The Integration of Renewable Energy into a Fossil Fuel Power Generation System in Oil-Producing Countries: A Case Study of an Integrated Solar Combined Cycle at the Sarir Power Plant
Abstract
1. Background and Motivation
2. Potential of RE Resources in Libya
3. Hybrid Power Generation
3.1. CSP–Fossil Hybridization
3.2. Hybridization of CSP with Other RE Sources
4. Model Description and Methodology
- The system’s steady-state operating conditions are considered.
- Kinetic and potential energies are not considered.
- The compressor, pump, and turbines operate in an adiabatic process.
- Isentropic efficiency is considered for turbines, pumps, and compressors.
- There is no heat dissipation or pressure loss in heat exchangers and pipes.
4.1. Economic Model
4.2. Environmental Model
5. Validation
6. Simulation Results and Discussion
7. Conclusions and Future Work
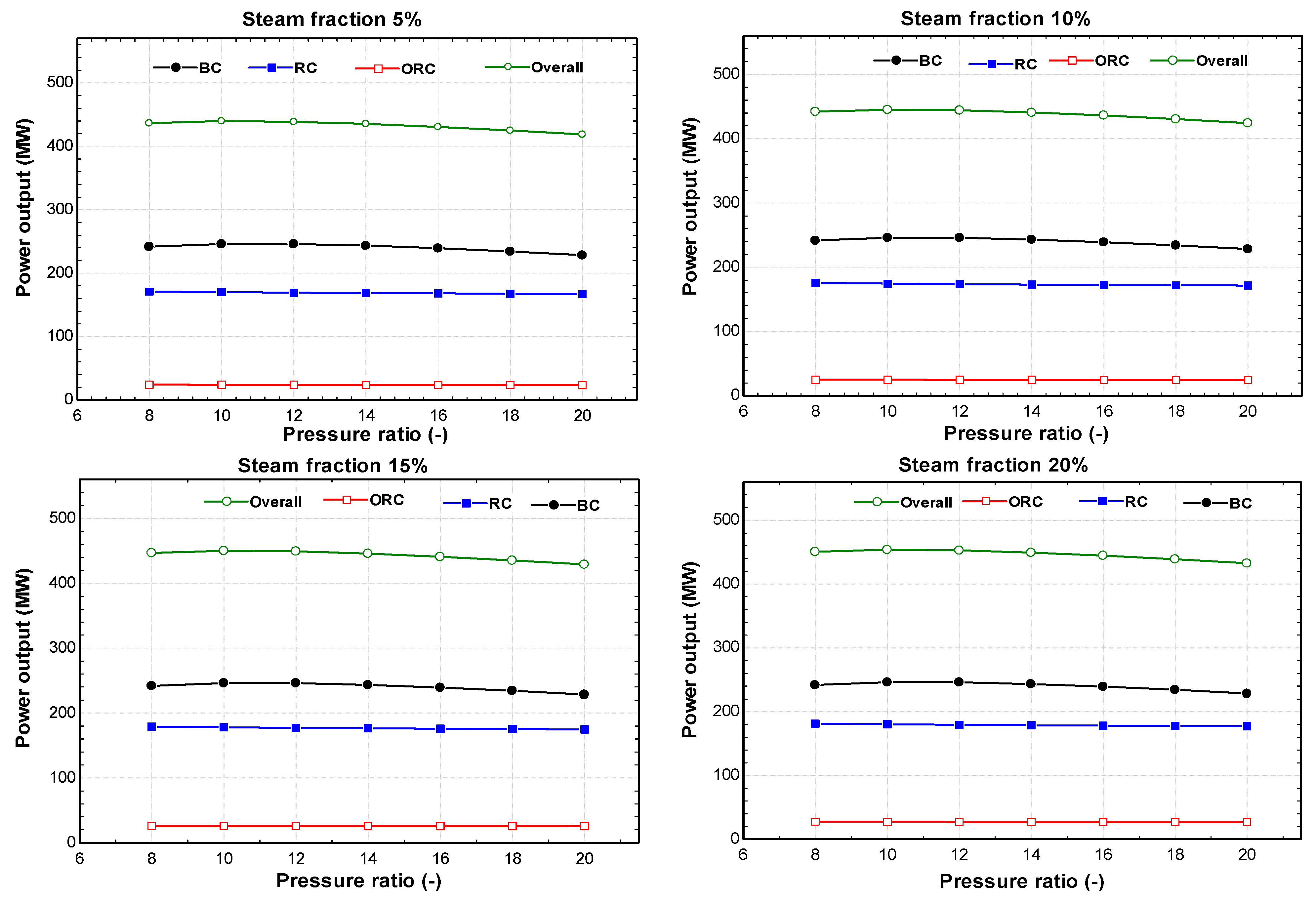
- The monthly overall power production is dependent on the BC pressure ratio change. It was found that the overall power output is proportionally related to the pressure ratio (up to a certain amount) but then starts to decline afterwards.
- The triple integrated model raises the plant capacity from 245.8 MW to 452.7 MW in June at a cycle pressure ratio of 12 and a 20% steam fraction in the steam Rankine cycle. The overall efficiency of the triple power generation system increased to 42.42% in June instead of 33.5% (for the single-cycle GT).
- The increment in the fraction of extracted steam yields an increase in the overall system efficiency as well as an increase in the power produced under the examined working conditions.
- The power production of the Rankine cycle is proportionally related to the fraction of steam extracted under all considered operating conditions.
- The triple integrated model raises the plant capacity from 261.7 MW to 416 MW in December when steam fractions in the steam Rankine cycle increase from 5% to 20%.
- The highest power output of 452.9 MW was achieved in July due to the higher amount of DNI.
- The DNI affects the exergy destruction percentage of the solar collector, which increases in the summer and decreases in the winter. The solar collector comprises approximately 29% of the total amount in June.
- The capital investment cost for the BC model is higher than that of the triple integrated model. The capital investment cost for the triple integrated model varies between 52.59 and 58.19 USD/MWh, whereas it ranges between 63.38 and 66.18 USD/MWh for the BC model.
