Next Article in Journal
Optimal Site Selection for Solar PV Systems in the Colombian Caribbean: Evaluating Weighting Methods in a TOPSIS Framework
Previous Article in Journal
Development Perspectives on Wellness and Spa Tourism in the Context of Tourism Business Sustainability
 
 
Font Type:
Arial Georgia Verdana
Font Size:
Aa Aa Aa
Line Spacing:
Column Width:
Background:
Article

Leveraging Green HRM to Foster Organizational Agility and Green Culture: Pathways to Enhanced Sustainable Social and Environmental Performance

by
Md. Abu Issa Gazi
1,2,*,
Sabuj Dhali
3,
Abdullah Al Masud
3,*,
Alsadig Ahmed
4,
Mohammad Bin Amin
5,*,
Naznin Sultana Chaity
6,
Abdul Rahman bin S Senathirajah
2 and
Masuk Abdullah
7
1
School of Management, Jiujiang University, Jiujiang 332005, China
2
Faculty of Business and Communications, INTI International University, Persiaran Perdana BBN Putra Nilai, Nilai 71800, Negeri Sembilan, Malaysia
3
Department of Management Studies, University of Barishal, Barishal 8254, Bangladesh
4
Applied Management Program, Applied College at Muhyle Assir, King Khalid University, Abha 61421, Asir, Saudi Arabia
5
Doctoral School of Management and Business, Faculty of Economics and Business, University of Debrecen, Böszörményi út 138, 4032 Debrecen, Hungary
6
School of Business, Ahsanullah University of Science and Technology, Dhaka 1208, Bangladesh
7
Department of Vehicles Engineering, Faculty of Engineering, University of Debrecen, Ótemető Street 2-4, 4028 Debrecen, Hungary
*
Authors to whom correspondence should be addressed.
Sustainability 2024, 16(20), 8751; https://doi.org/10.3390/su16208751
Submission received: 2 September 2024 / Revised: 6 October 2024 / Accepted: 7 October 2024 / Published: 10 October 2024

Abstract

The purpose of this study is to understand Green Human Resource Management (GHRM) practices, considerations that facilitate Green Organizational Culture (GOC) and Organizational Agility (OA), and the connection between these factors and the social performance (SP) and environmental performance (EP) of businesses. The target population of the current study comprises a Bangladeshi organization (manufacturing, university and service). In this quantitative study, data were collected using structured questionnaires. The final sample consisted of 445 respondents, and the data were analyzed using the Structural Equation Modeling (SEM) technique. Both Exploratory Factor Analysis (EFA) and Confirmatory Factor Analysis (CFA) were conducted to ensure the validity and reliability of the measurement model. The results show that social GHRM has a beneficial effect on social and environmental performance factors. This research also discovered employee’s ideas about GRRM, GOC OA, and improving an organization’s social and environmental performance for long-term growth. Our results show that hiring, teaching, evaluating, and rewarding employees in ways that avoid harming the natural world are all examples of HR management practices that help create a green workplace culture. This work adds to the resource-based view (RBV) and transitive leadership (TL) theory by showing the things that contribute to an organization’s green culture and agility help the link between social and environmental performance and green HRM practices. Organizations in Bangladesh can benefit greatly from the GHRM model that this study suggests, as OC and OA have a good effect on both society and the environment.

1. Introduction

The creation of human capital by organizations may be accomplished through the implementation of Green Human Resource Management (GHRM) methods, which have the potential to enhance both the sustainable growth of the firm and its Environmental Performance (EP) [1]. It has been stated by [2,3] that GHRM is the acronym used to describe the Human Resource Management (HRM) components of environmental management. It is defined as human resource management strategies that are advantageous to both society and the environment. It is imperative that employers prioritize the development of green staff competencies, the motivation of green workers, and the provision of green opportunities [4,5]. Based on the findings of [6], the three primary acts that constitute GHRM practices are as follows. In order to cultivate an employee’s green competencies through Human Resources (HR) operations, a company may incorporate an emphasis on positive environmental thinking into the process of making the employee more environmentally conscious. Among these processes are those involving the recruitment, screening, and training of new hires—all of which represent leadership development [7,8]. According to Ojo [2], performance evaluation and incentive programming offer employees the chance to improve their employee performance and social performance while they are still working and receiving training. Two of the numerous scholarly studies that have studied the connections between GHRM processes and an organization’s EP are [1,6]. Both of these works were published in 2016. Programs such as organizational efficiency and waste reduction are examples of how the GHRM methodologies developed by the academy of management may having a positive effect on how well a business does in terms of the world and society [9]. Overall, the three main GHRM strategies—developing green employee skills, encouraging green workers, and providing green opportunities—may encourage employees to act in a more environmentally friendly way, which can help a business do better [6,10,11].
Nevertheless, even if the relationship between GRHM practices and EP and SP is well established, we contend that any analysis of how employees who care about the environment carry out green projects that ignores organizational culture and adaptability is lacking. As Singh [12] has noted, new research has brought attention to the paucity of studies on the link between organizational culture and a firm’s EP. In keeping with this, Sun [4] states that one of the most pertinent subjects for research by modern researchers is the relationship between GHRM and green organizational culture and agility. We operate on the assumption that the implementation of GOC can result in enhancements in the firm’s overall performance. More precisely, we propose that placing importance on leadership, ensuring the legitimacy of messages, empowering employees, and including peers might have a favorable impact on the criteria for improving employee performance and Organizational Agility (OA). Our paper stands out from the others because we show a mediation function utilizing GHRM, EP, and SP, and we are the first to include these two variables, the variable organizational culture and the variable agility, in a single model. Moreover, double mediation is displayed, which is not observed in other papers. We also attempt to demonstrate how GHRM and SP directly affect each other. In this study, we will look at the following research question to try to fill such gaps:
RQ1—In what ways do GHRM practices, GOC, and OA impact the environmental and social performance of companies?
We start by building a theoretical framework that suggests a relationship between EP, OA, SP, GOC, and GHRM behaviors to answer this question. We use results from an extensive survey of Bangladeshi organizations to gauge the efficacy of our strategy. Given the sector’s notorious track record of environmental deterioration and increasing government efforts to curb detrimental emissions, local organizations in Bangladesh are perfect for researching EP and SP.
This study enhances our understanding of GHRM, OA, and GOC since its findings have significant significance for both theoretical and practical aspects. This research is innovative since it provides actual proof of the correlation among GHRM, culture and agility. Prior publications have only approached this correlation in a theoretical manner [13], without thoroughly examining the fundamental elements of GOC and OA. This research satisfies the need to contribute to theory by uncovering how managers can enhance their company’s green organizational culture. This is achieved by focusing on four important aspects: Focus on leadership, message trustworthiness, group participation, and giving employees power and social performance. The novelty and practicality of this research can be beneficial in instructing GOC and providing a more comprehensive grasp of essential environmental, social, and governance factors. This can aid in educating future generations of conscientious managers.

2. Literature Rearview and Hypothesis Development

2.1. Theoretical Framework

Resource-Based View (RBV) Theory

The resource-based perspective theory posits that an organization’s archetype significantly influences its content creation strategy. This theory emphasizes the relevance of the unique organizational capabilities that contribute to a competitive advantage. According to the RBV philosophy, an organization is considered as a collection of resources, including monetary resources, non-monetary resources, human resources, physical resources, and other organizational resources. This information is cited from Hamel [14]. According to the resource-based approach, organizations own assets that can provide them with a competitive advantage, as well as assets that enhance long-term efficiency. Empirical studies on business performance using the RBV have identified differences not just among companies in the same market, but also among smaller groupings within certain industries [15]. Green HRM is a newly developed concept that specifically links HRM to environmental issues. It involves adapting HRM procedures to assist organizations in becoming more environmentally friendly, which in turn might enable them to pursue distinctive initiatives. Considering human and behavioral factors is crucial to building organizational sustainability, as they are capable of having a substantial influence on the company. The RBV theory serves as the theoretical basis for the field of study of GHRM. RBV asserts that a company’s competitive advantage is contingent upon the capability of its human resources to effectively address and make crucial decisions in response to various conditions.

2.2. Transformational Leadership Theory

Interactional psychology suggests that individual organizational behavior is influenced by a variety of elements that exist at different levels of the organization and are related to personal traits. The concept of transformational leadership is extensively studied in the educational setting, with a particular emphasis on the role of leadership qualities as a crucial contextual factor influencing employee behavior [16]. Transformational leaders motivate their followers to achieve beyond their own performance objectives. Bass [17] defines transformational leadership as encompassing three key actions: inspirational drive, which involves the leader’s ability to encourage cooperation and provide direction during challenging tasks; personal involvement, which entails the leader engaging with each employee and considering their unique needs and aspirations for personal development; and individual attention, which refers to the leader’s capacity to give focused consideration to each individual. When we take into account the individual’s distinct personal allure and their physical attractiveness, it becomes more convenient to cultivate those [14]. Yumei [18] found that transformational leadership positively correlates with organizational agility. This is because, under this style of leadership, managers actively support their employees in finding creative solutions to problems, all the while being adaptable to and capitalizing on external changes that help them thrive. One of the most important things a leader can do for their business is to tackle environmental problems; this, in turn, fosters innovation and makes the whole company more agile [19]. Agility improves personal traits and it increases the individual’s ability to perform well, we use transformational leadership theory for signify agility.

