The Structural Design of and Experimental Research on a Coke Oven Gas Burner
Abstract
1. Introduction
2. Burner Model and Experimental Methods
2.1. The Novel Low-NOx Gas Burner Proposed in This Paper
2.2. Test System
2.2.1. Cold-State Test System
2.2.2. Measurement Point Arrangement
2.3. Design of Test Conditions
2.4. Data Processing
2.4.1. Dimensionless Velocity
2.4.2. Dimensionless Fuel–Air Ratio
2.4.3. Cross-Sectional Uniformity Index
2.4.4. Evaluation of Uncertainties
2.5. Numerical Model
2.5.1. Continuity Equation
2.5.2. Momentum Equation
2.5.3. Energy Equation
2.5.4. Realizable k-ε Equation
2.6. Numerical Simulation Method
3. Experimental Results and Discussion
3.1. Novel Gas Burner Performance Overview
3.1.1. Aerodynamic Field Characteristics
3.1.2. Gas Concentration Distribution Characteristics
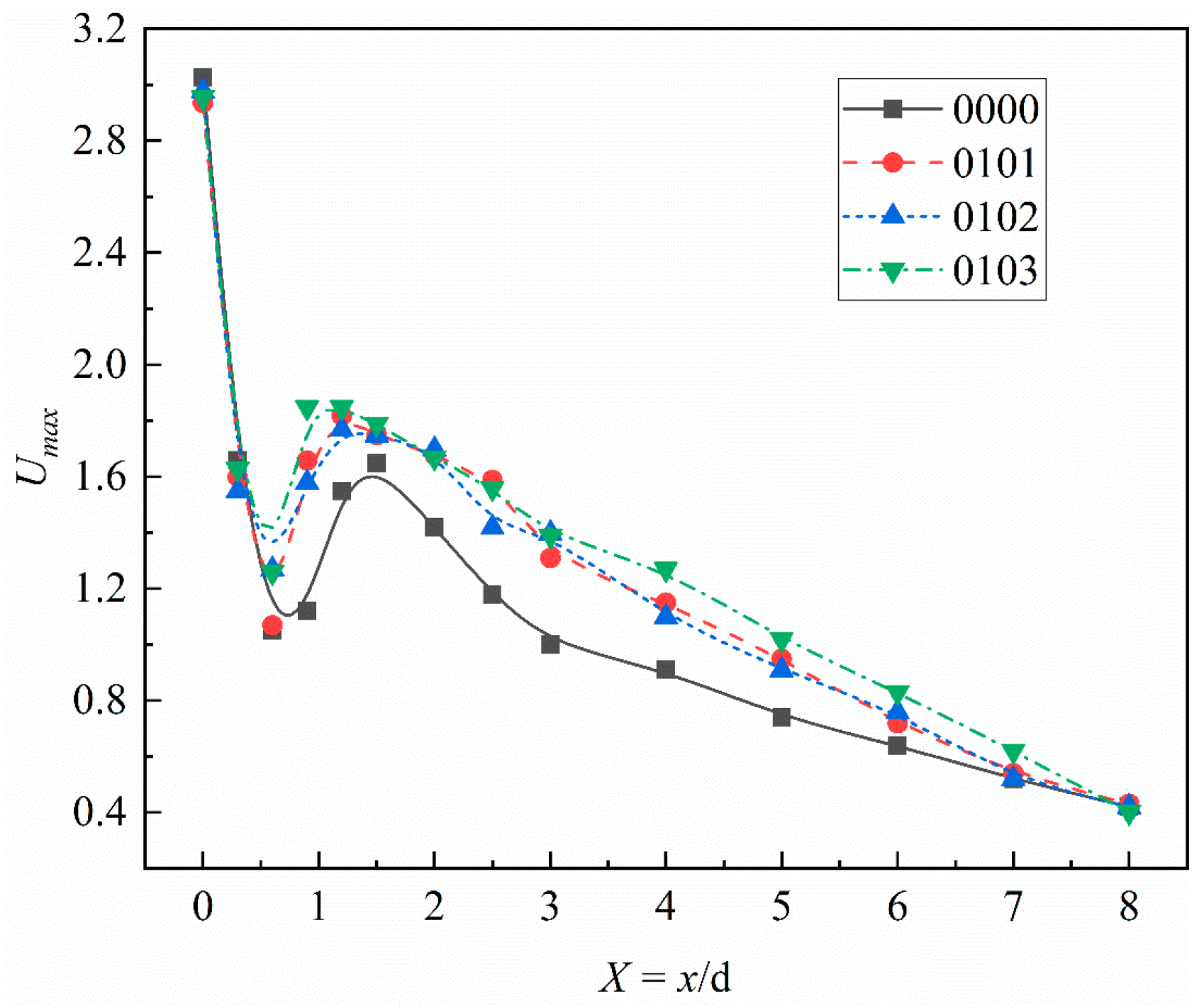
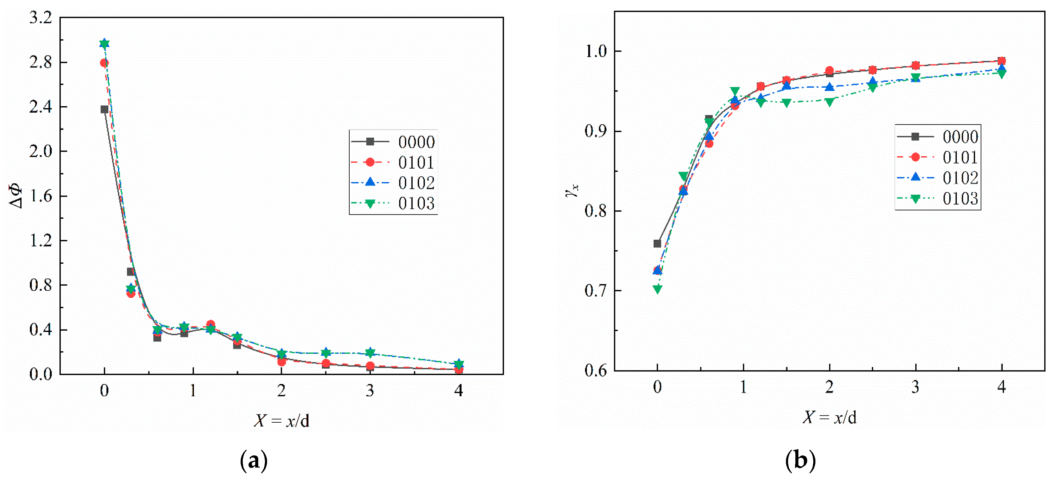
3.2. Effect of β on the Burner Aerodynamic Field and Gas Concentration Field
3.2.1. Aerodynamic Field Characteristics
3.2.2. Gas Concentration Distribution Characteristics
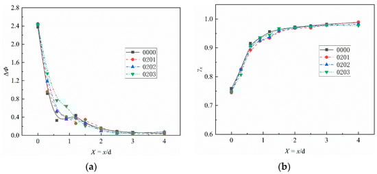
3.3. Effect of λ on the Burner Aerodynamic Field and Gas Concentration Field
3.3.1. Aerodynamic Field Characteristics
3.3.2. Gas Concentration Distribution Characteristics
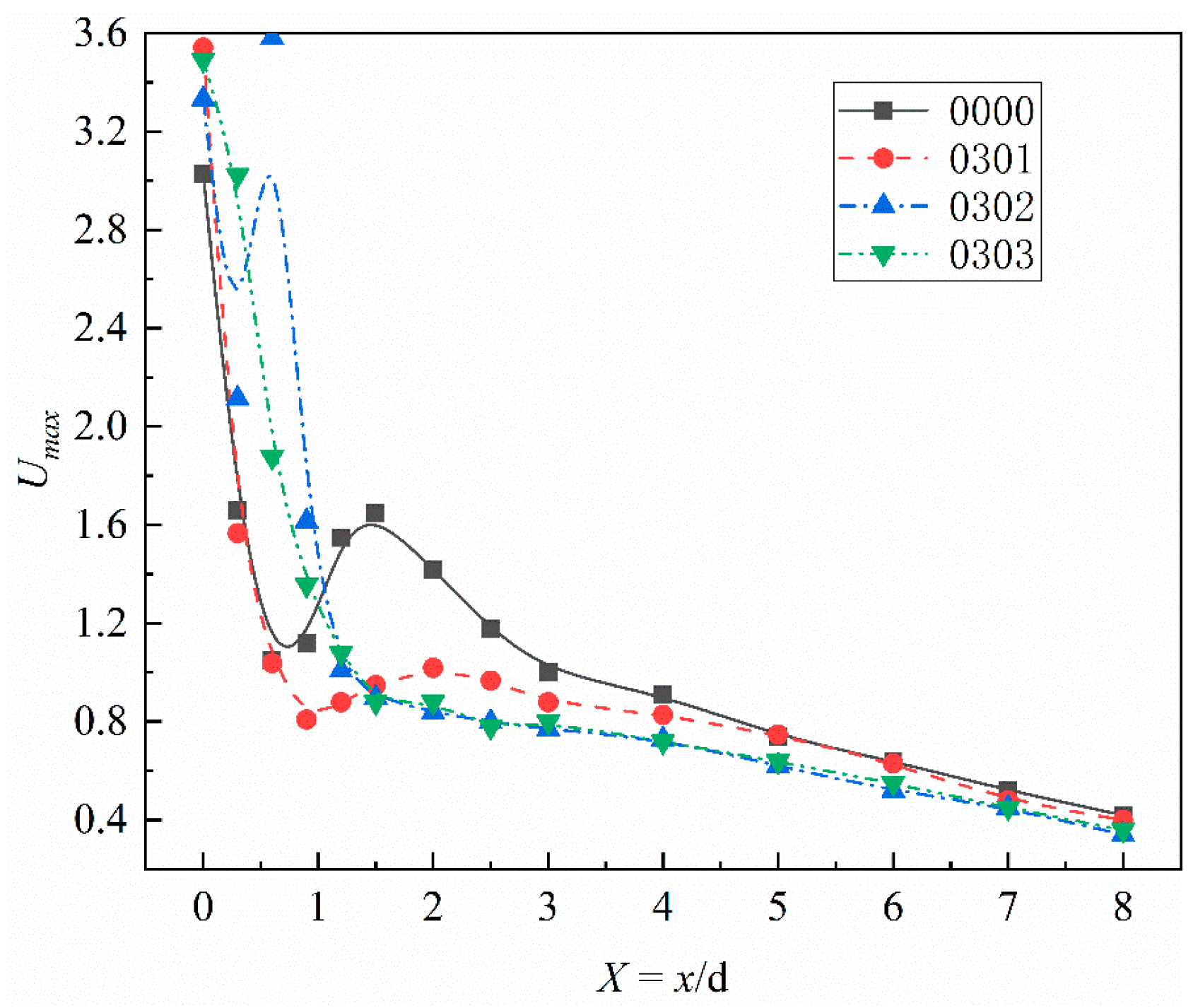
3.4. Effect of α on the Burner Aerodynamic Field and Gas Concentration Field
3.4.1. Aerodynamic Field Characteristics
3.4.2. Gas Concentration Distribution Characteristics
3.5. Effect of θ on the Burner Aerodynamic Field and Gas Concentration Field
3.6. Recommended Burner Design and Structure
3.7. Analysis of Numerical Simulation Results
3.7.1. Validation of Numerical Simulation against Experiment
3.7.2. Numerical Simulation Analysis of 14 MW Burner
4. Conclusions
- (1)
- The angle of the No. 3 and No. 4 gas pipes has a significant impact on the aerodynamic field and gas concentration field of the burner. Increasing β or λ causes the high-velocity zone and high-concentration zone of the flow field to shift towards the center axis direction; conversely, decreasing these angles shifts the zones towards the outer layer of the jet. Similarly, increasing α or θ shifts the high-velocity zone and high-concentration zone towards the upstream direction of the jet, while decreasing these angles shifts the zones towards the downstream direction of the jet.
