Research on Land Use Versatility Evaluation, Spatiotemporal Coupling, and Influencing Factors Based on Multimethod Integration
Abstract
1. Introduction
2. Materials and Methods
2.1. Literature Review
2.2. Overview of the Research Area
2.3. Data Sources
2.4. Research Methodology
2.4.1. Construction of the Index System
2.4.2. Evaluation Method for Land Use Multifunctionality
Determination of Indicator Weights
- (1)
- Data standardization processing and coordinate translation, where B represents the translation distance, which was 0.01 in this study.
- (2)
- Calculate the proportion of the value of indicator j in city i, as follows:
- (3)
- Calculation of indicator information entropy and its diversity coefficient:
- (4)
- Calculation of indicator weights:
Measurement of Land Use Multifunctionality Level
- (1)
- Constructing the decision matrix:
- (2)
- Determining the positive and negative ideal solutions:
- (3)
- Calculating the Euclidean distance: this refers to the distance of the ith (i = 1, 2, 3, …, n) evaluation object from the best and worst solutions:
- (4)
- Calculating the relative closeness of each evaluation object to the optimal and suboptimal solutions:
2.4.3. Analysis of Land Use Multifunctionality Coupling Coordination
2.4.4. Geographical Detector
2.4.5. Construction of Impact Factor Indices
3. Result Analysis
3.1. Evaluation of Land Use Multifunctionality
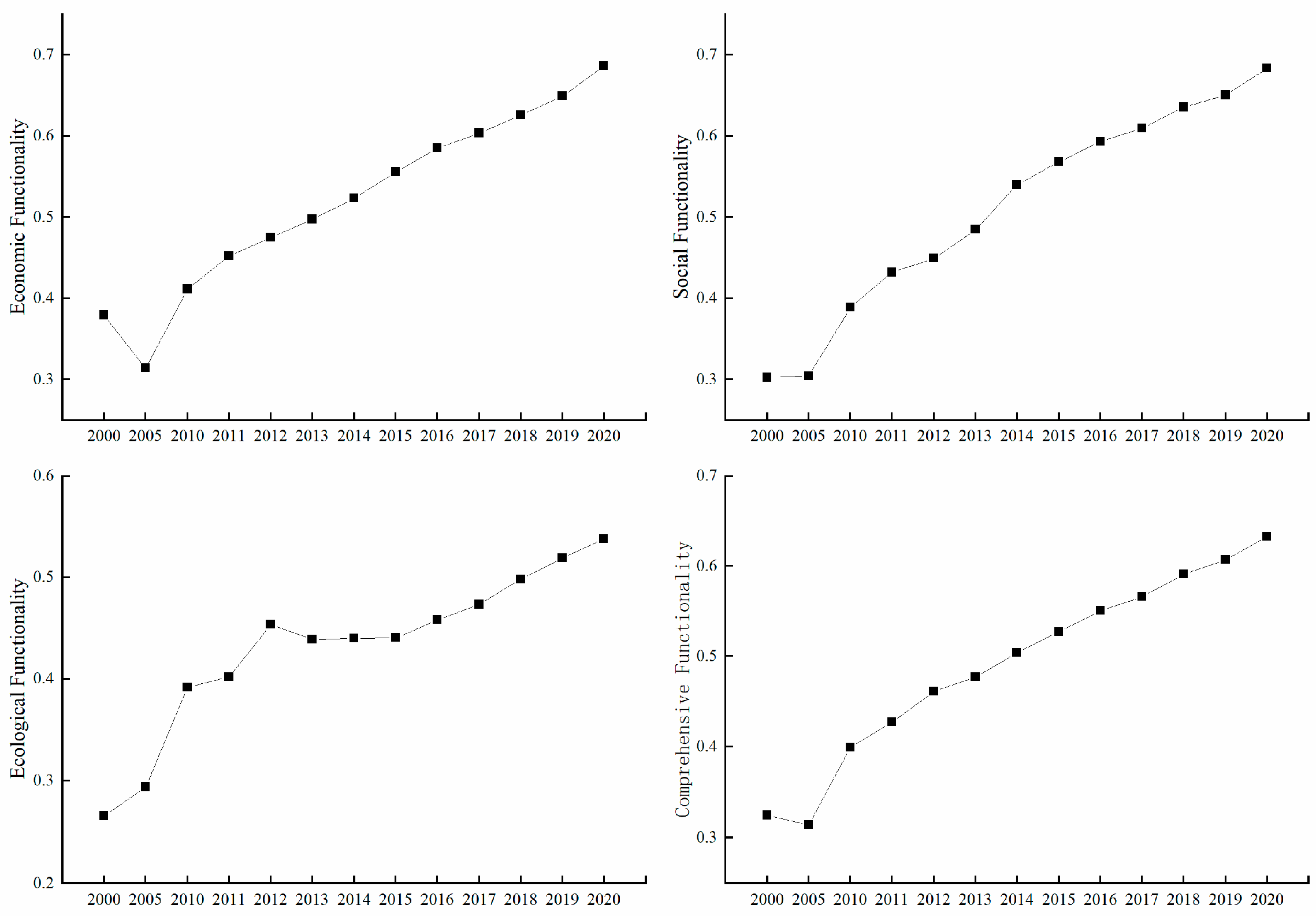
3.1.1. Evaluation of the Land Use Multifunctionality in Sichuan Province
3.1.2. Evaluation of the Land Use Multifunctionality in the Various Cities (Prefectures)
3.2. Analysis of the Spatiotemporal Characteristics of the Coupling Coordination of the Land Use Multifunctionality
3.2.1. Temporal Evolution Analysis of the Coupling Coordination Degree of the Land Use Multifunctionality
3.2.2. Spatial Evolution Analysis of the Land Use Multifunctionality Coupling Coordination Degree
3.2.3. Spatial Pattern of the Land Use Multifunctionality Coupling Coordination Degree
