Stabilization and Remediation of Arsenic-Contaminated Soil: Fly Ash-Based Technology for Industrial Site Restoration
Abstract
1. Introduction
2. Materials and Methods
2.1. Experimental Materials
2.2. Structure and Phase Morphology of Fly Ash
2.3. Influence of Varying Activation Conditions of Fly Ash on Arsenic Stabilization
2.4. Fly Ash Activation Using Various Concentrations of Ferrous Sulfate for Arsenic Stabilization
2.5. Analysis and Testing
2.6. Quality Assurance and Quality Control
2.7. Evaluation of Remediation Effectiveness
2.8. Remediation of the Actual Site
3. Results and Discussion
3.1. Analysis of Fly Ash Phase
3.2. Fly Ash Activation Factors
3.3. Optimization and Evaluation of Optimal Activation Factor
3.3.1. Degree of Activation
3.3.2. Soil pH
3.3.3. Moisture Content
3.4. Analysis of Arsenic Forms and Leaching Capacity during the Stabilization Process
3.5. Leaching Process and Mechanisms of Stabilization/Activation for Various Arsenic Forms in Soil
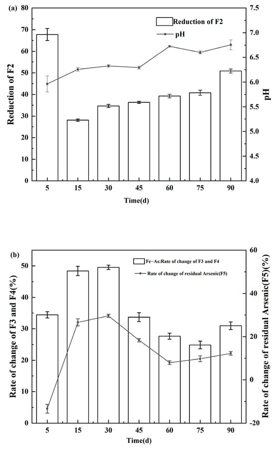
3.6. Results of Actual Field Remediation
4. Conclusions
Author Contributions
Funding
Institutional Review Board Statement
Informed Consent Statement
Data Availability Statement
Conflicts of Interest
References
- Jin, Y.L.; Hou, D.Y.; Tian, L.; Wang, L.W.; Song, Y.N. Multi-objective optimization for brownfield remediation on the basis of land use planning. China Environ. Sci. 2021, 41, 787–800. [Google Scholar]
- Ministry of Environmental Protection of the People′s Republic of China, Ministry of Land and Resources of the People′s Republic of China. The Nationwide Survey Communique of Soil Pollution. Available online: http://www.gov.cn/xinwen/2014-04/17/content_2661765.htm (accessed on 17 April 2014).
- Berg, M.; Tran, H.C.; Nguyen, T.C.; Pham, H.V.; Schertenleib, R.; Giger, W. Arsenic contamination of groundwater and drinking water in Vietnam: A human health threat. Environ. Sci. Technol. 2001, 35, 2621–2626. [Google Scholar] [CrossRef] [PubMed]
- Hou, D.Y.; Zhang, K.K.; Wang, L.W. Current status and prospect for the remediation of heavy metal contaminated industrial sites. Environ. Prot. 2021, 49, 9–15. [Google Scholar]
- Yang, B.; Ma, S.; Cui, R.; Wang, J.; Sun, S.; Li, S. Novel low-cost simultaneous removal of NO and SO2 with ·OH from decomposition of H2O2 catalyzed by alkali-magnetic modified fly ash. Ind. Eng. Chem. Res. 2019, 58, 5339–5347. [Google Scholar] [CrossRef]
- Chen, H.; Yuan, H.; Mao, L.; Hashmi, M.Z.; Xu, F.; Tang, X. Stabilization/solidification of chromium-bearing electroplating sludge with alkali-activated slag binders. Chemosphere 2020, 240, 124885. [Google Scholar] [CrossRef]
- Guerrini, I.A.; Croce, C.G.G.; de Carvalho Bueno, O.; Jacon, C.P.R.P.; Nogueisra, T.A.R.; Fernandes, D.M.; Ganga, A.; Capra, G.F. Composted sewage sludge and steel mill slag as potential amendments for urban soils involved in afforestation programs. Urban For. Urban Green. 2017, 22, 93–104. [Google Scholar] [CrossRef]
- Huang, L.; Ma, Q.; Guo, R. Experimental study on hydration products of alkali-activated slag. Bull. Chin. Ceram. Soc. 2020, 39, 1194–1200. [Google Scholar]
- Chen, Z.; Lu, S.; Tang, M.; Ding, J.; Buekens, A.; Yang, J.; Qui, Q.; Yan, J. Mechanical activation of fly ash from MSWI for utilization in cementitious materials. Waste Manag. 2019, 88, 182–190. [Google Scholar] [CrossRef]
- Yin, B.; Kang, T.; Kang, J.; Chen, Y. Analysis of active ion-leaching behavior and the reaction mechanism during alkali activation of low-calcium fly ash. Int. J. Concr. Struct. Mater. 2018, 12, 50. [Google Scholar] [CrossRef]
- Ding, J.; Ma, S.; Shen, S.; Xie, Z.; Zheng, S.; Zhang, Y. Research and industrialization progress of recovering alumina from fly ash: A concise review. Waste Manag. 2017, 60, 375–387. [Google Scholar] [CrossRef]