2.3. Hypothesis Development

2.3.1. GHRM and EP

Studies by Sun, Arda and Ababneh [4,20,21] have looked at how environmentally conscious HRM practices affect businesses’ Environmental Performance (EP). The term EP describes a company’s efforts to protect the environment and provide measurable operational indicators that meet certain environmental criteria [8]. According to [22], in order to accomplish these EP objectives, HR managers are crucial in attracting, developing, and retaining eco-conscious employees. Human resource managers are making an effort to hire people who are environmentally conscious by incorporating questions about their environmental consciousness into job postings and interviews [10].
Ahmad [22] states that one way to get people more invested in environmental issues is to teach them about the environmental impacts of their work. According to Bilderback [23], for companies, including sustainability training provides benefits. GHRM supports sustainable practices, raises employee satisfaction and productivity, and reduces environmental impacts, therefore enhancing the organization’s reputation. In environmentally conscious firms, leaders are occasionally tasked with both strategic planning and day-to-day operational management. Leaders with the ability to shift gears quickly between making strategic and operational decisions should be sought out and kept by HR managers [5]. Once in positions of control, executives will advocate for ecologically oriented initiatives that aim to increase the EP of the company. HR managers have a crucial responsibility in assessing employee performance by considering the accomplishment of environmental goals. During performance evaluations, HR managers can engage in discussions with workers regarding their attainment of environmental goals and explore any suggestions they may have for minimizing waste and enhancing performance [22]. Pay and incentive programs can influence workers’ behavior even if they are already inclined to reduce their environmental effect [4,21]. Recruitment, retention, evaluation, and incentive programs all contribute to a healthy EP, according to the GHRM research (Figure 1). Therefore, here is what we propose:
H1. 
GHRM has a favorable impact on a firm’s EP.

2.3.2. GHRM and SP

Organizational social sustainability goals are shaped by the implementation of GHRM practices and green behavior. Businesses that use environmentally friendly strategies to improve the condition of the environment generally acknowledge the importance of social sustainability [3]. Company sustainability initiatives should be communicated to employees and may contribute to their overall well-being, both mentally and physically [24]. The GHRM programmer of many organizations should be driven by the obligations of corporate social responsibility. Employers should be required to integrate environmentally friendly procedures into every department of their organization. With this, institutions would be compelled to restrain their ethically irresponsible behaviors and, in particular ways, contribute to resolving the difficulties they have contributed to as social issues gain prominence in the eyes of stakeholders [25]. Many scholars in the field of green management say that organizations should not only rely on technological solutions, but also embrace and implement new environmental and socially responsible attitudes, behaviors, and beliefs in order to act in a more sustainable manner. The pursuit of environmental performance is dependent on the adoption of a green culture [3,26]. Furthermore, we have contended that organizations must experience a cultural shift and undergo substantial transformation in order to align with the necessary solutions to address societal concerns. Consequently, we suggest the following:
H2. 
GHRM has a favorable impact on a firm’s SP.

2.3.3. GHRM and GOC

Organizational culture retains the collective values, behaviors and beliefs shown by personnel inside an organization [26,27,28]. Values are personal opinions on what one believes to be feasible, and are connected to moral and ethical norms [29]. Beliefs are subjective impressions held by humans that may be classified as either accurate or inaccurate. Behaviors refer to the consistent and recurring actions performed by individuals, which are influenced by their own values and beliefs [1]. Values, beliefs, and behaviors are internalized and expressed through an ideology or organizational philosophy. This ideology or philosophy acts as a framework for navigating the challenges and uncertainties that arise in the context of organizational life [4]. The organization’s ideals are reflected in the behaviors of its personnel. Over time, these behaviors become ingrained habits that influence the daily operations of the corporation, ultimately forming its culture [1].
Environmental and quality management are intertwined. Arda [21] found that these factors may have a positive effect on a company’s performance when combined. Crucially, we contend that GHRM actions are vital in the advancement of GOC. Pro-environmental leadership entails prioritizing the environment as a key aspect of leadership, in which managers show they care about the environment by acting sustainably in their daily work and evaluate employees according to how well they do in this area [8]. HR managers are responsible for hiring personnel who are environmentally sensitive and facilitating their advancement into leadership roles [11]. HR managers are in a favorable position to craft environmentally friendly messaging that addresses employees’ concerns regarding reductions in inefficient and ecologically damaging behaviors in their everyday tasks [10]. Managers who are empowered and set a good example are more likely to have staff that can readily adapt to environmental changes and take proactive measures to decrease negative organizational processes [13]. Based on our findings, we believe that GHRM practices help the GOC create leadership focus, message credibility, peer engagement, and employee empowerment. This brings us to the following notion;
H3. 
GOC positively influences GHRM practices.

2.3.4. GOC, OA and EP

Environmentally conscious management teams may strategically undertake environmental efforts by connecting their environmental and financial objectives [22]. Senior executives actively communicate environmental objectives to operational staff, with the goal of gradually integrating them into their daily responsibilities [4]. In addition, the presence of reliable pro-environmental messaging from higher-ranking executives motivates environmentally concerned personnel to behave in an ecologically responsible way. Peer participation can influence collaborative efforts towards achieving the environmental goals of the company. Collaborative efforts focused on environmental sustainability are believed to significantly decrease waste and improve the environmental performance of a company’s operations [1,22]. Teams should prioritize continuous improvement activities that target a reduction in harmful emissions and excessive waste in the manufacturing process. They can also employ a programmer to minimize the occurrence of detrimental environmental incidents in their operations [11].
Granting workers the authority to make independent decisions empowers them to promptly discover and address detrimental practices inside a company’s operations [30,31,32]. Employees can be allowed the freedom to choose operations that are excessively utilizing primary components and take proactive measures to establish a recycling programmer in order to decrease overall consumption rates [33]. According to [11], employee empowerment has been demonstrated to enhance workers’ concern for the environment and have a favorable effect on the company’s future EP [11]. Based on this rationale, we argue that the key elements influencing the efficacy of GOC are leadership attention, trustworthy communication, the participation of colleagues, and agency for workers [29]. The capacity of a business or company to foresee, identify, and react swiftly to changes in the market is known as OA [1]. Companies of all sizes and in all industries need to be agile to maintain a competitive advantage and deal with the unpredictable nature of today’s marketplaces [30]. The promotion of agility is greatly aided by this function. Human resources will pave the way for a new kind of company to emerge, one with a workforce that is lightning fast and incredibly adaptable.
GHRM includes everything that might help a company go green by taking corporate sustainability guidelines into account [31,32]. Companies must implement critical strategies and practices linked to GHRM since their human resources are their most important asset [34]. The employee motivation could increase a company’s agility if a GOA culture is guaranteed inside the company. In this sense, environmentally beneficial behavior is driven. Following this line of thinking, it is suggested that GOC facilitates communication between GHRM practices and EP. Based on the information provided, we may formulate the following hypotheses:
H4. 
EP is favorably impacted by GOC.
H5. 
GOC is favorably impacted by OA.
H8. 
GOC plays a mediating role in the relationship between GHRM and EP.
Finally, we present a made-up model that describes the interplay between GHRM procedures, GOC, and an organization’s EP.

2.3.5. OA and EP

Businesses that can swiftly adjust their internal structures, reorganize their resources, and respond to changes in the market are more likely to be innovative and adaptable. Khokhar [18] stated that this capability is supported and enabled by very high-quality resources. Therefore, how a company uses these resources is a vital issue to the success of a business and its ability to grow and succeed in a chaotic setting. There is a dearth of data from actual studies on the ways in which environmental factors impact the development of agility and performance in companies, despite the fact that organizational agility is a key component in determining a company’s competitive advantage [32], right alongside strategic directivity. According to Begum [32], businesses that are agile are better able to plan, organize, and manage their sustainability goals from a social, economic, and environmental standpoint. OA boosts the performance of the whole firm, according to the literature. We argue that, according to the research, firms may improve their EP by being nimbler and implementing green initiatives throughout the company. Because they are seen to care about the environment, people are more inclined to think highly of firms that adopt GHRM. People are more inclined to be lured to environmental groups that are associated with prominent figures since doing so boosts their self-esteem [18]. Employees also prefer to work for these companies since they care more about their development as people and as workers [35,36]. On the other hand, OA is more likely to flourish in companies with great reputations that employees seek out such companies. OA guarantees that GHRM action directly impacts on EP in different ways, such as selecting green materials, reporting immediately, and being concerned about environmental impacts. Supporting the hypothesis with actual evidence, a link between GHRM and the attractiveness of candidates was established in a study conducted by [37]. This study advocated for a work environment in which employers actively support employees’ professional growth and development to better prepare them for life’s unexpected challenges [38,39]. Company initiatives that go above and beyond what is required by law and regulation are known to have EP [40,41]. This type of performance is crucial because it ties into CSR, which in turn makes customers hold the company accountable [42,43]. While staying in compliance with regulatory environmental requirements, it encompasses the consequences of organizational activities, products, and resource usage on the environment [11]. With the help of GHRM, companies may develop an all-encompassing strategy to boost their environmental performance through recruiting incentives, an employee empowerment programmer, and other methods. Based on the information provided, we may propose the following hypotheses:
H6. 
GHRM is favorably impacted by OA.
H7. 
EP is favorably impacted by OA.
H9. 
OA plays a mediating role in the relationship between EP and GHRM procedures.
H10. 
GOC and OA play a mediating role in the relationship between GHRM and EP.

