Development of Allometric Equations to Determine the Biomass of Plant Components and the Total Storage of Carbon Dioxide in Young Mediterranean Argan Trees
Abstract
1. Introduction
2. Materials and Methods
2.1. Study Area
2.2. Sampling and Field Measurement
2.3. Laboratory Analysis
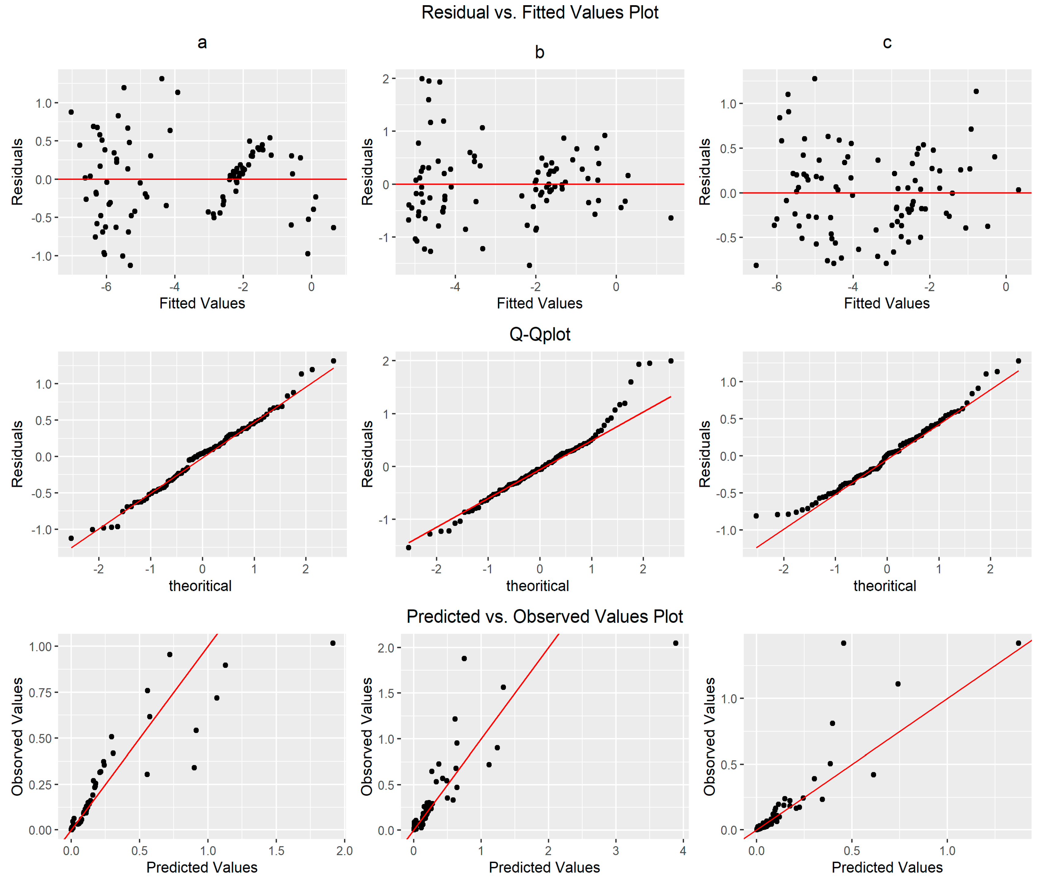
2.4. Allometric Model Development and Statistical Analysis
3. Results
3.1. Biomass and Carbon Content
3.2. Biomass Model Generation
3.3. Biomass Carbon Stock
4. Discussion
5. Conclusions
Author Contributions
Funding
Institutional Review Board Statement
Informed Consent Statement
Data Availability Statement
Acknowledgments
Conflicts of Interest
References
- Saglam, S.; Ozdemir, E.; Ozkan, U.Y.; Demirel, T.; Makineci, E. Biomass Estimation of Aboveground Tree Components for Turkey Oak (Quercus Cerris L.) in South-Eastern Turkey. Environ. Monit. Assess. 2020, 192, 418. [Google Scholar] [CrossRef]
- Sebrala, H.; Abich, A.; Negash, M.; Asrat, Z.; Lojka, B. Tree Allometric Equations for Estimating Biomass and Volume of Ethiopian Forests and Establishing a Database: Review. Trees For. People 2022, 9, 100314. [Google Scholar] [CrossRef]
- Koornneef, J.; van Breevoort, P.; Hamelinck, C.; Hendriks, C.; Hoogwijk, M.; Koop, K.; Koper, M.; Dixon, T.; Camps, A. Global Potential for Biomass and Carbon Dioxide Capture, Transport and Storage up to 2050. Int. J. Greenh. Gas Control 2012, 11, 117–132. [Google Scholar] [CrossRef]
- Chave, J.; Andalo, C.; Brown, S.; Cairns, M.A.; Chambers, J.Q.; Eamus, D.; Fölster, H.; Fromard, F.; Higuchi, N.; Kira, T. Tree Allometry and Improved Estimation of Carbon Stocks and Balance in Tropical Forests. Oecologia 2005, 145, 87–99. [Google Scholar] [CrossRef] [PubMed]
- Yang, M.; Zhou, X.; Peng, C.; Li, T.; Chen, K.; Liu, Z.; Li, P.; Zhang, C.; Tang, J.; Zou, Z. Developing Allometric Equations to Estimate Forest Biomass for Tree Species Categories Based on Phylogenetic Relationships. For. Ecosyst. 2023, 10, 100130. [Google Scholar] [CrossRef]