- The ISCC system is ecosystem friendly. Carbon mitigation for the ISCC can reach up to 46% compared to the base Brayton cycle unit.
Author Contributions
Funding
Institutional Review Board Statement
Informed Consent Statement
Data Availability Statement
Acknowledgments
Conflicts of Interest
Nomenclature and Abbreviations
| area of solar field (m2) | |
| Ɛ | emission (kg/MWh) |
| exergy rate (kJ) | |
| exergy destruction rate (kJ) | |
| h | specific enthalpy (kJ kg−1) |
| fuel’s mass flow rate (kg s−1) | |
| heat transfer rate (kW) | |
| power (kW) | |
| capital cost, USD/MJ | |
| efficiency | |
| maintenance factor | |
| i | interest rate |
| DNI | direct normal irradiance of sun |
| AC | air compressor |
| BC | Brayton cycle |
| CC | combustion chamber |
| Con | condenser |
| CRF | capital recovery factor |
| GT | gas turbine |
| HRSG | heat recovery steam generation |
| HPST | high-pressure steam turbine |
| ISCC | integrated solar combined cycle |
| fuel’s lower heating value | |
| LPST | low-pressure steam turbine |
| N | number of operating hours |
| ORC | organic Rankine cycle |
| ORT | organic Rankine cycle turbine |
| P | pump |
| PTC | parabolic trough collector |
| RC | Rankine cycle |
| RE | renewable energy |
| ST | steam turbine |
| k | equipment |
| LEC | levelized energy cost |
| Pr | pressure ratio |
| log mean temperature difference |
References
- Yu, C.; Yu, J.; Gao, D. Smart Cities and Greener Futures: Evidence from a Quasi-Natural Experiment in China’s Smart City Construction. Sustainability 2024, 16, 929. [Google Scholar] [CrossRef]
- Maka, A.O.M.; Salem, S.; Mehmood, M. Solar photovoltaic (PV) applications in Libya: Challenges, potential, opportunities and future perspectives. Clean. Eng. Technol. 2021, 5, 100267. [Google Scholar] [CrossRef]
- Almaktar, M.; Elbreki, A.M.; Shaaban, M. Revitalizing operational reliability of the electrical energy system in Libya: Feasibility analysis of solar generation in local communities. J. Clean. Prod. 2021, 279, 123647. [Google Scholar] [CrossRef] [PubMed]
- Eshtabvi, S.; Aburwais, M.; Elayeb, M.; Abozaea, M.; Shetwan, M. Rooftop PV systems as a solution to the electrical power shortage in Libya. In Proceedings of the 13th Mediterranean Conference on Power Generation, Transmission, Distribution and Energy Conversion (MEDPOWER 2022), Valletta, Malta, 7–9 November 2022; pp. 441–447. [Google Scholar]
- Almaktar, M.; Shaaban, M. Prospects of renewable energy as a non-rivalry energy alternative in Libya. Renew. Sustain. Energy Rev. 2021, 143, 110852. [Google Scholar] [CrossRef]
- Ehtiwesh, A.; Kultu, C.; Su, Y.; Riffat, S. Modelling and performance evaluation of a direct steam generation solar power system coupled with steam accumulator to meet electricity demands for a hospital under typical climate conditions in Libya. Renew. Energy 2023, 206, 795–807. [Google Scholar] [CrossRef]
- Africa Energy Outlook 2019; International Energy Agency (IEA): Paris, France, 2019; pp. 1–288.
- United State Environmental Protection Agency (USEPA). Future Climate Change. [Online]. Available online: https://www.epa.gov/climatechange-science (accessed on 18 April 2024).
- Crippa, M.; Guizzardi, D.; Banja, M.; Solazzo, E.; Muntean, M.; Schaaf, E.; Pagani, F.; Monforti-Ferrario, F.; Olivier, J.G.J.; Quadrelli, R.; et al. Fossil CO2 and GHG Emissions of all World Countries; 2022 Report Publications; Office of the EU: Brussels, Belgium, 2022. [Google Scholar] [CrossRef]
- Bindra, R.H.; Soul, F.; Jabu, S.D.; Allawafi, A.; Belashher, A.M. Potentials and Prospects of Renewables in Libya. In Progress in Clean Energy; Springer: Berlin/Heidelberg, Germany, 2015; Volume 2. [Google Scholar] [CrossRef]
- Rajab, Z.; Almaktar, M.; Al-naily, N.; Mohamed, F.A.; Technology, E. Modeling approach to evaluate wind turbine performance: Case study for a single wind turbine of 1.65 MW in Dernah Libya. In Proceedings of the 2017 8th International Renewable Energy Congress (IREC), Amman, Jordan, 21–23 March 2017; pp. 9–13. [Google Scholar]
- Aliyu, A.K.; Modu, B.; Tan, C.W. A review of renewable energy development in Africa: A focus in South Africa, Egypt and Nigeria. Renew. Sustain. Energy Rev. 2018, 81, 2502–2518. [Google Scholar] [CrossRef]
- REAoL. National Plan for Developing the Renewable Energy in Libya (2013–2025), Renewable Energy Authority of Libya. no. September 2012, pp. 1–36. 2012. Available online: https://faolex.fao.org/docs/pdf/lib217399E.pdf (accessed on 18 April 2024).
- Mohamed, A.M.A.; Al-Habaibeh, A.; Abdo, H. An investigation into the current utilisation and prospective of renewable energy resources and technologies in Libya. Renew. Energy 2013, 50, 732–740. [Google Scholar] [CrossRef]
- Musi, R.; Grange, B.; Sgouridis, S.; Guedez, R.; Armstrong, P.; Slocum, A.; Calvet, N. Techno-economic analysis of concentrated solar power plants in terms of levelized cost of electricity. AIP Conf. Proc. 2017, 1850, 160018. [Google Scholar] [CrossRef]
- Portal, N.O.D. Prediction Of Worldwide Energy Resources (POWER). [Online]. Available online: https://data.nasa.gov/Earth-Science/Prediction-Of-Worldwide-Energy-Resources-POWER-/wn3p-qsan (accessed on 18 April 2024).
