Analysis of Factors Affecting the Accuracy of MFD Construction in Multisource Complex Data Scenarios
Abstract
1. Introduction
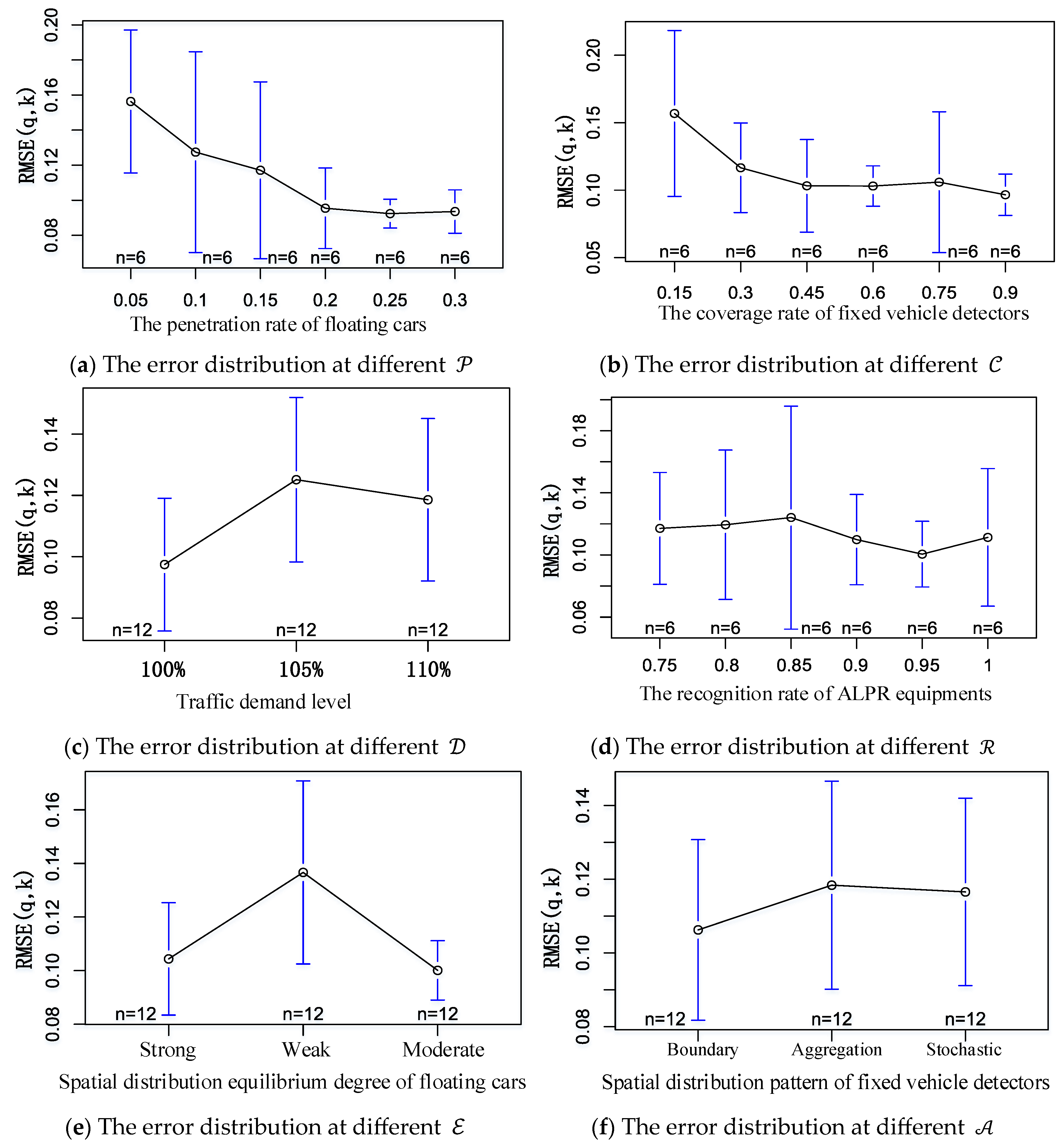
- (1)
- when the penetration rate reaches 20%, the error remains approximately around 10%;
- (2)
- once the coverage rate surpasses 45%, the errors stabilize at around 10%;
- (3)
- when the fixed detector coverage exceeds 45%, the penetration rate of floating cars is above 10% and the spatial distribution of floating cars is either “moderate” or “strong”, the median error in MFD construction is around 8~10%;
- (4)
- when the fixed detector coverage is below 30%, the penetration rate of floating cars is less than 15% and the spatial distribution of floating cars is mostly “weak”, the median error in MFD construction is around 10~20%.
