Multi-Scale Analysis of Spatial and Temporal Evolution of Ecosystem Health in the Harbin–Changchun Urban Agglomeration, China
Abstract
1. Introduction
2. Materials and Methods
2.1. Study Area
2.2. Data Sources
2.3. Ecosystem Health Assessment System Construction
2.3.1. Indicators for Ecosystem Health Assessment
- 1.
- Ecosystem vigor. Ecosystem vigor refers to the overall health and vitality of an ecosystem, which is determined by factors such as its metabolism, capacity for net primary production and richness of biological resources [30,31]. For the purpose of assessing ecosystem vigor, this study specifically chose NPP and biological abundance as two essential evaluation variables. NPP data provide information on the quantity of organic matter produced by biological populations, biomes and ecosystems over a specific period and area. On the other hand, the bioconcentration indicator reflects the level of biodiversity and resource abundance within the ecosystem. The determination of the biological abundance indicator was based on the guidelines outlined in the “Technical Specification for Evaluation of Ecological Environment Condition (Trial) HJ/T192-2006” [32].where represents the normalized index of biological abundance and represents the maximum value of the biological abundance index before normalization treatment.
- 2.
- Ecosystem organization. Ecosystem organization pertains to the stability, complexity and structure of ecosystems [33,34,35]. It is mostly analyzed statistically using Landscape Pattern Index (LPI) indicators, which assess landscape heterogeneity and connectedness [17,36]. The representation of landscape heterogeneity primarily involves the use of two metrics: Area-Weighted Patch Fractal Dimension (AWMPFD) and Shannon diversity (SHDI) [37]. Landscape connectivity can be categorized into two components. The first component involves assessing the overall landscape connectivity using the selected landscape fragmentation index (PD) and landscape spreading index (CONTAGE) [38]. The second component focuses on the connectivity of important ecological patches, such as woodland and grassland, which play significant roles in carbon sequestration, air purification, soil retention, water containment and biodiversity preservation. Consequently, the assessment index incorporates the landscape fragmentation indices (PD2, PD3) and patch aggregation indices (CONHESION2, CONHESION3) of woodland and grassland as crucial components. AWMPFD is employed to assess the intricacy of landscape structure, particularly about the shape and arrangement of patches. SHDI measures the variation in the landscape and is especially responsive to the uneven distribution of different types of patches across the terrain. It highlights the significance of rare patch types in providing valuable information. PD primarily indicates the concentration of a specific area within the landscape, serving as an indicator of the landscape’s overall diversity and fragmentation, as well as the level of fragmentation within a particular patch type. CONTAG is a term that quantifies the level of resemblance between adjacent patches or habitats within a landscape. CONHESION is a metric that quantifies the level of cohesiveness or connectedness among patches within a landscape. Citing prior research findings [39,40], the weights for landscape heterogeneity, overall landscape connectedness and the connectivity of significant ecological patches were allocated as 0.35, 0.35 and 0.3, respectively. The calculation of ecological organizing force was determined using the following formula:where LH is landscape heterogeneity; LC is overall landscape connectivity; and IPC is ecologically important patch connectivity.EO = 0.35LH + 0.35LC + 0.3IPC = (0.25SHDI + 0.1 AWMPFD) + (0.25PD + 0.1CONTAGE) + (0.1PD2 + 0.1PD3 + 0.05CONHESION2 + 0.05CONHESION3)
- 3.
- Ecosystem resilience. Ecosystem resilience is the capacity of an ecosystem to withstand and maintain its structure and function in the face of external disturbances. It also includes the ability to recover to its original state after being disrupted. This study evaluated ecosystem resilience by measuring resilience and resistance [36,41,42], which are typically quantified using the resistance coefficient () and the resilience coefficient (). The resistance coefficients and resilience coefficients of various land types were assigned values based on the contribution degree of different land use types, as indicated by the associated literature [36,39] (Table 2). The exact weights in this study were chosen based on an assessment of whether the external disturbance surpassed the ecosystem’s capacity for recovery. The ecosystem resilience weights were prioritized over the resistance weights due to the significant need for production and development in the Harbin–Changchun urban agglomeration, severe industrial impacts and the intensity of human intervention [43]. The specific formula for ecosystem resilience composition is as follows [44]:where ER represents ecosystem resilience; represents the area ratio of land use type i; represents the resistance coefficient of land use type i; represents the resilience coefficient of land use type i; and n is the number of land use types.
- 4.
- Ecosystem services. Ecosystem services refer to the capacity of natural ecosystems to offer ecological services and benefits to humans, which fulfill human requirements for ecosystems [14,24]. This study selected five exemplary services, namely soil conservation functions, carbon sequestration functions, water supply functions, biodiversity functions and food supply functions. The selection was based on an analysis of the current ecological environment and the production and living patterns of the residents in the study area [22,45]. The quantification of these five services was carried out using the InVEST 3.13.0 model [46]. The precise computations are displayed in Table 3.
- 5.
- Human activities. An urban agglomeration represents the most advanced level of spatial organization in the latter phase of urban development. Its progress is closely intertwined with human production activities, leading to increasingly evident conflicts between humans and the environment [56]. Evaluating human activities is a crucial component of assessing ecological health. The utilization of the human disturbance index allows for the quantification of human activities in a given area, providing a direct measure of the extent to which human presence affects the natural environment. Moreover, changes in land use within the human disturbance index serve as a direct and effective indicator of the kind and intensity of human activities per unit area. Hence, this study investigated the precise effects of human activities on the study area, focusing on alterations in land use [57,58]. The formula is as stated:where HA is human activities; is the total area of cultivated land in the study area; is the total area of construction land in the study area; and CA is the total area of the study area.