- Almaktar, M.; Albreki, A.M.; Mohamed, F.A.; Yahya, K.; Hussein, T. Performance evaluation of different solar photovoltaic technologies in Libya. In Proceedings of the 2020 11th International Renewable Energy Congress (IREC), Hammamet, Tunisia, 29–31 October 2020; pp. 2–6. [Google Scholar] [CrossRef]
- Abbasi, K.R.; Shahbaz, M.; Zhang, J.; Irfan, M.; Alvarado, R. Analyze the environmental sustainability factors of China: The role of fossil fuel energy and renewable energy. Renew. Energy 2022, 187, 390–402. [Google Scholar] [CrossRef]
- Soares, J.; Oliveira, A.C. Numerical simulation of a hybrid concentrated solar power/biomass mini power plant. Appl. Therm. Eng. 2017, 111, 1378–1386. [Google Scholar] [CrossRef]
- Abd El-Aziz, R.M. Renewable power source energy consumption by hybrid machine learning model. Alex. Eng. J. 2022, 61, 9447–9455. [Google Scholar] [CrossRef]
- Qin, J.; Hu, E.; Li, X. Solar aided power generation: A review. Energy Built Environ. 2020, 1, 11–26. [Google Scholar] [CrossRef]
- Overland, I.; Juraev, J.; Vakulchuk, R. Are renewable energy resources more evenly distributed than fossil fuels? Renew. Energy 2022, 200, 379–386. [Google Scholar] [CrossRef]
- Stein, W.H.; Buck, R. Advanced power cycles for concentrated solar power. Sol. Energy 2017, 152, 91–105. [Google Scholar] [CrossRef]
- Chavan, S.; Rudrapati, R.; Manickam, S. A comprehensive review on current advances of thermal energy storage and its applications. Alex. Eng. J. 2022, 61, 5455–5463. [Google Scholar] [CrossRef]
- David, V.; Borri, E.; Zsembinszki, G.; Cabeza, L.F. Thermal energy storage co-benefits in building applications transferred from a renewable energy perspective. J. Energy Storage 2023, 58, 106344. [Google Scholar] [CrossRef]
- Rashid, K.; Mohammadi, K.; Powell, K. Dynamic simulation and techno-economic analysis of a concentrated solar power (CSP) plant hybridized with both thermal energy storage and natural gas. J. Clean. Prod. 2020, 248, 119193. [Google Scholar] [CrossRef]
- Hern, C.; Felbol, C.; Teresa, M.; Ibarra, M. Theoretical technical—economic comparison of hybrid energy for gas and solar concentration plants in the Region of Antofagasta Chile. Sustain. Energy Technol. Assess. 2023, 55, 102979. [Google Scholar] [CrossRef]
- Zhai, R.; Liu, H.; Li, C.; Zhao, M.; Yang, Y. Analysis of a solar-aided coal-fired power generation system based on thermo-economic structural theory. Energy 2016, 102, 375–387. [Google Scholar] [CrossRef]
- Prosin, T.; Pryor, T.; Creagh, C.; Amsbeck, L.; Buck, R. Hybrid Solar and Coal-fired Steam Power Plant with Air Preheating Using a Centrifugal Solid Particle Receiver. Energy Procedia 2015, 69, 1371–1381. [Google Scholar] [CrossRef]
- Libby, C.; Golden, J.; Bedilion, R.; Turchi, C. Assessment of direct steam generation technologies for solar thermal augmented steam cycle applications. Energy Procedia 2014, 49, 1420–1428. [Google Scholar] [CrossRef]
- Parvareh, F.; Sharma, M.; Qadir, A.; Milani, D.; Khalilpour, R.; Chiesa, M.; Abbas, A. Integration of solar energy in coal-fired power plants retrofitted with carbon capture: A review. Renew. Sustain. Energy Rev. 2014, 38, 1029–1044. [Google Scholar] [CrossRef]
- Shrivastava, A.; Prabu, V. Tr fossil power generationhermodynamic analysis of solar energy integrated underground coal gasification in the context of cleane. Energy Convers. Manag. 2016, 110, 67–77. [Google Scholar] [CrossRef]
- Powell, K.M.; Rashid, K.; Ellingwood, K.; Tuttle, J.; Iverson, B.D. Hybrid concentrated solar thermal power systems: A review. Renew. Sustain. Energy Rev. 2017, 80, 215–237. [Google Scholar] [CrossRef]
- Kayadelen, H.K.; Ust, Y.; Bashan, V. Thermodynamic performance analysis of state of the art gas turbine cycles with inter-stage turbine reheat and steam injection. Energy 2021, 222, 119981. [Google Scholar] [CrossRef]
- Ahmadi, M.H.; Nazari, M.A.; Ghasempour, R.; Pourfayaz, F.; Rahimzadeh, M.; Ming, T. A review on solar-assisted gas turbines. Energy Sci. Eng. 2018, 6, 658–674. [Google Scholar] [CrossRef]
- Livshits, M.; Kribus, A. Solar hybrid steam injection gas turbine (STIG) cycle. Sol. Energy 2012, 86, 190–199. [Google Scholar] [CrossRef]
- Kelly, B.; Herrmann, U.; Hale, M.J. Optimization studies for integrated solar combined cycle systems. In Proceedings of the International Solar Energy Conference, Washington, DC, USA, 21–25 April 2001; pp. 393–398. [Google Scholar] [CrossRef]
- Semprini, S.; Sánchez, D.; De Pascale, A. Performance analysis of a micro gas turbine and solar dish integrated system under different solar-only and hybrid operating conditions. Sol. Energy 2016, 132, 279–293. [Google Scholar] [CrossRef]
- Mokheimer, E.M.A.; Dabwan, Y.N.; Habib, M.A. Optimal integration of solar energy with fossil fuel gas turbine cogeneration plants using three different CSP technologies in Saudi Arabia. Appl. Energy 2017, 185, 1268–1280. [Google Scholar] [CrossRef]