- Chen, M.-F. Review on heavy metal remediation technology of soil and groundwater at industrially contaminated site in China. Bull. Chin. Acad. Sci. 2014, 29, 327–335. [Google Scholar]
- Shen, Z.; Jin, F.; O’Connor, D.; Hou, D. Solidification/stabilization for soil remediation: An old technology with new vitality. Environ. Sci. Technol. 2019, 53, 11615–11617. [Google Scholar] [CrossRef] [PubMed]
- Zhao, S.H.; Chen, Z.L.; Zhang, T.P.; Peng, X.C.; Zhang, Y.N.; Ding, C.; Lei, G.J. Advances in solidification/stabilization technology treatment of heavy metals in contaminated soils. Chin. J. Soil Sci. 2013, 44, 1531–1536. [Google Scholar]
- Wen, J.; Yi, Y.; Zeng, G. Effects of modified zeolite on the removal and stabilization of heavy metals in contaminated lake sediment using BCR sequential extraction. J. Environ. Manag. 2016, 178, 63–69. [Google Scholar] [CrossRef]
- Lü, P.; Li, L.F.; Huang, X.Y. Modified Biochar for Remediation of Soil Contaminated with Arsenic and Cadmium: A Review. Environ. Sci. 2023, 44, 4077–4090. [Google Scholar] [CrossRef]
- Wei, J.; Liu, Y.H.; Tu, C.; Deng, S.P.; Hao, D.D.; Xiao, L.; Mao, M. Preparation of iron-modified biochar and its application in arsenic contaminated soil remediation. Environ. Sci. 2023, 44, 965–974. [Google Scholar]
- Guan, D.; Wu, J.-M.; Xie, Y.-H.; Chen, S.; Chen, J.; Peng, H.; Ji, X.-H. Effects of Iron-based silicon salts on fractions and transformation of cadmium and arsenic in soil environment. China Environ. Sci. 2022, 42, 1803–1811. [Google Scholar]
- Xiang, L.J.; Su, Q.; Sun, G.; Zhang, Y.; Ding, J.Q.; Wang, Q.; Yu, J. Characteristics and causes of soil heavy metal pollution in typical pharmaceutical enterprise gathering areas. Environ. Chem. 2022, 41, 2022–2034. [Google Scholar]
- Müller, G. Index of geoaccumulation in sediments of the Rhine River. Geol. J. 1969, 2, 108–118. [Google Scholar]
- GB/T 664—2011; General Administration of Quality Supervision, Inspection and Quarantine of the People’s Republic of China Standardization Administration. National Standard (Mandatory) of the People’s Republic of China: Fly Ash Used for Cement and Concrete. Standards Press of China: Beijing, China, 2018.
- Xia, W.Y.; Feng, Y.S.; Du, Y.J.; Reddy, K.R.; Wei, M.L. Solidification and stabilization of heavy metal–contaminated industrial site soil using KMP binder. J. Mater. Civ. Eng. 2018, 30, 04018080. [Google Scholar] [CrossRef]
- Huang, A.-L. Study on the Passivation Effect of Different Passivation Materials and Their Compounds on Arsenic in Farmland Soil. Ph.D. Thesis, Hainan University, Haikou, China, 2020. [Google Scholar]
- Zha, F.; Pan, D.; Xu, L.; Kang, B.; Yang, C.; Chu, C. Investigations on engineering properties of solidified/stabilized Pb-contaminated soil based on alkaline residue. Adv. Civ. Eng. 2018, 2018, 8595419. [Google Scholar] [CrossRef]
- Jiao, C.-F.; Chang, H.-Q.; Wang, Q.-Z.; Wu, J.; Zhu, X.-H.; Wang, H. Passivation effects of calcium carbonate and chitosan on arsenic pollution in high pH calcareous soil. Trans. Chin. Soc. Agric. Eng. 2020, 36, 234–240. [Google Scholar]
- Wang, X. Stabilization Treatment of Heavy Metal Contaminated Solid Wastes/Soils by Ferrous Salt. Ph.D. Thesis, Huazhong University of Science and Technology, Wuhan, China, 2018. [Google Scholar]
- Zhang, X.-J. Experimental Study on the Treatment of Cd, Pb and Cr-Polluted Soil with Lime and Fly Ash. Ph.D. Thesis, Chongqing University, Chongqing, China, 2009. [Google Scholar]
- HJ/T 299-2007; Ministry of Ecology and Environment of the People’s Republic of China. National Standard (Mandatory) of the People’s Republic of China: Solid Waste-Extraction Procedure for Leaching Toxicity-Sulphuric Acid & Nitric acid Method. China Environment Science Press: Beijing, China, 2007.