- Forrester, D.I.; Tachauer, I.H.H.; Annighoefer, P.; Barbeito, I.; Pretzsch, H.; Ruiz-Peinado, R.; Stark, H.; Vacchiano, G.; Zlatanov, T.; Chakraborty, T. Generalized Biomass and Leaf Area Allometric Equations for European Tree Species Incorporating Stand Structure, Tree Age and Climate. For. Ecol. Manag. 2017, 396, 160–175. [Google Scholar] [CrossRef]
- Joosten, R.; Schumacher, J.; Wirth, C.; Schulte, A. Evaluating Tree Carbon Predictions for Beech (Fagus Sylvatica L.) in Western Germany. For. Ecol. Manag. 2004, 189, 87–96. [Google Scholar] [CrossRef]
- Picard, N.; Saint-Andre, L.; Henry, M. Manual for Building Tree Volume and Biomass Allometric Equations: From Field Measurement to Prediction; FAO: Rome, Italy, 2012. [Google Scholar]
- Chave, J.; Réjou-Méchain, M.; Búrquez, A.; Chidumayo, E.; Colgan, M.S.; Delitti, W.B.; Duque, A.; Eid, T.; Fearnside, P.M.; Goodman, R.C. Improved Allometric Models to Estimate the Aboveground Biomass of Tropical Trees. Glob. Change Biol. 2014, 20, 3177–3190. [Google Scholar] [CrossRef] [PubMed]
- Kettler, T.A.; Doran, J.W.; Gilbert, T.L. Simplified Method for Soil Particle-Size Determination to Accompany Soil-Quality Analyses. Soil Sci. Soc. Am. J. 2001, 65, 849–852. [Google Scholar] [CrossRef]
- Luo, Y.; Wang, X.; Ouyang, Z.; Lu, F.; Feng, L.; Tao, J. A Review of Biomass Equations for China’s Tree Species. Earth Syst. Sci. Data 2020, 12, 21–40. [Google Scholar] [CrossRef]
- Maulana, S.I.; Wibisono, Y.; Utomo, S. Development of Local Allometric Equation to Estimate Total Aboveground Biomass in Papua Tropical Forest. Indones. J. For. Res. 2016, 3, 107–118. [Google Scholar] [CrossRef][Green Version]
- Green Climate Fund. FP022: Development of Arganiculture Orchards in Degraded Environment (DARED). Available online: https://www.greenclimate.fund/project/fp022 (accessed on 15 January 2024).