- Aichmayer, L.; Spelling, J.; Laumert, B. Thermoeconomic Analysis of a Solar Dish Micro Gas-turbine Combined-cycle Power Plant. Energy Procedia 2015, 69, 1089–1099. [Google Scholar] [CrossRef]
- Quero, M.; Korzynietz, R.; Ebert, M.; Jiménez, A.A.; Del Río, A.; Solugas, J.A.B. Operation experience of the first solar hybrid gas turbine system at MW scale. Energy Procedia 2014, 49, 1820–1830. [Google Scholar] [CrossRef]
- Sarkar, J.; Bhattacharyya, S. Application of graphene and graphene-based materials in clean energy-related devices Minghui. Arch. Thermodyn. 2012, 33, 23–40. [Google Scholar]
- Kalathakis, C.; Aretakis, N.; Roumeliotis, I.; Alexiou, A.; Mathioudakis, K. Assessment of Solar Gas Turbine Hybridization Schemes. J. Eng. Gas Turbines Power 2017, 139, 061701. [Google Scholar] [CrossRef]
- He, Y.; Zheng, S.; Xiao, G. Solar hybrid steam-injected gas turbine system with novel heat and water recovery. J. Clean. Prod. 2020, 276, 124268. [Google Scholar] [CrossRef]
- Baharoon, D.A.; Rahman, H.A.; Omar, W.Z.W.; Fadhl, S.O. Historical development of concentrating solar power technologies to generate clean electricity efficiently—A review. Renew. Sustain. Energy Rev. 2015, 41, 996–1027. [Google Scholar] [CrossRef]
- Pramanik, S.; Ravikrishna, R.V. A review of concentrated solar power hybrid technologies. Appl. Therm. Eng. 2017, 127, 602–637. [Google Scholar] [CrossRef]
- Edgar, T.F.; Powell, K.M. Energy intensification using thermal storage. Curr. Opin. Chem. Eng. 2015, 9, 83–88. [Google Scholar] [CrossRef]
- Botamede, B.B.; Saviano, L.O. Thermodynamic analysis of concentrated solar energy layouts integrated with combined power system. Appl. Therm. Eng. 2023, 229, 120618. [Google Scholar] [CrossRef]
- Alqahtani, B.J.; Patiño-Echeverri, D. Integrated Solar Combined Cycle Power Plants: Paving the way for thermal solar. Appl. Energy 2016, 169, 927–936. [Google Scholar] [CrossRef]
- Zhu, G.; Neises, T.; Turchi, C.; Bedilion, R. Thermodynamic evaluation of solar integration into a natural gas combined cycle power plant. Renew. Energy 2015, 74, 815–824. [Google Scholar] [CrossRef]
- Behar, O.; Khellaf, A.; Mohammedi, K.; Ait-Kaci, S. A review of integrated solar combined cycle system (ISCCS) with a parabolic trough technology. Renew. Sustain. Energy Rev. 2014, 39, 223–250. [Google Scholar] [CrossRef]
- Iulianelli, A.; Liguori, S.; Wilcox, J.; Basile, A. Advances on methane steam reforming to produce hydrogen through membrane reactors technology: A review. Catal. Rev.-Sci. Eng. 2016, 58, 1–35. [Google Scholar] [CrossRef]
- EShagdar, S.; Lougou, B.G.; Shuai, Y.; Ganbold, E.; Chinonso, O.P.; Tan, H. Process analysis of solar steam reforming of methane for producing low-carbon hydrogen. RSC Adv. 2020, 10, 12582–12597. [Google Scholar] [CrossRef] [PubMed]
- Giaconia, A.; Iaquaniello, G.; Caputo, G.; Morico, B.; Salladini, A.; Turchetti, L.; Monteleone, G.; Giannini, A.; Palo, E. Experimental validation of a pilot membrane reactor for hydrogen production by solar steam reforming of methane at maximum 550 °C using molten salts as heat transfer fluid. Int. J. Hydrogen Energy 2020, 45, 33088–33101. [Google Scholar] [CrossRef]
- Sui, J.; Chen, Z.; Wang, C.; Wang, Y.; Liu, J.; Li, W. Efficient hydrogen production from solar energy and fossil fuel via water-electrolysis and methane-steam-reforming hybridization. Appl. Energy 2020, 276, 115409. [Google Scholar] [CrossRef]
- Khan, J.; Arsalan, M.H. Solar power technologies for sustainable electricity generation—A review. Renew. Sustain. Energy Rev. 2016, 55, 414–425. [Google Scholar] [CrossRef]
- Rashid, K.; Safdarnejad, S.M.; Ellingwood, K.; Powell, K.M. Techno-economic evaluation of different hybridization schemes for a solar thermal/gas power plant. Energy 2019, 181, 91–106. [Google Scholar] [CrossRef]
- Cavallaro, F.; Zavadskas, E.K.; Streimikiene, D. Concentrated solar power (CSP) hybridized systems. Ranking based on an intuitionistic fuzzy multi-criteria algorithm. J. Clean. Prod. 2018, 179, 407–416. [Google Scholar] [CrossRef]
- Zhao, Y.; Hong, H.; Jin, H. Evaluation criteria for enhanced solar-coal hybrid power plant performance. Appl. Therm. Eng. 2014, 73, 577–587. [Google Scholar] [CrossRef]
- Li, X.; Gui, D.; Zhao, Z.; Li, X.; Wu, X.; Hua, Y.; Guo, P.; Zhong, H. Operation optimization of electrical-heating integrated energy system based on concentrating solar power plant hybridized with combined heat and power plant. J. Clean. Prod. 2021, 289, 125712. [Google Scholar] [CrossRef]
- MacKenzie, K.; Bowers, R.; Wacker, D.; Drever, R.; Jyoti, A.; Kearney, D. City of Medicine Hat concentrating solar thermal demonstration project, Alberta, Canada. Energy Procedia 2014, 49, 1792–1799. [Google Scholar] [CrossRef]
- NREL. Concentrating Solar Power Projects. [Online]. Available online: https://solarpaces.nrel.gov/ (accessed on 18 April 2024).