3.3. Detection of the Influencing Factors of Coupling Coordination of the Land Use Multifunctionality
3.3.1. Analysis of Single-Factor Detection Results
3.3.2. Analysis of Factor Interaction Detection Results
4. Discussion
4.1. The Interpretation of the Findings
4.2. Policy Recommendations
4.3. Future Directions for Research
5. Conclusions
- (1)
- The comprehensive functionality of the land use in Sichuan Province continues to improve, with significant progress in the economic, social, and ecological functionalities. Overall, the functionalities can be ranked as follows: economic > social > ecological. Among the various cities (prefectures), the level of each functionality varies, with clear differences in the extent of improvement. The absolute differences in the comprehensive land use functionality across cities (prefectures) are decreasing, with the range declining from 0.2707 in 2000 to 0.1887 in 2020.
- (2)
- The coupling coordination degree of the land use multifunctionality in Sichuan Province is continuously improving, with the coordination coefficient increasing from 0.4415 in 2000 to 0.7416 in 2020. There is clear spatial differentiation in the coupling coordination degree of the land use multifunctionality among cities (prefectures). In 2000, a spatial pattern comprising one core, two zones, and multiple points was evident, while in 2020, all cities (prefectures) entered a state of coordination, forming a center–periphery distribution pattern.
- (3)
- The main single factors influencing the existing spatial differentiation in the coupling coordination of land use multifunctionality are the average slope and the employed population density, with the explanatory power of both factors exceeding 0.9. The interaction between any two influencing factors exerts a greater impact on land use multifunctionality coupling coordination than a single factor, indicating that the spatial differentiation in the coupling coordination development of the land use multifunctionality in Sichuan Province is influenced by multiple factors.
