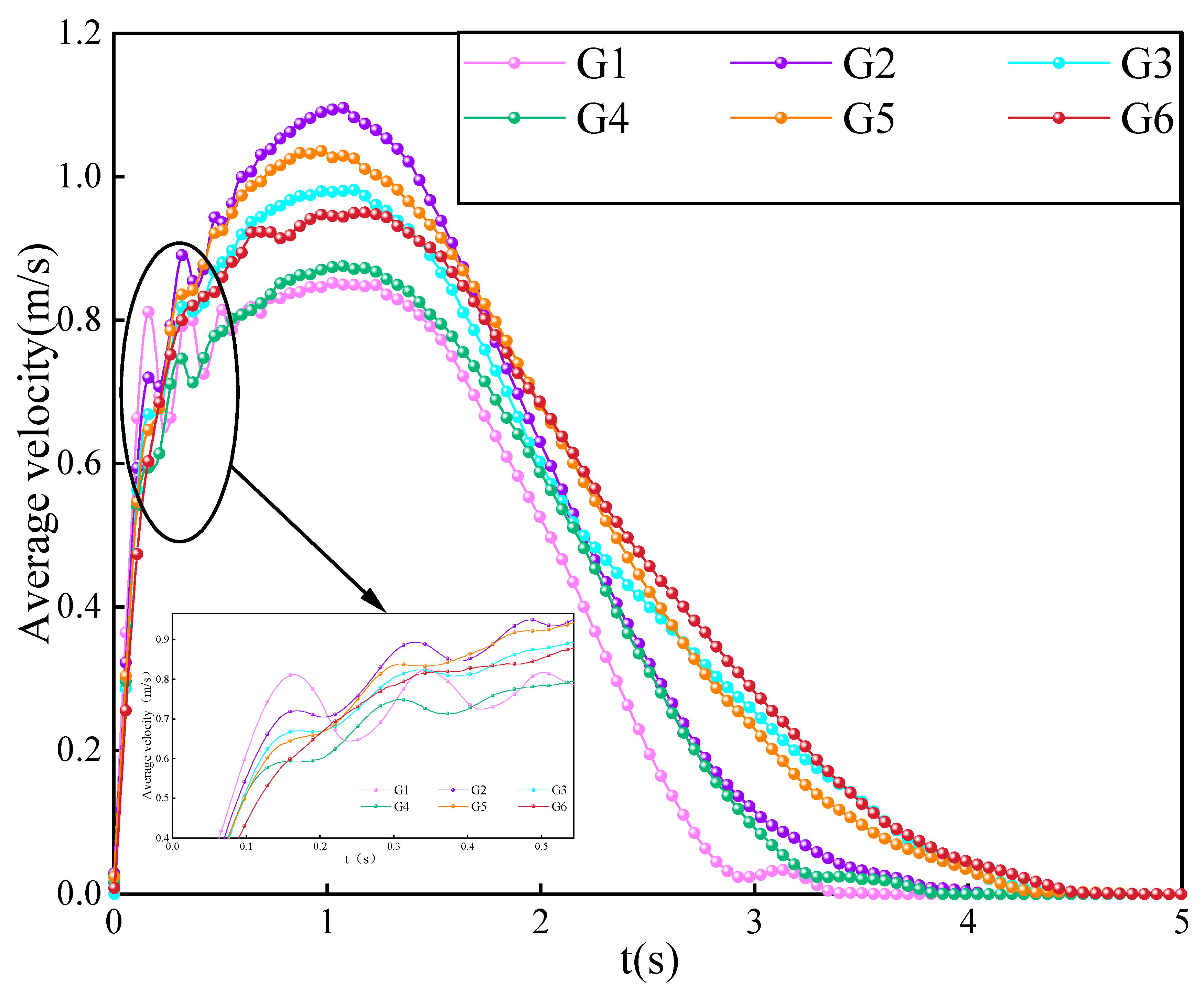
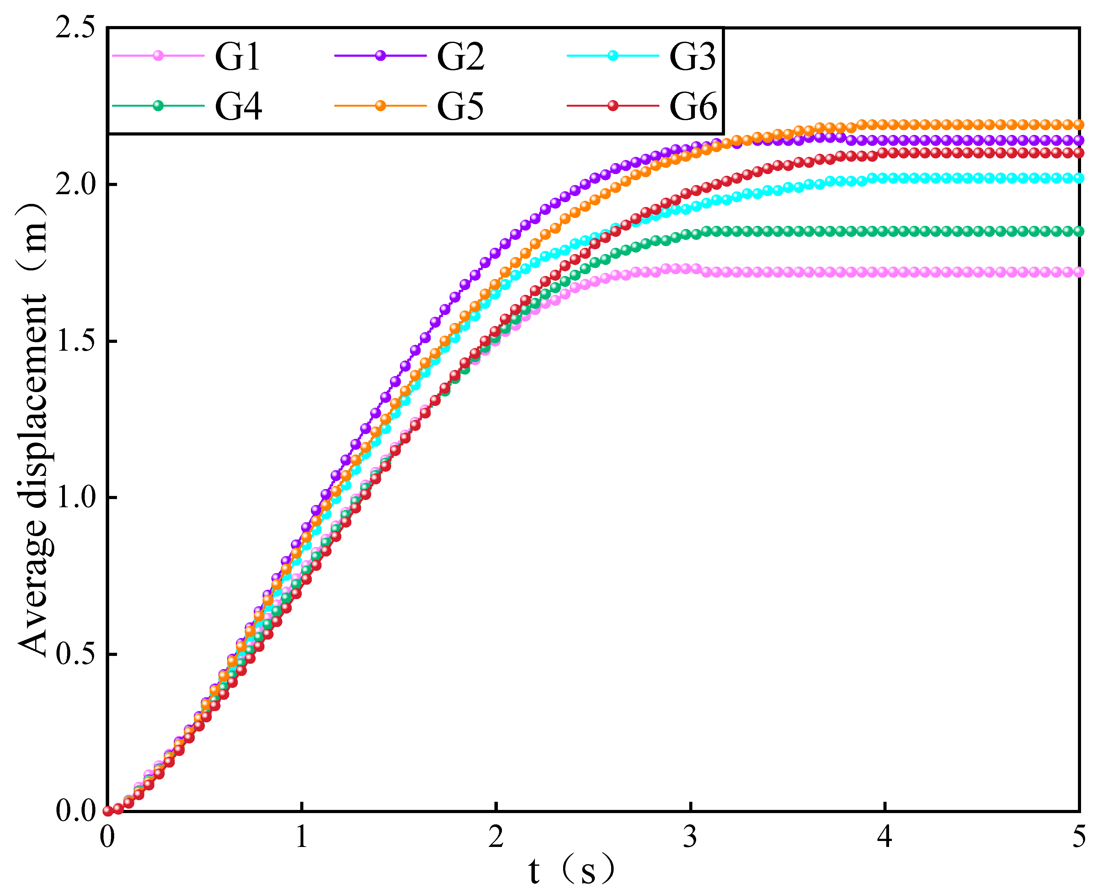
4.3.3. Effect of the Provenance Gradation on the Particle Velocity and Displacement
4.3.4. Energy Evolution in the Flow Process
5. Discussion
6. Conclusions
- (1)
- Vibration and impact mechanism: There are significant differences in the vibration characteristics and impact mechanism of debris flows with different source gradations. An increase in the content of medium and large particles will increase the initial amplitude of vibration acceleration and instantaneous destructive power but weaken the long-term disaster-causing ability. The maximum short-range impact forces of G3 and G5 are 22.95 N and 25.06 N, respectively, while the long-term impact forces are 17.04 N and 19.07 N, respectively. Large particles have greater disaster-causing ability than medium particles, but when the large and medium contents exceed 50% and 60%, respectively, the disaster-causing ability is minimal. An increase in fine particle content will increase the vibration period, disaster-causing time, and long-term disaster-causing ability and weaken the short-range impact force.
- (2)
- The effect of the provenance level on the initial movement characteristics of underground debris flows is revealed. With increasing fine particle content, for less coarse force chains, the movement mode of “oblique triangular flow” becomes “diagonal extrusion”, the “dead zone” in the flow process decreases, and the impact distance increases. An increase in medium particle content makes the initial flow chaotic, increases the resistance such as friction, and increases the “dead zone”, thus reducing the impact distance and disaster-causing capacity of the debris flow. A larger coarse