- Henry, M.; Picard, N.; Trotta, C.; Manlay, R.; Valentini, R.; Bernoux, M.; Saint-André, L. Estimating Tree Biomass of Sub-Saharan African Forests: A Review of Available Allometric Equations. Silva Fenn. 2011, 45, 477–569. [Google Scholar] [CrossRef]
- Benzyane, M. Estimation de La Biomasse et Étude de La Croissance de l’arganier (Argania Spinosa L. Skeels) Dans Le Plateau de Haha (Essaouira); I.A.V. Hassan II: Rabat, Morocco, 1989. [Google Scholar]
- Belghazi, T. Typologie de l’arganeraie et Estimation de La Biomasse Aérienne Des Taillis d’arganier (Plateau Des Haha-Essaouira, Maroc). Ph.D. Thesis, UCL-Université Catholique de Louvain, Ottignies-Louvain-la-Neuve, Belgium, 2013. [Google Scholar]
- CCKP WB Climate Change Knowledge Portal. Available online: https://climateknowledgeportal.worldbank.org/country/ morocco/climate-data-historical (accessed on 9 December 2023).
- Lahou, O. Morocco—Global Yield Gap Atlas. Available online: https://www.yieldgap.org/Morocco (accessed on 9 December 2023).
- Nyamukuru, A.; Whitney, C.; Tabuti, J.R.S.; Esaete, J.; Low, M. Allometric Models for Aboveground Biomass Estimation of Small Trees and Shrubs in African Savanna Ecosystems. Trees For. People 2023, 11, 100377. [Google Scholar] [CrossRef]
- Allen, R.G. Crop Evapotranspiration-Guidelines for Computing Crop Water Requirements-FAO Irrigation and Drainage Paper 56; FAO: Rome, Italy, 1998. [Google Scholar]
- Romero, F.M.B.; Jacovine, L.A.G.; Torres, C.M.M.E.; Ribeiro, S.C.; Da Rocha, S.J.S.S.; Novais, T.D.N.O.; Gaspar, R.D.O.; Da Silva, L.F.; Vidal, E.; Leite, H.G.; et al. Aboveground Biomass Allometric Models for Large Trees in Southwestern Amazonia. Trees For. People 2022, 9, 100317. [Google Scholar] [CrossRef]
- Kenzo, T.; Himmapan, W.; Yoneda, R.; Tedsorn, N.; Vacharangkura, T.; Hitsuma, G.; Noda, I. General Estimation Models for Above- and below-Ground Biomass of Teak (Tectona Grandis) Plantations in Thailand. For. Ecol. Manag. 2020, 457, 117701. [Google Scholar] [CrossRef]
- Zuur, A.F.; Ieno, E.N.; Elphick, C.S. A Protocol for Data Exploration to Avoid Common Statistical Problems. Methods Ecol. Evol. 2010, 1, 3–14. [Google Scholar] [CrossRef]
- Brown, S.; Gillespie, A.J.R.; Lugo, A.E. Biomass Estimation Methods for Tropical Forests with Applications to Forest Inventory Data. For. Sci. 1989, 35, 881–902. [Google Scholar] [CrossRef]
- Sprugel, D.G. Correcting for Bias in Log-Transformed Allometric Equations. Ecology 1983, 64, 209–210. [Google Scholar] [CrossRef]
- Mahmood, H.; Siddique, M.R.H.; Islam, S.M.Z.; Abdullah, S.M.R.; Matieu, H.; Iqbal, M.Z.; Akhter, M. Applicability of Semi-Destructive Method to Derive Allometric Model for Estimating Aboveground Biomass and Carbon Stock in the Hill Zone of Bangladesh. J. For. Res. 2020, 31, 1235–1245. [Google Scholar] [CrossRef]