- Mohammadi, K.; Khorasanizadeh, H. The potential and deployment viability of concentrated solar power (CSP) in Iran. Energy Strateg. Rev. 2019, 24, 358–369. [Google Scholar] [CrossRef]
- Abdelhafidi, N.; Bachari, N.E.I.; Abdelhafidi, Z.; Cheknane, A.; Mokhnache, A.; Castro, L. Modeling of integrated solar combined cycle power plant (ISCC) of Hassi R’mel, Algeria. Int. J. Energy Sect. Manag. 2020, 14, 505–526. [Google Scholar] [CrossRef]
- Temraz, A.; Rashad, A.; Elweteedy, A.; Elshazly, K. Thermal Analysis of the Iscc Power Plant in Kuraymat, Egypt. In Proceedings of the International Conference on Applied Mechanics and Mechanical Engineering, Cairo, Egypt, 3–5 April 2018; Volume 18, pp. 1–15. [Google Scholar] [CrossRef]
- Ortiz, C.; Chacartegui, R.; Valverde, J.M.; Carro, A.; Tejada, C.; Valverde, J. Increasing the solar share in combined cycles through thermochemical energy storage. Energy Convers. Manag. 2021, 229, 113730. [Google Scholar] [CrossRef]
- Elmorsy, L.; Morosuk, T.; Tsatsaronis, G. Exergy-based analysis and optimization of an integrated solar combined-cycle power plant. Entropy 2020, 22, 655. [Google Scholar] [CrossRef]
- Mohaghegh, M.R.; Heidari, M.; Tasnim, S.; Dutta, A.; Mahmud, S. Latest advances on hybrid solar–biomass power plants. Energy Sources Part A Recovery Util. Environ. Eff. 2021, 1–24. [Google Scholar] [CrossRef]
- Soria, R.; Portugal-Pereira, J.; Szklo, A.; Milani, R.; Schaeffer, R. Hybrid concentrated solar power (CSP)-biomass plants in a semiarid region: A strategy for CSP deployment in Brazil. Energy Policy 2015, 86, 57–72. [Google Scholar] [CrossRef]
- Peterseim, J.H.; White, S.; Tadros, A.; Hellwig, U. Concentrating solar power hybrid plants—Enabling cost effective synergies. Renew. Energy 2014, 67, 178–185. [Google Scholar] [CrossRef]
- Sterrer, R.; Schidler, S.; Schwandt, O.; Franz, P.; Hammerschmid, A. Theoretical analysis of the combination of CSP with a biomass CHP-plant using ORC-technology in Central Europe. Energy Procedia 2014, 49, 1218–1227. [Google Scholar] [CrossRef]
- Peterseim, J.H.; Tadros, A.; Hellwig, U.; White, S. Increasing the efficiency of parabolic trough plants using thermal oil through external superheating with biomass. Energy Convers. Manag. 2014, 77, 784–793. [Google Scholar] [CrossRef]
- Peterseim, J.H.; Hellwig, U.; Tadros, A.; White, S. Hybridisation optimization of concentrating solar thermal and biomass power generation facilities. Sol. Energy 2014, 99, 203–214. [Google Scholar] [CrossRef]
- Moya, D.; Aldás, C.; Kaparaju, P. Geothermal energy: Power plant technology and direct heat applications. Renew. Sustain. Energy Rev. 2018, 94, 889–901. [Google Scholar] [CrossRef]
- Cardemil, J.M.; Cortés, F.; Díaz, A.; Escobar, R. Thermodynamic evaluation of solar-geothermal hybrid power plants in northern Chile. Energy Convers. Manag. 2016, 123, 348–361. [Google Scholar] [CrossRef]
- Zhou, C.; Doroodchi, E.; Moghtaderi, B. An in-depth assessment of hybrid solar-geothermal power generation. Energy Convers. Manag. 2013, 74, 88–101. [Google Scholar] [CrossRef]
- Calise, F.; Cappiello, F.L.; Dentice d’Accadia, M.; Vicidomini, M. Energy and economic analysis of a small hybrid solar-geothermal trigeneration system: A dynamic approach. Energy 2020, 208, 118295. [Google Scholar] [CrossRef]
- Musharavati, F.; Khanmohammadi, S.; Pakseresht, A. A novel multi-generation energy system based on geothermal energy source: Thermo-economic evaluation and optimization. Energy Convers. Manag. 2021, 230, 113829. [Google Scholar] [CrossRef]
- Ju, X.; Xu, C.; Hu, Y.; Han, X.; Wei, G.; Du, X. A review on the development of photovoltaic/concentrated solar power (PV-CSP) hybrid systems. Sol. Energy Mater. Sol. Cells 2017, 161, 305–327. [Google Scholar] [CrossRef]
- Bousselamti, L.; Cherkaoui, M. Modelling and Assessing the Performance of Hybrid PV-CSP Plants in Morocco: A Parametric Study. Int. J. Photoenergy 2019, 2019, 5783927. [Google Scholar] [CrossRef]
- Aguilar-Jiménez, J.; Velázquez, N.; Acuña, A.; Cota, R.; González, E.; González, L.; López, R.; Islas, S. Techno-economic analysis of a hybrid PV-CSP system with thermal energy storage applied to isolated microgrids. Sol. Energy 2018, 174, 55–65. [Google Scholar] [CrossRef]
- Moris, C.H.; Guevara, M.T.C.; Salmon, A.; Lorca, A. Comparison between concentrated solar power and gas-based generation in terms of economic and flexibility-related aspects in chile. Energies 2021, 14, 1063. [Google Scholar] [CrossRef]
- Chennaif, M.; Zahboune, H.; Elhafyani, M.; Zouggar, S. Electric System Cascade Extended Analysis for optimal sizing of an autonomous hybrid CSP/PV/wind system with Battery Energy Storage System and thermal energy storage. Energy 2021, 227, 120444. [Google Scholar] [CrossRef]