particle content corresponds to a coarser force chain, but in the flow process, the coarse force chain gradually decreases and moves to the lower angle of the “dead zone”. Then, the movement mode gradually changes from “diagonal extrusion” to “oblique triangle”, which increases the kinetic energy of a single particle and the impact distance.
- (3)
- Debris-flow duration and particle-motion characteristics: The duration of the debris flow is short and can be divided into a sudden stage, a continuous impact stage, and a convergence–accumulation stage. The change in provenance gradation affects the average velocity and average displacement of the entire particle, particularly the increase in fine particles and large particle content.
- (4)
- Influence of the energy evolution: Changes in kinetic energy, dissipated energy, peak arrival time of kinetic energy, coincidence time of dissipated energy, and gravitational potential energy of underground debris flows are affected by the source gradation. The change in gradation has a significant effect on the peak kinetic energy. The peak kinetic energy of increasing fine particles G2 is 27.25%, and the peak kinetic energy of increasing large particles G5 and G6 is 26.44% and 25.14%. When the particles account for 50%, the energy-change characteristics are small, similar to the original gradation. When the large particles account for 50% and the fine particles account for 62.5%, the energy significantly changes. When the content of large particles is 60%, the kinetic energy and dissipation energy gradually decrease. Except for G2, the change in the intersection region of the gravitational potential energy and kinetic energy is consistent with the change in short-range impact force.