- Saha, C.; Mahmood, H.; Nayan, S.N.S.; Siddique, M.R.H.; Abdullah, S.M.R.; Islam, S.M.Z.; Iqbal, M.Z.; Akhter, M. Allometric Biomass Models for the Most Abundant Fruit Tree Species of Bangladesh: A Non-Destructive Approach. Environ. Chall. 2021, 3, 100047. [Google Scholar] [CrossRef]
- Ispikoudis, S.; Zianis, D.; Tziolas, E.; Damianidis, C.; Rapti, D.; Tsiros, E.; Michalakis, D.; Karteris, A. Assessment of Forest Biomass and Carbon Storage in Habitat 9340 Quercus Ilex L. to Support Management Decisions for Climate Change Mitigation. Sustainability 2024, 16, 1403. [Google Scholar] [CrossRef]
- Nath, A.J.; Tiwari, B.K.; Sileshi, G.W.; Sahoo, U.K.; Brahma, B.; Deb, S.; Devi, N.B.; Das, A.K.; Reang, D.; Chaturvedi, S.S. Allometric Models for Estimation of Forest Biomass in North East India. Forests 2019, 10, 103. [Google Scholar] [CrossRef]
- Sileshi, G.W. A Critical Review of Forest Biomass Estimation Models, Common Mistakes and Corrective Measures. For. Ecol. Manag. 2014, 329, 237–254. [Google Scholar] [CrossRef]
- Akaike, H. A New Look at the Statistical Model Identification. IEEE Trans. Automat. Contr. 1974, 19, 716–723. [Google Scholar] [CrossRef]
- Durbin, J.; Watson, G.S. Testing for Serial Correlation in Least Squares Regression. II. Biometrika 1951, 38, 159. [Google Scholar] [CrossRef]
- Dijkstra, F.A.; Zhu, B.; Cheng, W. Root Effects on Soil Organic Carbon: A Double-Edged Sword. New Phytol. 2021, 230, 60–65. [Google Scholar] [CrossRef] [PubMed]
- He, H.; Zhang, C.; Zhao, X.; Fousseni, F.; Wang, J.; Dai, H.; Yang, S.; Zuo, Q. Allometric Biomass Equations for 12 Tree Species in Coniferous and Broadleaved Mixed Forests, Northeastern China. PLoS ONE 2018, 13, e0186226. [Google Scholar] [CrossRef] [PubMed]
- Mokany, K.; Raison, R.J.; Prokushkin, A.S. Critical Analysis of Root: Shoot Ratios in Terrestrial Biomes. Glob. Change Biol. 2006, 12, 84–96. [Google Scholar] [CrossRef]
- Xia, J.; Yuan, W.; Wang, Y.-P.; Zhang, Q. Adaptive Carbon Allocation by Plants Enhances the Terrestrial Carbon Sink. Sci. Rep. 2017, 7, 3341. [Google Scholar] [CrossRef] [PubMed]
- Thomas, S.C.; Martin, A.R. Carbon Content of Tree Tissues: A Synthesis. Forests 2012, 3, 332–352. [Google Scholar] [CrossRef]
- Ma, S.; He, F.; Tian, D.; Zou, D.; Yan, Z.; Yang, Y.; Zhou, T.; Huang, K.; Shen, H.; Fang, J. Variations and Determinants of Carbon Content in Plants: A Global Synthesis. Biogeosciences 2018, 15, 693–702. [Google Scholar] [CrossRef]
- Mensah, S.; Kakaï, R.G.; Seifert, T. Patterns of Biomass Allocation between Foliage and Woody Structure: The Effects of Tree Size and Specific Functional Traits. Ann. For. Res. 2016, 59, 49–60. [Google Scholar] [CrossRef]