- Petrakopoulou, F.; Robinson, A.; Loizidou, M. Simulation and evaluation of a hybrid concentrating-solar and wind power plant for energy autonomy on islands. Renew. Energy 2016, 96, 863–871. [Google Scholar] [CrossRef]
- Santos-Alamillos, F.J.; Pozo-Vázquez, D.; Ruiz-Arias, J.A.; Von Bremen, L.; Tovar-Pescador, J. Combining wind farms with concentrating solar plants to provide stable renewable power. Renew. Energy 2015, 76, 539–550. [Google Scholar] [CrossRef]
- Yang, Y.; Guo, S.; Liu, D.; Li, R.; Chu, Y. Operation optimization strategy for wind-concentrated solar power hybrid power generation system. Energy Convers. Manag. 2018, 160, 243–250. [Google Scholar] [CrossRef]
- Kost, C.; Pfluger, B.; Eichhammer, W.; Ragwitz, M. Fruitful symbiosis: Why an export bundled with wind energy is the most feasible option for North African concentrated solar power. Energy Policy 2011, 39, 7136–7145. [Google Scholar] [CrossRef]
- Dimarzio, G.; Angelini, L.; Price, W.; Chin, C.; Harris, S. The Stillwater Triple Hybrid Power Plant: Integrating Geothermal, Solar Photovoltaic and Solar Thermal Power Generation. In Proceedings of the World Geotherm Congress, Melbourne, Australia, 19–25 April 2015; pp. 1–5. [Google Scholar]
- Arabkoohsar, A. Combined steam based high-temperature heat and power storage with an Organic Rankine Cycle, an efficient mechanical electricity storage technology. J. Clean. Prod. 2020, 247, 119098. [Google Scholar] [CrossRef]
- Belgasim, B.; Aldali, Y.; Abdunnabi, M.J.R.; Hashem, G.; Hossin, K. The potential of concentrating solar power (CSP) for electricity generation in Libya. Renew. Sustain. Energy Rev. 2018, 90, 1–15. [Google Scholar] [CrossRef]
- Shaaban, S. Analysis of an integrated solar combined cycle with steam and organic Rankine cycles as bottoming cycles. Energy Convers. Manag. 2016, 126, 1003–1012. [Google Scholar] [CrossRef]
- Anvari, S.; Khalilarya, S.; Zare, V. Exergoeconomic and environmental analysis of a novel configuration of solar-biomass hybrid power generation system. Energy 2018, 165, 776–789. [Google Scholar] [CrossRef]
- Zhang, Q.; Ogren, R.M.; Kong, S.C. Thermo-economic analysis and multi-objective optimization of a novel waste heat recovery system with a transcritical CO2 cycle for offshore gas turbine application. Energy Convers. Manag. 2018, 172, 212–227. [Google Scholar] [CrossRef]
- Ardeh, E.A.-A.; Loni, R.; Najafi, G.; Ghobadian, B.; Bellos, E.; Wen, D. Exergy and economic assessments of solar organic Rankine cycle system with linear V-Shape cavity. Energy Convers. Manag. 2019, 199, 111997. [Google Scholar] [CrossRef]
- Akroot, A.; Namli, L. Performance assessment of an electrolyte-supported and anode-supported planar solid oxide fuel cells hybrid system. J. Ther. Eng. 2021, 7, 1921–1935. [Google Scholar] [CrossRef]
- Wang, S.; Zhang, L.; Liu, C.; Liu, Z.; Lan, S.; Li, Q.; Wang, X. Techno-economic-environmental evaluation of a combined cooling heating and power system for gas turbine waste heat recovery. Energy 2021, 231, 120956. [Google Scholar] [CrossRef]
- Nami, H.; Mahmoudi, S.M.S.; Nemati, A. Exergy, economic and environmental impact assessment and optimization of a novel cogeneration system including a gas turbine, a supercritical CO2 and an organic Rankine cycle (GT-HRSG/SCO2). Appl. Therm. Eng. 2017, 110, 1315–1330. [Google Scholar] [CrossRef]
- Luo, X.; Hu, J.; Zhao, J.; Zhang, B.; Chen, Y.; Mo, S. Improved exergoeconomic analysis of a retrofitted natural gas-based cogeneration system. Energy 2014, 72, 459–475. [Google Scholar] [CrossRef]
- Baghernejad, A.; Yaghoubi, M. Exergoeconomic analysis and optimization of an Integrated Solar Combined Cycle System (ISCCS) using genetic algorithm. Energy Convers. Manag. 2011, 52, 2193–2203. [Google Scholar] [CrossRef]
- Cavalcanti, E.J.C. Exergoeconomic and exergoenvironmental analyses of an integrated solar combined cycle system. Renew. Sustain. Energy Rev. 2017, 67, 507–519. [Google Scholar] [CrossRef]
- Köse, Ö.; Koç, Y.; Yağlı, H. Energy, exergy, economy and environmental (4E) analysis and optimization of single, dual and triple configurations of the power systems: Rankine Cycle/Kalina Cycle, driven by a gas turbine. Energy Convers. Manag. 2021, 227, 113604. [Google Scholar] [CrossRef]
- Ahmadi, P.; Almasi, A.; Shahriyari, M.; Dincer, I. Multi-objective optimization of a combined heat and power (CHP) system for heating purpose in a paper mill using evolutionary algorithm. Int. J. Energy Res. 2012, 36, 46–63. [Google Scholar] [CrossRef]
