Innovative Eco-Friendly Concrete Utilizing Coconut Shell Fibers and Coir Pith Ash for Sustainable Development
Abstract
1. Introduction
2. Experimental Methodology
2.1. Materials
2.2. Preliminary Investigation and Mix Proportions
3. Testing Methods
3.1. Fresh Concrete and Mechanical Properties
3.2. Durability Properties
3.3. Microstructural Properties
4. Results and Discussions
4.1. Mechanical Properties—Preliminary Test Results
4.1.1. Slump Value
4.1.2. Compressive Strength
4.1.3. Compressive Strength of Concrete with Steel and Coconut Fiber
4.2. Optimised Test Results
4.2.1. Compressive Strength
4.2.2. Split Tensile Strength
4.2.3. Flexural Strength
4.2.4. Ultrasonic Pulse Velocity
4.3. Durability Properties
4.3.1. Water Absorption
4.3.2. Sorptivity
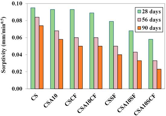
4.3.3. Rapid Chloride Penetration Test
4.4. Microstructural Properties
4.5. Image Processing Technique
5. Conclusions
- The slump value increased with an increase in the percentage of coir pith ash in the concrete. This could be due to the relatively globular shape of CPA particles and the presence of free water due to the reduction in the surface area of particles compared to cement. At an optimized quantity of 10% CPA, the slump value increased by 13%.
- Experimental research has proved that replacing cement with CPA up to 10% enhanced the overall performance of concrete. The compressive, flexural, and split tensile strength is enhanced by 10.36%, 8.75%, and 7.7% compared to control concrete. Through the implementation of CPA, the formation of micro cracks was significantly reduced due to the enhanced cohesiveness of the concrete.
- The addition of steel and coconut fiber reduced the flowability of the concrete because of the fiber’s greater surface area, which increased internal friction between the different ingredients, making the mix less workable.
- The incorporation of fibers into the concrete resulted in a substantial improvement of compressive strength by 30.49% at 28 days.
- The behavior of concrete as it cracks is significantly impacted by the presence of fibers. Fibers can help prevent brittle fracture that occurs shortly after the first crack forms; this makes them a crack-arrester.
- Future research evaluating the possible use of composite materials incorporating agricultural leftovers for construction should take into account the long-term performance of these materials.
Author Contributions
Funding
Institutional Review Board Statement
Informed Consent Statement
Data Availability Statement
Conflicts of Interest
References
- Darweesh, H.H.M. Influence of Sun Flower Stalk Ash (SFSA) on the Behavior of Portland Cement Pastes. Results Eng. 2020, 8, 100171. [Google Scholar] [CrossRef]
- Mugahed Amran, Y.H.; Soto, M.G.; Alyousef, R.; El-Zeadani, M.; Alabduljabbar, H.; Aune, V. Performance Investigation of High-Proportion Saudi-Fly-Ash-Based Concrete. Results Eng. 2020, 6, 100118. [Google Scholar] [CrossRef]
- Ranatunga, K.S.; del Rey Castillo, E.; Toma, C.L. Evaluation of the Optimal Concrete Mix Design with Coconut Shell Ash as a Partial Cement Replacement. Constr. Build. Mater. 2023, 401, 132978. [Google Scholar] [CrossRef]
- Sundaresan, S.; Ramamurthy, V.; Meyappan, N. Improving Mechanical and Durability Properties of Hypo Sludge Concrete with Basalt Fibres and SBR Latex. Adv. Concr. Constr. 2021, 12, 327–337. [Google Scholar] [CrossRef]