- Kafuti, C.; Van den Bulcke, J.; Beeckman, H.; Van Acker, J.; Hubau, W.; De Mil, T.; Hatakiwe, H.; Djiofack, B.; Fayolle, A.; Loubota Panzou, G.J.; et al. Height-Diameter Allometric Equations of an Emergent Tree Species from the Congo Basin. For. Ecol. Manag. 2022, 504, 119822. [Google Scholar] [CrossRef]
- Payandeh, B. Choosing Regression Models for Biomass Prediction Equations. For. Chron. 1981, 57, 229–232. [Google Scholar] [CrossRef]
- Paul, K.I.; Roxburgh, S.H.; England, J.R.; Ritson, P.; Hobbs, T.; Brooksbank, K.; John Raison, R.; Larmour, J.S.; Murphy, S.; Norris, J.; et al. Development and Testing of Allometric Equations for Estimating Above-Ground Biomass of Mixed-Species Environmental Plantings. For. Ecol. Manag. 2013, 310, 483–494. [Google Scholar] [CrossRef]
- Nam, V.T.; van Kuijk, M.; Anten, N.P.R. Allometric Equations for Aboveground and Belowground Biomass Estimations in an Evergreen Forest in Vietnam. PLoS ONE 2016, 11, e0156827. [Google Scholar] [CrossRef]
- Bernal, B.; Murray, L.T.; Pearson, T.R.H. Global Carbon Dioxide Removal Rates from Forest Landscape Restoration Activities. Carbon Balance Manag. 2018, 13, 22. [Google Scholar] [CrossRef]








| Criteria | Description | Best Selection | Reference |
|---|---|---|---|
| Coefficient of determination (R2) | Measures the proportion of the variance in the dependent variable (R2) that is explained by the independent variables in the model |
| [4,19,30] |
| Adjusted coefficient of determination (R2) | Adjusts R2 by acknowledging the number of independent variables in the model |
| |
| Residual standard deviation (RSE) | Describes the difference between the standard deviations of the observed values compared with the predicted values |
| |
| Root-mean-square error (RMSE) | Measures the average distance between the predicted values and the observed values |
| |
| Akaike information criteria (AIC) | Minimizes issues associated with overfitting |
| [31] |
| Durbin–Watson (DW) | Tests the autocorrelation of residuals in a linear regression model and reflect the independence of the residuals |
| [32] |
| Mean squared error (MSE) | Measure the average difference between the predicted and observed values in LOOCV data |
| [29] |
| Dry Biomass (kg/Plant) | D (cm) | H (m) | |||||
|---|---|---|---|---|---|---|---|
| Leaf | Stem | Root | Total | Shoot-to-Root Ratio | |||
| Min. | 0.0008 | 0.002 | 0.0006 | 0.006 | 0.08 | 0.34 | 0.29 |
| Max. | 1.02 | 2.05 | 1.42 | 4.48 | 2.67 | 7.91 | 1.42 |
| Mean | 0.14 | 0.22 | 0.12 | 0.48 | 0.64 | 1.61 | 0.68 |
| SD | 0.22 | 0.39 | 0.26 | 0.85 | 0.51 | 1.28 | 0.25 |
| n * | 89 | 89 | 89 | 89 | 89 | 89 | 89 |
| Source | Type III Sum of Squares | df | Mean Square | F | Sig. |
|---|---|---|---|---|---|
| Growing years | 1413.21 | 4 | 353.30 | 26.89 | 0.000 |
| Plant components | 3383.92 | 2 | 1691.96 | 128.80 | 0.000 |