2.3.6. The Moderating Role of Green HR Practices (GHRP) on GOC and OA

As a tool, GHRP is crucial for firms who are serious about making a difference in the world. The goal of GHRP is to raise environmental consciousness among an organization’s staff through the implementation of practices that promote resource sustainability and minimize negative impacts on the environment [13]. Incorporating environmental management into traditional human resource procedures including recruiting, training, performance assessment, and employee engagement can help reach this objective. According to recent studies, green HR practices are essential for organizations to become more adaptable and to foster a green culture [9]. Green HRM methods mediate between the organization’s green principles and environmental problems by integrating environmental considerations into core HR activities. This helps to speed up solutions to environmental difficulties. A few related previous studies are summarized in Table 1.
GHRP is essential for fostering an eco-conscious business culture and making organizations more responsive. Elshaer [23] found that companies which prioritize environmental sustainability in their HR practices are more likely to hire people who are both environmentally conscious and responsive to issues. Green HRM, GOC, and OA must all work together to boost EP and create sustainable growth. When it comes to environmental initiatives, GHRP includes green practices and gives a common goal for the whole company to work towards [4]. When workers have faith in their ability to achieve this common goal, they are more likely to take action that will have a positive impact on the environment.
H11. 
Green HR practices moderate the relationship between GHRM and GOC.
H12. 
Green HR practices moderate the relationship between GHRM and OA.

3. Research Methodology

3.1. Sample Characteristics

This study surveyed Bangladeshi organizations (manufacturing, service and university) to examine the hypothesized relationships. These sectors were chosen for their relevance to GHRM, data accessibility, and generalizability. Data were collected from Southern and Northern zones using simple random sampling to ensure representativeness. We reached experienced junior and senior managers through personal visits and emails to evaluate their organization’s effectiveness regarding GHRM and social and environment performance. We also shared our Google form via Facebook, WhatsApp, and messenger, and also collected data physically. Out of the 450 collected surveys, 445 were usable after eliminating those with significant exceptions, disinterested replies, and missing data. A structured questionnaire using a seven-point standard deviation in which 1 meant strongly disagree and 7 meant agree was employed. Revisions and corrections were made as necessary. The surveys were conducted over four weeks in April 2024, both online and offline. Participants were encouraged to provide useful responses to ensure proper research conduct. To assess non-response bias, the first and last 45 returned surveys were classified as early and late participants, respectively. Since no statistically significant differences were detected between the groups using independent sample t-tests, there is no evidence of non-response bias in this study.
Table 2 shows that 66.7% of respondents were male and 33.3% were female. This table also illustrates that 15.3% of respondents were aged under 20, 84.0% of respondents were aged between 20 and 30, and 0.70% of respondents were over 30. The education level of the respondents was as; 30.8% had an undergraduate degree, 28.8% had a graduate degree, 26.7% had a postgraduate degree, and 13.5% had other education levels. Other information is given in the respondent’s profile.

3.2. Instrument Design

The measuring tools used in this analysis were either derived from earlier research or were adaptations of established instruments. We broke up the instrument into three separate sections. The first segment included respondents’ demographic data. The second segment featured twenty statements pertaining to the five GHRM processes. All those processes were measured using five questions for each dimension; the items for this part were derived from Lahbar and Roscoe [1,6]. Thirty items were distributed among the responses both online and offline through WhatsApp, Facebook, LinkedIn and physical observation. The information in this section was derived from [1,3,4,13,25]. Twenty responses were gathered for pilot research to evaluate the questions’ applicability and dependability in the country of Bangladesh. The findings showed that the constructs’ internal consistency value ranged from 0.79 to 0.93, which is over the 0.7 value threshold [44]. This prompted the researcher to use this survey (See Appendix A Table A1).

3.3. Tools and Analysis

We used structural Equation Modeling (SEM) to assess the dependability and elucidate the relationships across structural model components. Our team settled on Amos-24 because of its real-time, accurate measurement and structural model estimation capabilities. In contrast to the structural model, which looks at how things relate to one another, the measurement model is mainly concerned with the causal links between these parts. In addition to the reliability and convergent validity, this model evaluates the study constructs.

3.4. Assessment of Common Method Variance (CMV)

In this investigation, we computed the CMV to verify the data’s legitimacy. Several problems could lead to an incorrect estimation or overestimation of the antecedents between the explanatory and regressive variables. We evaluated Harman’s one-factor test [44,45] to determine the degree of CMV problems. Potential CMV problems arise when all indicators fit neatly with one construct or when one construct explains most of the data volatility. However, there was no evident problem with the data as the first component explained 23.79 percent of the variance and many components had eigenvalues greater than one [45,46].

4. Analysis and Results

4.1. Inter Item Correlation Matrix

In addition, Table 3 shows the correlation matrix between variables. The results show that GHRM has the largest positive link with the other variables, except SP. This also demonstrates that all the correlation values between variables are under their critical bounds, implying that there is no real concern about multicollinearity.

4.2. Descriptive Statistics (EFA)

The key results of the EFA are shown in Table 4. In order to proceed with the factor analysis, the correlation matrix analysis verified that there were adequate correlations between the measurements. The eigenvalue was used to find the factor count. Within the allowed range, the Kaiser–Meyer–Olkin coefficient was 0.904. The correlation matrix was adequately fitted by Bartlett’s sphericity test (p < 0.000).

4.3. Overall Confirmatory Factor Analysis (CFA) Results

The GHRM measurement model was confirmed using a second-order CFA as well as a first-order CFA. Some modifications were performed according to the suggested modification indices. Figure 2 shows that a good model fit was found. All the items in the present research had values of less than 4 for kurtosis and less than 2 for skewness. Given that the present study’s sample size was more than 200, major deviations from normalcy may be inconsequential and have had little effect on the findings [41]. There was a 0.904 Kaiser–Meyer–Olkin measure of sampling adequacy. There were also five GHRM constructs found through the factor analysis (Table 5). The factor loadings of the items for GHRM ranged from 0.930 to 0.965, those for GOC ranged from 0.886 to 0.962, those for OA ranged from 0.898 to 0.936, and those for EP ranged from 0.920 to 0.949. SP included five items with factor loadings that varied from 0.751 to 0.818. Table 6 shows the measurement model’s total fit statistics, which include a chi-squared with 286 degrees of freedom X2/df = 1.854, GFI = 0.981, CFI = 0.981, TLI = 0.979, NFI = 0.955 and RMSEA = 0.044, which indicate appropriate model fit [41].

4.4. Measurement Model Analysis

Two separate measurement models were derived from this study. The measurement models were checked for reliability and validity using convergent and discriminant validity evaluations. In the end, the fitness, validity, and reliability of the measurement models’ outputs were evaluated. This included both first-order and second-order models.
Table 5 and Table 6 demonstrate that all the measures were trustworthy since, according to [43], all variables have standardized factor loadings greater than 0.70, which is the benchmark for statistical significance. Every single one of the Cronbach’s alphas was higher than the 0.7 threshold that is deemed statistically significant [43,44]. Values of composite dependability (CR) between 0.907 and 0.968 exceed the minimal requirement of 0.70, as stated by [47,48,49]. The average value estimation (AVE) for each dimension ranged from 0.661 to 0.858, which is more than 0.50. The correlation coefficients of all feasible combinations of sub-dimensional components were greater than the least square root of the AVE values. Consequently, both convergent and discriminate validity have been satisfied. According to Hu [50], the measurement model is typically well fit if the following values are within the following tolerance limits: X2/df = 1.854, GFI = 0.981, CFI = 0.981, TLI = 0.979, NFI = 0.955, and RMSEA = 0.044 (Table 7). This means the model provides a good match for the data. The following hypotheses are validated by the diagnostic tests: H1, H2, H3, H4, H5, H6, and H7; this shows that the model fits the sample data well. The findings of all diagnostic tests are also well matched by this model (Figure 2).

4.5. Measurement Model Fit Indices

The acceptable parameters are filled in by all of the fit values. Consistency in the summary statistics reflecting the likelihood of impacting factors was shown by the measurement model (Table 8).