- (5)
- This work further studies and analyzes the macro- and micro-effects of underground debris-flow disaster from the source gradation, and points out the importance of source gradation for disaster prevention and mitigation. Macroscopically, the larger the proportion of fine particles and large particles in the source gradation, the more obvious the influence on the vibration signal and impact force; at the same time, it has a great influence on the distribution and energy evolution of the force chain.
Author Contributions
Funding
Institutional Review Board Statement
Informed Consent Statement
Data Availability Statement
Conflicts of Interest
References
- Cheng, H.; Liu, Z.; Wu, S.; Li, H.; Zhu, J.; Sun, W.; Jiang, G. Resistance Characteristics of Paste Pipeline Flow in a Pulse-Pumping Environment. Int. J. Miner. Metall. Mater. 2023, 30, 1596–1607. [Google Scholar] [CrossRef]
- Feng, X.; Li, Z.; Jiang, M.; Wang, S.; Chen, C.; Sun, W. Experimental Study of Soil Erosion on Moraine-Consolidated Slopes under Heavy Rainfall. Heliyon 2024, 10, e26721. [Google Scholar] [CrossRef] [PubMed]
- Liu, Z.; Sun, W.; Feng, X.; Wang, S.; Chen, C.; Song, H.; Jiang, M.; Fan, K. Experimental Study of the Injectability of Infiltration Grouting in Surface Moraine of Pulang Copper Mine. Water 2024, 16, 728. [Google Scholar] [CrossRef]
- Niu, X.; Hou, K.; Bao, G.; Zhe, Y. Study on Formation Mechanism of Mud-Inclusion-Type Underground Debris Flows Using Natural Caving Method. Sci. Rep. 2024, 14, 4324. [Google Scholar] [CrossRef]
- Cao, Y.; Zhu, X.; Liu, B.; Nan, Y. A Qualitative Study of the Critical Conditions for the Initiation of Mine Waste Debris Flows. Water 2020, 12, 1536. [Google Scholar] [CrossRef]
- Chang, M.; Luo, C.; Wu, B.; Xiang, L. Catastrophe Process of Outburst Debris Flow Triggered by the Landslide Dam Failure. J. Hydrol. 2022, 609, 127729. [Google Scholar] [CrossRef]
- Ye, T.; Wang, G.; Wang, C.; Chen, H.; Xin, Y. Analysis on the Spatial-Temporal Distribution Patterns of Major Mine Debris Flows in China. Appl. Sci. 2023, 13, 4744. [Google Scholar] [CrossRef]
- Chang, M.; Liu, Y.; Zhou, C.; Che, H. Hazard Assessment of a Catastrophic Mine Waste Debris Flow of Hou Gully, Shimian, China. Eng. Geol. 2020, 275, 105733. [Google Scholar] [CrossRef]
- Bao, Y.; Han, X.; Chen, J.; Zhang, W.; Zhan, J.; Sun, X.; Chen, M. Numerical Assessment of Failure Potential of a Large Mine Waste Dump in Panzhihua City, China. Eng. Geol. 2019, 253, 171–183. [Google Scholar] [CrossRef]
- Liu, J.; Zhao, Y.; Tan, T.; Zhang, L.; Zhu, S.; Xu, F. Evolution and Modeling of Mine Water Inflow and Hazard Characteristics in Southern Coalfields of China: A Case of Meitanba Mine. Int. J. Min. Sci. Technol. 2022, 32, 513–524. [Google Scholar] [CrossRef]
- Aydan, Ö.; Ito, T.; Ohta, Y. Seismic Response and Stability of Abandoned Lignite Mines in Japan. Environ. Geotech. 2020, 9, 475–489. [Google Scholar] [CrossRef]
- Sanz-Ramos, M.; Vales-Bravo, J.J.; Bladé, E.; Sánchez-Juny, M. Reconstructing the Spill Propagation of the Aznalcóllar Mine Disaster. Mine Water Environ. 2024, 1–20. [Google Scholar] [CrossRef]
- Lashgari, M.; Ozturk, C.A. Slope Failure and Stability Investigations for an Open Pit Copper Mine in Turkey. Environ. Earth Sci. 2021, 81, 5. [Google Scholar] [CrossRef]
- Blight, G.E.; Fourie, A.B. Catastrophe Revisited—Disastrous Flow Failures of Mine and Municipal Solid Waste. Geotech. Geol. Eng. 2005, 23, 219–248. [Google Scholar] [CrossRef]
- Rai, S.N.; Thiagarajan, S.; Kumar, D. Geophysical Investigation to Prevent Landslide in a Lignite Mine, India. J. Geol. Soc. India 2019, 93, 185–193. [Google Scholar] [CrossRef]
