Probabilistic Seismic Risk Assessment of Metro Tunnels in Soft Soils
Abstract
1. Introduction
2. Probabilistic Seismic Risk Evaluation Framework
2.1. General Seismic Risk Evaluation Framework
2.2. Bayesian-Based Seismic Risk Evaluation Framework Considering the Effects of Different Fragility Curves
- Sample the Delicacy distribution for a given value of PGA by Equation (9) and obtain values for N sets of probabilities P0, P1, P2, and P3.
- Determine a specific damage state k using the Monte Carlo sampling method and derive the values of the exceedance probability for each damage state.
- Generate the loss curves (lc) of a tunnel for different scenarios of PGA by summing up the expected cost for each tunnel element.
- Sample the Delicacy distribution for the corresponding value of PGA by Equation (9) and obtain values for N sets of probabilities P0, P1, P2, and P3.
- Determine a specific damage state k using the Monte Carlo sampling method, and derive the values of probability Pk for each damage state.
- Calculate the average of expected losses (lsm) and the seismic risk index R for different scenarios of PGA using Equation (2) and (1), respectively.
3. Application of the Proposed Seismic Risk Assessment Framework
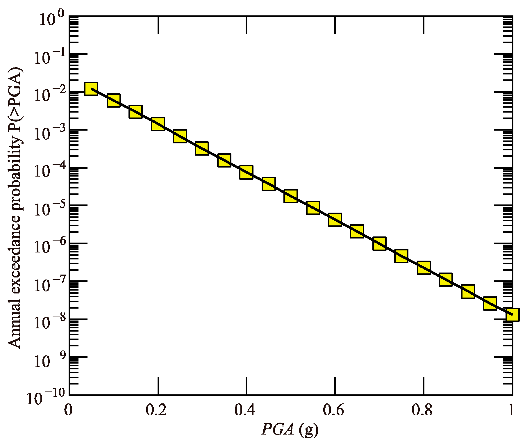
3.1. Adopted Seismic Hazard Curve
3.2. Adopted Seismic Fragility Curves
3.3. Application in a Generic Single Tunnel Lining Segment with a Unit Length
3.3.1. General Seismic Risk Evaluation Results
- Seismic loss evaluation of typical shallow, moderately deep and deep tunnels
- Seismic risk assessment of typical shallow, moderately deep, and deep tunnels
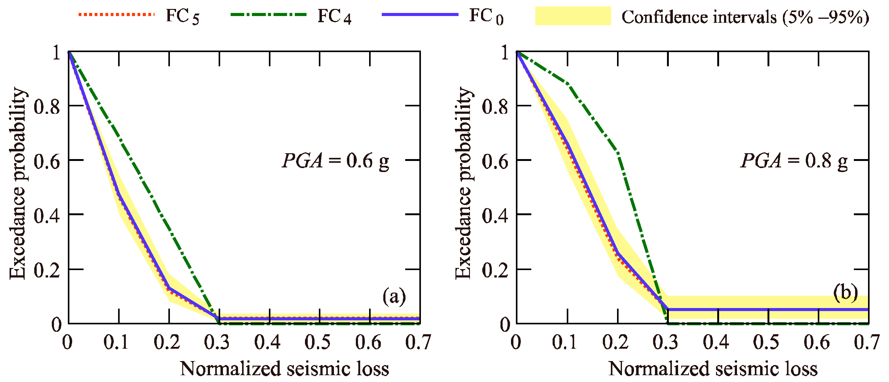
3.3.2. Bayesian-Based Seismic Risk Evaluation Results Considering the Effects of Different Fragility Curves
- Shallow tunnel
- Moderately deep tunnel
- Deep tunnel
3.4. Application in a Long Tunnel Section in the Metro System
4. Conclusions
- The established procedure for seismic risk assessment of tunnels reveals the evolution patterns of seismic loss curves (lc), the average of expected losses (lsm), and the seismic risk index R for different burial depths under various scenarios of PGA based on the seismic fragility curves tailored to tunnels with different burial depths.
- By incorporating the uncertainty inherent in seismic fragility curves, the seismic risk assessment of tunnels with varying burial depths and a long tunnel section was carried out. The results underscore the capability of the methodology presented in this paper to provide a more rational analysis of seismic risk for tunnels with varying burial depths.