- Koç, Y.; Yağlı, H.; Kalay, I. Energy, Exergy, and Parametric Analysis of Simple and Recuperative Organic Rankine Cycles Using a Gas Turbine—Based Combined Cycle. J. Energy Eng. 2020, 146, 04020041. [Google Scholar] [CrossRef]
- Sachdeva, J.; Singh, O. Thermodynamic analysis of solar powered triple combined Brayton, Rankine and organic Rankine cycle for carbon free power. Renew. Energy 2019, 139, 765–780. [Google Scholar] [CrossRef]
- Bakos, G.C.; Parsa, D. Technoeconomic assessment of an integrated solar combined cycle power plant in Greece using line-focus parabolic trough collectors. Renew. Energy 2013, 60, 598–603. [Google Scholar] [CrossRef]

















| Year | Cumulative Produced Energy (TWh) | Cumulative Demand (TWh) | Maximum Actual Generation (MW) | Maximum Demand (MW) | Existing Power Capacity (MW) |
|---|---|---|---|---|---|
| 2017 | 37.12 | 41.19 | 5615 | 7383 | 9989 |
| 2018 | 36.97 | 39.93 | 5914 | 7185 | 9989 |
| 2019 | 38.51 | 43.46 | 6078 | 7639 | 9989 |
| 2020 | 35.30 | 42.98 | 6145 | 7350 | 9989 |
| 2021 | 40.73 | 46.11 | 6110 | 8150 | 9989 |
| Renewable Energy Resource | MW Target (2025) | Modified RE Plan (2023–2035) | Potential of Technology | Optimal Sites |
|---|---|---|---|---|
| Solar PV | 840 | 3300 MW | 1.7–2.1 MWh/kWp/yr | Al Kufra, Sabha |
| Solar Thermal (CSP) | 400 | 100 MW | 2200–2950 kWh/m2/yr | Al Kufra, Sirte, Sarir, Ubari |
| Onshore Wind | 1000 | 600 MW | 300–500 W/m2 | Southern borders, Darna, Western Mountain, |
| Offshore Wind | No plan | No plan | 600–700 W/m2 | Karsa, Al Khums |
| Biomass | No plan | No plan | 2 TWh/yr | Benghazi, Tripoli |
| Wave | No plan | No plan | 6 kW/m (year average) | Susa, Darna, Tobruk |
| Geothermal Energy | No plan | No plan | N/A | Al Jufra |
| Project | Capacity | Solar Technology | HTF | Thermal Storage | Status | Ref. |
|---|---|---|---|---|---|---|
| ISCC Agua Prieta II, Mexico | 464 MW CC + 14 MW steam Rankine | PTC | Thermal oil | None | Operational since 2017 | [59] |
| City of Medicine Hat ISCC, Canada | 202 MW CC+ 1.1 MW steam Rankine | PTC | Thermal oil | None | Operational since 2014 | [61] |
| ISCC Ain Beni Mathar, Morocco | 470 MW CC + 20 MW steam Rankine | PTC | Thermal oil | None | Operational since 2010 | [62] |
| Yazd ISCC, Iran | 450 MW CC + 17 MW steam Rankine | PTC | Thermal oil | None | Operational since 2011 | [63] |
| ISCC Duba 1, Suadi Arabia | 550 MW CC + 50 MW steam Rankine | PTC | Thermal oil | None | Under construction | [62] |
| ISCC Hassi R’mel, Algeria | 2 × 45 MW gas turbines + 80 MW steam turbine | PTC | Thermal oil | None | Operational since 2011 | [64] |
| ISCC Kuraymat, Egypt | 115 MW CC + 20 MW steam Rankine | PTC | Thermal oil | None | Operational since 2011 | [65] |
| Martin Next Generation, USA | 1075 MW CC + 75 MW steam Rankine | PTC | Thermal oil | None | Operational since 2010 | [66] |
| ISCC Waad Al- Shamal, Saudi Arabia | 1340 MW CC + 50 MW steam Rankine | PTC | Thermal oil | None | Under construction | [66] |
| Dadri ISCC, India | 1820 MW coal-fired CC + 14 MW steam Rankine | LFC | water | None | Under construction | [67] |
| Project | Hybridization | Configuration | Solar Technology | Thermal Storage | Status | Ref. |
|---|---|---|---|---|---|---|
| Borges Termo-solar, Spain | CSP–biomass | 22.5 MW (2 × 22 MWth biomass units + 56 MWth solar) | Parabolic Trough | None | Operational since 2012 | [68] |
| Stillwater GeoSolar, USA | Multi-generation | 33 MW geothermal power + 26.4 MW PV + 2 MW CSP (ORC) | Parabolic Trough | None | Operational since 2015 | [88] |
| Parameter, Unit | Value |
|---|---|
| Compression ratio | 12 |
| Isentropic efficiency of turbine, % | 90 |
| Isentropic efficiency of compressor, % | 85 |
| Isentropic efficiency of steam turbine, % | 90 |
| Effectiveness of HRSG, % | 90 |
| Isentropic efficiency of ORC expander, % | 90 |
| Lower heating value of fuel, kJ/kg | 50,056 |
| Efficiency of combustion chamber, % | 97 |
| Pressure loss in combustion chamber, % | 5 |
| Pressure loss in boiler, % | 3 |
| High pressure, bar | 100 |
| Intermediate pressure, bar | 20 |
| Low pressure, bar | 1.2 |
| ORC high pressure, bar | 4 |
| ORC low pressure, bar | 0.15 |
| Isentropic efficiency of steam pump, % | 75 |
| Solar Collector | |
| Design loop inlet temperature, °C | 392 |
| Design loop outlet temperature, °C | 293 |
| Aap, m2 | 1,018,112 |
| Parabolic solar field efficiency, % | 0.85 |
| Month | DNI (kWh/m2/day) | Average Temperature (°C) | Average Relative Humidity (%) |
|---|---|---|---|
| January | 5.05 | 23.15 | 57.66 |
| February | 6.48 | 27 | 51.3 |
| March | 6.76 | 33 | 41 |
| April | 7.28 | 38.3 | 33.53 |
| May | 7.82 | 41.7 | 30.43 |
| June | 9.32 | 42 | 30 |