- Pop, O.T.; Germain, D.; Meseşan, F.; Gavrilă, I.-G.; Alexe, M.; Buzilă, L.; Holobâcă, I.; Irimuş, I.-A. Dendrogeomorphic Assessment and Sediment Transfer of Natural vs. Mining-Induced Debris-Flow Activity in Călimani Mountains, Eastern Carpathians, Romania. Geomorphology 2019, 327, 188–200. [Google Scholar] [CrossRef]
- Ng, C.W.W.; Li, Z.; Wang, Y.D.; Liu, H.; Poudyal, S.; De Silva, W.A.R.K. Influence of Deflector on the Impact Dynamics of Debris Flow against Rigid Barrier. Eng. Geol. 2023, 321, 107135. [Google Scholar] [CrossRef]
- Sha, S.; Dyson, A.P.; Kefayati, G.; Tolooiyan, A. Modelling of Debris Flow-Boulder-Barrier Interactions Using the Coupled Eulerian Lagrangian Method. Appl. Math. Model. 2024, 127, 143–171. [Google Scholar] [CrossRef]
- Vasconez, F.J.; Samaniego, P.; Phillips, J.; Andrade, S.D.; Simbaña, E.; Nogales, V.; Román-Carrión, J.L.; Vásconez Müller, A.; Vásquez, M.A. Evidence of Destructive Debris Flows at (Pre-) Hispanic Cayambe Settlements, Ecuador. Quat. Int. 2022, 634, 65–80. [Google Scholar] [CrossRef]
- Yang, Y.; Chen, G.; Meng, X.; Chong, Y.; Shi, W.; Bian, S.; Jin, J.; Yue, D. Characteristics of the Impact Pressure of an Outburst Debris Flow: Insights from Experimental Flume Tests. Eng. Geol. 2024, 330, 107428. [Google Scholar] [CrossRef]
- Yu, P.; Peng, X.; Chen, G.; Fu, H.; Zhang, Y.; Han, Z.; Zhang, H. A New Coupled Depth-Integrated Model Incorporating 3D DDA on Debris Flow with Large Boulders. Int. J. Rock Mech. Min. Sci. 2023, 170, 105496. [Google Scholar] [CrossRef]
- Zhao, Y.; Liu, Q.; Zhang, C.; Liao, J.; Lin, H.; Wang, Y. Coupled Seepage-Damage Effect in Fractured Rock Masses: Model Development and a Case Study. Int. J. Rock Mech. Min. Sci. 2021, 144, 104822. [Google Scholar] [CrossRef]
- Zhao, Y.; Liu, J.; Zhang, C.; Zhang, H.; Liao, J.; Zhu, S.; Zhang, L. Mechanical Behavior of Sandstone during Post-Peak Cyclic Loading and Unloading under Hydromechanical Coupling. Int. J. Min. Sci. Technol. 2023, 33, 927–947. [Google Scholar] [CrossRef]
- Ali Khan, M.; Mustaffa, Z.; Sati Hamonangan Harahap, I.; Ben Seghier, M.E.A. A Comprehensive Approach for Understanding Debris Flow Interaction with Pipelines through Dynamic Impact Pressure Modeling. Eng. Fail. Anal. 2024, 162, 108383. [Google Scholar] [CrossRef]
- Ahmad Legiman, M.K.; Mohamad, E.T.; Abang Hasbollah, D.Z.; Suparmanto, E.K.; Rathinasamy, V. Contributing Factors in Initiation of Debris Flow in Malaysia. Phys. Chem. Earth Parts A/B/C 2023, 129, 103301. [Google Scholar] [CrossRef]
- de Lange, S.I.; Santa, N.; Pudasaini, S.P.; Kleinhans, M.G.; de Haas, T. Debris-Flow Generated Tsunamis and Their Dependence on Debris-Flow Dynamics. Coast. Eng. 2020, 157, 103623. [Google Scholar] [CrossRef]
- Dias, V.C.; McDougall, S.; Vieira, B.C. Geomorphic Analyses of Two Recent Debris Flows in Brazil. J. South Am. Earth Sci. 2022, 113, 103675. [Google Scholar] [CrossRef]
- Kim, B.-J.; Yune, C.-Y. Flume Investigation of Cylindrical Baffles on Landslide Debris Energy Dissipation. Landslides 2022, 19, 3043–3060. [Google Scholar] [CrossRef]
- Meng, Z.; Lyu, L.; Xu, M.; Yu, G.; Ma, C.; Wang, Z.; Stoffel, M. Effects of Frequent Debris Flows on Barrier Lake Formation, Sedimentation and Vegetation Disturbance, Palongzangbo River, Tibetan Plateau. Catena 2023, 220, 106697. [Google Scholar] [CrossRef]
- Yang, Y.; Tang, C.; Tang, C.; Chen, M.; Cai, Y.; Bu, X.; Liu, C. Spatial and Temporal Evolution of Long-Term Debris Flow Activity and the Dynamic Influence of Condition Factors in the Wenchuan Earthquake-Affected Area, Sichuan, China. Geomorphology 2023, 435, 108755. [Google Scholar] [CrossRef]