2.3.2. Ecosystem Health Evaluation Index Weights and Evaluation System Construction
2.4. Indicators for Ecosystem Health Assessment
3. Analysis of Results
3.1. Analysis of Land Use Transfer in the Harbin–Changchun Urban Agglomeration
3.2. Assessment of Multi-Scale Ecosystem Health Indicators in the Harbin–Changchun Urban Agglomeration
3.2.1. Multi-Scale Assessment of the Spatial and Temporal Evolution of Ecosystem Vigor
3.2.2. Multi-Scale Assessment of the Spatial and Temporal Evolution of Ecosystem Organization
3.2.3. Multi-Scale Assessment of the Spatial and Temporal Evolution of Ecosystem Resilience
3.2.4. Multi-Scale Assessment of the Spatial and Temporal Evolution of Ecosystem Service
3.2.5. Multi-Scale Assessment of the Spatial and Temporal Evolution of Human Activities
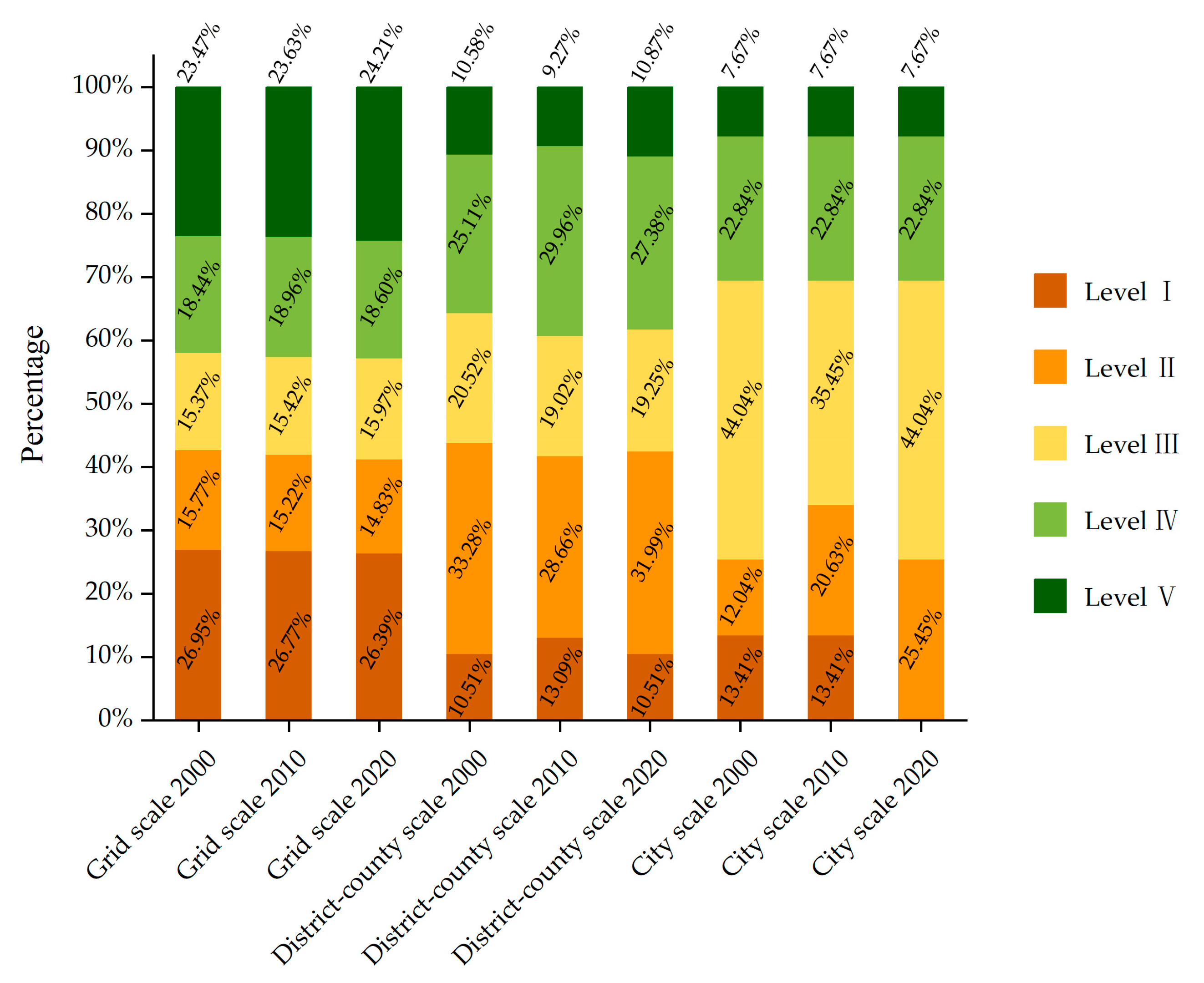
3.3. Spatially and Temporally Evolving Multi-Scale Ecosystem Health Assessment of the Harbin–Changchun Urban Agglomeration
3.4. Spatial Self-Assessment of the Harbin–Changchun Urban Agglomeration
4. Discussion
4.1. Causes of Heterogeneity in Ecosystem Health
4.2. Multi-Scale Effects of Ecosystem Health
4.3. Spatial Autocorrelation and Ecological Management Recommendations
4.4. Limitations and Future Work
5. Conclusions
- The predominant land types in the Harbin–Changchun urban agglomeration are cultivated land and woods. Between 2000 and 2020, the Harbin–Changchun urban agglomeration experienced substantial growth in construction land and unused land due to rapid urban development. This expansion led to a significant reduction in water bodies and grasslands, and the decrease in forested areas was relatively minor. Cultivated land, on the other hand, remained relatively unchanged.