2. Literature Review
2.1. Factors Impacting MFD Construction Accuracy Using Fixed Vehicle Detector Data
2.2. Factors Impacting MFD Construction Accuracy Using Floating Car Data
- (1)
- Proposed method and contributions
- (2)
- Organization of the study
3. Materials and Methods
3.1. Framework
3.2. Designing Orthogonal Experimental Scenarios Considering Complex Real-World Multisource Data Characteristics
3.2.1. Design of Experimental Factor Levels
- (1)
- Penetration Rate of Floating Cars ()
- (2)
- Spatial Distribution Balance of Floating Cars ()
- (3)
- Coverage Rate of Fixed Detectors ()
- (4)
- Spatial Distribution Pattern of Fixed Detectors ()
- (5)
- Recognition Rate of License Plate Detector ()
- (6)
- Traffic Demand Level ()
3.2.2. Determination of Experimental Indicators
3.3. Selection of Orthogonal Tables
3.4. Analysis Method of Experimental Results
- (1)
- Modeling the Data Structuring
- (2)
- Computation of Effects for Factor Level
- (3)
- The Calculation of Range for Factor Levels’ Effects
- (4)
- The Rectification of Range for Mixed-Level Design
- (5)
- Analysis of Variance
4. Results
4.1. Data Sampling for Various Experimental Scenarios Based on Traffic Simulation
4.2. Experimental Results
4.3. Analysis of Experimental Results
- (1)
- Range Analysis for Experimental Results
- (2)
- Variance Analysis for Experimental Results
5. Conclusions and Discussion
Funding
Institutional Review Board Statement
Informed Consent Statement
Data Availability Statement
Conflicts of Interest
References
- Hong, R.; Liu, H.; An, C.; Wang, B.; Lu, Z.; Xia, J. An MFD construction method considering multi-source data reliability for urban road networks. Sustainability 2022, 14, 6188. [Google Scholar] [CrossRef]
- Zhang, L.; Yuan, Z.; Yang, L.; Liu, Z. Recent developments in traffic flow modelling using macroscopic fundamental diagram. Transp. Rev. 2020, 40, 689–710. [Google Scholar] [CrossRef]
- Daganzo, C.F.; Geroliminis, N. An analytical approximation for the macroscopic fundamental diagram of urban traffic. Transp. Res. Part B Methodol. 2008, 42, 771–781. [Google Scholar] [CrossRef]
- Buisson, C.; Ladier, C. Exploring the impact of homogeneity of traffic measurements on the existence of macroscopic fundamental diagrams. Transp. Res. Rec. J. Transp. Res. Board 2009, 2124, 127–136. [Google Scholar] [CrossRef]
- Cassidy, M.J.; Jang, K.; Daganzo, C.F. Macroscopic Fundamental Diagrams for Freeway Networks: Theory and Observation. In Proceedings of the Transportation Research Board (TRB) 2011 Annual Meeting, Washington, DC, USA, 23–27 January 2011; Volume 2260, pp. 8–15. [Google Scholar]
- Ma, Y. Research on Traffic Control Strategies for Traffic Communities. Master’s Thesis, Tongji University, Shanghai, China, 2010. [Google Scholar]
- Xu, F.; He, Z.; Sha, Z. Impacts of traffic management measures on urban network Microscopic Fundamental Diagram. J. Transp. Syst. Eng. Inf. Technol. 2013, 13, 189–194. [Google Scholar]
- Zhang, L.; Garoni, T.M.; Gier, J.D. A comparative study of Macroscopic Fundamental Diagrams of arterial road networks governed by adaptive traffic signal systems. Transp. Res. Part B Methodol. 2013, 49, 1–23. [Google Scholar] [CrossRef]