- Zou, Z.; Tang, H.; Xiong, C.; Su, A.; Criss, R.E. Kinetic Characteristics of Debris Flows as Exemplified by Field Investigations and Discrete Element Simulation of the Catastrophic Jiweishan Rockslide, China. Geomorphology 2017, 295, 1–15. [Google Scholar] [CrossRef]
- Abraham, M.T.; Satyam, N.; Pradhan, B.; Tian, H. Debris Flow Simulation 2D (DFS 2D): Numerical Modelling of Debris Flows and Calibration of Friction Parameters. J. Rock Mech. Geotech. Eng. 2022, 14, 1747–1760. [Google Scholar] [CrossRef]
- Baggio, T.; Mergili, M.; D’Agostino, V. Advances in the Simulation of Debris Flow Erosion: The Case Study of the Rio Gere (Italy) Event of the 4th August 2017. Geomorphology 2021, 381, 107664. [Google Scholar] [CrossRef]
- Baggio, T.; D’Agostino, V. Simulating the Effect of Check Dam Collapse in a Debris-Flow Channel. Sci. Total Environ. 2022, 816, 151660. [Google Scholar] [CrossRef]
- Lee, J.-S.; Song, C.-H.; Pradhan, A.M.S.; Ha, Y.-S.; Kim, Y.-T. Development of Structural Type-Based Physical Vulnerability Curves to Debris Flow Using Numerical Analysis and Regression Model. Int. J. Disaster Risk Reduct. 2024, 106, 104431. [Google Scholar] [CrossRef]
- Takebayashi, H.; Fujita, M.; Ohgushi, K. Numerical Modeling of Debris Flows Using Basic Equations in Generalized Curvilinear Coordinate System and Its Application to Debris Flows in Kinryu River Basin in Saga City, Japan. J. Hydrol. 2022, 615, 128636. [Google Scholar] [CrossRef]
- Wu, Y.; Lan, H. Debris Flow Analyst (DA): A Debris Flow Model Considering Kinematic Uncertainties and Using a GIS Platform. Eng. Geol. 2020, 279, 105877. [Google Scholar] [CrossRef]
- Luo, G.; Zhao, Y.; Shen, W.; Wu, M. Dynamics of Bouldery Debris Flow Impacting onto Rigid Barrier by a Coupled SPH-DEM-FEM Method. Comput. Geotech. 2022, 150, 104936. [Google Scholar] [CrossRef]
- Peng, D.; Zhang, L.; Jiang, R.; Zhang, S.; Shen, P.; Lu, W.; He, X. Initiation Mechanisms and Dynamics of a Debris Flow Originated from Debris-Ice Mixture Slope Failure in Southeast Tibet, China. Eng. Geol. 2022, 307, 106783. [Google Scholar] [CrossRef]
- Baselt, I.; Queiroz de Oliveira, G.; Fischer, J.-T.; Pudasaini, S.P. Evolution of Stony Debris Flows in Laboratory Experiments. Geomorphology 2021, 372, 107431. [Google Scholar] [CrossRef]
- Lanzoni, S.; Gregoretti, C.; Stancanelli, L.M. Coarse-Grained Debris Flow Dynamics on Erodible Beds. J. Geophys. Res. Earth Surf. 2017, 122, 592–614. [Google Scholar] [CrossRef]
- Zheng, H.; Shi, Z.; Hanley, K.J.; Peng, M.; Guan, S.; Feng, S.; Chen, K. Deposition Characteristics of Debris Flows in a Lateral Flume Considering Upstream Entrainment. Geomorphology 2021, 394, 107960. [Google Scholar] [CrossRef]
- Shu, H.; Ma, J.; Qi, S.; Chen, P.; Guo, Z.; Zhang, P. Experimental Results of the Impact Pressure of Debris Flows in Loess Regions. Nat. Hazards 2020, 103, 3329–3356. [Google Scholar] [CrossRef]
- Zheng, H.; Shi, Z.; de Haas, T.; Shen, D.; Hanley, K.J.; Li, B. Characteristics of the Impact Pressure of Debris Flows. J. Geophys. Res. Earth Surf. 2022, 127, e2021JF006488. [Google Scholar] [CrossRef]
- Cui, P.; Zeng, C.; Lei, Y. Experimental Analysis on the Impact Force of Viscous Debris Flow. Earth Surf. Process. Landf. 2015, 40, 1644–1655. [Google Scholar] [CrossRef]
- Park, J.-H.; Shinohara, Y.; Gomez, C.; Hotta, N. Factors Controlling Volcanic Debris Flows Two Decades after the 1990–1995 Eruption at Mount Unzen in Japan. Geomorphology 2024, 453, 109119. [Google Scholar] [CrossRef]