- From 2000 to 2020, the Harbin–Changchun urban agglomeration had a decline in resilience and ecosystem service capacity, while witnessing an increase in vigor, organization and human activities. These changes can be attributed to variations in regional development levels and the variability in the ecological substrate. The geographical distribution of ecosystem vigor, ecosystem resilience and ecosystem services varied across different scales, with higher values observed in the eastern forests and lower values observed in the center plains area. Based on the assessment of the district-county scale, Hunchun City and Antu County in the eastern region of Yanbian Korean Autonomous Prefecture received higher evaluation ratings. Consequently, the evaluation ratings of Yanbian Korean Autonomous Prefecture at the city scale were notably superior to those of other cities. The ecological organizational worth was greater in the eastern forested region and the western grassland region, whereas it was lower in the middle plains area. Honggang District and Saltu District in the western part of Daqing City received the highest assessment ratings at the district-county scale. As a result, Daqing City’s overall evaluation ratings for organizational strength at the city scale surpassed those of other cities. On the other hand, human activities, which have a detrimental impact on ecosystem health, were less prevalent in the eastern forests area but more pronounced in the central urban agglomeration area. Human activities were most concentrated in the region between the large cities of Harbin and Changchun at the district-county level. As a result, the human activity index in Changchun was greater compared to other cities. Utilizing multi-scale analysis to elucidate the progression of each of the five indicators of ecosystem health offers specific avenues for reconciling the interplay between nature and humans.
- From 2000 to 2020, the ecosystem health of the Harbin–Changchun urban agglomeration improved at various scales. The extent of in-good-condition regions exhibited a progressive expansion at both the grid and district-county levels but ceased to exist at the city level. The regions exhibiting a generally favorable health status experienced a decline in area at both the grid and district-county levels while showing a modest gain at the city level. The extent of regions with average health exhibited varied degrees of decline. This decline persisted at the grid level, but at the district-county level, it initially decreased and then increased. Conversely, at the city level, it first increased and then decreased. Regions with relatively poor health conditions experienced negligible changes at the grid level, noteworthy declines at the district-county level and declines followed by increases at the city level, without any substantial overall changes. Regions exhibiting a low level of health demonstrated a consistent decline across all three measures. The distribution of ecosystem health levels at the three scales was distinct. The grid scale provided more detailed information, and the district-county scale considered both necessary details and administrative characteristics. The city scale complemented the macro perspective. This research offers a foundation and direction for boosting ecosystem sustainability and improving health by elucidating the overall evolution and distribution of ecosystem health on a multi-scale in the Harbin–Changchun urban agglomeration.
- An analysis was conducted to assess the clustering of ecosystem health in the Harbin–Changchun urban agglomeration. The findings from the local spatial autocorrelation analysis at both scales indicate that the areas with high values were primarily clustered in the eastern wooded land, whereas the areas with low values were primarily clustered in the center constructed land and cultivated land. The low-value clusters in the middle region of the research area had greater variation at the 10 km grid scale, and the high-value clusters in the east showed more significant variation at the district-county scale. In light of the spatial agglomeration analysis, multi-scale ecological regulation is suggested to preserve the ecological environment in the high-value areas of ecosystem health and to act as a spillover effect to improve the health of the surrounding areas. Additionally, real-time attention must be given to the low-value areas of ecosystem health to carry out ecological restoration promptly, thereby reducing interference and enhancing ecological health; attention must also be given to changes in the other areas’ ecological health to reinforce ecological regulation and prevention. The multi-scale hierarchical analysis and thorough assessment of ecosystem health provided by this study serve as a crucial foundation for planning the urban development and ecological management of agglomerations, offering a range of approaches to balance the coexistence of humans and natural ecosystems.
Author Contributions
Funding