Author Contributions
Funding
Institutional Review Board Statement
Informed Consent Statement
Data Availability Statement
Conflicts of Interest
References
- Wang, M.; Yu, B.; He, Y.; Zhuo, R.; Hu, S. Research on the Suitability of Land Use Multifunctionality in the Erhai Basin from the Perspective of Spatial Planning. J. Chin. Agric. Resour. Reg. Plan. 2020, 41, 220–229. [Google Scholar]
- Liu, C.; Xu, Y.; Lu, X. Evolution and Optimization Zoning of Land Use Multifunctionality Trade-offs/Synergies in Ecologically Fragile and Impoverished Areas: A Case Study of Zhangjiakou City. Econ. Geogr. 2021, 41, 181–190. [Google Scholar]
- Liu, Y.; Liao, H.; Li, J.; Cai, J.; Li, T.; Wang, Q. Analysis of Spatial Pattern Characteristics and Influencing Factors of Land Use Multi-functionality in Ecologically Fragile Areas. China Land Sci. 2020, 34, 75–83. [Google Scholar]
- Sun, P.; Xu, Y.; Liu, Q.; Liu, C. Dynamic Changes and Influencing Factors of Land Use Multifunctionality in Zhangjiakou City. J. Chin. Agric. Resour. Reg. Plan. 2018, 39, 65–74. [Google Scholar]
- Liu, Y.; Liao, H.; Cai, J.; Li, J.; Li, T.; Zhu, L.; He, T. Spatiotemporal Coupling Relationship between Land Use Multifunctionality and Multidimensional Poverty in Southwest Mountainous Areas. China Popul. Resour. Environ. 2020, 30, 154–164. [Google Scholar]
- Peng, H.; Zhou, G.; Cui, S.; Shang, P. Evaluation of Land Use Multifunctionality and Identification of Obstacle Factors in the Xiangjiang River Basin. Res. Soil Water Conserv. 2022, 29, 308–315. [Google Scholar]
- Meng, J.; Wang, Q.; Li, F.; Guo, L. Research on Multifunctional Land Use in the Middle Reaches of the Heihe River Based on Spatial Differentiation. Geogr. Res. 2019, 38, 369–382. [Google Scholar]
- Gu, X.; Xu, D.; Xu, M.; Zhang, Z. Measuring residents’ perceptions of multifunctional land use in peri-urban areas of three Chinese megacities: Suggestions for governance from a demand perspective. Cities 2022, 126, 103703. [Google Scholar]
- Zhen, L.; Cao, S.; Wei, Y.; Xie, G.; Li, F.; Yang, L. Multifunctional Land Use in Spatial Dimension: Theoretical Framework and Empirical Study. Resour. Sci. 2009, 31, 544–551. [Google Scholar]
- Long, H.; Tu, S. Land Use Transition and Rural Revitalization. China Land Sci. 2018, 32, 1–6. [Google Scholar]
- Wang, J.; Chen, H.; Shi, Q.; Liu, D.; Liang, X. Study on the Spatiotemporal Differentiation and Influencing Factors of Land Use Multifunctionality at the County Level in Shaanxi Province. J. Chin. Agric. Resour. Reg. Plan. 2019, 40, 101–108. [Google Scholar]
- Lv, S.; Li, L. Progress in the Study of Land Use Function Evolution in China. J. Chin. Agric. Resour. Reg. Plan. 2022, 43, 135–140. [Google Scholar]
- SchoBer, B.; Helming, K.; Wiggering, H. Assessing land use change impacts: A comparison of the SENSOR land use function approach with other frameworks. J. Land Use Sci. 2010, 5, 159–178. [Google Scholar]
- Costa, D.; Rodrigo, I.; Pintocorreia, T. Are Land Managers on the way to Multifunctionality? Application to a case study. In Proceedings of the ICAAM International Conference 2013: Acknowledging the MONTADOS and DEHESAS as High Nature Value Farming Systems, Évora, Portugal, 6–8 February 2013. [Google Scholar]