- Johari, M.; Keyvan-Ekbatani, M.; Leclercq, L.; Ngoduy, D.; Mahmassani, H.S. Macroscopic network-level traffic models: Bridging fifty years of development toward the next era. Transp. Res. Part C Emerg. Technol. 2021, 131, 103334. [Google Scholar] [CrossRef]
- Ma, W.; Liao, D. Process and Prospects of Macroscopic Fundamental Diagram. J. Wuhan Univ. Technol. (Transp. Sci. Eng. Ed.) 2014, 38, 1226–1233. [Google Scholar]
- Geroliminis, N.; Sun, J. Properties of a well-defined macroscopic fundamental diagram for urban traffic. Transp. Res. Part B Methodol. 2011, 45, 605–617. [Google Scholar] [CrossRef]
- Ortigosa, J.; Menendez, M.; Tapia, H. Study on the number and location of measurement points for an MFD perimeter control scheme: A case study of Zurich. EURO J. Transp. Logist. 2014, 3, 245–266. [Google Scholar] [CrossRef]
- Courbon, T.; Leclercq, L. Cross-comparison of macroscopic fundamental diagram estimation methods. Procedia-Soc. Behav. Sci. 2011, 20, 417–426. [Google Scholar] [CrossRef]
- Leclercq, L.; Chiabaut, N.; Trinquier, B. Macroscopic fundamental diagrams: A cross-comparison of estimation methods. Transp. Res. Part B Methodol. 2014, 62, 1–12. [Google Scholar] [CrossRef]
- Lee, G.; Ding, Z.; Laval, J. Effects of loop detector position on the macroscopic fundamental diagram. Transp. Res. Part C Emerg. Technol. 2023, 154, 104239. [Google Scholar] [CrossRef]
- Rizvi, S.M.A. Framework for the Selection of Loop Detectors for Macroscopic Fundamental Diagram Estimation. EasyChair 2023, 10424. [Google Scholar] [CrossRef]
- Geroliminis, N.; Daganzo, C.F. Existence of urban-scale macroscopic fundamental diagrams: Some experimental findings. Transp. Res. Part B Methodol. 2008, 42, 759–770. [Google Scholar] [CrossRef]
- Nagle, A.S.; Gayah, V.V. Accuracy of Networkwide Traffic States Estimated from Mobile Probe Data. Transp. Res. Rec. J. Transp. Res. Board 2014, 2421, 1–11. [Google Scholar] [CrossRef]
- Tilg, G.; Pawlowski, A.; Bogenberger, K. The impact of data characteristics on the estimation of the three-dimensional passenger macroscopic fundamental diagram. In Proceedings of the 2021 IEEE International Intelligent Transportation Systems Conference (ITSC), Indianapolis, IN, USA, 19–22 September 2021; IEEE: New York, NY, USA; pp. 2111–2117. [Google Scholar]
- Du, J.; Rakha, H.; Gayah, V.V. Deriving macroscopic fundamental diagrams from probe data: Issues and proposed solutions. Transp. Res. Part C Emerg. Technol. 2016, 66, 136–149. [Google Scholar] [CrossRef]
- Saffari, E.; Yildirimoglu, M.; Hickman, M. Estimation of macroscopic fundamental diagram solely from probe vehicle trajectories with an unknown penetration rate. IEEE Trans. Intell. Transp. Syst. 2023, 24, 14970–14981. [Google Scholar] [CrossRef]
- Ambühl, L.; Menendez, M. Data fusion algorithm for macroscopic fundamental diagram estimation. Transp. Res. Part C Emerg. Technol. 2016, 71, 184–197. [Google Scholar]
- Min, J.H.; Ham, S.W.; Kim, D.K.; Lee, E.H. Deep multimodal learning for traffic speed estimation combining dedicated short-range communication and vehicle detection system data. Transp. Res. Rec. 2023, 2677, 247–259. [Google Scholar] [CrossRef]