Institutional Review Board Statement
Informed Consent Statement
Data Availability Statement
Acknowledgments
Conflicts of Interest
References
- Pan, Z.; He, J.; Liu, D.; Wang, J.; Guo, X. Ecosystem health assessment based on ecological integrity and ecosystem services demand in the Middle Reaches of the Yangtze River Economic Belt, China. Sci. Total Environ. 2021, 774, 144837. [Google Scholar] [CrossRef]
- Ren, Y.; Zhang, F.; Li, J.; Zhao, C.; Jiang, Q.; Cheng, Z. Ecosystem health assessment based on AHP-DPSR model and impacts of climate change and human disturbances: A case study of Liaohe River Basin in Jilin Province, China. Ecol. Indic. 2022, 142, 109171. [Google Scholar] [CrossRef]
- Su, M.; Fath, B.; Yang, Z. Urban ecosystem health assessment: A review. Sci. Total Environ. 2010, 408, 2425–2434. [Google Scholar] [CrossRef] [PubMed]
- Zeng, C.; Cheng, Y.; Liu, T. Research on land-space ecological restoration zoning based on ecosystem health: A case study of the urban agglomeration in the middle reaches along the Yangtze River. J. Nat. Resour. 2022, 37, 3118–3135. (In Chinese) [Google Scholar] [CrossRef]
- Qiao, W.Y.; Huang, X.J. The impact of land urbanization on ecosystem health in the Yangtze River Delta urban agglomerations, China. Cities 2022, 130, 103981. [Google Scholar] [CrossRef]
- Abbaszadeh Tehrani, N.; Mohd Shafri, H.Z.; Salehi, S.; Chanussot, J.; Janalipour, M. Remotely-Sensed Ecosystem Health Assessment (RSEHA) model for assessing the changes of ecosystem health of Lake Urmia Basin. Int. J. Image Data Fusion 2022, 13, 180–205. [Google Scholar] [CrossRef]
- Costanza, R. Ecosystem health and ecological engineering. Ecol. Eng. 2012, 45, 24–29. [Google Scholar] [CrossRef]
- Rombouts, I.; Beaugrand, G.; Artigas, L.F.; Dauvin, J.C.; Gevaert, F.; Goberville, E.; Kopp, D.; Lefebvre, S.; Luczak, C.; Spilmont, N. Evaluating marine ecosystem health: Case studies of indicators using direct observations and modeling methods. Ecol. Indic. 2013, 24, 353–365. [Google Scholar] [CrossRef]
- Li, Y. Comprehensive Assessment of Ecological Security for Lakes and Reservoirs: A Case Study of Six Important Reservoirs in Zhejiang Province. Master’s Thesis, Zhejiang University, Hangzhou, China, 2014. (In Chinese). [Google Scholar]
- Wang, Z.; Zhou, J.; Loaiciga, H.; Guo, H.; Hong, S. A DPSIR Model for Ecological Security Assessment through Indicator Screening: A Case Study at Dianchi Lake in China. PLoS ONE 2015, 10, e0131732. [Google Scholar] [CrossRef] [PubMed]
- Wiegand, J.; Raffaelli, D.; Smart, J.C.R.; White, P.C.L. Assessment of temporal trends in ecosystem health using an holistic indicator. J. Environ. Manag. 2010, 91, 1446–1455. [Google Scholar] [CrossRef] [PubMed]
- Fu, S.; Zhao, L.; Qiao, Z.; Sun, T.; Sun, M.; Hao, Y.; Hu, S.; Zhang, Y. Development of Ecosystem Health Assessment (EHA) and Application Method: A Review. Sustainability 2021, 13, 11838. [Google Scholar]
- Li, Y.; Wu, Y.; Liu, X. Regional ecosystem health assessment using the GA-BPANN model: A case study of Yunnan Province, China. Ecosyst. Health Sustain. 2022, 8, 2084458. [Google Scholar] [CrossRef]
- Xu, W.; He, M.; Meng, W.; Zhang, Y.; Yun, H.; Lu, Y.; Huang, Z.; Mo, X.; Hu, B.; Liu, B.; et al. Temporal-spatial change of China’s coastal ecosystems health and driving factors analysis. Sci. Total Environ. 2022, 845, 157319. [Google Scholar] [PubMed]
- Wang, H.; Hou, P.; Jiang, J.; Xiao, R.; Zhai, J.; Fu, Z.; Hou, J. Ecosystem Health Assessment of Shennongjia National Park, China. Sustainability 2020, 12, 7672. [Google Scholar] [CrossRef]
- Liu, F.; Zhang, Z.; Wang, X.; Mao, Y.; Dong, J.; Huang, C.; Liu, Y. Spatio-temporal variation of ecosystem health and its response to urbanization in the Guangdong-Hong Kong-Macao Greater Bay Area. Acta Ecol. Sin. 2023, 43, 2594–2604. [Google Scholar]
- Kang, P.; Chen, W.; Hou, Y.; Li, Y. Linking ecosystem services and ecosystem health to ecological risk assessment: A case study of the Beijing-Tianjin-Hebei urban agglomeration. Sci. Total Environ. 2018, 636, 1442–1454. [Google Scholar] [CrossRef]
- Ndong, G.O.; Villerd, J.; Cousin, I.; Therond, O. Using a multivariate regression tree to analyze trade-offs between ecosystem services: Application to the main cropping area in France. Sci. Total Environ. 2021, 764, 142815. [Google Scholar] [CrossRef] [PubMed]
- Liang, H.; Li, J.; Yin, S.; Feng, L.; Shao, J.; Li, S. Spatial-temporal evolution and influencing factors analysis of coupling coordination of “production-living-ecological” functions in central-southern Laoninig and Harbin-Changchun urban agglomeration. J. China Agric. Univ. 2023, 28, 218–233. (In Chinese) [Google Scholar]
- Peng, J.; Lin, H.; Chen, Y.; Blaschke, T.; Luo, L.; Xu, Z.; Hu, Y.; Zhao, M.; Wu, J. Spatiotemporal evolution of urban agglomerations in China during 2000-2012: A nighttime light approach. Landsc. Ecol. 2020, 35, 421–434. [Google Scholar] [CrossRef]
- Huang, Q.; Zhu, X.; Liu, C.; Wu, W.; Liu, F.; Zhang, X. Spatial-temporal Evolution and Determinants of the Belt and Road Initiative: A Maximum Entropy Gravity Model Approach. Chin. Geogr. Sci. 2020, 30, 839–854. [Google Scholar]