4.6. Structural Model Analysis

Following that, we performed Structural Equation Modelling (SEM) by using Figure 3 to assess the adequacy of the proposed routes according to the fitness of the measurement model. Tabel 9 presents the data that indicate the significant fit of the model. The model fit indices are as follows: X2/df = 1.854, AGFI = 0.912, GFI = 0.981, CFI = 0.981, TLI = 0.979, NFI = 0.955, RMSEA = 0.044 and Pclose = 0.000. In addition, the tables indicates that the R2 values for GOC, OA, and EP are 8%, 10%, and 10%, respectively. There is a positive impact of GHRM (β = 0.090) on EP and GHRM (β = −0.010) on SP. Therefore, H1 and H2 are not approved. The GHRM (β = 0.290, β = 0.200) has a strong connection with both GOC and OA. Also, GOC and OA (β = 0.140, β = 0.190) have a strong connection with EP and also have an influence on job satisfaction. All direct relationships have statistical significance, with a significance level of p < 0.05.
Table 9 illustrates the direct effects of various variables on social and environmental performance based on the proposed hypotheses. It is very surprising that H1 demonstrates a negative correlation between GHRM and EP, indicating that only effective GHRM practices cannot influence corporate sustainable development. However, H2 confirms that GHRM also negatively impacts SP, emphasizing only the significance of GHRM not promoting environmental sustainability within organizations. Thirdly, H3 acceptance validates that GHRM significantly enhances GOC within organizations, underlining the importance of managing and leveraging environmental knowledge to foster innovative green practices and solutions. Fourthly, the acceptance of H4 indicates that GOC positively impacts EP, as GHRM practices embed sustainability into organizational culture and operations, enhancing the environmental competencies of employees and motivating sustainable behaviors. Fifthly, H5 acceptance suggests that GOC positively influences OA by fostering innovative solutions that reduce environmental impact and improve sustainability. Sixthly, H6 acceptance suggests that GHRM positively influences OA. Lastly, H7 indicates that OA practices significantly impact EP, emphasizing the interconnected roles of GHRM, and social and environment performance.

4.7. Mediation Analysis

In accordance with the recommendations made by Baron [51], this investigation used bootstrapping to evaluate the model’s mediating effects. The independent variable is indirectly affected by bootstrapping when a mediator is used. As shown in Table 10, GOC and job OA have a strong mediating effect between GHRM and EP. The product of GHRM, GOC, and EP has an indirect effect of 0.034, and the product of GHRM, GOC, OA, and EP has an indirect effect of 0.005. These findings support hypotheses H5 and H9. The indirect effect represented by the equation GHRM → GOC → OA → EP = 0.021 confirms the existence of H6. In addition, Table 10 shows that the p value of all indirect effects is below 0.05 and that the lower and upper limits of all mediations are positive. This suggests that all relationships are statistically significant (Figure 4).

4.8. Moderating Effects

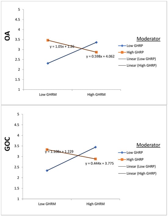
AMOS connection moderation in analysis can effectively address both random and non-random measurement sampling challenges [52]. The purpose of the current study was to examine the moderating impacts of organizational citizenship behavior by modifying AMOS interactions. This table (Table 11) demonstrates that the p-value provides strong evidence in favor of H11 and H12. These findings suggest that green HR practice has a moderating role in the association among GHRM, GOC, and OA. This relationship is influenced by psychological well-being and emotional weariness (Figure 5).

5. Results and Discussion

This study aims to shed light on the complex web of relationships that exists among GHRM, GOC, OA, and the effectiveness of social and environmental initiatives. This study found that GHRM has an effect on both social and environmental performance. Research by [1,4,35] provides credence to this notion. Our findings are consistent with those of [6,11], which both concluded that GHRM has a favorable effect on social and environmental performance. The purpose of this research was to address a gap in the knowledge by investigating how GHRM influences the social and environmental outcomes of developing countries [1]. Refs. [1,5,6,10] all found that GOC and OA influence the link between GHRM and social and environmental performance.
We investigated the potential effects of GHRM on the social and environmental efforts of an organization. These findings demonstrate a negative correlation between GHRM practices and both EP (H1) and SP (H2). It was hypothesized in Bangladesh that GHRM is associated with negative environmental and social outcomes. According to Figure 3 and Table 9, GHRM accounts for 0.09% and −0.00% of the variation in corporate sustainability, respectively. The correlation between GHRM and social and environmental performance is favorable and statistically significant (β = 0.79, t = 1.888 and β = −0.03, t = −0.136, respectively). According to this measurement, H1 and H2 are rejected. But [6,12,47] show the positive effect of GHRM on social and environmental performance. Nobody should be surprised to hear that the claims that GHRM would improve social and environmental performance were rejected. This suggests that GHRM policies are significant, but their effect on an organization’s EP and SP may be smaller than initially anticipated. There may be other factors that have an effect on social and environmental performance. Another possible explanation is that GHRM’s direct effects are less noticeable and its indirect effects more noticeable. This finding is in agreement with the notion that an agile organizational culture may be necessary for GHRM techniques to be effective in improving environmental and social performance.
The third and fourth hypothesis studied the effect of GHRM on GOC and GOC on EP in Bangladeshi organizations (manufacturing, service and university). It was expected that there would be a favorable correlation between the effect of GHRM on GOC and the effect of GOC on EP in Bangladeshi organizations. Figure 4 and Table 8 demonstrate that the R2 values were 8% and 10% (R2 = 0.08 and R2 = 0.10). Table 9 demonstrates a favorable and statistically significant association between the effect of GHRM on GOC and the effect of GOC on EP (β = 0.241, β = 0.146 and, t = 6.199 and t = 2.858). The findings support the third and fourth hypothesis. Hence, it can be inferred that there is a favorable correlation between the effect of GHRM on GOC and the effect of GOC on EP within Bangladeshi organizations. Lahbar [1] also shows the positive validity of this hypothesis. In addition, companies that already have a strong green culture are in a better position to embrace and execute GHRM policies, according to this study. Companies looking to enhance their GHRM should prioritize fostering a GOA as it will greatly contribute to the success of their GHRM initiatives. Evidenced by the considerable link between the effect of GHRM on GOC and the effect of GOC on EP, company culture is vital for initiating and maintaining green HR activities.
The fifth hypothesis studied the direct relationship between GOC and OA in Bangladeshi organizations. It was expected that there would be a favorable correlation between GOC and OA in Bangladeshi organizations. Figure 3 and Table 9 demonstrate that the R square value was 10% (R2 = 0.10). Table 9 demonstrates a favorable and statistically significant association between GOC and OA (β = 0.194, t = 4.045). The findings support the fifth hypothesis, similar to [1]. Moreover, a good environment that is favorable to both employees and suit ecology encourages the worker to work more consciously to help grow agility. Hence, it can be inferred that there is a favorable correlation between GOC and OA within Bangladeshi organizations.
The sixth and seventh hypothesis looked at the connection among GHRM, OA, and EP inside a Bangladeshi organization. It was anticipated that GHRM, OA and EP in Bangladeshi firms would be positively correlated. Table 9 reveals a positive and statistically significant correlation among GHRM, OA and EP inside Bangladeshi organizations. The R2 value is 10% (R2 = 0.10) (β = 0.159, β = 0.197 and t = 4.015, t = 3.773). Hence, in Bangladeshi organizations, there is a positive association among GHRM, OA and EP. Lahbar [1] also shows the positive relationship among these variables. Besides green HRM practices like sustainability-focused training and development, employing eco-conscious individuals and performance management systems that acknowledge and reward eco-friendly actions can help create a workforce that is sensitive to environmental issues while also being adaptable and flexible. The importance of agility in today’s complex and constantly changing business climate is growing, and this finding adds to the evidence that GHRM may assist firms in developing this trait.
The analysis showed a large correlation between green corporate culture and effective GHRM implementation, which is relevant to the mediation in H8, H9, and H10. GOC relates to shared environmental values and practices, which are crucial to the success of GHRM programmers. Refs. [1,6] study this variable and its mediating role. Complete mediation occurs when the direct correlation between the dependent and independent variables is small, but when there is a large correlation between them and the mediator. Table 10 reveals that the H8, H9, and H10 paths are significant (p = 0.01, p = 0.09 and p = 0.10) and that partial mediation exists (β = 0.34, β = 0.21 and β = 0.05). Therefore, hypothesis H8, H9, and H10 are supported, as they are significant. This study highlights the significance of organizational agility as a mediator between GHRM and EP. By encouraging creativity, employee agency, and lifelong learning, GHRM methods increase organizational agility. Overall, environmental performance improves as a result of firms’ enhanced responsiveness to environmental opportunities and dangers [53].
Both hypothesis eleven and twelve demonstrate how green HR activity acts as a moderator. Environmentally focused performance management systems, green recruiting, and sustainable training programs are all examples of how GHRM works to support a green culture. If you follow these steps, you can be assured that your team is knowledgeable about sustainability challenges and motivated to implement good changes. Organizational sustainability is achieved through green recruitment strategies, which attract individuals who prioritize sustainability, training programs that enhance environmental knowledge and competences, and performance management systems that recognize and reward environmentally conscious behaviors. Ref. [54] uses green HR practices as a moderator with environmental value and we apply this to GHRM, GOC and OA in our paper. Table 11 reveals that the H11 and H12 paths are significant (p = 0.43 and p = 0.42). Therefore, hypothesis H11 and H12 are supported, as they are significant. Therefore, as GHRM actions boost the influence of GOC on EP, the cultural devotion to sustainability becomes more practical and significant. Staff members are better prepared to react quickly to environmental threats when they participate in ongoing training and education programs that keep them abreast of emerging environmental practices and technology [49,50]. Employees are more likely to take initiative in sustainability efforts and make good judgments when given the resources they need through empowerment programs [55]. Organizational agility is improved by GHRM via the incorporation of these practices; as a result, the company is more responsive and can successfully adopt sustainable initiatives.