- Srividhya, S.; Vidjeapriya, R. Influence of Basalt Fibres on the Flexural Performance of Hypo Sludge Reinforced Concrete Beams with SBR Latex. Struct. Eng. Mech. 2023, 87, 615–624. [Google Scholar] [CrossRef]
- Srividhya, S.; Vidjeapriya, R.; Neelamegam, M. Enhancing the Performance of Hyposludge Concrete Beams Using Basalt Fiber and Latex under Cyclic Loading. Comput. Concr. 2021, 28, 93–105. [Google Scholar] [CrossRef]
- Iqbal, M.A.; Sahar, U.U.; Bahrami, A.; Yaseen, N.; Siddique, I. Development of Sugarcane Bagasse Ash Blended Cementitious Composites Reinforced with Carbon Nanotubes and Polypropylene Fibers. J. Compos. Sci. 2024, 8, 94. [Google Scholar] [CrossRef]
- Endale, S.A.; Taffese, W.Z.; Vo, D.H.; Yehualaw, M.D. Rice Husk Ash in Concrete. Sustainability 2023, 15, 137. [Google Scholar] [CrossRef]
- Sivakumar, S.; Prakash, R.; Srividhya, S.; Vikram, A.S.V. A Novel Analytical Evaluation of the Laboratory-Measured Mechanical Properties of Lightweight Concrete. Struct. Eng. Mech. 2023, 87, 221–229. [Google Scholar] [CrossRef]
- Sivakumar, A.; Srividhya, S.; Prakash, R.; Subbarayan, M.R. Exploring the Effects of Eco-Friendly and Biodegradable Biocomposite with PLA Incorporating Eggshell and Walnut Powder as Fillers. Glob. Nest J. 2024, 26, 1–6. [Google Scholar] [CrossRef]
- Sivakumar, A.; Srividhya, S.; Prakash, R.; Padma, S. Properties of Biocomposites from Waste Eggshell as Fillers. Glob. Nest J. 2023, 25, 109–115. [Google Scholar] [CrossRef]
- Waqar, A.; Bheel, N.; Almujibah, H.R.; Benjeddou, O.; Alwetaishi, M.; Ahmad, M.; Sabri, M.M.S. Effect of Coir Fibre Ash (CFA) on the Strengths, Modulus of Elasticity and Embodied Carbon of Concrete Using Response Surface Methodology (RSM) and Optimization. Results Eng. 2023, 17, 100883. [Google Scholar] [CrossRef]
- Sumesh, K.R.; Kavimani, V.; Rajeshkumar, G.; Indran, S.; Saikrishnan, G. Effect of Banana, Pineapple and Coir Fly Ash Filled with Hybrid Fiber Epoxy Based Composites for Mechanical and Morphological Study. J. Mater. Cycles Waste Manag. 2021, 23, 1277–1288. [Google Scholar] [CrossRef]
- Balagopal, V.; Viswanathan, T.S. Evaluation of Mechanical and Durability Performance of Coir Pith Ash Blended Cement Concrete. Civ. Eng. Archit. 2020, 8, 1028–1038. [Google Scholar] [CrossRef]
- Jumaidin, R.; Diah, N.A.; Ilyas, R.A.; Alamjuri, R.H.; Yusof, F.A.M. Processing and Characterisation of Banana Leaf Fibre Reinforced Thermoplastic Cassava Starch Composites. Polymers 2021, 13, 1420. [Google Scholar] [CrossRef]
- Gomes, M.d.G.; Bogas, J.A.; Real, S.; Moret Rodrigues, A.; Machete, R. Thermal Performance Assessment of Lightweight Aggregate Concrete by Different Test Methods. Sustainability 2023, 15, 11105. [Google Scholar] [CrossRef]
- Prakash, R.; Thenmozhi, R.; Raman, S.N. Mechanical Characterisation and Flexural Performance of Eco-Friendly Concrete Produced with Fly Ash as Cement Replacement and Coconut Shell Coarse Aggregate. Int. J. Environ. Sustain. Dev. 2019, 18, 131–148. [Google Scholar] [CrossRef]
- Alengaram, U.J.; Muhit, B.A.A.; Jumaat, M.Z. Bin Utilization of Oil Palm Kernel Shell as Lightweight Aggregate in Concrete—A Review. Constr. Build. Mater. 2013, 38, 161–172. [Google Scholar] [CrossRef]
- Yap, S.P.; Alengaram, U.J.; Jumaat, M.Z.; Khaw, K.R. Torsional and Cracking Characteristics of Steel Fiber-Reinforced Oil Palm Shell Lightweight Concrete. J. Compos. Mater. 2016, 50, 115–128. [Google Scholar] [CrossRef]
- Mouli, M.; Khelafi, H. Performance Characteristics of Lightweight Aggregate Concrete Containing Natural Pozzolan. Build. Environ. 2008, 43, 31–36. [Google Scholar] [CrossRef]