| Growing years × plant components | 2365.67 | 8 | 295.71 | 22.51 | 0.000 |
| Note | Allometric Equation Model | n | Coefficients | |||||
|---|---|---|---|---|---|---|---|---|
| a | b | c | d | e | ||||
| Leaf | 1 | Ln b = a + b Ln (D) | 89 | −4.35 * | 2.89 * | - | - | - |
| 2 | Ln b = a + b Ln (D) + c Ln (H) | 89 | −3.57 * | 2.27 * | 1.44 * | - | - | |
| 3 | Ln b = a + b Ln (D) + c Ln (H) + d Ln (age) | 89 | −6.95 * | 0.88 * | 1.21 * | 3.29 * | - | |
| 4 | Ln b = a + b Ln (D × age) | 89 | −6.39 * | 2.04 * | - | - | - | |
| 5 | Ln b = a + b Ln (D × H) | 89 | −3.26 * | 2.00 * | - | - | - | |
| 6 | Ln b = a + b Ln (D × H × age) | 89 | −5.07 * | 1.56 * | - | - | - | |
| 7 | Ln b = a + b Ln (D2 × H) | 89 | −3.71 * | 1.20 * | - | - | - | |
| 8 | Ln b = a + b Ln (D2 × H × age) | 89 | −4.83 * | 1.02 * | - | - | - | |
| 9 | Ln b = a + b Ln (D2 × H) + c ln (age) | 89 | −7.21 * | 0.60 * | 3.21 * | - | - | |
| 10 | Ln b = a + b (D) × c (H) | 89 | −9.92 * | 2.84 * | 6.18 * | −1.90 * | - | |
| 11 | Ln b = a + b (D) × c (age) | 89 | −10.83 * | 2.79 * | 1.81 * | −0.50 * | - | |
| 12 | Ln b = a + b (D) × c (H) × d (age) | 89 | −10.08 * | 1.38 | 0.43 | 1.33 * | - | |
| Stem | 1 | Ln b = a + b Ln (D) | 89 | −3.40 * | 2.39 * | - | - | - |
| 2 | Ln b = a + b Ln (D) + c Ln (H) | 89 | −3.02 * | 2.08 * | 0.71 * | - | - | |
| 3 | Ln b = a + b Ln (D) + c Ln (H) + d Ln (age) | 89 | −4.90 * | 1.30 * | 0.58 | - | - | |
| 4 | Ln b = a + b Ln (D × age) | 89 | −5.04 * | 1.65 * | - | - | - | |
| 5 | Ln b = a + b Ln (D × H) | 89 | −2.50 * | 1.63 * | - | - | - | |
| 6 | Ln b = a + b Ln (D × H × age) | 89 | −3.97 * | 1.26 * | - | - | - | |
| 7 | Ln b = a + b Ln (D2 × H) | 89 | −2.87 * | 0.98 * | - | - | - | |
| 8 | Ln b = a + b Ln (D2 × H × age) | 89 | −3.78 * | 0.83 * | - | - | - | |
| 9 | Ln b = a + b Ln (D2 × H) + ln (age) | 89 | −4.88 * | 0.63 * | 1.84 * | - | - | |
| 10 | Ln b = a + b (D × H) | 89 | −7.59 * | 2.36 * | 4.21 * | −1.45 * | - | |
| 11 | Ln b = a + b (D × age) | 89 | −8.15 * | 2.20 * | 1.25 * | −0.35 * | - | |
| 12 | Ln b = a + b (D × H × age) | 89 | −7.09 * | 1.11 | −0.17 | 0.63 | - | |
| Root | 1 | Ln b = a + b Ln (D) | 89 | −4.06 * | 2.23 * | - | - | - |
| 2 | Ln b = a + b Ln (D) + c Ln (H) | 89 | −3.84 * | 2.06 * | 0.40 * | - | - | |
| 3 | Ln b = a + b Ln (D) + c Ln (H) + d Ln (age) | 89 | −5.05 * | 1.56 * | 0.32 | - | - | |
| 4 | Ln b = a + b Ln (D × age) | 89 | −5.56 * | 1.52 * | - | - | - | |
| 5 | Ln b = a + b Ln (D × H) | 89 | −3.22 * | 1.52 * | - | - | - | |
| 6 | Ln b = a + b Ln (D × H × age) | 89 | −4.57 * | 1.16 * | - | - | - | |
| 7 | Ln b = a + b Ln (D2 × H) | 89 | −3.56 * | 0.91 * | - | - | - | |
| 8 | Ln b = a + b Ln (D2 × H × age) | 89 | −4.40 * | 0.77 * | - | - | - | |
| 9 | Ln b = a + b Ln (D2 × H) + ln (age) | 89 | −4.89 * | 0.68 * | 1.22 * | - | - | |