6. Conclusions

By examining real data on the connection between GHRM and the environment and social performance, our study provides fresh viewpoints. Our discovery makes a substantial addition to the field of GHRM, as researchers there have not been able to practically identify the effects on environment and social performance yet. It must provide new insights into a phenomenon that may be used to improve organizational practices.

6.1. Practical Implication

Due to a lack of reliable empirical evidence, established methodologies, and fundamental concepts, it might be difficult to teach future responsible managers about GOC. This is due to the absence of extensive empirical evidence, such as results from surveys and case studies, in the vast majority of the GHRM literature, which portrays GOC as a key topic. By introducing and assessing a novel paradigm, our study adds to the growing body of literature on green organizational management in academic business programs. By introducing GOC and OA, we expand upon the existing literature on the relationship between GHRM and green culture. Academics will have the opportunity to instruct on the essential elements of effective group communication, which encompass a focus on leadership, the credibility of the message, the engagement of peers, and the empowerment of employees. One may argue that these important factors have a role in connecting GHRM with green organizational culture. This comprehensive dialogue has the potential to enhance the quality of instruction and the acquisition of knowledge on the subject matter. Therefore, the educators responsible for teaching companies about GOC may utilize this study as a valuable resource that can be incorporated into modules concerning GHRM. This aligns with the goal of educating future generations of more responsible managers.

6.2. Theoretical Implication

Our study’s findings should be carefully considered by academics and managers alike as they work to train the next generation of conscientious business leaders in developing an environmentally conscious corporate culture. This research holds great managerial importance as it can aid managers in efficiently inspiring employees to perform pro-environmental actions as part of their routine duties. Our research indicates that HR managers may employ pro-environmental tactics like hiring, evaluation, training, and motivation to promote the growth of GOC and OA. Participation in these events guarantees that workers will make environmental consciousness an integral part of their daily lives. A pro-environmental business culture may be shaped by these acts as they become habits over time. Therefore, in order to boost the company’s environmental performance, this culture promotes employees to undertake initiatives that are ecologically conscientious. Thus, we propose that managers take into account both GHRM strategies that encourage EP upgrades and the substantial impact of organizational culture on the long-term growth of their business.

6.3. Limitations and Future Research Directions

Certainly, there are certain caveats to our research. By considering the number of local Bangladeshi organizations, the study sample is still tiny, even if it has around 445 respondents. There may be some limitations to the findings’ generalizability because of the limited sample size. In addition, we are aware that instead of focusing on the components of green organizational culture, our study evaluated it by looking at the characteristics that promote it. Within the context of organizational culture and agility, our study zeroes in on four distinct behavioral traits: leadership focus, trustworthy communication, participation from colleagues, and agency for workers. Refs. [47,52] contends that in order to have a thorough understanding of green organizational culture, future research should take into account not just pro-environmental behaviors, but also pro-environmental attitudes and beliefs. Important factors to be taken into account in future research include the way managers perceive environmental activities, the process of incorporating green values into organizations, and the alignment between managers and employees in their ideas about environmentalism. This model can be elaborated with HRM theory. Organizational value could be an important variable for future research. Additionally, there is potential for future investigations on the role of environmentally conscious company culture in promoting green practices among employees, as brought out by [55]. Besides this, regarding the elaboration of our research model, the green competitive environment or competitor variables could be used in future research. The literature has previously identified the problem of researching organizational culture in sustainable development research. Therefore, we urge additional investigations on this crucial topic and company culture: insights from a developing market.

Author Contributions

Author Contributions: Conceptualization, M.A.I.G. and A.A.M.; Data curation, M.A.I.G., A.A., M.B.A. and N.S.C.; Formal analysis, A.A.M. and S.D.; Funding acquisition, M.A.I.G., A.A., M.A. and M.B.A.; Investigation, M.A., A.R.b.S.S., A.A.M. and N.S.C.; Methodology, A.A.M. and S.D.; Project administration, M.A.I.G.; Resources, M.A., A.R.b.S.S., S.D., A.A., M.B.A. and N.S.C.; Supervision, A.A.M.; Validation, A.A., M.B.A., A.R.b.S.S. and N.S.C.; Writing—original draft, M.A.I.G., A.A.M. and S.D.; Writing—review and editing, M.A., M.A.I.G., A.A., M.B.A., A.R.b.S.S. and A.A.M. All authors have read and agreed to the published version of the manuscript.

Funding

This research was supported by the University of Debrecen Program for Scientific Publication. This project was also partially supported by the INTI International University, Malaysia.

Institutional Review Board Statement

This study received constituted ethical clearance by the Quality Assurance Cell (IQAC) of the Department of Management Studies, University of Barishal, Bangladesh (IQAC/MBA-HRM/ER-008/03-0-4/2024). Informed consent was obtained through a signed form in which all participants agreed to the collection, storage, and use of their given information for research purposes.

Informed Consent Statement

We, the authors of our paper, hereby grant consent for its publication in Sustainability.

Data Availability Statement

The dataset used in this study is available from the first author upon reasonable request.

Acknowledgments

The authors extend their appreciation to the Deanship of Scientific Research at King Khalid University for funding this work through a large-group Research Project under grant number (RGP.2/134/45).

Conflicts of Interest

There are no relevant financial or non-financial interests to disclose.

Appendix A

Table A1. Construct development.
Table A1. Construct development.
Sl. No.ItemsRef.SDDSWDNSWAASA
Green Human Resource Management
GHRM 1I think that job positions in our organization enable involvement in environmental management activities. [1,6]1234567
GHRM 2I think that job positions in our company enable the acquisition of knowledge about environmental management. 1234567
GHRM 3I think that the environmental performance of the company attracts employees. 1234567
GHRM 4The HR department selects employees by considering environmental motivation in our organization. 1234567
GHRM 5I think that environmental training is considered as an important investment in our organization. 1234567
Green Organizational Culture
GOC 1Our organization leaders encourage employees to learn about green behaviors. [6]1234567
GOC 2Our organization managers communicate the environmental policy to employees. 1234567
GOC 3Our organization leaders can help me when I face environmental problems. 1234567
GOC 4The information in our organization about the environment is delivered by respected sources.1234567
GOC 5It is easy to understand how those green operations are applied. 1234567
Organizational Agility
OA 1It is easy to understand how those green operations are applied. [1]1234567
OA 2My organization has been fast in terms of detecting changes that occur in customer preferences for products. 1234567
OA 3My organization has been fast in terms of detecting changes. 1234567
OA 4My organization has been fast to detect changes in technology. 1234567
OA 5My organization analyzes important events concerning customers, competitors, and technology without any delay. 1234567
Green HR Practice
GHRP 1My organization sets green goals for its employees. [9]1234567
GHRP 2My organization provides employees with training about green organizational culture. 1234567
GHRP 3My organization considers employees’ workplace green behavior in performance appraisals. 1234567
GHRP 4My organization relates employees’ workplace green behaviors to rewards and compensation. 1234567
GHRP 5My organization considers employees’ workplace green behaviors in organizational agility. 1234567
Environmental Performance
EP 1Our organization significantly reduces environmentally harmful accidents. [6]1234567
EP 2Our organization tries to continuously improve environmental targets. 1234567
EP 3Our organization tries to improve our performance in the recycling of materials. 1234567
EP 4Our organization tries to obtain feedback regarding our environmental performance from the surrounding community and interest groups. 1234567
EP 5Our organization tries to independently assess and report environmental performance. 1234567
Social Performance
SP 1Our organization supports employees’ health and safety. [6]1234567
SP 2Our organization supports improvements in community health and safety. 1234567
SP 3Our organization supports the development of economic activities. 1234567
SP 4Our organization supports providing incentives to engage local employment. 1234567
SP 5Our organization supports lowering the adverse impact of products and processes on the local community.1234567