- Huang, M.; Wang, Q.; Yin, Q.; Li, W.; Zhang, G.; Ke, Q.; Guo, Q. Analysis of Ecosystem Service Contribution and Identification of Trade-off/Synergy Relationship for Ecosystem Regulation in the Dabie Mountains of Western Anhui Province, China. Land 2023, 12, 1046. [Google Scholar] [CrossRef]
- Zhong, W.; Wang, Y. A study on the spatial and temporal variation of urban integrated vulnerability in Southwest China. Nat. Hazards 2022, 114, 2855–2882. [Google Scholar]
- Wu, J.; Cheng, D.; Xu, Y.; Huang, Q.; Feng, Z. Spatial-temporal change of ecosystem health across China: Urbanization impact perspective. J. Clean. Prod. 2021, 326, 129393. [Google Scholar] [CrossRef]
- Ren, D.; Cao, A.; Wang, F. Response and Multi-Scenario Prediction of Carbon Storage and Habitat Quality to Land Use in Liaoning Province, China. Sustainability 2023, 15, 4500. [Google Scholar]
- Li, Z.; Hu, B.; Qin, Y.; Cheng, X. Drivers of spatiotemporal disparities in the supply-demand budget of ecosystem services: A case study in the Beijing-Tianjin-Hebei urban agglomeration, China. Front. Environ. Sci. 2022, 10, 955876. [Google Scholar] [CrossRef]
- Liu, R.; Dong, X.; Wang, X.; Zhang, P.; Liu, M.; Zhang, Y. Relationship and driving factors between urbanization and natural ecosystem health in China. Ecol. Indic. 2023, 147, 109972. [Google Scholar] [CrossRef]
- Zhu, X.; Jiao, L.; Wu, X.; Du, D.; Wu, J.; Zhang, P. Ecosystem health assessment and comparison of natural and constructed wetlands in the arid zone of northwest China. Ecol. Indic. 2023, 154, 110576. [Google Scholar] [CrossRef]
- Li, Y.; Dong, S.; Wen, L.; Wang, X.; Wu, Y. Three-Dimensional Framework of Vigor, Organization, and Resilience (VOR) for Assessing Rangeland Health: A Case Study from the Alpine Meadow of the Qinghai-Tibetan Plateau, China. Ecohealth 2013, 10, 423–433. [Google Scholar] [CrossRef]
- Peng, J.; Liu, Y.; Wu, J.; Lv, H.; Hu, X. Linking ecosystem services and landscape patterns to assess urban ecosystem health: A case study in Shenzhen City, China. Landsc. Urban Plan. 2015, 143, 56–68. [Google Scholar]
- Lieth, H.; Whittaker, R.H. Primary Productivity of the Biosphere; Springer Science & Business Media: New York, NY, USA, 2012; pp. 320–326. [Google Scholar]
- Guo, C.; Zhu, Y.; Sun, W.; Song, J. Dataset of Biological Abundance Index of China in 1985 and 2005 at 1 km Resolution. J. Glob. Chang. Data Discov. 2017, 1, 60–65+183–188. (In Chinese) [Google Scholar]
- Li, W.; Wang, Y.; Xie, S.; Cheng, X. Coupling coordination analysis and spatiotemporal heterogeneity between urbanization and ecosystem health in Chongqing municipality, China. Sci. Total Environ. 2021, 791, 148311. [Google Scholar] [CrossRef] [PubMed]
- Li, W.; Xie, S.; Wang, Y.; Huang, J.; Cheng, X. Effects of urban expansion on ecosystem health in Southwest China from a multi-perspective analysis. J. Clean. Prod. 2021, 294, 126341. [Google Scholar]
- Li, J.; Shen, W. Spatial heterogeneity of the effects of human activities on the ecosystem health of a coastal tourism city—A case study of Rizhao, China. Appl. Ecol. Environ. Res. 2021, 19, 3029–3051. [Google Scholar] [CrossRef]
- Peng, J.; Liu, Y.; Li, T.; Wu, J. Regional ecosystem health response to rural land use change: A case study in Lijiang City, China. Ecol. Indic. 2017, 72, 399–410. [Google Scholar] [CrossRef]
- Li, W.; Wang, Y.; Xie, S.; Cheng, X. Exploring the regional differences of ecosystem health and its spatial relationships with urban forms in China. Environ. Sci. Pollut. Res. 2023, 30, 62000–62014. [Google Scholar]
- Ma, J.; Ding, X.; Shu, Y.; Abbas, Z. Spatio-temporal variations of ecosystem health in the Liuxi River Basin, Guangzhou, China. Ecol. Inform. 2022, 72, 101842. [Google Scholar] [CrossRef]
- Pan, Z.; He, J.; Liu, D.; Wang, J. Predicting the joint effects of future climate and land use change on ecosystem health in the Middle Reaches of the Yangtze River Economic Belt, China. Appl. Geogr. 2020, 124, 102293. [Google Scholar] [CrossRef]
- Xiao, R.; Liu, Y.; Fei, X.; Yu, W.; Zhang, Z.; Meng, Q. Ecosystem health assessment: A comprehensive and detailed analysis of the case study in coastal metropolitan region, eastern China. Ecol. Indic. 2019, 98, 363–376. [Google Scholar]
- Colding, J. Ecological land-use complementation for building resilience in urban ecosystems. Landsc. Urban Plan. 2007, 81, 46–55. [Google Scholar] [CrossRef]
- Whitford, W.; Rapport, D.; DeSoyza, A. Using resistance and resilience measurements for «fitness» tests in ecosystem health. J. Environ. Manag. 1999, 57, 21–29. [Google Scholar]
- Chen, W.; Zhao, H.; Li, J.; Zhu, L.; Wang, Z.; Zeng, J. Land use transitions and the associated impacts on ecosystem services in the Middle Reaches of the Yangtze River Economic Belt in China based on the geo-informatic Tupu method. Sci. Total Environ. 2020, 701, 134690. [Google Scholar]
- He, J.; Pan, Z.; Liu, D.; Guo, X. Exploring the regional differences of ecosystem health and its driving factors in China. Sci. Total Environ. 2019, 673, 553–564. [Google Scholar] [CrossRef]