- Prakash, R.; Thenmozhi, R.; Raman, S.N.; Subramanian, C. Fibre Reinforced Concrete Containing Waste Coconut Shell Aggregate, Fly Ash and Polypropylene Fibre. Rev. Fac. Ing. Univ. Antioq. 2020, 94, 33–42. [Google Scholar] [CrossRef]
- Stel’makh, S.A.; Beskopylny, A.N.; Shcherban’, E.M.; Mailyan, L.R.; Meskhi, B.; Shilov, A.A.; El’shaeva, D.; Chernil’nik, A.; Kurilova, S. Alteration of Structure and Characteristics of Concrete with Coconut Shell as a Substitution of a Part of Coarse Aggregate. Materials 2023, 16, 4422. [Google Scholar] [CrossRef] [PubMed]
- Gunasekaran, K.; Ramasubramani, R.; Annadurai, R.; Prakash Chandar, S. Study on Reinforced Lightweight Coconut Shell Concrete Beam Behavior under Torsion. Mater. Des. 2014, 57, 374–382. [Google Scholar] [CrossRef]
- Prakash, R.; Thenmozhi, R.; Raman, S.N.; Subramanian, C.; Divyah, N. An Investigation of Key Mechanical and Durability Properties of Coconut Shell Concrete with Partial Replacement of Fly Ash. Struct. Concr. 2021, 22, E985–E996. [Google Scholar] [CrossRef]
- Hamoush, S.; Abu-Lebdeh, T.; Cummins, T. Deflection Behavior of Concrete Beams Reinforced with PVA Micro-Fibers. Constr. Build. Mater. 2010, 24, 2285–2293. [Google Scholar] [CrossRef]
- Yew, M.K.; Mahmud, H.B.; Ang, B.C.; Yew, M.C. Influence of Different Types of Polypropylene Fibre on the Mechanical Properties of High-Strength Oil Palm Shell Lightweight Concrete. Constr. Build. Mater. 2015, 90, 36–43. [Google Scholar] [CrossRef]
- Ku, H.; Wang, H.; Pattarachaiyakoop, N.; Trada, M. A Review on the Tensile Properties of Natural Fiber Reinforced Polymer Composites. Compos. Part B Eng. 2011, 42, 856–873. [Google Scholar] [CrossRef]
- Ahmed, S.; Hussain, A.; Hussain, Z.; Pu, Z.; Ostrowski, K.A.; Walczak, R. Effect of Carbon Black and Hybrid Steel-Polypropylene Fiber on the Mechanical and Self-Sensing Characteristics of Concrete Considering Different Coarse Aggregates’ Sizes. Materials 2021, 14, 7455. [Google Scholar] [CrossRef] [PubMed]
- Nasir, V.; Karimipour, H.; Taheri-Behrooz, F.; Shokrieh, M.M. Corrosion Behaviour and Crack Formation Mechanism of Basalt Fibre in Sulphuric Acid. Corros. Sci. 2012, 64, 1–7. [Google Scholar] [CrossRef]
- IS 12269: 2013; Ordinary Portland Cement, 53 Grade Specification. Indian Standard. Bureau of Indian Standards (BIS): Delhi, India, 2013; pp. 1–14.
- IS 383:1970; Specification for Coarse and Fine Aggregates From Natural Sources for Concrete. Indian Standard. Bureau of Indian Standards (BIS): Delhi, India, 1970; pp. 1–24.
- IS 516-1959 (Reaffirmed 2004); IS 516:2014 Method of Tests for Strength of Concrete. Bureau of Indian Standards (BIS): New Delhi, India, 2004. [CrossRef]
- BIS:5816; Indian Standard Splitting Tensile Strength of Concrete—Method of Test. Bureau of Indian Standards (BIS): New Delhi, India, 1999; pp. 1–14.
- IS 13311; (Part 1) Method of Non-Destructive Testing of Concret, Part 1: Ultrasonic Pulse Velocity. Bureau of Indian Standards (BIS): New Delhi, India, 1992; pp. 1–14.
- ASTM C642; Standard Test Method for Density, Absorption, and Voids on Hardened Concrete. ASTM: West Conshohocken, PA, USA, 2022.
- ASTM C1585:2007; Test Method for Measurement of Rate of Absorption of Water by Hydraulic-Cement Concretes. ASTM: West Conshohocken, PA, USA, 2007; pp. 1–6.
- ASTM C1202; Standard Test Method for Electrical Indication of Concrete’s Ability to Resist Chloride Ion Penetration. ASTM: West Conshohocken, PA, USA, 2012.