- Wenzel, W.W.; Kirchbaumer, N.; Prohaska, T.; Stingeder, G.; Lombi, E.; Adriano, D.C. Arsenic fractionation in soils using an improved sequential extraction procedure. Anal. Chim. Acta 2001, 436, 309–323. [Google Scholar] [CrossRef]
- HJ 962—2018; Ministry of Ecology and Environment of the People’s Republic of China. National Standard (Mandatory) of the People’s Republic of China: Soil—Determination of pH—Potentiometry. China Environment Science Press: Beijing, China, 2018.
- HJ 803—2016; Ministry of Environmental Protection of the People’s Republic of China. Soil and Sediment-Determination of Aqua Regia Extracts of 12 Metal Elements-Inductively Coupled Plasma Mass Spectrometry. China Environmental Science Press: Beijing, China, 2016.
- Geldart, D. Types of gas fluidization. Powder Technol. 1973, 7, 285–292. [Google Scholar] [CrossRef]
- Davidovits, J. Geopolymers and geopolymeric materials. J. Therm. Anal. 1989, 35, 429–441. [Google Scholar] [CrossRef]
- Davidovits, J. Geopolymers Chemistry and Application; National Defense Press: Saint-Quentin, France, 2008; pp. 41–42. [Google Scholar]
- Lu, H.G. Introduction to Powder Technology, 2nd ed.; Tongji University Press: Shanghai, China, 1998. [Google Scholar]
- Huo, L.J. Study on the Mechanisms of Arsenic Sorption and Stabilization in Soils Using Ferrihydrite nanoparticles. Ph.D. Thesis, Chinese Academy of Agricultural Sciences, Beijing, China, 2017. [Google Scholar]
- Kim, J.-Y.; Davis, A.-P.; Kim, K.W. Stabilization of available arsenic in highly contaminated mine tailings using iron. Environ. Sci. Technol. 2003, 37, 189–195. [Google Scholar] [CrossRef]
- Seidel, H.; Görsch, K.; Amstätter, K.; Mattusch, J. Immobilization of arsenic in a tailings material by ferrous iron treatment. Water Res. 2005, 39, 4073–4082. [Google Scholar] [CrossRef]
- Moore, T.J.; Rightmire, C.M.; Vempati, R.K. Ferrous iron treatment of soils contaminated with arsenic-containing wood-preserving solution. J. Soil Contam. 2000, 9, 375–405. [Google Scholar] [CrossRef]
- Goh, K.H.; Lim, T.T. Geochemistry of inorganic arsenic and selenium in a tropical soil: Effect of reaction time, pH, and competitive anions on arsenic and selenium adsorption. Chemosphere 2004, 55, 849–859. [Google Scholar] [CrossRef]
- Chen, J.; Wang, X.J.; Zhu, L.J. Effect of Ph on adsorption and transformation of arsenic in red soil in Guizhou. Soils 2004, 36, 211–214. [Google Scholar]
- Lu, C.; Li, Q.Q.; Luo, Q.S.; Liu, L.L.; Zhang, C.B. Stabilization treatment of available arsenic in contaminated soils and mechanism studies. China Environ. Sci. 2013, 33, 298–304. [Google Scholar]
- Song, Y.; Wang, H.-W.; Wu, Y.-J.; Sun, Y.-J.; Lü, Z.-J.; Wang, Y.-N.; Li, W.-H. Promoting effect and mechanism of Fe(III) on the stabilization of arsenic by biogenic Mn oxides in contaminated soil. Acta Sci. Circumstantiae 2020, 40, 1460–1466. [Google Scholar]
- Chang, C.Y.; Cao, H.X.; Tao, L.; Lu, Y.Z.; Dong, M.G. Advances on heavy metal stability and reactivation for soil after solidification/stabilization remediation. Soils 2021, 53, 682–691. [Google Scholar]
- Chen, Z.W.; Xu, J.; Hou, Z.L.; Peng, M.; Yang, F.; Chen, J.; Xu, Y.Q.; Sang, S.I.; Li, J.I.; Yu, L.S. Accumulation characteristics and health risk assessment of heavy metals in soil-crop system based on soil parent material zoning. Environ. Sci. 2023, 44, 405–414. [Google Scholar]