- Noteworthy differences exist in the results of seismic loss curves (lc), the average of expected losses (lsm), and the seismic risk index R for tunnels that have been modeled with disparate fragility curves. In considering the influence of various fragility curve models, the model distributions tend to align more closely with the fragility curves model having higher weighting. However, the calculated results for different fragility curve models are covered by results from various quartiles, illustrating the variation inherent in different models. Consequently, it is imperative to account for the influence of different fragility curve models in the seismic risk analysis of tunnel structures. As in the case of this paper, using only one single fragility curve model will result in a 0–30% overestimation or underestimation of the seismic risk index R.
- The consideration of uncertainty in fragility curve models has a significant impact on the size of confidence intervals and the evolution of the average seismic risk index. This highlights the importance of incorporating uncertainty in probability-based seismic risk assessments.
Author Contributions
Funding
Institutional Review Board Statement
Informed Consent Statement
Data Availability Statement
Acknowledgments
Conflicts of Interest
References
- Iida, H.; Hiroto, T.; Yoshida, N.; Iwafuji, M. Damage to Daikai subway station. Soils Found. 1996, 36, 283–300. [Google Scholar] [CrossRef] [PubMed]
- Li, T. Failure Characteristics and Influence Factor Analysis of Mountain Tunnels at Epicenter Zones of Great Wenchuan Earthquake. J. Eng. Geol. 2008, 16, 742–750. [Google Scholar]
- Wang, Z.; Gao, B.; Jiang, Y.; Yuan, S. Investigation and assessment on mountain tunnels and geotechnical damage after the Wenchuan earthquake. Sci. China Ser. E Technol. Sci. 2009, 52, 546–558. [Google Scholar] [CrossRef]
- Wang, Z.; Zhang, Z. Seismic damage classification and risk assessment of mountain tunnels with a validation for the 2008 Wenchuan earthquake. Soil Dyn. Earthq. Eng. 2013, 45, 45–55. [Google Scholar] [CrossRef]
- Ordaz, M.; Miranda, E.; Reinoso, E.; Pérez-Rocha, L.E. Seismic Loss Estimation Model for Mexico City. In Proceedings of the 12th World Conference on Earthquake Engineering, Auckland, New Zealand, 39 January–4 February 2000; p. 1902. [Google Scholar]
- Marulanda, M.C.; Carreno, M.L.; Cardona, O.D.; Ordaz, M.G.; Barbat, A.H. Probabilistic earthquake risk assessment using CAPRA: Application to the city of Barcelona, Spain. Nat. Hazards 2013, 69, 59–84. [Google Scholar] [CrossRef]
- Foulser-Piggott, R.; Bowman, G.; Hughes, M. A framework for understanding uncertainty in seismic risk assessment. Risk Anal. 2020, 40, 169–182. [Google Scholar] [CrossRef]
- Salgado-Gálvez, M.A.; Zuloaga Romero, D.; Velásquez, C.A.; Carreño, M.L.; Cardona, O.D.; Barbat, A.H. Urban seismic risk index for Medellín, Colombia, based on probabilistic loss and casualties estimations. Nat. Hazards 2016, 80, 1995–2021. [Google Scholar] [CrossRef]
- Baradaran Shoraka, M.; Yang, T.Y.; Elwood, K.J. Seismic loss estimation of non-ductile reinforced concrete buildings. Earthq. Eng. Struct. Dyn. 2013, 42, 297–310. [Google Scholar] [CrossRef]
- Gentile, R.; Galasso, C. Simplified seismic loss assessment for optimal structural retrofit of RC buildings. Earthq. Spectra 2021, 37, 346–365. [Google Scholar] [CrossRef]
- Ghosh, J.; Padgett, J.E. Probabilistic seismic loss assessment of aging bridges using a component-level cost estimation approach. Earthq. Eng. Struct. Dyn. 2011, 40, 1743–1761. [Google Scholar] [CrossRef]
- Perdomo, C.; Monteiro, R. Extension of displacement-based simplified procedures to the seismic loss assessment of multi-span RC bridges. Earthq. Eng. Struct. Dyn. 2021, 50, 1101–1124. [Google Scholar] [CrossRef]
- Fang, C.; Ping, Y.; Zheng, Y.; Chen, Y. Probabilistic economic seismic loss estimation of steel braced frames incorporating emerging self-centering technologies. Eng. Struct. 2021, 241, 112486. [Google Scholar] [CrossRef]