- Ji, Y.; Xu, M.; Li, J.; Van Zuylen, H.J. Determining the macroscopic fundamental diagram from mixed and partial traffic data. Promet-Traffic Transp. 2018, 30, 267–279. [Google Scholar] [CrossRef]
- Fu, H.; Wang, Y.; Tang, X.; Zheng, N.; Geroliminis, N. Empirical analysis of large-scale multimodal traffic with multi-sensor data. Transp. Res. Part C Emerg. Technol. 2020, 118, 102725. [Google Scholar] [CrossRef]
- Jiang, H. An Application Study of Orthogonal Experiment on Improving Color Difference of Cell Phone in Painting Process. Master’s Thesis, School of Mechanical Engineering of Shanghai Jiaotong University, Shanghai, China, 2007. [Google Scholar]
- Ren, L. Experimental Optimization Design and Analysis; Higher Education Press: Beijing, China, 2003; pp. 79–102. [Google Scholar]
- Saffari, E.; Yildirimoglu, M.; Hickman, M. A methodology for identifying critical links and estimating macroscopic fundamental diagram in large-scale urban networks. Transp. Res. Part C Emerg. Technol. 2020, 119, 102743. [Google Scholar] [CrossRef]
- Geng, Y.; Bu, X.; Wei, X. The calculation of effect and the anticipant estimation of target’s value in upright overlapping design of experiment. J. Hebei Inst. Archit. Civ. Eng. 2001, 4, 51–54+57. [Google Scholar]
- Chen, K. Experimental Design and Analysis, 2nd ed.; Tsinghua University Press: Beijing, China, 2005; pp. 72–136. [Google Scholar]
- Nie, Q. On-Line Estimation of Dynamic OD Flows for Urban Road Networks Based on Traffic Propagation Characteristic Analysis. Ph.D. Thesis, Southeast University, Nanjing, China, 2017. [Google Scholar]




| 2 | 3 | 4 | 5 | 6 | 7 | 8 | 9 | 10 | |
| 0.71 | 0.52 | 0.45 | 0.40 | 0.37 | 0.35 | 0.34 | 0.32 | 0.31 |
| Step 1: experimental scenario input. In the orthogonal experimental scenario , the penetration rate of floating cars in the entire set of vehicles is for the scenario. The spatial distribution pattern of the floating cars for the scenario is , indicates multisource data and the set of floating car numbers in the distribution for the scenario is denoted as . The proportion of the distribution of floating cars in the total floating cars for the scenario is represented as . indicates the total number of all vehicles in the experimental scenario, with = 1. |
| Step 2: if assess the current spatial distribution pattern for the scenario; otherwise, the process terminates. |
| Step 3: determine the proportion of different types of floating cars for the scenario. Let correspond to as “Strong”; let correspond to as “Moderate”; let correspond to as “Weak”. Step 3.1: generating the vectors for each type’s proportion based on truncated normal distribution. and |
| Step3.2: calculate the Gini coefficient for OD pairs’ proportion for the traffic zones, which is shown in Equation (1). Step 3.3: if the Gini coefficient of the generated proportion vector corresponds to the current spatial distribution pattern for the scenario, then the proportions for each type are set to the current vector and proceed with Step 4. Otherwise, return to Step 3.1. |
| Step 4: determine the final set of floating car samples for the scenario. |
| Step 5: let return Step 2. |