- Maria, L.P.; Cesare, P.M.; Laurence, M.; Jones, M. An aggregation framework to link indicators associated with multifunctional land use to the stakeholder evaluation of policy options. Ecol. Indic. 2011, 11, 71–80. [Google Scholar]
- Lvarez, F.; Gillian, G.; Nieves, L.; Holgado, P.; Barajas, J. Hedgerows and Enclosures in Rural Areas: Traditional vs. Modern Land Use in Mediterranean Mountain. Land 2021, 10, 57. [Google Scholar] [CrossRef]
- Abouaiana, A.; Battisti, A. Multifunction Land Use to Promote Energy Communities in Mediterranean Region: Cases of Egypt and Italy. Land 2022, 11, 673. [Google Scholar] [CrossRef]
- Tomáš, L.; Michal, W.; Igor, G.; Veronika, P. Distribution of Wood Pastures in Slovakia—Constraints and Potentials for Restoration of Multifunctional Traditional Land Use Form. Forests 2023, 14, 68. [Google Scholar] [CrossRef]
- Peña, L.; Onaindia, M.; Beatriz, F.; Ametzaga-Arregi, I.; Casado-Arzuaga, I. Analysing the Synergies and Trade-Offs between Ecosystem Services to Reorient Land Use Planning in Metropolitan Bilbao (Northern Spain). Sustainability 2018, 10, 4376. [Google Scholar] [CrossRef]
- Lovell, S.T. Multifunctional Urban Agriculture for Sustainable Land Use Planning in the United States. Sustainability 2010, 2, 2499–2522. [Google Scholar] [CrossRef]
- Mukul, S.A.; Saha, N. Conservation Benefits of Tropical Multifunctional Land-Uses in and Around a Forest Protected Area of Bangladesh. Land 2017, 6, 2. [Google Scholar] [CrossRef]
- Solbär, L.; Marcianó, P.; Pettersson, M. Land-use planning and designated national interests in Sweden: Arctic perspectives on landscape multifunctionality. J. Environ. Plan. Manag. 2019, 62, 2145–2165. [Google Scholar] [CrossRef]
- Zhang, Z.; Lao, Y.; He, C.; Wei, J.; Hu, B. Mechanisms of Land Use Multifunctionality and its Coupling Coordination Spatiotem-poral Differentiation: A Case Study of Guangxi. J. Agric. Resour. Environ. 2021, 38, 317–331. [Google Scholar]
- Zhang, X.; Zhu, D.; Xu, Z. Evaluation of Land Use Multifunctionality in Tibet. J. Agric. Eng. 2014, 30, 185–194. [Google Scholar]
- Lin, S.; Lu, R.; Liu, S.; Ye, Z.; Wei, Q.; Luo, J. Land Use Patterns and Multifunctionality Evolution in Guangxi’s Border Areas Based on ‘Production-Living-Ecological’ Spaces. J. Agric. Eng. 2021, 37, 265–274. [Google Scholar]
- Zhang, Y.; Liu, X.; Fan, Y.; Liu, Y. Analysis of Spatial Differences and Influencing Factors of Land Use Multifunctionality in Gansu Province. J. Yunnan Agric. Univ. (Nat. Sci.) 2019, 34, 544–552. [Google Scholar]
- Zhang, L.; Zheng, X.; Cai, Y.; Lu, Y. Evaluation of Land Multifunctionality in Hunan Province Based on the Full Permutation Polygon Indicator Method. Res. Soil Water Conserv. 2016, 23, 298–303. [Google Scholar]
- Wiggering, H.; Dalchow, C.; Glemnitz, M.; Helming, K.; Müller, K.; Schult, A.; Stachow, U.; Zander, P. Indicators for multifunctional land use-Linking socio-economic requirements with landscape potentials. Ecol. Indic. 2006, 6, 238–249. [Google Scholar]
- Qin, M.; Kang, Q.; Guo, Q.; Ding, Y.; Wu, X. Study on the Level of Multifunctional Land Use and its Changes in Shanxi Province-Based on Comprehensive Analysis Method. Reg. Res. Dev. 2023, 42, 143. [Google Scholar]