- Chen, W.; Zhao, X.; Zhong, M.; Li, J.; Zang, J. Spatiotemporal evolution patterns of ecosystem health in the Middle Reaches of the Yangtze River Urban Agglomerations. Acta Ecol. Sin. 2022, 42, 138–149. (In Chinese) [Google Scholar]
- Xia, C.; Guo, H.; Zhao, J.; Xue, F.; Wang, C.; Zhou, J.; Tong, S.; Li, S.; Zhang, N. Dynamic responses of ecosystem services to urbanization at multi-spatial scales in the Beijing-Tianjin-Hebei region. Acta Ecol. Sin. 2023, 43, 2756–2769. [Google Scholar]
- Hamel, P.; Valencia, J.; Schmitt, R.; Shrestha, M.; Piman, T.; Sharp, R.P.; Francesconi, W.; Guswa, A.J. Modeling seasonal water yield for landscape management: Applications in Peru and Myanmar. J. Environ. Manag. 2020, 270, 110792. [Google Scholar]
- Bi, Y.; Zheng, L.; Wang, Y.; Li, J.; Yang, H.; Zhang, B. Coupling relationship between urbanization and water-related ecosystem services in China’s Yangtze River Economic Belt and its socio-ecological driving forces: A county-level perspective. Ecol. Indic. 2023, 146, 109871. [Google Scholar]
- Hamel, P.; Chaplin-Kramer, R.; Sim, S.; Mueller, C. A new approach to modeling the sediment retention service (InVEST 3.0): Case study of the Cape Fear catchment, North Carolina, USA. Sci. Total Environ. 2015, 524, 166–177. [Google Scholar] [CrossRef] [PubMed]
- Liang, T.; Huang, X.; Yang, F.; Mao, Y.; Luo, Y.; Wen, C.; Ren, X. Evolution and Prediction of Habitat Quality in the Three Gorges Reservoir (Chongqing section) Based on the in VEST-PLUS Model. Resour. Environ. Yangtze Basin 2023, 32, 2184–2195. (In Chinese) [Google Scholar]
- Du, Y.; Chen, X.; Liu, Y.; Wang, Y.; Zhu, X.; Liu, S. ynamic evolution and driving force of high-quality development in Harbin-Changchun urban agglomeration at the country level. Econ. Geogr. 2022, 42, 62–71. (In Chinese) [Google Scholar]
- Shang, B. Study on the Influence of Land Cover Change on Regional Ecosystem Services in Changchun City. Master’s Thesis, Jilin University, Changchun, China, 2021. [Google Scholar]
- He, X.; Xu, X.; Fan, X.; Geng, Q.; Tian, Z. Temporal and spatial variation and prediction of regional carbon storage in Zhongyuan Urban Agglomeration. China Environ. Sci. 2022, 42, 2965–2976. (In Chinese) [Google Scholar]
- Qu, C.; Li, L.; Xu, J.; Shang, Y. Potential impact of Black Land Conservation and Utilization on Carbon Storage in Heilongjiang Province. J. Northwest For. Univ. 2023, 38, 194–203. (In Chinese) [Google Scholar]
- Mueller, N.D.; Gerber, J.S.; Johnston, M.; Ray, D.K.; Ramankutty, N.; Foley, J.A. Closing yield gaps through nutrient and water management. Nature 2012, 490, 254–257. [Google Scholar] [CrossRef] [PubMed]
- Wang, J.; Zhang, J.; Wang, P.; Ma, X.; Yang, L.; Zhou, L. Progress in Ecosystem Health Research and Future Prospects. Sustainability 2022, 14, 15814. [Google Scholar] [CrossRef]
- Hu, X.; Ma, C.; Huang, P.; Guo, X. Ecological vulnerability assessment based on AHP-PSR method and analysis of its single parameter sensitivity and spatial autocorrelation for ecological protection? A case of Weifang City, China. Ecol. Indic. 2021, 125, 107464. [Google Scholar] [CrossRef]
- Mu, H.; Li, X.; Ma, H.; Du, X.; Huang, J.; Su, W.; Yu, Z.; Xu, C.; Liu, H.; Yin, D.; et al. Evaluation of the policy-driven ecological network in the Three-North Shelterbelt region of China. Landsc. Urban Plan. 2022, 218, 104305. [Google Scholar]
- Xiang, T.; Meng, X.; Wang, X.; Xiong, J.; Xu, Z. Spatiotemporal Changes and Driving Factors of Ecosystem Health in the Qinling-Daba Mountains. ISPRS Int. J. Geo-Inf. 2022, 11, 600. [Google Scholar] [CrossRef]
- Yang, J.; Liu, Q.; Deng, M. Spatial hotspot detection in the presence of global spatial autocorrelation. Int. J. Geogr. Inf. Sci. 2023, 37, 1787–1817. [Google Scholar] [CrossRef]
- Shi, M.; Wu, H.; Fan, X.; Jia, H.; Dong, T.; He, P.; Baqa, M.; Jiang, P. Trade-offs and Synergies of Multiple Ecosystem Services for Different Land Use Scenarios in the Yili River Valley, China. Sustainability 2021, 13, 1577. [Google Scholar] [CrossRef]
- Wang, Y.; Cheng, H.; Wang, N.; Huang, C.; Zhang, K.; Qiao, B.; Wang, Y.; Wen, P. Trade-off and Synergy Relationships and Spatial Bundle Analysis of Ecosystem Services in the Qilian Mountains. Remote Sens. 2023, 15, 2950. [Google Scholar] [CrossRef]
- Zhou, L.; Zhang, H.; Bi, G.; Su, K.; Wang, L.; Chen, H.; Yang, Q. Multiscale perspective research on the evolution characteristics of the ecosystem services supply-demand relationship in the Chongqing section of the three gorges reservoir area. Ecol. Indic. 2022, 142, 109227. [Google Scholar]
- Sant’Anna Neto, A.; Lana, A.Q.; Lucas, F.M.F.; Ucella-Filho, J.G.M.; Polizel, J.L.; da Silva Filho, D.F.; Goncalves, A.N.; Dias Junior, A.F. Using a Novel Green Index to Support Ecosystem Services in a Megacity. Forests 2023, 14, 1705. [Google Scholar] [CrossRef]
- Wang, J.; Xiao, H.; Hu, M. Spatial spillover effects of forest ecological security on ecological well-being performance in China. J. Clean. Prod. 2023, 418, 138142. [Google Scholar] [CrossRef]