- Ruan, H.; Chen, H.; Li, Y.; Chen, J.; Li, H. Study on the Downcutting Rate of a Debris Flow Dam Based on Grain-Size Distribution. Geomorphology 2021, 391, 107891. [Google Scholar] [CrossRef]
- Tichavský, R.; Fabiánová, A.; Koutroulis, A.; Spálovský, V.; Vala, O. Recent Debris-Flow Activity on the 1913 Tsivlos Landslide Body (Northern Peloponnese; Greece). Catena 2023, 231, 107318. [Google Scholar] [CrossRef]
- Tsunetaka, H.; Hotta, N.; Imaizumi, F.; Hayakawa, Y.S.; Masui, T. Variation in Rainfall Patterns Triggering Debris Flow in the Initiation Zone of the Ichino-Sawa Torrent, Ohya Landslide, Japan. Geomorphology 2021, 375, 107529. [Google Scholar] [CrossRef]
- Tayyebi, S.M.; Pastor, M.; Stickle, M.M. Two-Phase SPH Numerical Study of Pore-Water Pressure Effect on Debris Flows Mobility: Yu Tung Debris Flow. Comput. Geotech. 2021, 132, 103973. [Google Scholar] [CrossRef]
- Kim, K.-C.; Jiang, T.; Kim, N.-I.; Kwon, C. Effects of Ball-to-Powder Diameter Ratio and Powder Particle Shape on EDEM Simulation in a Planetary Ball Mill. J. Indian Chem. Soc. 2022, 99, 100300. [Google Scholar] [CrossRef]
- Trujillo-Vela, M.G.; Galindo-Torres, S.A.; Zhang, X.; Ramos-Cañón, A.M.; Escobar-Vargas, J.A. Smooth Particle Hydrodynamics and Discrete Element Method Coupling Scheme for the Simulation of Debris Flows. Comput. Geotech. 2020, 125, 103669. [Google Scholar] [CrossRef]
- Cheng, H.; Huang, Y.; Zhang, W.; Xu, Q. Physical Process-Based Runout Modeling and Hazard Assessment of Catastrophic Debris Flow Using SPH Incorporated with ArcGIS: A Case Study of the Hongchun Gully. Catena 2022, 212, 106052. [Google Scholar] [CrossRef]
- Qing-zhao, Z.; Qing, P.; Ying, C.; Ze-jun, L.; Zhen-ming, S.; Yuan-yuan, Z. Characteristics of Landslide-Debris Flow Accumulation in Mountainous Areas. Heliyon 2019, 5, e02463. [Google Scholar] [CrossRef]
- Bi, Y.; Huang, Y.; Zhang, B.; Pu, J. CFD-DEM Numerical Investigation of the Effects of Water Content and Inclination Angle on Interactions between Debris Flows and Slit Dam. Comput. Geotech. 2024, 170, 106273. [Google Scholar] [CrossRef]
- Nie, J.-Y.; Cui, Y.; Wu, Z.; Zhang, L.; Fang, J. DEM Study on Role of Fines in Mobility of Dry Granular Flows Considering Particle Size-Shape Correlation. Comput. Geotech. 2024, 166, 105980. [Google Scholar] [CrossRef]
- Jeong, S.; Lee, K. Analysis of the Impact Force of Debris Flows on a Check Dam by Using a Coupled Eulerian-Lagrangian (CEL) Method. Comput. Geotech. 2019, 116, 103214. [Google Scholar] [CrossRef]
- Jiang, R.; Fei, W.-P.; Zhou, H.; Huo, M.; Zhou, J.; Wang, J.; Wu, J. Experimental and Numerical Study on the Load and Deformation Mechanism of a Flexible Net Barrier under Debris Flow Impact. Bull. Eng. Geol. Environ. 2020, 79, 2213–2233. [Google Scholar] [CrossRef]
- Sun, R.; He, Y. The Motion and Deposit Characteristics of Dry Granular Flow Based on Experimental Study. Indian Geotech. J. 2024, 54, 627–638. [Google Scholar] [CrossRef]
- Lam, H.W.K.; Wong, A.L. Experimental and Numerical Study of Dynamic Soil Debris Impact Load on Reinforced Concrete Debris-Resisting Barriers. Landslides 2021, 18, 955–966. [Google Scholar] [CrossRef]
- Volkwein, A.; Wendeler, C.; Guasti, G. Design of Flexible Debris Flow Barriers. Ital. J. Eng. Geol. Environ. 2011, 1093–1100. [Google Scholar] [CrossRef]
- Wang, D.; Chen, Z.; He, S.; Liu, Y.; Tang, H. Measuring and Estimating the Impact Pressure of Debris Flows on Bridge Piers Based on Large-Scale Laboratory Experiments. Landslides 2018, 15, 1331–1345. [Google Scholar] [CrossRef]
- Yang, H.; Wei, F.; Hu, K.; Chernomorets, S.; Hong, Y.; Li, X.; Xie, T. Measuring the Internal Velocity of Debris Flows Using Impact Pressure Detecting in the Flume Experiment. J. Mt. Sci. 2011, 8, 109–116. [Google Scholar] [CrossRef]