- Liu, C.; Xu, Y.; Lu, X.; Han, J.; Han, J. Trade-offs and driving forces of land use functions in ecologically fragile areas of northern Hebei Province: Spatiotemporal analysis. Land Use Policy 2021, 104, 105387. [Google Scholar] [CrossRef]
- Verburg, P.H.; Steeg, J.V.D.; Veldkamp, A.; Willemen, L. From land cover change to land function dynamics: A major challenge to improve land characterization. J. Environ. Manag. 2009, 90, 1327–1335. [Google Scholar] [CrossRef]
- Chen, Y.; Min, J.; Kong, X.; Hou, L.; Feng, X. Analysis of Spatial Differences in Land Use Multifunctionality in Chongqing City. Resour. Dev. Mark. 2017, 33, 1461–1467. [Google Scholar]
- Sun, J.; Zhang, Q.; Wang, S. Spatiotemporal Evolution and Influencing Factors of Land Use Multifunctionality at the County Level in Shandong Province. Resour. Dev. Mark. 2021, 37, 1309–1315. [Google Scholar]
- Ren, H.; Cui, J. Construction and Empirical Analysis of an Evaluation Index System for High-Quality Economic Development. Stat. Decis. 2022, 38, 31–34. [Google Scholar]
- Sun, Z.; Zhao, B.; Qin, A.; Zhu, K. Measurement and Analysis of the Influencing Factors of Sustainable Development of Rural Tour-ism in Ecologically Fragile Areas: A Case Study of Dongchuan District, Kunming City. Ecol. Econ. 2022, 38, 157–163. [Google Scholar]
- Li, G.; Li, S.; Ping, J. Evaluation and Analysis of Obstacle Factors for Rural Revitalization in Qinghai Province Based on an Im-proved Entropy-TOPSIS-Grey Correlation Degree Model. J. Chin. Agric. Resour. Reg. Plan. 2021, 42, 115–123. [Google Scholar]
- Wang, H.; Zheng, H.; Liu, Y. Health Diagnosis of Cultivated Land Resource Utilization System in Anhui Province Based on the DPSIR-TOPSIS Model. Bull. Soil Water Conserv. 2019, 39, 147–153. [Google Scholar]
- Niu, W.; Shen, S.; Zhang, B. Spatial Pattern and Influencing Factors of the Coupling Coordination of Five Dimensions of Rural Revitalization in China. J. Chin. Agric. Resour. Reg. Plan. 2021, 42, 218–231. [Google Scholar]
- Wang, J.; Xu, C. Geographical Detector: Principles and Prospects. Acta Geogr. Sin. 2017, 72, 116–134. [Google Scholar]
- Paracchini, M.L.; Petersen, J.E.; Hoogeveen, Y. Cultural ecosystem services provided by landscapes: Assessment of heritage areas in Europe. Landsc. Urban Plan. 2014, 133, 145–152. [Google Scholar]
- Wu, J. Landscape sustainability science: Ecosystem services and human well-being in changing landscapes. Landsc. Ecol. 2013, 28, 999–1023. [Google Scholar] [CrossRef]
- Palomo, I.; Martín-López, B.; García-Llorente, M. The role of cultural ecosystem services in landscape management and planning. Curr. Opin. Environ. Sustain. 2012, 4, 565–570. [Google Scholar]
- Wang, H.; Qiao, G.; Zhang, Y. Understanding the driving factors of multifunctionality in land use: A systematic review. Land Use Policy 2020, 97, 104645. [Google Scholar]
- Gao, J.; Zhao, W.; Yu, Y. Driving factors of land use multifunctionality in China: A spatial econometric approach. Sustainability 2015, 7, 16718–16734. [Google Scholar]
- Martín-López, B.; Iniesta-Arandia, I.; García-Llorente, M.; Palomo, I.; Casado-Arzuaga, I. Socio-cultural valuation of ecosystem services: Uncovering the links between values, drivers of change, and human well-being. Ecol. Econ. 2012, 74, 159–172. [Google Scholar]