| 10 | Ln b = a + b (D × H) | 89 | −7.56 * | 2.01 * | 3.30 * | - | - | |
| 11 | Ln b = a + b (D × age) | 89 | −7.95 * | 1.78 * | 0.97 * | - | - | |
| 12 | Ln b = a + b (D × H × age) | 89 | −7.78 * | 3.93 * | −3.08 | - | - | |
| 13 | Ln b = a + b Ln (D) + c Ln (H) + d Ln (age) + e Ln (root-to-shoot ratio) | 89 | −5.00 * | 1.48 * | 0.40 * | 1.38 * | 0.31 * | |
| 14 | Ln b = a + b Ln (D) + c Ln (H) + d Ln (ABG) | 89 | −2.81 * | 1.20 * | 0.01 | 0.41 * | - | |
| Note | R2 | R2 Adjusted | RSE | AIC | RSME | DW | CF | MSE | |
|---|---|---|---|---|---|---|---|---|---|
| Leaf | 1 | 0.85 | 0.85 | 0.85 | −26.31 | 4.29 | 1 | 1.53 | 0.74 |
| 2 | 0.87 | 0.87 | 0.80 | −35.53 | 4.30 | 2 | 1.49 | 0.67 | |
| 3 | 0.95 | 0.95 | 0.50 | −120.2 | 4.35 | 2 | 1.28 | 0.26 | |
| 4 | 0.93 | 0.93 | 0.61 | −85.98 | 4.33 | 2 | 1.36 | 0.38 | |
| 5 | 0.87 | 0.87 | 0.81 | −35.70 | 4.30 | 2 | 1.50 | 0.67 | |
| 6 | 0.93 | 0.92 | 0.60 | −90.01 | 4.33 | 2 | 1.34 | 0.36 | |
| 7 | 0.87 | 0.87 | 0.80 | −37.18 | 4.30 | 2 | 1.49 | 0.66 | |
| 8 | 0.91 | 0.91 | 0.66 | −71.43 | 4.33 | 2 | 1.39 | 0.45 | |
| 9 | 0.95 | 0.95 | 0.51 | −116.45 | 4.35 | 2 | 1.28 | 0.27 | |
| 10 | 0.87 | 0.87 | 0.82 | −32.41 | 4.30 | 2 | 1.50 | 0.69 | |
| 11 | 0.94 | 0.94 | 0.54 | −106.19 | 4.35 | 2 | 1.30 | 0.30 | |
| 12 | 0.96 | 0.95 | 0.48 | −127.84 | 4.35 | 2 | 1.26 | 0.23 | |
| Stem | 1 | 0.84 | 0.83 | 0.75 | −46.99 | 3.42 | 2 | 1.46 | 0.59 |
| 2 | 0.84 | 0.84 | 0.74 | −48.31 | 3.42 | 2 | 1.45 | 0.58 | |
| 3 | 0.88 | 0.87 | 0.66 | −68.88 | 3.44 | 2 | 1.39 | 0.47 | |
| 4 | 0.87 | 0.87 | 0.66 | −69.63 | 3.44 | 2 | 1.40 | 0.45 | |
| 5 | 0.83 | 0.83 | 0.76 | −44.63 | 3.42 | 2 | 1.46 | 0.60 | |
| 6 | 0.87 | 0.86 | 0.67 | −67.07 | 3.43 | 2 | 1.40 | 0.47 | |
| 7 | 0.84 | 0.84 | 0.74 | −49.83 | 3.42 | 2 | 1.45 | 0.57 | |
| 8 | 0.87 | 0.86 | 0.68 | −65.27 | 3.44 | 2 | 1.41 | 0.47 | |
| 9 | 0.88 | 0.87 | 0.66 | −70.86 | 3.44 | 1 | 1.39 | 0.45 | |
| 10 | 0.83 | 0.82 | 0.78 | −39.26 | 3.42 | 1 | 1.47 | 0.64 | |
| 11 | 0.86 | 0.86 | 0.70 | −60.06 | 3.44 | 2 | 1.41 | 0.51 | |
| 12 | 0.88 | 0.86 | 0.68 | −59.36 | 3.44 | 1 | 1.39 | 0.51 | |
| Root | 1 | 0.89 | 0.89 | 0.56 | −99.52 | 3.95 | 2 | 1.32 | 0.33 |
| 2 | 0.89 | 0.89 | 0.56 | −99.42 | 3.95 | 2 | 1.32 | 0.33 | |
| 3 | 0.91 | 0.90 | 0.52 | −113.36 | 3.96 | 2 | 1.29 | 0.28 | |
| 4 | 0.90 | 0.90 | 0.52 | −114.61 | 3.96 | 2 | 1.29 | 0.27 | |
| 5 | 0.87 | 0.87 | 0.60 | −87.38 | 3.95 | 2 | 1.35 | 0.37 | |
| 6 | 0.90 | 0.90 | 0.54 | −107.61 | 3.96 | 2 | 1.31 | 0.30 | |
| 7 | 0.89 | 0.89 | 0.57 | −98.38 | 3.95 | 2 | 1.33 | 0.33 | |
| 8 | 0.90 | 0.90 | 0.52 | −112.87 | 3.96 | 2 | 1.30 | 0.28 | |
| 9 | 0.91 | 0.90 | 0.52 | −113.41 | 3.96 | 2 | 1.30 | 0.28 | |
| 10 | 0.86 | 0.86 | 0.63 | −77.58 | 3.94 | 2 | 1.36 | 0.44 | |