- Chen, W. A multi-scale assessment of ecosystem health based on the Pressure-State-Response framework: A case in the Middle Reaches of the Yangtze River Urban Agglomerations, China. Environ. Sci. Pollut. Res. 2022, 29, 29202–29219. [Google Scholar]
- Zhao, X.; Huang, G. Urban watershed ecosystem health assessment and ecological management zoning based on landscape pattern and SWMM simulation: A case study of Yangmei River Basin. Environ. Impact Assess. Rev. 2022, 95, 106794. [Google Scholar] [CrossRef]
- Chang, H.; Lin, Z.; Hsu, Y. Planning for green infrastructure and mapping synergies and trade-offs: A case study in the Yanshuei River Basin, Taiwan. Urban For. Urban Green. 2021, 65, 127325. [Google Scholar]
- Das, M.; Das, A.; Pereira, P.; Mandal, A. Exploring the spatio-temporal dynamics of ecosystem health: A study on a rapidly urbanizing metropolitan area of Lower Gangetic Plain, India. Ecol. Indic. 2021, 125, 107584. [Google Scholar]
- Xu, X.; Tan, Y.; Chen, S.; Yang, G. Changing patterns and determinants of natural capital in the Yangtze River Delta of China 2000–2010. Sci. Total Environ. 2014, 466, 326–337. [Google Scholar] [CrossRef] [PubMed]

















| Data | Data Type/Resolution | Source |
|---|---|---|
| Administrative boundary | Vector data | The Resource and Data Sharing Center of the Chinese Academy of Sciences (https://www.resdc.cn, accessed on 10 April 2023) |
| Land use data | Raster data/30 m | |
| Net Primary Productivity (NPP) | Raster data/1000 m | |
| Digital Elevation Model (DEM) | Raster data/90 m | Geospatial data cloud (https://www.gscloud.cn, accessed on 28 April 2023) |
| Annual precipitation | Raster data/1000 m | China Meteorological Data Network (http://data.cma.cn, accessed on 5 March 2023) |
| Annual evapotranspiration | Raster data/500 m | |
| Soil moisture content | Raster data/1000 m | National Earth System Science Data Center (http://www.geodata.cn, accessed on 10 May 2023) |
| Plant root depth | Raster data/1000 m | |
| Road distribution | Vector data | Open Street Map (https://www.openstreetmap.org, accessed on 10 May 2023) |
| Land Use Type | Cultivated Land | Forests | Grassland | Water Bodies | Construction Land | Unused Land |
|---|---|---|---|---|---|---|
| 0.5 | 1 | 0.7 | 0.8 | 0.3 | 0.2 | |
| 0.4 | 0.5 | 0.8 | 0.7 | 0.2 | 0.1 |
| Ecosystem Services | Meaning | Formula |
|---|---|---|
| Water supply service | Water supply services play a crucial role in influencing ecological functions, such as biomass and carbon cycling, within ecosystems [46,47]. | where is the average annual water production; is the actual evapotranspiration on image x; is the average annual precipitation on image x. |
| Soil conservation service | Soil conservation services (SDR) refer to the capacity to preserve and control soil, which is crucial for mitigating regional erosion and minimizing the likelihood of floods [48,49]. | where SC is the actual soil conservation; RKLS is the potential soil erosion; and RULSE is the actual soil erosion. r is the rainfall erodibility factor; K is the soil erodibility factor; and LS is the slope length factor. c is the vegetation management factor, and P is the factor of soil and water conservation measures. |
| Biodiversity service | Habitat quality is a crucial factor in determining the capacity to sustain regional ecological diversity [50,51]. | is the habitat quality of image element x in the jth land use type; is the habitat suitability of image element x in the jth land use type; is the habitat degradation of raster x in the jth land use type; z is a normalization constant, which is usually taken to be the default value of 2.5; and k is a half-saturation constant [52]. |
| Carbon sequestration service | Carbon sequestration, also known as carbon reserves, often refers to the quantity of carbon stored in various carbon reservoirs such as forests, oceans and land. The concept has garnered more interest following China’s introduction of the “dual carbon targets” program in 2020 [53]. | where CS is the total carbon stock; is the aboveground biogenic carbon; is the belowground biogenic carbon; is soil carbon; is soil carbon; and CS_dead is dead organic carbon [54]. |
| Food supply service | Food supply is essential for human survival and ensures the sustainability of regional development. | where represents the rate of nitrogen application provided; represents the rate of phosphorus application provided; and represents the rate of potassium application provided [55]. |
| Estimation Target | Evaluation Indicators | Indicator Weights | Evaluation Factors | Positive or Negative | Factor Weights |
|---|---|---|---|---|---|
| Ecosystem health evaluation factors | Ecosystem vigor (EV) | 0.23 | NPP (Net Primary Productivity) | + | 0.115 |
| Biological Abundance | + | 0.115 | |||
| Ecosystem organization (EO) | 0.35 | Area-Weighted Patch Fractal Dimension (AWMPD) | + | 0.035 | |
| Shannon’s Diversity Index (SHDI) | + | 0.0875 | |||
| Patch Density (PD) | - | 0.0875 | |||