| Step 1: input the experimental scenario. In the orthogonal experimental scenario , the coverage rate of fixed vehicle detectors for the experimental scenario is noted as , the average license plate recognition rate for vehicles is noted as , the spatial distribution pattern of fixed vehicle detectors is noted as , and the set of device ID including location information(latitude and longitude) for all fixed vehicle detectors in the simulation road network is denoted as . Additionally, the total number of detectors is noted as and the core device number set under the boundary mode for the experimental scenario is noted as . Let . |
| Step 2: if assess the current spatial distribution pattern of fixed vehicle detectors for the experimental scenario; otherwise, the process terminates. Is “Random”? If yes, proceed to Step 3. Is “Aggregated”? If yes, proceed to Step 4.1, 4.2, 4.3. Is “Boundary”? If yes, proceed to Step 4.1, 4.2, 4.4. |
| Step 3: set of sampled devices’ ID for fixed vehicle detectors for the experimental scenario under the “Random Mode” is denoted as . |
| Step 4: set of sample devices’ ID for fixed vehicle detectors for the experimental scenario under the “Aggregated Mode” “Boundary” are both denoted as . Step 4.1: calculate the Euclidean distance between all pairs of devices in based on latitude and longitude information. Step 4.2: select the core devices Step 4.3: select the nearest devices to the core devices as the set of sampled devices for fixed vehicle detectors, denoted as . Step 4.4: select the farthest devices to the core devices as the set of sampled devices for fixed vehicle detectors, denoted as . |
| Step 5: output the traffic flow data for each sampled device in the . |
| Step 6: let , return Step 2 |
| Factor | Error | RMSE (q,k) | |||||||
|---|---|---|---|---|---|---|---|---|---|
| Scenario ID | |||||||||
| 1 | 1 | Strong | 100% | Stochastic | 0.15 | 0.05 | 1 | 0.196 | |
| 2 | 1 | Strong | 100% | Stochastic | 0.75 | 0.1 | 1 | 0.079 | |
| 3 | 1 | Strong | 100% | Boundary | 0.45 | 0.2 | 0.85 | 0.069 | |
| 4 | 1 | Strong | 105% | Aggregation | 0.6 | 0.2 | 0.9 | 0.103 | |
| 5 | 1 | Strong | 105% | Aggregation | 0.9 | 0.15 | 0.75 | 0.112 | |
| 6 | 1 | Strong | 110% | Aggregation | 0.15 | 0.3 | 0.95 | 0.096 | |
| 7 | 1 | Moderate | 100% | Aggregation | 0.9 | 0.05 | 0.8 | 0.11 | |
| 8 | 1 | Moderate | 105% | Stochastic | 0.75 | 0.15 | 0.9 | 0.097 | |
| 9 | 1 | Moderate | 105% | Boundary | 0.3 | 0.05 | 0.95 | 0.133 | |
| 10 | 1 | Moderate | 105% | Boundary | 0.45 | 0.1 | 0.95 | 0.103 | |
| 11 | 1 | Moderate | 110% | Stochastic | 0.6 | 0.3 | 0.85 | 0.088 | |
| 12 | 1 | Moderate | 110% | Stochastic | 0.9 | 0.25 | 0.85 | 0.085 | |
| 13 | 1 | Weak | 100% | Aggregation | 0.3 | 0.3 | 0.9 | 0.105 | |
| 14 | 1 | Weak | 100% | Aggregation | 0.45 | 0.25 | 0.75 | 0.09 | |
| 15 | 1 | Weak | 105% | Boundary | 0.6 | 0.25 | 1 | 0.095 | |
| 16 | 1 | Weak | 110% | Stochastic | 0.3 | 0.1 | 0.75 | 0.171 | |
| 17 | 1 | Weak | 110% | Boundary | 0.15 | 0.15 | 0.8 | 0.212 | |
| 18 | 1 | Weak | 110% | Boundary | 0.75 | 0.2 | 0.8 | 0.094 | |
| 19 | 2 | Strong | 100% | Boundary | 0.3 | 0.15 | 0.85 | 0.079 | |
| 20 | 2 | Strong | 105% | Stochastic | 0.3 | 0.25 | 0.8 | 0.107 | |
| 21 | 2 | Strong | 105% | Stochastic | 0.45 | 0.3 | 0.8 | 0.099 | |
| 22 | 2 | Strong | 110% | Aggregation | 0.75 | 0.25 | 0.95 | 0.087 | |