- Shirkhani, A.; Azar, B.F.; Basim, M.C. Seismic loss assessment of steel structures equipped with rotational friction dampers subjected to intensifying dynamic excitations. Eng. Struct. 2021, 238, 112233. [Google Scholar] [CrossRef]
- Pavel, F.; Văcăreanu, R. Seismic risk assessment for elements of the electric network in Romania. Buildings 2022, 12, 244. [Google Scholar] [CrossRef]
- Shahnazaryan, D.; O’Reilly, G.J.; Monteiro, R. On the seismic loss estimation of integrated performance-based designed buildings. Earthq. Eng. Struct. Dyn. 2022, 51, 1794–1818. [Google Scholar] [CrossRef]
- Pitilakis, K.; Alexoudi, M.; Argyroudis, S.; Monge, O.; Martin, C. Earthquake risk assessment of lifelines. Bull. Earthq. Eng. 2006, 4, 365–390. [Google Scholar] [CrossRef]
- Selva, J.; Argyroudis, S.; Pitilakis, K. Impact on loss/risk assessments of inter-model variability in vulnerability analysis. Nat. Hazards 2013, 67, 723–746. [Google Scholar] [CrossRef][Green Version]
- Huang, Z.; Pitilakis, K.; Zhang, D.; Tsinidis, G.; Argyroudis, S. On the effects of salient parameters for an efficient probabilistic seismic loss assessment of tunnels in alluvial soils. Resilient Cities Struct. 2022, 1, 24–39. [Google Scholar] [CrossRef]
- Lu, D.; Li, X.; Wang, G. Global seismic fragility analysis of structures based on reliability and performance. J. Nat. Disasters 2006, 15, 107. [Google Scholar]
- Wilson, R.R.; Rojahn, C.; Sharpe, R.L. Earthquake Damage Evaluation Data for California; Applied Technology Council: Redwood City, Ca, USA, 1985. [Google Scholar]
- Federal Emergency Management Agency. HAZUS-MH 2.1 Earthquake Model Technical Manual; Federal Emergency Management Agency: Washington, WA, USA, 2013.
- American Lifelines Alliance. Seismic Fragility Formulations for Water Systems. Part I, Guidelines; ALA: Washington, WA, USA, 2001. [Google Scholar]
- Sun, Q.; Han, Q.; Huang, Z.; Tsang, H.-H. Influence of ground motion duration on inelastic seismic response of subway stations in soft soils. Soil Dyn. Earthq. Eng. 2024, 182, 108724. [Google Scholar] [CrossRef]
- Sun, Q.; Xue, Y.; Hou, M. Geotechnical seismic isolation system to protect cut-and-cover utility tunnels using tire-derived aggregates. Soil Dyn. Earthq. Eng. 2024, 176, 108354. [Google Scholar] [CrossRef]
- Corigliano, M.; Lai, C.G.; Barla, G. Seismic fragility of rock tunnels using fragility curves. In Proceedings of the 11th ISRM Congress, Lisbon, Portugal, 9–13 July 2007. [Google Scholar]
- Argyroudis, S.A.; Pitilakis, K.D. Seismic fragility curves of shallow tunnels in alluvial deposits. Soil Dyn. Earthq. Eng. 2012, 35, 1–12. [Google Scholar] [CrossRef]
- Le, T.S.; Huh, J.; Park, J.H. Earthquake fragility assessment of the underground tunnel using an efficient SSI analysis approach. J. Appl. Math. Phys. 2014, 2, 1073–1078. [Google Scholar] [CrossRef][Green Version]
- Argyroudis, S.; Tsinidis, G.; Gatti, F.; Pitilakis, K. Effects of SSI and lining corrosion on the seismic vulnerability of shallow circular tunnels. Soil Dyn. Earthq. Eng. 2017, 98, 244–256. [Google Scholar] [CrossRef]
- Kiani, M.; Ghalandarzadeh, A.; Akhlaghi, T.; Ahmadi, M. Experimental evaluation of vulnerability for urban segmental tunnels subjected to normal surface faulting. Soil Dyn. Earthq. Eng. 2016, 89, 28–37. [Google Scholar] [CrossRef]
- Barbat, A.H.; Moya, F.Y.; Canas, J. Damage scenarios simulation for seismic risk assessment in urban zones. Earthq. Spectra 1996, 12, 371–394. [Google Scholar] [CrossRef]
- Tsinidis, G.; Karatzetzou, A.; Stefanidou, S.; Markogiannaki, O. Developments in seismic vulnerability assessment of tunnels and underground structures. Geotechnics 2022, 2, 209–249. [Google Scholar] [CrossRef]
- Cartes, P.; Chamorro, A.; Echaveguren, T. Seismic risk evaluation of highway tunnel groups. Nat. Hazards 2021, 108, 2101–2121. [Google Scholar] [CrossRef]
- FEMA. Hazus 4.2 SP3: Hazus Earthquake Model Technical Manual; FEMA: Washington, WA, USA, 2020.