- Zhang, L.; Lei, F.; Liu, S. Research on the Differences and Influencing Factors of Land Use Functions in Sichuan Province. Econ. Geogr. 2019, 39, 90–97. [Google Scholar]
- Zhou, Y. Study on the Spatiotemporal Characteristics and Driving Forces of Land Use Multifunctionality in the Sichuan Basin. J. Sichuan Agric. Univ. 2015, 33, 132–138. [Google Scholar]
- Guo, L.; Hailu, A.; Zeng, L. Assessing the multifunctionality of land use in Chengdu. China J. Environ. Manag. 2019, 246, 62–72. [Google Scholar]
- Liu, F.; Wang, L.; Deng, X. Study on the Spatial Differentiation Simulation of Land Use Multifunctionality in Sichuan Province Based on GIS and RS. Prog. Geogr. 2017, 36, 987–997. [Google Scholar]
- Jiang, X.; Jiang, Z.; Chen, X. Study on the Spatial Differentiation of Land Use Multifunctionality in Sichuan Province. J. Sichuan Agric. Univ. 2018, 36, 312–319. [Google Scholar]
- Zheng, J.; Wang, L.; Chen, H. Study on the Multifunctionality of Land Use and Its Influencing Factors in Sichuan Province. Resour. Sci. 2019, 41, 682–690. [Google Scholar]







| Objective Layer | Criterion Layer | Indicator Layer | Explanation and Calculation Methodology for the Indicators | |
|---|---|---|---|---|
| Land Use Multifunctionality | Economic Functionality | Agricultural Production Functionality | Per capita grain possession (kg) | Total grain production per capita |
| Yield of fruit per unit area (tons/km2) | Fruit production per regional total area | |||
| Proportion of the total output value of agriculture, forestry, animal husbandry, and fishery in the gross domestic product (GDP) (%) | Total output value of agriculture, forestry, animal husbandry, and fishery/GDP | |||
| Economic Development Functionality | Economic density (Billion renminbi/km2) | GDP per regional total area | ||
| Proportion of the secondary and tertiary industries (%) | Added value of the secondary and tertiary industries/GDP | |||
| Per capita GDP (renminbi) | Sourced from the Sichuan Provincial Statistical Yearbook | |||
| Social Functionality | Spatial Carrying Capacity Functionality | Population density (ten thousand people/km2) | Total population per regional total area | |
| Social Security Capability | Number of medical beds per ten thousand people (ten thousand people/bed) | Total population per number of medical beds | ||
| Average wage of on-duty employees (renminbi) | Sourced from the Sichuan Provincial Statistical Yearbook | |||
| Urban–rural income balance index (%) | Rural per capita net income/urban residents disposable income | |||
| Employment Support Functionality | Employment population density (people/km2) | Total number of employed persons per regional total area | ||
| Transportation Assurance Functionality | Road network density (km/km2) | Road mileage per regional total area | ||
| Ecological Functionality | Ecological Maintenance Functionality | Forest coverage rate (%) | Forest land area per regional total area | |
| per capita water resources (m3) | water resources per total regional population | |||
| Environmental Purification Functionality | Wastewater treatment rate (%) | Sourced from the Sichuan Provincial Statistical Yearbook | ||