- Zhao, L.; Tang, Z.-J.; Liu, F. Laboratory tests of fly ash as a sandy soil amendment and its effects on soil water. Acta Sci. Circumstantiae 2009, 29, 1951–1957. [Google Scholar]
- Kalinski, M.E.; Yerra, P.K. Hydraulic conductivity of compacted cement-stabilized fly ash. Fuel 2006, 85, 2330–2336. [Google Scholar] [CrossRef]
- Yang, Z.L.; Zeng, X.B.; Sun, B.H.; Su, S.M.; Wang, Y.N.; Zhang, N.; Wu, C. Research advances on the fixation of soil heavy metals by iron oxide. Chin. J. Soil Sci. 2021, 52, 728–735. [Google Scholar]
- Wang, L.-Y.; Qin, L.; Lü X-, G.; Jiang, M.; Zou, Y.-C. Progress in researches on effect of iron promoting accumulation of soil organic carbon. Acta Pedol. Sin. 2018, 55, 1041–1050. [Google Scholar]
- Mikutta, R.; Kleber, M.; Torn, M.S.; Jahn, R. Stabilization of soil organic matter: Association with minerals or chemical recalcitrance. Biogeochemistry 2006, 77, 25–56. [Google Scholar] [CrossRef]
- GB 3838—2002; State Environmental Protection Administration of the People’s Republic of China, General Administration of Quality Supervision, Inspection and Quarantine of the People’s Republic of China. Environmental Quality Standards for Surface Water. China Environmental Science Press: Beijing, China, 2002.
- GB/T 14848—2017; General Administration of Quality Supervision, Inspection and Quarantine of the People’s Republic of China Standardization Administration. National Standard (Mandatory) of the People’s Republic of China: Standard for Groundwater Quality. China Environment Science Press: Beijing, China, 2017.










| Soil Type | Natural Moisture Content (%) | Soil Organic Matter (g·kg−1) | pH | Total Arsenic (mg·kg−1) | Hexachlorocyclohexane (mg·kg−1) | Dichloro-Diphenyl-Trichloroethane (mg·kg−1) |
|---|---|---|---|---|---|---|
| Clay | 31.4 | 15.6 | 6.16 | 2749 | 0.002 | 0.014 |
Disclaimer/Publisher’s Note: The statements, opinions and data contained in all publications are solely those of the individual author(s) and contributor(s) and not of MDPI and/or the editor(s). MDPI and/or the editor(s) disclaim responsibility for any injury to people or property resulting from any ideas, methods, instructions or products referred to in the content. |
© 2024 by the authors. Licensee MDPI, Basel, Switzerland. This article is an open access article distributed under the terms and conditions of the Creative Commons Attribution (CC BY) license (https://creativecommons.org/licenses/by/4.0/).
Share and Cite
Yu, J.; Bao, J.; Su, Q.; Zhang, W.; Ye, B.; Zhou, X.; Li, H.; Li, X. Stabilization and Remediation of Arsenic-Contaminated Soil: Fly Ash-Based Technology for Industrial Site Restoration. Sustainability 2024, 16, 8132. https://doi.org/10.3390/su16188132
Yu J, Bao J, Su Q, Zhang W, Ye B, Zhou X, Li H, Li X. Stabilization and Remediation of Arsenic-Contaminated Soil: Fly Ash-Based Technology for Industrial Site Restoration. Sustainability. 2024; 16(18):8132. https://doi.org/10.3390/su16188132
Chicago/Turabian StyleYu, Jiang, Jianguo Bao, Qu Su, Wuzhu Zhang, Bei Ye, Xingzhu Zhou, Hongcheng Li, and Xing Li. 2024. "Stabilization and Remediation of Arsenic-Contaminated Soil: Fly Ash-Based Technology for Industrial Site Restoration" Sustainability 16, no. 18: 8132. https://doi.org/10.3390/su16188132
APA StyleYu, J., Bao, J., Su, Q., Zhang, W., Ye, B., Zhou, X., Li, H., & Li, X. (2024). Stabilization and Remediation of Arsenic-Contaminated Soil: Fly Ash-Based Technology for Industrial Site Restoration. Sustainability, 16(18), 8132. https://doi.org/10.3390/su16188132