- Firuzi, E.; Ansari, A.; Amini Hosseini, K.; Rashidabadi, M. Probabilistic earthquake loss model for residential buildings in Tehran, Iran to quantify annualized earthquake loss. Bull. Earthq. Eng. 2019, 17, 2383–2406. [Google Scholar] [CrossRef]
- Jaiswal, K.S.; Bausch, D.; Chen, R.; Bouabid, J.; Seligson, H. Estimating annualized earthquake losses for the conterminous United States. Earthq. Spectra 2015, 31, S221–S243. [Google Scholar] [CrossRef]
- Chen, Z.Y.; Chen, W.; Li, Y.Y.; Yuan, Y. Shaking table test of a multi-story subway station under pulse-like ground motions. Soil Dyn. Earthq. Eng. 2016, 82, 111–122. [Google Scholar] [CrossRef]
- Peyghaleh, E.; Mahmoudabadi, V.; Martin, J.R.; Shahjouei, A.; Chen, Q.; Javanbarg, M.; Khoshnevisan, S. Impact of local site conditions on portfolio earthquake loss estimation for different building types. Nat. Hazards 2018, 94, 121–150. [Google Scholar] [CrossRef]
- Hancilar, U.; Sesetyan, K.; Cakti, E. Comparative earthquake loss estimations for high-code buildings in Istanbul. Soil Dyn. Earthq. Eng. 2020, 129, 105956. [Google Scholar] [CrossRef]
- Pitilakis, K.; Anastasiadis, A.; Kakderi, K.; Argyroudis, S.; Alexoudi, M. Vulnerability assessment and risk management of lifelines, infrastructures and critical facilities. The case of Thessaloniki’s Metropolitan area. In Proceedings of the 4th International Conference on Earthquake Geotechnical Engineering, Thessaloniki, Greece, 24–29 June 2007. [Google Scholar]
- Huang, Z.K.; Pitilakis, K.; Tsinidis, G.; Argyroudis, S.; Zhang, D.M. Seismic vulnerability of circular tunnels in soft soil deposits: The case of Shanghai metropolitan system. Tunn. Undergr. Space Technol. 2020, 98, 103341. [Google Scholar] [CrossRef]
- EN 1998-1; Eurocode 8: Design of Structures for Earthquake Resistance. The European Union Per Regulation: Brussels, Belgium, 2005.