- (2)
- As the jet distance increases, the uniformity of gas–air mixing gradually improves. Local gas aggregation has a minimal impact on the overall mixing of gas and air in the flow field. When the dimensionless jet distance exceeds 1, gas and air achieve complete mixing, resulting in a cross-section uniformity index of over 0.95.
- (3)
- The simulation results show that the average temperature inside the combustion chamber is about 1622.23 K. The NO concentration at the exit of the combustion chamber is 17 mg/m3 (3.5% oxygen content), which meets the requirement of ultra-low NOx emission.
- (4)
- Within the experimental test range, the optimal design structure of the burner consists of a deflection angle of 0° and a bending angle of 0° for the No. 3 gas pipe, and a deflection angle of 15° and a bending angle of 30° for the No. 4 gas pipe.
Author Contributions
Funding
Institutional Review Board Statement
Informed Consent Statement
Data Availability Statement
Conflicts of Interest
References
- Compais, P.; Arroyo, J.; Tovar, F.; Cuervo-Piñera, V.; Gil, A. Promoting the valorization of blast furnace gas in the steel industry with the visual monitoring of combustion and artificial intelligence. Fuel 2024, 362, 130770. [Google Scholar] [CrossRef]
- Kim, S.; Kim, J. The optimal carbon and hydrogen balance for methanol production from coke oven gas and Linz-Donawitz gas: Process development and techno-economic analysis. Fuel 2020, 266, 117093. [Google Scholar] [CrossRef]
- Mariños Rosado, D.J.; Rojas Chávez, S.B.; Amaro Gutierrez, J.; Mayworm de Araújo, F.H.; de Carvalho, J.A.; Mendiburu, A.Z. Energetic analysis of reheating furnaces in the combustion of coke oven gas, Linz-Donawitz gas and blast furnace gas in the steel industry. Appl. Therm. Eng. 2020, 169, 114905. [Google Scholar] [CrossRef]
- Wen, S.; Zhou, K.; Lu, Q. A discussion on CBM development strategies in China: A case study of PetroChina Coalbed Methane Co., Ltd. Nat. Gas Ind. B 2019, 6, 610–618. [Google Scholar] [CrossRef]
- Du, Y.; Xing, M.; Zhang, J.; Zhang, J.; Deng, L.; Che, D. Combustion characteristic of low calorific gas under pilot ignition condition—Exploring the influence of pilot flame products. Fuel 2023, 333, 126613. [Google Scholar] [CrossRef]
- Paulauskas, R.; Skvorčinskienė, R.; Zakarauskas, K.; Striūgas, N. Combustion performance of low calorific gas enriched by oxygen and ozone. Fuel 2022, 324, 124761. [Google Scholar] [CrossRef]
- Zhang, L.; Li, S.; Yao, M.; Zhou, H.; Ren, Z. Analysis of operating limits and combustion state regulation for low-calorific value gases in industrial burners. Int. J. Hydrog. Energy 2022, 47, 1306–1318. [Google Scholar] [CrossRef]
- Shui, H.; Wang, Y.; Liu, Z.; Guo, W. Optimal parameter adjustment of catalytic combustion heaters for oil shale in-situ conversion of low calorific value gases. J. Clean. Prod. 2023, 426, 139020. [Google Scholar] [CrossRef]
- Razzaq, R.; Li, C.; Zhang, S. Coke oven gas: Availability, properties, purification, and utilization in China. Fuel 2013, 113, 287–299. [Google Scholar] [CrossRef]
- Yang, M.; Zhang, M.; Han, M.; Zhou, S. Coke oven gas utilization status and development direction. Coal Mine Mod. 2011, 6, 1–4. [Google Scholar] [CrossRef]
- Agency, I.E. Tracking Industrial Energy Efficiency and CO2 Emissions. Int. Energy Agency 2007, 34, 1–12. [Google Scholar]
- Wang, Q.; Wang, E.; Li, X.; Hu, Z.; Liu, D.; Yu, Y. Numerical Investigation and Improvement of Coke Oven Gas-Fired W-Shaped Radiant Tubes for NOx Reduction. Energy Fuels 2020, 34, 4925–4933. [Google Scholar] [CrossRef]
- Yan, B.; Xue, C.; Ba, H.; Fan, H.; Li, F. Reviews on the Comprehensive Utilization of Coke Oven Gas. Shandong Chem. Ind. 2020, 49, 87–90. [Google Scholar] [CrossRef]
- Zhou, J.-W. Analysis on Comprehensive Utilization Technology of Coke Oven Gas. Chem. Eng. Des. Commun. 2020, 46, 4–6. [Google Scholar] [CrossRef]
- GB 13271-2014; Emission Standard of Air Pollutants for Boiler. China Environmental Press: Beijing, China, 2014.