| Forests Patch Density () | - | 0.035 | |||
| Grassland Patch Density () | - | 0.035 | |||
| Contagion Index (CONTAGE) | + | 0.035 | |||
| Forests Patch Cohesion Index () | + | 0.0175 | |||
| Grassland Patch Cohesion Index () | + | 0.0175 | |||
| Ecosystem resilience (ER) | 0.18 | Resistance ) | + | 0.072 | |
| Resilience ) | + | 0.108 | |||
| Ecosystem services (ES) | 0.14 | Water supply service | - | 0.0308 | |
| Soil conservation service | + | 0.021 | |||
| Biodiversity service | + | 0.035 | |||
| Carbon sequestration service | + | 0.035 | |||
| Food supply service | + | 0.0182 | |||
| Human activities (HA) | 0.1 | Human activities | - | 0.1 |
| 2020 (km2) | Cultivated Land | Forests | Grassland | Water Bodies | Construction Land | Unused Land | 2000 Total Area | Transfer Out Area | |
|---|---|---|---|---|---|---|---|---|---|
| 2000 (km2) | |||||||||
| Cultivated land | 140,181.760 | 4392.746 | 1046.398 | 630.586 | 3046.380 | 819.431 | 150,117.301 | 9935.541 | |
| Forests | 4979.202 | 108,783.802 | 1057.538 | 256.829 | 168.773 | 588.403 | 115,834.547 | 7050.745 | |
| Grassland | 1566.886 | 939.013 | 13,170.586 | 76.353 | 107.674 | 1023.592 | 16,884.104 | 3713.518 | |
| Water bodies | 866.623 | 202.489 | 187.919 | 6516.404 | 45.977 | 3841.305 | 11,660.718 | 5144.314 | |
| Construction land | 1755.119 | 128.356 | 41.268 | 35.455 | 9350.238 | 27.509 | 11,337.944 | 1987.706 | |
| Unused land | 1403.615 | 311.845 | 821.685 | 250.260 | 98.795 | 13,695.919 | 16,582.118 | 2886.199 | |
| 2020 Total area | 150,753.204 | 114,758.251 | 16,325.393 | 7765.888 | 12,817.837 | 19,996.159 | 322,416.731 | ||
| Transfer in area | 10,571.444 | 5974.449 | 3154.807 | 1249.484 | 3467.599 | 6300.239 | |||
| Year | 2000 | 2010 | 2020 | 2000–2020 Mean Change |
|---|---|---|---|---|
| Grid scale | 0.455769 | 0.491964 | 0.496651 | 0.040882 |
| District-county scale | 0.455935 | 0.491713 | 0.496393 | 0.040458 |
| City scale | 0.455859 | 0.491684 | 0.496363 | 0.040504 |
| Year | 2000 | 2010 | 2020 | 2000–2020 Mean Change |
|---|---|---|---|---|
| Grid scale | 0.666987 | 0.668347 | 0.673743 | 0.006756 |
| District-county scale | 0.668996 | 0.670291 | 0.67568 | 0.006684 |
| City scale | 0.668996 | 0.670291 | 0.67568 | 0.006684 |
| Year | 2000 | 2010 | 2020 | 2000–2020 Mean Change |
|---|---|---|---|---|
| Grid scale | 0.566235 | 0.565171 | 0.56297 | −0.003265 |
| District-county scale | 0.565904 | 0.564839 | 0.562464 | −0.00344 |
| City scale | 0.565853 | 0.564789 | 0.562413 | −0.00344 |
| Year | 2000 | 2010 | 2020 | 2000–2020 Mean Change |
|---|---|---|---|---|
| Grid scale | 0.482491 | 0.486793 | 0.464452 | −0.01804 |
| District-county scale | 0.485762 | 0.490022 | 0.467542 | −0.01822 |
| City scale | 0.485718 | 0.490003 | 0.467515 | −0.0182 |
| Year | 2000 | 2010 | 2020 | 2000–2020 Mean Change |
|---|---|---|---|---|
| Grid scale | 0.50069 | 0.502225 | 0.507232 | 0.006542 |
| District-county scale | 0.500601 | 0.502143 | 0.507173 | 0.006572 |
| City scale | 0.500686 | 0.502204 | 0.507246 | 0.00656 |
| Year | 2000 | 2010 | 2020 | 2000–2020 Mean Change |
|---|---|---|---|---|
| Grid scale | 0.566062 | 0.574553 | 0.575084 | 0.009022 |
| District-county scale | 0.566085 | 0.5746 | 0.575147 | 0.009062 |
| City scale | 0.56602 | 0.574564 | 0.575099 | 0.009079 |
| Year | 2000 | 2010 | 2020 |
|---|---|---|---|
| 10 km grid scale | 0.673905 | 0.670782 | 0.680074 |
| District-county scale | 0.783365 | 0.77627 | 0.759915 |
Disclaimer/Publisher’s Note: The statements, opinions and data contained in all publications are solely those of the individual author(s) and contributor(s) and not of MDPI and/or the editor(s). MDPI and/or the editor(s) disclaim responsibility for any injury to people or property resulting from any ideas, methods, instructions or products referred to in the content. |
© 2024 by the authors. Licensee MDPI, Basel, Switzerland. This article is an open access article distributed under the terms and conditions of the Creative Commons Attribution (CC BY) license (https://creativecommons.org/licenses/by/4.0/).
Share and Cite
Guo, Y.; Xu, D.; Xu, J.; Yang, Z. Multi-Scale Analysis of Spatial and Temporal Evolution of Ecosystem Health in the Harbin–Changchun Urban Agglomeration, China. Sustainability 2024, 16, 837. https://doi.org/10.3390/su16020837
Guo Y, Xu D, Xu J, Yang Z. Multi-Scale Analysis of Spatial and Temporal Evolution of Ecosystem Health in the Harbin–Changchun Urban Agglomeration, China. Sustainability. 2024; 16(2):837. https://doi.org/10.3390/su16020837
Chicago/Turabian StyleGuo, Yingchu, Dawei Xu, Jia Xu, and Ziyi Yang. 2024. "Multi-Scale Analysis of Spatial and Temporal Evolution of Ecosystem Health in the Harbin–Changchun Urban Agglomeration, China" Sustainability 16, no. 2: 837. https://doi.org/10.3390/su16020837
APA StyleGuo, Y., Xu, D., Xu, J., & Yang, Z. (2024). Multi-Scale Analysis of Spatial and Temporal Evolution of Ecosystem Health in the Harbin–Changchun Urban Agglomeration, China. Sustainability, 16(2), 837. https://doi.org/10.3390/su16020837