- Huang, Z.; Cheng, Y.; Zhang, D.; Yan, D.; Shen, Y. Seismic fragility and resilience assessment of shallowly buried large-section underground civil defense structure in soft soils: Framework and application. Tunn. Undergr. Space Technol. 2024, 146, 105640. [Google Scholar] [CrossRef]
























| Reference | Symbol | Tunnel Typology | Minor IM1 (g) | Moderate IM2 (g) | Extensive IM3 (g) | βtot |
|---|---|---|---|---|---|---|
| Huang et al. [41] | FC1 | Shallow tunnel | 0.35 | 0.60 | 0.97 | 0.53 |
| Argyroudis et al. [29] | FC2 | Shallow tunnel | 0.51 | 0.89 | 1.22 | 0.61 |
| Huang et al. [41] | FC3 | Moderately deep tunnel | 0.44 | 0.84 | 1.49 | 0.58 |
| ALA [23] | FC4 | Moderately deep tunnel and Deep tunnel | 0.50 | 0.70 | - | 0.40 |
| Huang et al. [41] | FC5 | Deep tunnel | 0.63 | 1.23 | 2.18 | 0.61 |
| Parameters of the Tunnel | Value |
|---|---|
| Burial depth (m) | 9.0, 20.0, 30.0 |
| Tunnel diameter (m) | 6.2 |
| Lining thickness (m) | 0.35 |
| Concrete cover depth (cm) | 5.0 |
| Bending reinforcement (cm2/m) | 21.0, 43.0, 58.0 |
| Soil Layer | Thickness (m) | Soil Type | Unit Weight (kg/m3) | Shear Wave Velocity (m/s) | Cohesion (kPa) | Fraction Angle (°) |
|---|---|---|---|---|---|---|
| 1 | 3.0 | Silty clay | 1865 | 113 | 7.3 | 18.8 |
| 2 | 1.3 | Silty clay | 1814 | 119 | 15 | 19.0 |
| 3 | 2.3 | Silt | 1896 | 150 | 3.8 | 23.3 |
| 4 | 5.4 | Clay | 1743 | 153 | 11.4 | 19.0 |
| 5 | 6.4 | Silty clay | 1722 | 162 | 13.6 | 18.0 |
| 6 | 6.3 | Silty clay | 1824 | 188 | 15.8 | 18.0 |
| 7 | 4.8 | Clay | 1900 | 227 | 45 | 17.0 |
| 8 | 30.5 | Clay | 1936 | 277 | 5 | 20.0 |
| 9 | 10.0 | Clay | 1906 | 301 | 15 | 23.0 |
| 10 | 15.0 | Sand | 1987 | 385 | 0 | 35.0 |
| 11 | 15.0 | Sand | 2000 | 413 | 0 | 35.0 |
| Tunnel No. | Length (m) | Tunnel Typology | Weighting Scheme | Models |
|---|---|---|---|---|
| 1 | 600 | Shallow tunnel | m1 = 0.5, m2 = 0.5 | FC1, FC2 |
| 2 | 500 | Moderately deep tunnel | m3 = 0.95, m4 = 0.05 | FC3, FC4 |
| 3 | 400 | Deep tunnel | m4 = 0.05, m5 = 0.95 | FC4, FC5 |
Disclaimer/Publisher’s Note: The statements, opinions and data contained in all publications are solely those of the individual author(s) and contributor(s) and not of MDPI and/or the editor(s). MDPI and/or the editor(s) disclaim responsibility for any injury to people or property resulting from any ideas, methods, instructions or products referred to in the content. |
© 2024 by the authors. Licensee MDPI, Basel, Switzerland. This article is an open access article distributed under the terms and conditions of the Creative Commons Attribution (CC BY) license (https://creativecommons.org/licenses/by/4.0/).
Share and Cite
Huang, Z.; Deng, X.; Lei, C.; Cheng, Y.; Zhang, C.; Sun, Q. Probabilistic Seismic Risk Assessment of Metro Tunnels in Soft Soils. Sustainability 2024, 16, 8218. https://doi.org/10.3390/su16188218
Huang Z, Deng X, Lei C, Cheng Y, Zhang C, Sun Q. Probabilistic Seismic Risk Assessment of Metro Tunnels in Soft Soils. Sustainability. 2024; 16(18):8218. https://doi.org/10.3390/su16188218
Chicago/Turabian StyleHuang, Zhongkai, Xingmian Deng, Chong Lei, Yixin Cheng, Chenlong Zhang, and Qiangqiang Sun. 2024. "Probabilistic Seismic Risk Assessment of Metro Tunnels in Soft Soils" Sustainability 16, no. 18: 8218. https://doi.org/10.3390/su16188218
APA StyleHuang, Z., Deng, X., Lei, C., Cheng, Y., Zhang, C., & Sun, Q. (2024). Probabilistic Seismic Risk Assessment of Metro Tunnels in Soft Soils. Sustainability, 16(18), 8218. https://doi.org/10.3390/su16188218