- Hsu, L.; Dietrich, W.E.; Sklar, L.S. Mean and Fluctuating Basal Forces Generated by Granular Flows: Laboratory Observations in a Large Vertically Rotating Drum. J. Geophys. Res. Earth Surf. 2014, 119, 1283–1309. [Google Scholar] [CrossRef]
- Jin, Z.H.; Wei, F.F.; Wu, Y.W.; Qu, K.; Luo, X.; Ren, X.Y. Simulations of Debris Flow Impacting on Bridge Pier Based on Coupled CFD-DEM Method. Ocean Eng. 2023, 279, 114532. [Google Scholar] [CrossRef]
- Xiang, J.; Liu, H.; Zhang, S.; Lu, H.; Fan, H.; Shi, C. Discrete Element Simulation and Theoretical Calculation of Flowability of Cementitious Suspensions Containing Attapulgite. J. Build. Eng. 2023, 78, 107580. [Google Scholar] [CrossRef]
- Lai, Z.; Jiang, E.; Zhao, L.; Wang, Z.; Wang, Y.; Li, J. Granular Column Collapse: Analysis of Inter-Particle Friction Effects. Powder Technol. 2023, 415, 118171. [Google Scholar] [CrossRef]
- Gilabert, F.A.; Roux, J.-N.; Castellanos, A. Computer Simulation of Model Cohesive Powders: Influence of Assembling Procedure and Contact Laws on Low Consolidation States. Phys. Rev. E 2007, 75, 011303. [Google Scholar] [CrossRef] [PubMed]
- Program Guide—PFC 6.0 Documentation. Available online: https://docs.itascacg.com/pfc600/common/docproject/source/manual/program_guide/program_guide.html (accessed on 24 April 2024).
- Lo, C.-M.; Lin, M.-L.; Tang, C.-L.; Hu, J.-C. A Kinematic Model of the Hsiaolin Landslide Calibrated to the Morphology of the Landslide Deposit. Eng. Geol. 2011, 123, 22–39. [Google Scholar] [CrossRef]
- Jensen, R.P.; Bosscher, P.J.; Plesha, M.E.; Edil, T.B. DEM simulation of granular media—Structure interface: Effects of surface roughness and particle shape. Int. J. Numer. Anal. Methods Geomech. 1999, 23, 531–547. [Google Scholar] [CrossRef]
- Cleary, P.W. DEM Simulation of Industrial Particle Flows: Case Studies of Dragline Excavators, Mixing in Tumblers and Centrifugal Mills. Powder Technol. 2000, 109, 83–104. [Google Scholar] [CrossRef]
- Suresha, S.N.; George, V.; Ravi Shankar, A.U. Effect of Aggregate Gradations on Properties of Porous Friction Course Mixes. Mater. Struct. 2010, 43, 789–801. [Google Scholar] [CrossRef]
- Zhou, Y.; Shi, Z.; Zhang, Q.; Liu, W.; Peng, M.; Wu, C. 3D DEM Investigation on the Morphology and Structure of Landslide Dams Formed by Dry Granular Flows. Eng. Geol. 2019, 258, 105151. [Google Scholar] [CrossRef]
- Shen, W.; Zhao, T.; Zhao, J.; Dai, F.; Zhou, G.G.D. Quantifying the Impact of Dry Debris Flow against a Rigid Barrier by DEM Analyses. Eng. Geol. 2018, 241, 86–96. [Google Scholar] [CrossRef]
- Kong, Y.; Guan, M. Hydro-Mechanical Simulations Aid Demand-Oriented Design of Slit Dams for Controlling Debris Flows, Debris Avalanches and Rock Avalanches. Eng. Geol. 2023, 326, 107314. [Google Scholar] [CrossRef]















| Equipment | Range | Sampling Frequency | Sensitivity | Quantity and Location | Purpose of Usage |
|---|---|---|---|---|---|
| CT5808W dynamic and static signal acquisition instrument (Nanjing, China) | 8 channels | ~ | ~ | 1 | Obtain the sensor signal |
| DY26F1000 vibration acceleration sensor (Chengdu, China) | ±2 g | 0.4~1000 Hz | 1000 mv/g | M1 is located at 1.5 m of the transport channel | Obtain vibration signals generated by underground debris flow |
| Pressure sensor (Chengdu, China) | <5 kg | 2 kHz | 1.5~2.0 mV/V | S1 is located 30 cm from the discharge port; S2 is located 30 cm before the exit of the transportation channel. | Obtain the impact force of underground debris flow |