References

  1. Akhtar, A.; Murtaza Lahbar, G.; Junejo, D.; Bhatti, A. Mediating Effect of Green Human Resource Management (GHRM) and Organizational Agility (OA) on Firm Environmental Performance (FEP): By Applying Quantitative Research Approach. Glob. Econ. Rev. 2023, VIII, 67–83. [Google Scholar]
  2. Abbas, Z.; Smaliukienė, R.; Zamečnik, R.; Kalsoom, G.; Cera, E. How does green HRM influence environmental and social sustainability in hotels? Probl. Perspect. Manag. 2023, 21, 253–263. [Google Scholar] [CrossRef]
  3. Gazi, M.A.I.; Hossain, M.M.; Islam, S.; Masud, A.A.; Amin, M.B.; Senathirajah, A.R.b.S.; Abdullah, M. CSR and Sustainable Environmental Performance: An Exploration of Mediating and Moderating Factors. Sustainability 2024, 16, 8499. [Google Scholar] [CrossRef]
  4. Luo, J.; Zhuo, W.; Xu, B. The bigger, the better? Optimal NGO size of human resources and governance quality of entrepreneurship in circular economy. Manag. Decis. 2024, 62, 2472–2509. [Google Scholar] [CrossRef]
  5. Li, G.; Luo, J.; Liu, S. Performance Evaluation of Economic Relocation Effect for Environmental Non-Governmental Organizations: Evidence from China. Economics 2024, 18, 20220080. [Google Scholar] [CrossRef]
  6. Raza, A.; Farrukh, M.; Iqbal, M.K.; Farhan, M.; Wu, Y. Corporate social responsibility and employees’ voluntary pro-environmental behavior: The role of organizational pride and employee engagement. Corp. Soc. Responsib. Environ. Manag. 2021, 28, 1104–1116. [Google Scholar] [CrossRef]
  7. Kilag, O.K.T.; Malbas, M.H.; Piala, M.C.; John Michael, S.; Pasigui, R.E.; Manire, E.A.; Araña, A.M.M. Preferred Educational Leaders: Character and Skills. Eur. J. High. Educ. Acad. Adv. 2024, 1, 50–56. [Google Scholar] [CrossRef]
  8. Eltwati, A.; Putra Jaya, R.; Mohamed, A.; Jusli, E.; Al-Saffar, Z.; Hainin, M.R.; Enieb, M. Effect of Warm Mix Asphalt (WMA) Antistripping Agent on Performance of Waste Engine Oil-Rejuvenated Asphalt Binders and Mixtures. Sustainability 2023, 15, 3807. [Google Scholar] [CrossRef]
  9. Niazi, U.I.; Nisar, Q.A.; Nasir, N.; Naz, S.; Haider, S.; Khan, W. Green HRM, green innovation and environmental performance: The role of green transformational leadership and green corporate social responsibility. Environ. Sci. Pollut. Res. 2023, 30, 45353–45368. [Google Scholar] [CrossRef]
  10. Zhao, S.; Zhang, L.; Peng, L.; Zhou, H.; Hu, F. Enterprise pollution reduction through digital transformation? Evidence from Chinese manufacturing enterprises. Technol. Soc. 2024, 77, 102520. [Google Scholar] [CrossRef]
  11. Iftikar, T.; Hussain, S.; Malik, M.I.; Hyder, S.; Kaleem, M.; Saqib, A. Green human resource management and pro-environmental behaviour nexus with the lens of AMO theory. Cogent Bus. Manag. 2022, 9, 2124603. [Google Scholar] [CrossRef]
  12. Hamel, G.; Prahalad, C.K. Competing for the Future. 1994. Available online: http://ci.nii.ac.jp/ncid/BA23667216 (accessed on 17 March 2024).
  13. Mahoney, J.T.; Pandian, J.R. The resource-based view within the conversation of strategic management. Strateg. Manag. J. 1992, 13, 363–380. [Google Scholar] [CrossRef]
  14. Bass, B.M. Comment: Transformational leadership: Looking at other possible antecedents and consequences. J. Manag. Inq. 1995, 4, 293–297. [Google Scholar] [CrossRef]
  15. Duan, W.; Eva, A.; Andrews, L.; Liu, Y. The role of platform ecosystem configuration toward performance bifurcation. J. Innov. Knowl. 2024, 9, 100490. [Google Scholar] [CrossRef]
  16. Khokhar, M.; Iqbal, W.; Yumei, H.; Irshad, M. Going Green Supply Chain Management During COVID-19, Assessing the Best Supplier Selection Criteria: A Triple Bottom Line (TBL) Approach. Probl. Ekorozwoju 2022, 17, 36–51. [Google Scholar] [CrossRef]
  17. Ababneh, O.M.A. How do green HRM practices affect employees’ green behaviors? The role of employee engagement and personality attributes. J. Environ. Plan. Manag. 2021, 64, 1204–1226. [Google Scholar] [CrossRef]
  18. Gazi, M.A.I.; Karim, R.; Senathirajah, A.R.b.S.; Ullah, A.K.M.M.; Afrin, K.H.; Nahiduzzaman, M. Bank-Specific and Macroeconomic Determinants of Profitability of Islamic Shariah-Based Banks: Evidence from New Economic Horizon Using Panel Data. Economies 2024, 12, 66. [Google Scholar] [CrossRef]
  19. Ma, Q.; Zhang, Y.; Hu, F.; Zhou, H. Can the energy conservation and emission reduction demonstration city policy enhance urban domestic waste control? Evidence from 283 cities in China. Cities 2024, 154, 105323. [Google Scholar] [CrossRef]
  20. Elshaer, I.A.; Sobaih, A.E.E.; Aliedan, M.; Azzaz, A.M.S. The Effect of Green Human Resource Management on Environmental Performance in Small Tourism Enterprises: Mediating Role of Pro-Environmental Behaviors. Sustainability 2021, 13, 1956. [Google Scholar] [CrossRef]
  21. Gulzar, S.; Hussain, K.; Akhlaq, A.; Abbas, Z.; Ghauri, S. Exploring the psychological contract breach of nurses in healthcare: An exploratory study. Asia-Pac. J. Bus. Adm. 2024, 16, 204–230. [Google Scholar] [CrossRef]
  22. Hmeedat, O.; Albdareen, R. The Impact of Green Human Resources Management Practices on the Relationship between Commitment to Social Responsibility and Sustainable Performance. Inf. Sci. Lett. 2022, 11, 1013–1022. [Google Scholar] [CrossRef]
  23. Wang, Y.; Zhang, J.; Yan, Y.; Guan, J. The bidirectional causality of tie stability and innovation performance. Res. Policy 2024, 53, 105102. [Google Scholar] [CrossRef]
  24. Ali, S.H.; Masud, A.A.; Hossain, M.A.; Islam, K.; Alam, S.M.S. Weaving a greener future: The impact of green human resources management and green supply chain management on sustainable performance in Bangladesh’s textile industry. Clean. Logist. Supply Chain. 2024, 10, 100143. [Google Scholar] [CrossRef]
  25. Wang, Q.; Gazi, M.A.I.; Sobhani, F.A.; Al Masud, A.; Islam, M.A.; Akter, T. Green Human Resources Management and Job Pursuit Intention: Mediating Role of Corporate Social Responsibility and Organizational Reputation. Environ. Res. Commun. 2023, 5, 075001. [Google Scholar] [CrossRef]
  26. Wu, S.; Luo, Y.; Zhang, H.; Cheng, P. Entrepreneurial bricolage and entrepreneurial performance: The role of business model innovation and market orientation. Heliyon 2024, 10, e26600. [Google Scholar] [CrossRef]
  27. Nabi, M.N.; Akter, M.M.; Habib, A.; Al Masud, A.; Pal, S.K. Influence of CSR stakeholders on the textile firms’ performances. Int. J. Res. Bus. Soc. Sci. (2147-4478) 2022, 10, 25–38. [Google Scholar] [CrossRef]
  28. Gazi MA, I.; Rahman MK, H.; Masud, A.A.; Amin, M.B.; Chaity, N.S.; Rahman, A.; Abdullah, M. AI Capability and Sustainable Performance: Unveiling the Mediating Effects of Organizational Creativity and Green Innovation with Knowledge Sharing Culture as a Moderator. Sustainability 2024, 16, 7466. [Google Scholar] [CrossRef]
  29. Xu, J.; Hu, W. How do external resources influence a firm’s green innovation? A study based on absorptive capacity. Econ. Model. 2024, 133, 106660. [Google Scholar] [CrossRef]
  30. Gazi MA, I.; Islam Md, A.; Masud, A.A.; Rahman, A.; Biswas, S.; Shuvro, R.A. The moderating impacts of COVID-19 fear on hotel service quality and tourist satisfaction: Evidence from a developing country. Cogent Soc. Sci. 2024, 10, 2331079. [Google Scholar] [CrossRef]
  31. Rubio-Andrés, M.; Abril, C. Sustainability oriented innovation and organizational values: A cluster analysis. J. Technol. Transf. 2023, 49, 1–18. [Google Scholar] [CrossRef]
  32. Simpson, D.; Samson, D. Environmental strategy and low waste operations: Exploring complementarities. Bus. Strategy Environ. 2010, 19, 104–118. [Google Scholar] [CrossRef]
  33. Hu, F.; Zhang, S.; Gao, J.; Tang, Z.; Chen, X.; Qiu, L.; Zhou, H. Digitalization empowerment for green economic growth: The impact of green complexity. Environ. Eng. Manag. J. 2024, 23, 519–536. [Google Scholar] [CrossRef]
  34. Al-Alawneh, R.; Othman, M.; Zaid, A.A. Green HRM impact on environmental performance in higher education with mediating roles of management support and green culture. Int. J. Organ. Anal. 2024, 32, 1141–1164. [Google Scholar] [CrossRef]
  35. Yang, S.; Jahanger, A.; Hossain, M.R. How effective has the low-carbon city pilot policy been as an environmental intervention in curbing pollution? Evidence from Chinese industrial enterprises. Energy Econ. 2023, 118, 106523. [Google Scholar] [CrossRef]
  36. Hailiang, Z.; Iqbal, W.; Yin Chau, K.; Raza Shah, S.A.; Ahmad, W.; Hua, H. Green finance, renewable energy investment, and environmental protection: Empirical evidence from BRICS countries. Econ. Res.-Ekon. Istraživanja 2023, 36, 2125032. [Google Scholar] [CrossRef]
  37. Ren, S.; Tang, G.; Jackson, S.E. Effects of Green HRM and CEO ethical leadership on organizations’ environmental performance. Int. J. Manpow. 2021, 42, 961–983. [Google Scholar] [CrossRef]
  38. Sapiee, M.L.; Abdullah, N.A.; Halim, F.W.; Kasim, A.C.; Ibrahim, N. Exploring the impact of emotional intelligence on employee creativity: The mediating role of spiritual intelligence. J. Chin. Hum. Resour. Manag. 2024, 15, 21–37. [Google Scholar] [CrossRef]
  39. Devie, D.; Kwistianus, H.; Wellyani, C.V.P.; Goenadi, G.R.N.O. The importance of organizational agility to improve performance: An evidence from the hotel industry in the post-COVID-19 era. Binus Bus. Rev. 2023, 14, 271–284. [Google Scholar] [CrossRef]
  40. Rana, G.; Arya, V. Green human resource management and environmental performance: Mediating role of green innovation—A study from an emerging country. Foresight 2024, 26, 35–58. [Google Scholar] [CrossRef]
  41. Goka, K.A.; Agormedah, E.K.; Achina, S.; Segbenya, M. How Dimensions of Participatory Decision Making Influence Employee Performance in the Health Sector: A Developing Economy Perspective. J. Chin. Hum. Resour. Manag. 2024, 15, 79–95. [Google Scholar] [CrossRef]
  42. Palacios-Manzano, M.; Gras-Gil, E.; Santos-Jaen, J.M. Corporate social responsibility and its effect on earnings management: An empirical research on Spanish firms. Total Qual. Manag. Bus. Excell. 2021, 32, 921–937. [Google Scholar] [CrossRef]
  43. Ahmed, H.; Nisar, Q.A.; Khan, W.; Patwary, A.K.; Zaman, S. Does green HRM really matter for sustainable performance? The role of environmental consciousness and green intellectual capital. Environ. Sci. Pollut. Res. 2023, 30, 115882–115895. [Google Scholar] [CrossRef]
  44. Ahmad, J.; Al Mamun, A.; Masukujjaman, M.; Makhbul, Z.K.M.; Ali, K.A.M. Modeling the workplace pro-environmental behavior through green human resource management and organizational culture: Evidence from an emerging economy. Heliyon 2023, 9, e19134. [Google Scholar] [CrossRef] [PubMed]