| Fertilizer application per unit area (ten thousand tons/thousand hectares) | Total agricultural fertilizer usage per total cultivated land area | |||
| Resource Provision Functionality | Land reclamation rate (%) | Total cultivated land area per regional total area | ||
| Per capita pork, beef, and mutton production (ten thousand tons/km2) | Pork, beef, and mutton production per regional total area | |||
| Type | Types of Coupling Coordination | Coordination Hierarchy |
|---|---|---|
| Nonideal Type | Severe Discrepancy | (0–0.1] |
| Profound Disruption | (0.1–0.2] | |
| Moderate Disruption | (0.2–0.3] | |
| Severe Discrepancy | (0.3–0.4] | |
| On the Verge of Disruption | (0.4–0.5] | |
| Transitional | Marginally Coordinated | (0.5–0.6] |
| Primary Coordination | (0.6–0.7] | |
| Ideal Type | Intermediate Coordination | (0.7–0.8] |
| Advanced Coordination | (0.8–0.9] | |
| High-Quality Coordination | (0.9–1] |
| Influencing Factors | Detection Factor | Unit | Explanation and Source of Indicators |
|---|---|---|---|
| Natural Factors | Mean Elevation X1 | m | Via the use of ArcGIS raster calculation statistics, the average elevation of each city (state) is obtained |
| Mean Slope X2 | ° | ArcGIS raster calculation statistics are applied to obtain the average slope of each city (state) | |
| Effective Irrigated Area X3 | hm2 | Sourced from the Sichuan Provincial Statistical Yearbook | |
| Social Factors | Average On-Duty Employee Salary X4 | Renminbi (RMB) | Sourced from the Sichuan Provincial Statistical Yearbook |
| Employed Population Density X5 | 10,000 people/km2 | Total workforce/total area | |
| Road Network Density X6 | km/km2 | Road length/total area | |
| Medical Bed Density per Ten Thousand People X7 | per 10,000 people per unit | Total population/medical bed capacity | |
| Economic Factors | Fixed Asset Investment per Unit Area X8 | billion Renminbi/km2 | Total fixed-asset investment/Total area |
| Per Capita GDP X9 | Renminbi | Sourced from the Sichuan Provincial Statistical Yearbook | |
| Per Capita Local Fiscal Revenue X10 | Renminbi | Local fiscal revenue/total population | |
| Economic Agglomeration Degree X11 | Billion Renminbi/km2 | Gross domestic product/total area |
| City (Prefectures) | 2000 | 2005 | 2010 | 2012 | 2014 | 2016 | 2018 | 2019 | 2020 |
|---|---|---|---|---|---|---|---|---|---|
| Chengdu | 0.6314 | 0.6250 | 0.6651 | 0.6824 | 0.6964 | 0.7113 | 0.7323 | 0.7410 | 0.7382 |
| Zigong | 0.6070 | 0.6059 | 0.6556 | 0.6715 | 0.6826 | 0.6961 | 0.7033 | 0.7049 | 0.7267 |
| Panzhihua | 0.4442 | 0.4072 | 0.5228 | 0.5544 | 0.5883 | 0.6052 | 0.6298 | 0.6393 | 0.6540 |
| Luzhou | 0.6087 | 0.5882 | 0.6092 | 0.6155 | 0.6428 | 0.6546 | 0.6686 | 0.6744 | 0.6881 |
| Deyang | 0.6368 | 0.6269 | 0.6637 | 0.6753 | 0.6922 | 0.6984 | 0.7065 | 0.7138 | 0.7198 |
| Mianyang | 0.4998 | 0.5001 | 0.5688 | 0.5929 | 0.6273 | 0.6472 | 0.6615 | 0.6653 | 0.6768 |
| Guangyuan | 0.5069 | 0.4474 | 0.5394 | 0.5676 | 0.6045 | 0.6255 | 0.6367 | 0.6462 | 0.6584 |
| Suining | 0.6273 | 0.6024 | 0.6262 | 0.6403 | 0.6512 | 0.6566 | 0.6710 | 0.6811 | 0.6944 |