- DB 11/139-2015; Emission Standard of Air Pollutants for Boliers. Beijing Municipal Ecology and Environment Bureau: Beijing, China, 2015.
- Zhang, L.; Xie, W.; Ren, Z. Combustion stability analysis for non-standard low-calorific gases: Blast furnace gas and coke oven gas. Fuel 2020, 278, 118216. [Google Scholar] [CrossRef]
- Cai, S.; Zhang, L.; Pu, K.; Zhou, J. Experimental study on optimization of low calorific value coal bed methane burner structure. J. Eng. Therm. Energy Power 2012, 27, 202–206. [Google Scholar]
- Bâ, A.; Cessou, A.; Marcano, N.; Panier, F.; Tsiava, R.; Cassarino, G.; Ferrand, L.; Honoré, D. Oxyfuel combustion and reactants preheating to enhance turbulent flame stabilization of low calorific blast furnace gas. Fuel 2019, 242, 211–221. [Google Scholar] [CrossRef]
- Karyeyen, S.; Ilbas, M. Experimental and numerical analysis of turbulent premixed combustion of low calorific value coal gases in a generated premixed burner. Fuel 2018, 220, 586–598. [Google Scholar] [CrossRef]
- Weiss, C.; Rieger, J.; Rummer, B. Formation and Control of Nitrogen Oxide in the Heating System of a Coke Oven. Environ. Eng. Sci. 2012, 29, 555–562. [Google Scholar] [CrossRef]
- Zeldovich, I.A.B.; Barenblatt, G.I.; Librovich, V.B.; Makhviladze, G.M. The Mathematical Theory of Combustion and Explosions; Plenum Press: New York, NY, USA, 1985; 597p. [Google Scholar]
- Merzhanov, A.G.; Sirignano, W.A.; Luca, L.D. Advances in Combustion Science: In Honor of Ya. B. Zel’dovich; American Institute of Aeronautics and Astronautics: Washington, DC, USA, 1997. [Google Scholar]
- Zhong, Y. Formation mechanism and control of NOx during coke oven heating and combustion. Fuel Chem. Process 2009, 40, 5–12. [Google Scholar] [CrossRef]
- Cao, Y.; Du, Z.; Hu, Z.; Jin, S.; Lu, W.; Zhang, R. The Effects of the Size and Location of the Recirculation Windows of Combustion Chambers in a Coke Oven on Emissions of NO and Unburnt Fuels by CFD Numerical Simulation. IOP Conf. Ser. Mater. Sci. Eng. 2020, 964, 012006. [Google Scholar] [CrossRef]
- Poraj, J.; Gamrat, S.; Bodys, J.; Smolka, J.; Adamczyk, W. Numerical study of air staging in a coke oven heating system. Clean Technol. Environ. Policy 2016, 18, 1815–1825. [Google Scholar] [CrossRef]
- Paubel, X.; Cessou, A.; Honore, D.; Vervisch, L.; Tsiava, R. A flame stability diagram for piloted non-premixed oxycombustion of low calorific residual gases. Proc. Combust. Inst. 2007, 31, 3385–3392. [Google Scholar] [CrossRef]