  45. Hair, J.F.; Black, W.C.; Babin, B.J.; Anderson, R.E.; Tatham, R.L. Multivariatedata Analysis, 7th ed.; Pearson Education Inc.: Hoboken, NJ, USA, 2010. [Google Scholar]
  46. Gazi, M.A.I.; Rahman, M.K.H.; Yusof, M.F.; Masud, A.A.; Islam, M.A.; Senathirajah, A.R.B.S.; Hossain, M.A. Mediating role of entrepreneurial intention on the relationship between entrepreneurship education and employability: A study on university students from a developing country. Cogent Bus. Manag. 2024, 11, 2294514. [Google Scholar] [CrossRef]
  47. Hossain, M.D.S.; Hossain, M.D.A.; Al Masud, A.; Islam, K.M.Z.; Mostafa, M.D.G.; Hossain, M.T. The integrated power of gastronomic experience quality and accommodation experience to build tourists’ satisfaction, revisit intention, and word-of-mouth intention. J. Qual. Assur. Hosp. Tour. 2023, 1–27. [Google Scholar] [CrossRef]
  48. Hair, J.F.; Sarstedt, M.; Ringle, C.M.; Mena, J.A. An assessment of the use of partial least squares structural equation modeling in marketing research. J. Acad. Mark. Sci. 2012, 40, 414–433. [Google Scholar] [CrossRef]
  49. Fornell, C. A Comparative Analysis of Two Structural Equation Models: LISREL and PLS Applied to Market Data; The University of Michigan: Ann Arbor, MI, USA, 1981. [Google Scholar]
  50. Hu, L.T.; Bentler, P.M. Cutoff criteria for fit indexes in covariance structure analysis: Conventional criteria versus new alternatives. Struct. Equ. Model. Multidiscip. J. 1999, 6, 1–55. [Google Scholar] [CrossRef]
  51. Baron, R.M.; Kenny, D.A. The moderator–mediator variable distinction in social psychological research: Conceptual, strategic, and statistical considerations. J. Personal. Soc. Psychol. 1986, 51, 1173. [Google Scholar] [CrossRef]
  52. Sauer, P.L.; Dick, A. Using moderator variables in structural equation models. Adv. Consum. Res. 1993, 20, 637. [Google Scholar]
  53. Zaid, A.A.; Jaaron, A.A.M.; Bon, A.T. The impact of green human resource management and green supply chain management practices on sustainable performance: An empirical study. J. Clean. Prod. 2018, 204, 965–979. [Google Scholar] [CrossRef]
  54. Al-Hawari, M.A.; Quratulain, S.; Melhem, S.B. How and when frontline employees’ environmental values influence their green creativity? Examining the role of perceived work meaningfulness and green HRM practices. J. Clean. Prod. 2021, 310, 127598. [Google Scholar] [CrossRef]
  55. Harris, L.C.; Crane, A. The greening of organizational culture: Management views on the depth, degree and diffusion of change. J. Organ. Chang. Manag. 2002, 15, 214–234. [Google Scholar] [CrossRef]
Figure 1. Conceptual model. Source: authors’ creation.
Figure 1. Conceptual model. Source: authors’ creation.
Sustainability 16 08751 g001
Figure 2. Measurement model.
Figure 2. Measurement model.
Sustainability 16 08751 g002
Figure 3. Structural equation model.
Figure 3. Structural equation model.
Sustainability 16 08751 g003
Figure 4. Mediation model.
Figure 4. Mediation model.
Sustainability 16 08751 g004
Figure 5. Moderation analysis outcomes.
Figure 5. Moderation analysis outcomes.
Sustainability 16 08751 g005
Table 1. Literature chart.
Table 1. Literature chart.
Authors/YearsPurpose/ObjectivesCountry and ContextTheoretical FrameworksKey Findings
[38]To assess how green HRM improves workers’ environmental performance.IndiaHRM theoryFirms’ GHRM initiatives encourage employees to innovate green goods and green operating procedures to enhance ENVP.
[1]To obtain information from workers to figure out how well green cloth production companies take care of the environment.PakistanTransformational
Leadership Theory
CSR perceptions influence environmentally conscious actions via corporate identity in both direct and indirect ways.
[4]To detemrine the function of green innovation and green transformational leadership as mediators between green transformational leadership and environmental performance.PakistanAMO theory and RBV theoryGreen transformational leadership improves environmental performance statistically.
[41]To determine how HRM provides evidence in favor of the concept that CSR should strategically employ GHRM to boost organizations’ performance outcomes.SpainThe stakeholder theoryHotel company executives’ understanding of how CSR may boost performance in two ways: through better GHRM and environmental results, and through direct and indirect means.
[42]To determine how, with the use of these methods, we can create green intellectual capital more effectively.MalaysiaSocial cognitive theoryGreen intellectual capital encourages employees to believe they can do their part in reducing environmental impact by drawing on their existing body of knowledge, experience, and expertise.
[43]To determine the role of green workplace attitudes as mediators between GHRM and eco-friendly actions.BangladeshThe theory of planned behaviorLegislators should take into account the environmentally conscious actions of garment supervisors and the factors that motivate them to do so.
[6]To analyze how GHRM practices impact a company’s environmental responsibility and performance.UKHRM theoryGreen HRM methods, such as recruiting, training, and evaluation, along with fostering the growth of green organizational culture enablers, should be implemented.
Table 2. Respondents’ profile.
Table 2. Respondents’ profile.
Demographics (Total = 445)Frequency%
GenderMale29766.7
Female14833.3
YearUnder 206815.3
20–3037484.0
Above 3030.70
Work experience (year)0–325256.6
3–59822.0
5–104810.8
10–15245.4
Above 15235.2
DepartmentHR9621.6
Sales5612.6
Marketing4710.6
Customer service8018.0
Others16637.3
PositionOperational-level employees23653.0
Basic-level manager5412.1
Middle-level manager398.8
Senior-level manager7717.3
CEO398.8
EducationUndergraduate13730.8
Graduate12828.8
Postgraduate11926.7
Others6013.5
Source: authors’ calculation.
Table 3. Inter-item correlation matrix.
Table 3. Inter-item correlation matrix.
GHRMGOCOAGHRPEPSP
GHRM1.0000.2820.2470.2090.178−0.003
GOC0.2821.0000.2520.2340.2180.031
OA0.2470.2521.0000.2850.241−0.040
GHRP0.2090.2340.2851.0000.209−0.034
EP0.1780.2180.2410.2091.000−0.063
SP−0.0030.031−0.040−0.034−0.0631.000
Source: authors’ calculation.
Table 4. Pattern matrix.
Table 4. Pattern matrix.
Component
123456
GHRM40.965
GHRM30.955
GHRM20.941
GHRM50.931
GHRM10.930
EP3 0.949
EP1 0.946
EP2 0.945
EP5 0.934
EP4 0.920
OA3 0.945
OA4 0.943
OA5 0.942
OA1 0.936
OA2 0.898
GOC3 0.952
GOC4 0.948
GOC2 0.947
GOC1 0.907
GOC5 0.886
GHRP4 0.955
GHRP3 0.937
GHRP5 0.933
GHRP1 0.873
GHRP2 0.840
SP1 0.818
SP4 0.795
SP3 0.794
SP2 0.792
SP5 0.751
Source: authors’ calculation.
Table 5. Overall confirmatory factor analysis (CFA) results.
Table 5. Overall confirmatory factor analysis (CFA) results.
ItemMeanStandard
Deviation
SkewKurtosisα
GHRM 15.431.641−1.5281.5230.969
GHRM 25.271.813−1.1460.248
GHRM 35.331.771−1.3160.638
GHRM 45.531.906−1.4670.907
GHRM 55.461.721−1.5611.518
GOC 15.481.491−1.6832.4720.960
GOC 25.491.609−1.6271.848
GOC 35.401.586−1.6792.022
GOC 45.431.617−1.6982.057
GOC 55.281.588−1.3861.338
OA 15.451.489−1.6812.1530.964
OA 25.441.439−1.3721.510
OA 35.421.557−1.4691.413
OA 45.631.577−1.6291.941
OA 55.551.558−1.5971.977
GHRP 15.241.510−1.3371.4220.948
GHRP 25.081.458−1.0210.533
GHRP 35.431.639−1.2870.856
GHRP 45.361.702−1.2430.666
GHRP 55.451.639−1.4121.258
EP 15.591.562−1.8372.7180.968
EP 25.431.586−1.6111.725
EP 35.451.597−1.5611.659
EP 45.391.565−1.4411.559
EP 55.521.527−1.7022.401
SP 16.410.920−2.92312.6050.850
SP 26.280.914−2.69011.576
SP 36.310.919−2.73311.651
SP 46.270.931−2.82312.484
SP 56.380.891−2.98413.889
Source: authors’ calculation.
Table 6. Measurement model evaluations.
Table 6. Measurement model evaluations.
VariableItemsLoadingS.E.t-Value
Green Human Resource ManagementGHRM 10.965
GHRM 20.9550.03135.947
GHRM 30.9410.03037.793
GHRM 40.9310.03335.536
GHRM 50.9300.03133.769
Green Organizational CultureGOC 10.952
GOC 20.9480.03632.138
GOC 30.9470.03631.138
GOC 40.9070.03632.054
GOC 50.8860.04025.597
Organizational AgilityOA 50.898
OA 10.9450.02834.627
OA 20.9430.02833.849
OA 30.9420.02932.609
OA 40.9360.02933.726
Environmental PerformanceEP 10.949
EP 20.9460.02835.970
EP 30.9450.02837.316
EP 40.9340.02933.757
EP 50.9200.02736.167
Social PerformanceSP 10.818
SP 20.7950.06614.647
SP 30.7940.06714.425
SP 40.7920.06814.556
SP 50.7510.06513.581
Source: authors’ calculation.
Table 7. Master validity measures.
Table 7. Master validity measures.
CRAVEMSVMaxR(H)EPSPGOCOAGHRPGHRM
EP0.9700.8660.0850.9710.931
SP0.9680.8580.0620.9680.184 ***0.926
GOC0.9640.8420.0830.9640.256 ***0.249 ***0.918
OA0.9600.8280.0850.9650.291 ***0.219 ***0.257 ***0.910
GHRP0.9470.7820.0830.9630.208 ***0.206 ***0.287 ***0.227 ***0.884
GHRM0.8500.5320.0040.851−0.006−0.064−0.0450.031−0.0410.729
Note: *** p < 0.001.
Table 8. Model fit indices.
Table 8. Model fit indices.
Model Fit IndicesMeasurement ModelCut-Off Criteria
χ2/df (chi-square/degrees of freedom)1.854<3.000
CFI (comparative fit index)0.981>0.900
NFI (normed fit index)0.960>0.900
TLI (Tucker–Lewis’s index)0.979>0.900
RMSEA (root mean square error of approximation)0.044<0.080
Source: authors’ calculation.
Table 9. Summary of results.
Table 9. Summary of results.
HypothesisHypothesized RelationshipEstimates
(β)
R2S.E.t-Valuep-ValueDecision
H1GHRM → EP0.0790.100.0421.8880.059Reject
H2GHRM → SP−0.0030.000.021−0.1360.892Reject
H3GHRM → GOC0.2410.080.0396.199***Accept
H4GOC → EP0.1460.100.0512.8580.004Accept
H5GOC → OA0.1940.100.0484.045***Accept
H6GHRM → OA0.1590.100.0404.015***Accept
H7OA → EP0.1970.100.0523.773***Accept
X2/df = 1.854, AGFI = 0.912, GFI = 0.981, CFI = 0.981, TLI = 0.979, NFI = 0.955, RMSEA = 0.044, Pclose = 0.000.
Note: *** p < 0.001.
Table 10. Mediation analysis.
Table 10. Mediation analysis.
VariablesEstimateBootstrappingResult
Bias-Corrected
CI
Indirect EffectLowerUpperp-Value
GHRM → GOC → EP0.0340.0110.0700.001Accept
GHRM → GOC → OA → EP0.0210.0060.0470.009Accept
GHRM → OA → EP0.0050.0010.0150.010Accept
Note: CI = confidence interval; the process was repeated 5000 times.
Table 11. Moderation analysis outcomes.
Table 11. Moderation analysis outcomes.
EstimateS.E.C.R.pLabel
GOCGHRM_int_Green HR practise3880.04380.977***
GOCGreen HR practise0.1660.04330.857***
GOCGHRM0.1090.04320.5370.011
OAGHRM_int_Green HR practise0.4120.04390.690***
OAGreen HR practise0.1650.04230.917***
OAGHRM0.1130.04220.6820.007
Note: *** p < 0.001.
Disclaimer/Publisher’s Note: The statements, opinions and data contained in all publications are solely those of the individual author(s) and contributor(s) and not of MDPI and/or the editor(s). MDPI and/or the editor(s) disclaim responsibility for any injury to people or property resulting from any ideas, methods, instructions or products referred to in the content.