| July | 9.21 | 41.5 | 37 |
| August | 8.68 | 40.8 | 39.48 |
| September | 7.53 | 40 | 37.5 |
| October | 6.83 | 36.2 | 42.21 |
| November | 6.11 | 30 | 48.11 |
| December | 4.97 | 27 | 56 |
| Equipment | Energy Balance | Exergy Balance |
|---|---|---|
| AC | ||
| CC | ||
| GT | ||
| HRSG | ||
| HPST | ||
| LPST | ||
| Pump1 | ||
| Pump2 | ||
| OFWH | ||
| ORC_HRSG | ||
| ORT | ||
| Pump3 | ||
| Con |
| Equipment | Cost Function |
|---|---|
| AC | |
| CC | |
| GT | |
| HRSG | |
| HPST | |
| LPST | |
| Pump1 | |
| Pump2 | |
| OFWH | |
| ORC_HRSG | |
| ORT | |
| Pump3 | |
| Con | |
| Heliostat |
| Parameter | Standard Data |
|---|---|
| Ambient temperature (K) | 288 |
| Ambient pressure (bar) | 1.013 |
| Fuel mass flow (kg/s) | 13.9 |
| Exhaust flow (kg/s) | 687 |
| Pressure ratio | 18.2 |
| Parameter | Standard Output | Developed Model | MPE (%) |
|---|---|---|---|
| Power (MW) | 283 | 284.3 | 0.45 |
| Efficiency (%) | 39.2 | 37.88 | 3.36 |
| Exhaust temperature (°C) | 581 | 595 | 2.4 |
| Output Parameter | Model in [103] | Developed Model | MPE (%) |
|---|---|---|---|
| Power (MW) | 6.2 | 6.253 | 0.85 |
| Thermal efficiency (%) | 33 | 32.5 | 1.51 |
| Exergy efficiency (%) | 30 | 30.21 | 0.7 |
| Fuel mass flow rate | 0.4 | 0.397 | 0.75 |
| Parameter | Ref. [104] |
|---|---|
| Effectiveness of HRSG (%) | 90 |
| HP steam pressure (bar) | 50 |
| Condenser pressure of RC (bar) | 0.05 |
| LP steam reheat temperature (K) | 600 |
| LP steam pressure (bar) | 20 |
| Isentropic efficiency of ST (%) | 80 |
| Fraction of steam (%) | 20 |
| Mass flow rate of water (kg/s) | 0.645 |
| Parameter | Ref. [104] | Developed Model | MPE (%) |
|---|---|---|---|
| Power (MW) | 55.24 | 55.68 | 0.79 |
| Efficiency (%) | 29.06 | 30.04 | 3.3 |
| Node | Medium Fluid | [kg/s] | T [K] | P [bar] | s [kJ/kg K] |
|---|---|---|---|---|---|
| 1 | air | 673 | 315 | 101.3 | 5.843 |
| 2 | air | 673 | 802.3 | 2027 | 5.957 |
| 3 | natural gas | 14.27 | 288 | 101.3 | 11.53 |
| 4 | exhaust gases | 687.3 | 1600 | 1925 | 8.187 |
| 5 | exhaust gases | 687.3 | 900.3 | 104.5 | 8.326 |
| 6 | exhaust gases | 687.3 | 550.3 | 101.3 | 7.769 |
| 7 | water | 190 | 373.1 | 121.6 | 2.356 |
| 8 | water | 190 | 480.6 | 10,133 | 2.387 |
| 9 | water | 190 | 690 | 10,129 | 6.28 |
| 10 | water | 190 | 488.7 | 2007 | 6.357 |
| 11 | water | 190 | 690 | 1946 | 7.197 |
| 12 | water | 152 | 354.8 | 50.66 | 7.417 |
| 13 | water | 38.01 | 391.6 | 121.6 | 7.365 |
| 14 | water | 152 | 354.8 | 50.66 | 1.095 |
| 15 | water | 152 | 354.8 | 121.6 | 1.095 |
| 16 | R245fa | 1678 | 299 | 405.3 | 1.117 |
| 17 | R245fa | 1678 | 344.8 | 393.1 | 1.819 |
| 18 | R245fa | 1678 | 322.4 | 152 | 1.825 |
| 19 | R245fa | 1678 | 298.9 | 152 | 1.117 |
| 20 | Therminol VP-1 | 1385 | 566 | 1000 | 1.283 |
| 21 | Therminol VP-1 | 1385 | 665 | 1000 | 1.675 |
Disclaimer/Publisher’s Note: The statements, opinions and data contained in all publications are solely those of the individual author(s) and contributor(s) and not of MDPI and/or the editor(s). MDPI and/or the editor(s) disclaim responsibility for any injury to people or property resulting from any ideas, methods, instructions or products referred to in the content. |
© 2024 by the authors. Licensee MDPI, Basel, Switzerland. This article is an open access article distributed under the terms and conditions of the Creative Commons Attribution (CC BY) license (https://creativecommons.org/licenses/by/4.0/).
Share and Cite
Akroot, A.; Almaktar, M.; Alasali, F. The Integration of Renewable Energy into a Fossil Fuel Power Generation System in Oil-Producing Countries: A Case Study of an Integrated Solar Combined Cycle at the Sarir Power Plant. Sustainability 2024, 16, 4820. https://doi.org/10.3390/su16114820
Akroot A, Almaktar M, Alasali F. The Integration of Renewable Energy into a Fossil Fuel Power Generation System in Oil-Producing Countries: A Case Study of an Integrated Solar Combined Cycle at the Sarir Power Plant. Sustainability. 2024; 16(11):4820. https://doi.org/10.3390/su16114820
Chicago/Turabian StyleAkroot, Abdulrazzak, Mohamed Almaktar, and Feras Alasali. 2024. "The Integration of Renewable Energy into a Fossil Fuel Power Generation System in Oil-Producing Countries: A Case Study of an Integrated Solar Combined Cycle at the Sarir Power Plant" Sustainability 16, no. 11: 4820. https://doi.org/10.3390/su16114820
APA StyleAkroot, A., Almaktar, M., & Alasali, F. (2024). The Integration of Renewable Energy into a Fossil Fuel Power Generation System in Oil-Producing Countries: A Case Study of an Integrated Solar Combined Cycle at the Sarir Power Plant. Sustainability, 16(11), 4820. https://doi.org/10.3390/su16114820