| 11 | 0.89 | 0.89 | 0.55 | −100.26 | 3.95 | 2 | 1.32 | 0.34 | |
| 12 | 0.91 | 0.91 | 0.52 | −108.49 | 3.96 | 2 | 1.28 | 0.29 | |
| 13 | 0.93 | 0.92 | 0.47 | −127.6 | 3.97 | 2 | 1.26 | 0.24 | |
| 14 | 0.92 | 0.91 | 0.49 | −124.04 | 3.96 | 2 | 1.27 | 0.25 | |
| Total biomass | 0.95 | 0.94 | 0.42 | −148 | 2.78 | 2 | 1.23 | 0.19 |
| Growing Years | Biomass (t ha−1) | |||
|---|---|---|---|---|
| Leaf | Stem | Root | Total | |
| 2 | 0.001 ± 0.001 | 0.003 ± 0.002 | 0.002 ± 0.002 | 0.006 ± 0.002 |
| 3 | 0.003 ± 0.002 | 0.009 ± 0.004 | 0.004 ± 0.003 | 0.017 ± 0.003 |
| 4 | 0.013 ± 0.011 | 0.032 ± 0.024 | 0.01 ± 0.009 | 0.055 ± 0.015 |
| 5 | 0.082 ± 0.063 | 0.125 ± 0.065 | 0.046 ± 0.036 | 0.253 ± 0.055 |
| 6 | 0.201 ± 0.106 | 0.185 ± 0.023 | 0.083 ± 0.051 | 0.469 ± 0.060 |
Disclaimer/Publisher’s Note: The statements, opinions and data contained in all publications are solely those of the individual author(s) and contributor(s) and not of MDPI and/or the editor(s). MDPI and/or the editor(s) disclaim responsibility for any injury to people or property resulting from any ideas, methods, instructions or products referred to in the content. |
© 2024 by the authors. Licensee MDPI, Basel, Switzerland. This article is an open access article distributed under the terms and conditions of the Creative Commons Attribution (CC BY) license (https://creativecommons.org/licenses/by/4.0/).
Share and Cite
Oumasst, A.; Tiouidji, F.E.; Tabi, S.; Zahidi, A.; El Mousadik, A.; El Finti, A.; Aitlhaj, A.; Hallam, J. Development of Allometric Equations to Determine the Biomass of Plant Components and the Total Storage of Carbon Dioxide in Young Mediterranean Argan Trees. Sustainability 2024, 16, 4592. https://doi.org/10.3390/su16114592
Oumasst A, Tiouidji FE, Tabi S, Zahidi A, El Mousadik A, El Finti A, Aitlhaj A, Hallam J. Development of Allometric Equations to Determine the Biomass of Plant Components and the Total Storage of Carbon Dioxide in Young Mediterranean Argan Trees. Sustainability. 2024; 16(11):4592. https://doi.org/10.3390/su16114592
Chicago/Turabian StyleOumasst, Assma, Fatima Ezzahra Tiouidji, Salma Tabi, Abdelaziz Zahidi, Abdelhamid El Mousadik, Aissam El Finti, Abderrahmane Aitlhaj, and Jamal Hallam. 2024. "Development of Allometric Equations to Determine the Biomass of Plant Components and the Total Storage of Carbon Dioxide in Young Mediterranean Argan Trees" Sustainability 16, no. 11: 4592. https://doi.org/10.3390/su16114592
APA StyleOumasst, A., Tiouidji, F. E., Tabi, S., Zahidi, A., El Mousadik, A., El Finti, A., Aitlhaj, A., & Hallam, J. (2024). Development of Allometric Equations to Determine the Biomass of Plant Components and the Total Storage of Carbon Dioxide in Young Mediterranean Argan Trees. Sustainability, 16(11), 4592. https://doi.org/10.3390/su16114592