| High-speed photography camera (Canon R7, Tokyo, Japan) | ~ | 560 frames/s | ~ | One is located at the exit of the loading box and the other is located at the exit of the transportation channel | Obtain the flow characteristics in the process of underground debris-flow impact |
| Experiment Number | Fine Particles/Medium Particles/Large Particles | Solid Content/% | Sticky Powder (Fine Particles) Mass/kg | Sand (Medium Particle) Mass/kg | Gravel (Large Particle) Mass/kg |
|---|---|---|---|---|---|
| G1 | 3:1:2 | 0.86 | 280 | 93 | 187 |
| G2 | 5:1:2 | 0.86 | 350 | 70 | 140 |
| G3 | 3:3:2 | 0.86 | 210 | 210 | 140 |
| G4 | 3:5:2 | 0.86 | 168 | 280 | 112 |
| G5 | 3:1:4 | 0.86 | 210 | 70 | 280 |
| G6 | 3:1:6 | 0.86 | 168 | 56 | 336 |
| Parameter | Interpretation | G1 | G2 | G3 | G4 | G5 | G6 |
|---|---|---|---|---|---|---|---|
| Kn | Normal stiffness | 1.5 × 108 | 1.5 × 108 | 1.5 × 108 | 1.5 × 108 | 1.5 × 108 | 1.5 × 108 |
| Ks | Shear stiffness | 1.0 × 108 | 1.0 × 108 | 1.0 × 108 | 1.0 × 108 | 1.0 × 108 | 1.0 × 108 |
| Kratio, | Normal-to-shear stiffness ratio | 1.5 | 1.5 | 1.5 | 1.5 | 1.5 | 1.5 |
| ρ (kg/m3) | Particle density | 2118 | 2085 | 2166 | 2196 | 2145 | 2161 |
| Fric (μ) | Friction coefficient | 0.29 | 0.11 | 0.13 | 0.18 | 0.08 | 0.065 |
| dp_nratio, | Normal critical damping ratio | 0.2 | 0.2 | 0.2 | 0.2 | 0.2 | 0.2 |
| dp_sratio, | Shear critical damping ratio | 0.2 | 0.2 | 0.2 | 0.2 | 0.2 | 0.2 |
| dp_mode, Md | Dashpot mode | 3 | 3 | 3 | 3 | 3 | 3 |
| rr_fric, | Rolling friction coefficient | 0.29 | 0.11 | 0.13 | 0.18 | 0.08 | 0.065 |
| Wall friction coefficient, | 0.01 | 0.01 | 0.01 | 0.01 | 0.01 | 0.01 | |
| Normal stiffness of wall (N × m−1) | 2.0 × 108 | 2.0 × 108 | 2.0 × 108 | 2.0 × 108 | 2.0 × 108 | 2.0 × 108 | |
| Tangential stiffness of wall (N × m−1) | 2.0 × 108 | 2.0 × 108 | 2.0 × 108 | 2.0 × 108 | 2.0 × 108 | 2.0 × 108 | |
| Elastic modulus of wall (GPa) | 12 | 12 | 12 | 12 | 12 | 12 |
Disclaimer/Publisher’s Note: The statements, opinions and data contained in all publications are solely those of the individual author(s) and contributor(s) and not of MDPI and/or the editor(s). MDPI and/or the editor(s) disclaim responsibility for any injury to people or property resulting from any ideas, methods, instructions or products referred to in the content. |
© 2024 by the authors. Licensee MDPI, Basel, Switzerland. This article is an open access article distributed under the terms and conditions of the Creative Commons Attribution (CC BY) license (https://creativecommons.org/licenses/by/4.0/).
Share and Cite
Tuo, R.; Cheng, H.; Wu, S.; Zou, J.; Liu, D.; Liu, W.; Zhang, J.; Jiang, G.; Sun, W. Impact of the Source Material Gradation on the Disaster Mechanism of Underground Debris Flows in Mines. Sustainability 2024, 16, 8788. https://doi.org/10.3390/su16208788
Tuo R, Cheng H, Wu S, Zou J, Liu D, Liu W, Zhang J, Jiang G, Sun W. Impact of the Source Material Gradation on the Disaster Mechanism of Underground Debris Flows in Mines. Sustainability. 2024; 16(20):8788. https://doi.org/10.3390/su16208788
Chicago/Turabian StyleTuo, Rujun, Haiyong Cheng, Shunchuan Wu, Jiayang Zou, Deng Liu, Weihua Liu, Jing Zhang, Guanzhao Jiang, and Wei Sun. 2024. "Impact of the Source Material Gradation on the Disaster Mechanism of Underground Debris Flows in Mines" Sustainability 16, no. 20: 8788. https://doi.org/10.3390/su16208788
APA StyleTuo, R., Cheng, H., Wu, S., Zou, J., Liu, D., Liu, W., Zhang, J., Jiang, G., & Sun, W. (2024). Impact of the Source Material Gradation on the Disaster Mechanism of Underground Debris Flows in Mines. Sustainability, 16(20), 8788. https://doi.org/10.3390/su16208788