| 23 | 2 | Strong | 110% | Boundary | 0.6 | 0.05 | 0.75 | 0.128 | |
| 24 | 2 | Strong | 110% | Boundary | 0.9 | 0.1 | 0.9 | 0.098 | |
| 25 | 2 | Moderate | 100% | Aggregation | 0.6 | 0.1 | 0.8 | 0.095 | |
| 26 | 2 | Moderate | 100% | Boundary | 0.15 | 0.25 | 0.9 | 0.09 | |
| 27 | 2 | Moderate | 100% | Boundary | 0.75 | 0.3 | 0.75 | 0.072 | |
| 28 | 2 | Moderate | 105% | Stochastic | 0.15 | 0.2 | 0.75 | 0.129 | |
| 29 | 2 | Moderate | 110% | Aggregation | 0.3 | 0.2 | 1 | 0.104 | |
| 30 | 2 | Moderate | 110% | Aggregation | 0.45 | 0.15 | 1 | 0.093 | |
| 31 | 2 | Weak | 100% | Stochastic | 0.6 | 0.15 | 0.95 | 0.109 | |
| 32 | 2 | Weak | 100% | Stochastic | 0.9 | 0.2 | 0.95 | 0.074 | |
| 33 | 2 | Weak | 105% | Aggregation | 0.15 | 0.1 | 0.85 | 0.218 | |
| 34 | 2 | Weak | 105% | Aggregation | 0.75 | 0.05 | 0.85 | 0.206 | |
| 35 | 2 | Weak | 105% | Boundary | 0.9 | 0.3 | 1 | 0.1 | |
| 36 | 2 | Weak | 110% | Stochastic | 0.45 | 0.05 | 0.9 | 0.165 | |
| Result | Df | Sum Sq | Mean Sq | F Value | Pr (>F) | ||
|---|---|---|---|---|---|---|---|
| Factor | |||||||
| The coverage rate of fixed vehicle detectors | 5 | 0.014674 | 0.002935 | 8.508055 | 0.000281 | *** | |
| The equilibrium degree of spatial distribution of floating cars | 2 | 0.009577 | 0.004788 | 13.88204 | 0.000225 | *** | |
| The penetration rates of floating cars | 5 | 0.019269 | 0.003854 | 11.17234 | 5.16 × 10−5 | *** | |
| The traffic demand level | 2 | 0.005036 | 0.002518 | 7.300287 | 0.004769 | ** | |
| The recognition rate of ALPR equipment | 1 | 0.000858 | 0.000858 | 2.487483 | 0.132167 | ||
| The spatial distribution pattern of fixed vehicle detectors | 2 | 0.001026 | 0.000513 | 1.48711 | 0.252511 | ||
| Residuals | 18 | 0.006209 | 0.000345 | ||||
| The total degrees of freedom and total deviation sum of squares | 35 | 0.056648 | |||||
Disclaimer/Publisher’s Note: The statements, opinions and data contained in all publications are solely those of the individual author(s) and contributor(s) and not of MDPI and/or the editor(s). MDPI and/or the editor(s) disclaim responsibility for any injury to people or property resulting from any ideas, methods, instructions or products referred to in the content. |
© 2024 by the author. Licensee MDPI, Basel, Switzerland. This article is an open access article distributed under the terms and conditions of the Creative Commons Attribution (CC BY) license (https://creativecommons.org/licenses/by/4.0/).
Share and Cite
Hong, R. Analysis of Factors Affecting the Accuracy of MFD Construction in Multisource Complex Data Scenarios. Sustainability 2024, 16, 8018. https://doi.org/10.3390/su16188018
Hong R. Analysis of Factors Affecting the Accuracy of MFD Construction in Multisource Complex Data Scenarios. Sustainability. 2024; 16(18):8018. https://doi.org/10.3390/su16188018
Chicago/Turabian StyleHong, Rongrong. 2024. "Analysis of Factors Affecting the Accuracy of MFD Construction in Multisource Complex Data Scenarios" Sustainability 16, no. 18: 8018. https://doi.org/10.3390/su16188018
APA StyleHong, R. (2024). Analysis of Factors Affecting the Accuracy of MFD Construction in Multisource Complex Data Scenarios. Sustainability, 16(18), 8018. https://doi.org/10.3390/su16188018