- Tan, W.F.; Wang, L.A.; Chuang, H.; Liu, Y.Y.; Green, J.E.; Newport, D.; Green, T. Utilization of Municipal Solid Waste Incineration Fly Ash in Lightweight Aggregates. J. Cent. South Univ. Technol. (English Ed.) 2012, 19, 835–841. [Google Scholar] [CrossRef]
- Alex, J.; Dhanalakshmi, J.; Ambedkar, B. Experimental Investigation on Rice Husk Ash as Cement Replacement on Concrete Production. Constr. Build. Mater. 2016, 127, 353–362. [Google Scholar] [CrossRef]
- Zanoni, L.; Boysen, A.; Carlson, M.; Harris, J. The Benefits of Using Porous Asphalt Pavement in Comparison with Other Forms of Pervious Pavements; University of Illinois at Chicago: Chicago, IL, USA, 2019. [Google Scholar]
- Madandoust, R.; Ranjbar, M.M.; Moghadam, H.A.; Mousavi, S.Y. Mechanical Properties and Durability Assessment of Rice Husk Ash Concrete. Biosyst. Eng. 2011, 110, 144–152. [Google Scholar] [CrossRef]
- Abu-Lebdeh, T.; Hamoush, S.; Heard, W.; Zornig, B. Effect of Matrix Strength on Pullout Behavior of Steel Fiber Reinforced Very-High Strength Concrete Composites. Constr. Build. Mater. 2011, 25, 39–46. [Google Scholar] [CrossRef]
- Shafigh, P.; Mahmud, H.; Jumaat, M.Z. Effect of Steel Fiber on the Mechanical Properties of Oil Palm Shell Lightweight Concrete. Mater. Des. 2011, 32, 3926–3932. [Google Scholar] [CrossRef]
- Sobuz, M.H.R.; Islam, M.S.; Akid, A.S.M.; Datta, S.D.; Alahmari, T.S.; Hasan, N.M.S.; Khondoker, M.T.H.; Aditto, F.S. Mechanical Properties and Flexural Response of Palm Shell Aggregate Lightweight Reinforced Concrete Beam. Sustainability 2023, 15, 15783. [Google Scholar] [CrossRef]
- Campione, G.; Miraglia, N.; Papia, M. Mechanical Properties of Steel Fibre Reinforced Lightweight Concrete with Pumice Stone or Expanded Clay Aggregates. Mater. Struct. Constr. 2001, 34, 201–210. [Google Scholar] [CrossRef]
- Wang, H.T.; Wang, L.C. Experimental Study on Static and Dynamic Mechanical Properties of Steel Fiber Reinforced Lightweight Aggregate Concrete. Constr. Build. Mater. 2013, 38, 1146–1151. [Google Scholar] [CrossRef]
- Ahmad, J.; Manan, A.; Ali, A.; Khan, M.W.; Asim, M.; Zaid, O. A Study on Mechanical and Durability Aspects of Concrete Modified with Steel Fibers (SFS). Civ. Eng. Archit. 2020, 8, 814–823. [Google Scholar] [CrossRef]
- Gencel, O.; Brostow, W.; Datashvili, T.; Thedford, M. Workability and Mechanical Performance of Steel Fiber-Reinforced Self-Compacting Concrete with Fly Ash. Compos. Interfaces 2011, 18, 169–184. [Google Scholar] [CrossRef]
- Gao, J.; Sun, W.; Morino, K. Mechanical Properties of Steel Fiber-Reinforced, High-Strength, Lightweight Concrete. Cem. Concr. Compos. 1997, 19, 307–313. [Google Scholar] [CrossRef]
- Köksal, F.; Altun, F.; Yiǧit, I.; Şahin, Y. Combined Effect of Silica Fume and Steel Fiber on the Mechanical Properties of High Strength Concretes. Constr. Build. Mater. 2008, 22, 1874–1880. [Google Scholar] [CrossRef]
- Kizinievič, O.; Kizinievič, V.; Malaiškienė, J. Analysis of the Effect of Paper Sludge on the Properties, Microstructure and Frost Resistance of Clay Bricks. Constr. Build. Mater. 2018, 169, 689–696. [Google Scholar] [CrossRef]
- Ahmad, J.; Aslam, F.; Zaid, O.; Alyousef, R.; Alabduljabbar, H. Mechanical and Durability Characteristics of Sustainable Concrete Modified with Partial Substitution of Waste Foundry Sand. Struct. Concr. 2021, 22, 2775–2790. [Google Scholar] [CrossRef]
- Hall, C.; Raymond Yau, M.H. Water Movement in Porous Building Materials-IX. The Water Absorption and Sorptivity of Concretes. Build. Environ. 1987, 22, 77–82. [Google Scholar] [CrossRef]