| Neijiang | 0.5928 | 0.5749 | 0.6465 | 0.6586 | 0.6736 | 0.6911 | 0.7041 | 0.7127 | 0.7210 |
| Leshan | 0.5653 | 0.5153 | 0.5684 | 0.5784 | 0.6121 | 0.6266 | 0.6412 | 0.6484 | 0.6631 |
| Nanchong | 0.5908 | 0.5991 | 0.6338 | 0.6453 | 0.6589 | 0.6728 | 0.6831 | 0.6894 | 0.7035 |
| Meishan | 0.6351 | 0.6216 | 0.6502 | 0.6590 | 0.6784 | 0.6903 | 0.7022 | 0.7095 | 0.7160 |
| Yibin | 0.5889 | 0.5775 | 0.6050 | 0.6338 | 0.6332 | 0.6724 | 0.6894 | 0.6961 | 0.7079 |
| Guang’an | 0.6327 | 0.6058 | 0.6355 | 0.6494 | 0.6554 | 0.6730 | 0.6789 | 0.6870 | 0.6902 |
| Dazhou | 0.6180 | 0.5903 | 0.6215 | 0.6293 | 0.6396 | 0.6483 | 0.6690 | 0.6746 | 0.6876 |
| Ya’an | 0.5205 | 0.4150 | 0.4628 | 0.4894 | 0.5135 | 0.5428 | 0.5517 | 0.5731 | 0.5908 |
| Bazhong | 0.6233 | 0.5895 | 0.5699 | 0.5905 | 0.6206 | 0.6346 | 0.6431 | 0.6497 | 0.6743 |
| Ziyang | 0.6581 | 0.6317 | 0.6491 | 0.6700 | 0.6888 | 0.7165 | 0.7219 | 0.7291 | 0.7298 |
| Ngawa Tibetan and Qiang Autonomous Prefecture | 0.3548 | 0.2980 | 0.4274 | 0.4694 | 0.5379 | 0.5665 | 0.5794 | 0.5872 | 0.5937 |
| Garzê Tibetan Autonomous Prefecture | 0.2441 | 0.2920 | 0.4224 | 0.4393 | 0.4909 | 0.5414 | 0.5639 | 0.5680 | 0.5710 |
| Liangshan Yi Autonomous Prefecture | 0.4633 | 0.4899 | 0.5197 | 0.5431 | 0.5804 | 0.6083 | 0.6191 | 0.6308 | 0.6438 |
| Detection Factor | X1 | X2 | X3 | X4 | X5 | X6 | X7 | X8 | X9 | X10 | X11 |
|---|---|---|---|---|---|---|---|---|---|---|---|
| q statistic | 0.7854 | 0.9513 | 0.8154 | 0.5608 | 0.9423 | 0.8232 | 0.5665 | 0.8643 | 0.6335 | 0.8231 | 0.8884 |
| p value | 0.000 | 0.000 | 0.000 | 0.005 | 0.002 | 0.001 | 0.002 | 0.001 | 0.000 | 0.000 | 0.000 |
Disclaimer/Publisher’s Note: The statements, opinions and data contained in all publications are solely those of the individual author(s) and contributor(s) and not of MDPI and/or the editor(s). MDPI and/or the editor(s) disclaim responsibility for any injury to people or property resulting from any ideas, methods, instructions or products referred to in the content. |
© 2024 by the authors. Licensee MDPI, Basel, Switzerland. This article is an open access article distributed under the terms and conditions of the Creative Commons Attribution (CC BY) license (https://creativecommons.org/licenses/by/4.0/).
Share and Cite
Zhang, N.; Jiang, G.; Xia, X.; Ge, Y. Research on Land Use Versatility Evaluation, Spatiotemporal Coupling, and Influencing Factors Based on Multimethod Integration. Sustainability 2024, 16, 843. https://doi.org/10.3390/su16020843
Zhang N, Jiang G, Xia X, Ge Y. Research on Land Use Versatility Evaluation, Spatiotemporal Coupling, and Influencing Factors Based on Multimethod Integration. Sustainability. 2024; 16(2):843. https://doi.org/10.3390/su16020843
Chicago/Turabian StyleZhang, Nana, Gang Jiang, Xingsheng Xia, and Yuejing Ge. 2024. "Research on Land Use Versatility Evaluation, Spatiotemporal Coupling, and Influencing Factors Based on Multimethod Integration" Sustainability 16, no. 2: 843. https://doi.org/10.3390/su16020843
APA StyleZhang, N., Jiang, G., Xia, X., & Ge, Y. (2024). Research on Land Use Versatility Evaluation, Spatiotemporal Coupling, and Influencing Factors Based on Multimethod Integration. Sustainability, 16(2), 843. https://doi.org/10.3390/su16020843