Share and Cite

MDPI and ACS Style

Gazi, M.A.I.; Dhali, S.; Masud, A.A.; Ahmed, A.; Amin, M.B.; Chaity, N.S.; Senathirajah, A.R.b.S.; Abdullah, M. Leveraging Green HRM to Foster Organizational Agility and Green Culture: Pathways to Enhanced Sustainable Social and Environmental Performance. Sustainability 2024, 16, 8751. https://doi.org/10.3390/su16208751

AMA Style

Gazi MAI, Dhali S, Masud AA, Ahmed A, Amin MB, Chaity NS, Senathirajah ARbS, Abdullah M. Leveraging Green HRM to Foster Organizational Agility and Green Culture: Pathways to Enhanced Sustainable Social and Environmental Performance. Sustainability. 2024; 16(20):8751. https://doi.org/10.3390/su16208751

Chicago/Turabian Style

Gazi, Md. Abu Issa, Sabuj Dhali, Abdullah Al Masud, Alsadig Ahmed, Mohammad Bin Amin, Naznin Sultana Chaity, Abdul Rahman bin S Senathirajah, and Masuk Abdullah. 2024. "Leveraging Green HRM to Foster Organizational Agility and Green Culture: Pathways to Enhanced Sustainable Social and Environmental Performance" Sustainability 16, no. 20: 8751. https://doi.org/10.3390/su16208751

APA Style

Gazi, M. A. I., Dhali, S., Masud, A. A., Ahmed, A., Amin, M. B., Chaity, N. S., Senathirajah, A. R. b. S., & Abdullah, M. (2024). Leveraging Green HRM to Foster Organizational Agility and Green Culture: Pathways to Enhanced Sustainable Social and Environmental Performance. Sustainability, 16(20), 8751. https://doi.org/10.3390/su16208751

Note that from the first issue of 2016, this journal uses article numbers instead of page numbers. See further details here.

Article Metrics

Back to TopTop