- Waterschoot, J.; Gomand, S.V.; Fierens, E.; Delcour, J.A. Production, Structure, Physicochemical and Functional Properties of Maize, Cassava, Wheat, Potato and Rice Starches. Starch/Staerke 2015, 67, 14–29. [Google Scholar] [CrossRef]
- Chia, K.S.; Zhang, M.H. Water Permeability and Chloride Penetrability of High-Strength Lightweight Aggregate Concrete. Cem. Concr. Res. 2002, 32, 639–645. [Google Scholar] [CrossRef]

















| Composition | SiO2 | Cao | Fe2O3 | Al2O3 | MgO | SO3 | K2O | Na2O | TiO2 | KCL |
|---|---|---|---|---|---|---|---|---|---|---|
| Cement (%) | 23.00 | 64.00 | 2.00 | 4.00 | 2.00 | 2.00 | 1.00 | 1.00 | - | - |
| Coir pith ash (%) | 34.50 | 14.40 | 4.34 | 1.76 | 2.84 | - | 0.50 | 1.00 | 2.76 | 17.38 |
| Properties | Length (mm) | Diameter (mm) | Aspect ratio | Tensile Strength (MPa) | Density (kg/m3) |
|---|---|---|---|---|---|
| Steel fiber | 50 | 1.0 | 1 | 1100 | 7850 |
| Coconut fiber | 25 | 0.5 | 0.25 | 405 | 6800 |
| S.No | Mix Id | Description |
|---|---|---|
| 1 | CS | Coconut shell concrete |
| 2 | CSA10 | CS + 10% CPA |
| 3 | CSSF | CS + 1% SF |
| 4 | CSCF | CS + 0.3% CF |
| 5 | CSA10SF | CS + 10% CPA + 1% SF |
| 6 | CSA10CF | CS + 10% CPA + 0.3% CF |
| 7 | CSA10CSF | CS + 10% CPA + 0.75% SF + 0.25% CF |
| Mix Id | w/b | Coir Pith Ash (kg/m3) | Cement (kg/m3) | FA (kg/m3) | CSA (kg/m3) | SP (%) | Steel Fiber (%) | Coconut Fiber (%) |
|---|---|---|---|---|---|---|---|---|
| CS | 0.33 | 0 | 510 | 750 | 332 | 1.2 | - | - |
| CSA10 | 0.33 | 52 | 458 | 750 | 332 | 1.2 | - | - |
| CSSF | 0.33 | 0 | 510 | 750 | 332 | 1.2 | 1.00 | - |
| CSCF | 0.33 | 0 | 510 | 750 | 332 | 1.2 | - | 0.30 |
| CSA10SF | 0.33 | 52 | 458 | 750 | 332 | 1.2 | 1.00 | - |
| CSA10CF | 0.33 | 52 | 458 | 750 | 332 | 1.2 | - | 0.30 |
| CSA10CSF | 0.33 | 52 | 458 | 750 | 332 | 1.2 | 0.75 | 0.25 |
| S.No | Mix Id | UPV 28 Days | Compressive Strength 28 Days |
|---|---|---|---|
| 1 | CS | 3.70 | 30.70 |
| 2 | CSA10 | 3.90 | 33.88 |
| 3 | CSSF | 3.95 | 32.98 |
| 4 | CSCF | 4.00 | 35.97 |
| 5 | CSA10SF | 4.10 | 36.18 |
| 6 | CSA10CF | 4.21 | 38.04 |
| 7 | CSA10CSF | 4.23 | 40.06 |
Disclaimer/Publisher’s Note: The statements, opinions and data contained in all publications are solely those of the individual author(s) and contributor(s) and not of MDPI and/or the editor(s). MDPI and/or the editor(s) disclaim responsibility for any injury to people or property resulting from any ideas, methods, instructions or products referred to in the content. |
© 2024 by the authors. Licensee MDPI, Basel, Switzerland. This article is an open access article distributed under the terms and conditions of the Creative Commons Attribution (CC BY) license (https://creativecommons.org/licenses/by/4.0/).
Share and Cite
Satheesh Kumar, S.; Murugesan, R.; Sivaraja, M.; Athijayamani, A. Innovative Eco-Friendly Concrete Utilizing Coconut Shell Fibers and Coir Pith Ash for Sustainable Development. Sustainability 2024, 16, 5316. https://doi.org/10.3390/su16135316
Satheesh Kumar S, Murugesan R, Sivaraja M, Athijayamani A. Innovative Eco-Friendly Concrete Utilizing Coconut Shell Fibers and Coir Pith Ash for Sustainable Development. Sustainability. 2024; 16(13):5316. https://doi.org/10.3390/su16135316
Chicago/Turabian StyleSatheesh Kumar, Sivasamy, Ramasamy Murugesan, Muthusamy Sivaraja, and Anand Athijayamani. 2024. "Innovative Eco-Friendly Concrete Utilizing Coconut Shell Fibers and Coir Pith Ash for Sustainable Development" Sustainability 16, no. 13: 5316. https://doi.org/10.3390/su16135316
APA StyleSatheesh Kumar, S., Murugesan, R., Sivaraja, M., & Athijayamani, A. (2024). Innovative Eco-Friendly Concrete Utilizing Coconut Shell Fibers and Coir Pith Ash for Sustainable Development. Sustainability, 16(13), 5316. https://doi.org/10.3390/su16135316