- Pei, Y.; Liu, Q.; Wang, C.; Wang, G. Energy efficiency prediction model and energy characteristics of subsea disc pump based on velocity slip and similarity theory. Energy 2021, 229, 120690. [Google Scholar] [CrossRef]
- Zhang, W.; Chai, X.; Li, S. Research on Definition and Influential Factors for Smoke Temperature of the Furnace Outlet of the Horizontal Internal-combustion Oil-fired (Gas) Boiler. Ind. Boil. 2001, 4, 2–6. [Google Scholar] [CrossRef]























| Number | Name | Symbol | Unit | Value |
|---|---|---|---|---|
| 1 | Excess air factor | α | 1 | 1.05 |
| 2 | Gas consumption | Vfuel | m3·h−1 | 8.60 |
| 3 | Air consumption | Vair | m3·h−1 | 39.21 |
| Air distribution ratio | ||||
| 4 | Center DC air rate | ηD1 | % | 2.51 |
| 5 | Cyclone air rate | ηD2 | % | 54.47 |
| 6 | Peripheral DC air rate | ηD3 | % | 43.02 |
| Gas distribution ratio | ||||
| 7 | No. 1 pipe gas volume share | η1 | % | 3.39 |
| 8 | No. 2 pipe gas volume share | η2 | % | 19.57 |
| 9 | No. 3 pipe gas volume share | η3 | % | 56.64 |
| 10 | No. 4 pipe gas volume share | η4 | % | 20.40 |
| Number | X | Δx/mm | Δr/mm |
|---|---|---|---|
| 1 | 0 | / | 5, 10 |
| 2 | 0.3 | 15 | 5, 10 |
| 3 | 0.6 | 15 | 5, 10 |
| 4 | 0.9 | 15 | 5, 10 |
| 5 | 1.2 | 15 | 5, 10 |
| 6 | 1.5 | 15 | 5, 10 |
| 7 | 2.0 | 25 | 10 |
| 8 | 2.5 | 25 | 10 |
| 9 | 3.0 | 25 | 10 |
| 10 | 4.0 | 50 | 10 |
| 11 | 5.0 | 50 | 10 |
| 12 | 6.0 | 50 | 10 |
| 13 | 7.0 | 50 | 10 |
| 14 | 8.0 | 50 | 10 |
| Group | Case | No. 3 Gas Pipe | No. 4 Gas Pipe | Clarification | ||
|---|---|---|---|---|---|---|
| α | β | θ | λ | |||
| 0000 | 15° | 0° | 45° | 15° | Original structure | |
| 1 | 0101 | 15° | 40° | 45° | 15° | Increase β |
| 0102 | 15° | 65° | 45° | 15° | ||
| 0103 | 15° | 90° | 45° | 15° | ||
| 2 | 0201 | 15° | 0° | 45° | 40° | Increase λ |
| 0202 | 15° | 0° | 45° | 65° | ||
| 0203 | 15° | 0° | 45° | 90° | ||
| 3 | 0301 | 0° | 0° | 45° | 15° | Increase α |
| 0302 | 30° | 0° | 45° | 15° | ||
| 0303 | 45° | 0° | 45° | 15° | ||
| 4 | 0401 | 15° | 0° | 0° | 15° | Increase θ |
| 0402 | 15° | 0° | 15° | 15° | ||
| 0403 | 15° | 0° | 30° | 15° | ||
Disclaimer/Publisher’s Note: The statements, opinions and data contained in all publications are solely those of the individual author(s) and contributor(s) and not of MDPI and/or the editor(s). MDPI and/or the editor(s) disclaim responsibility for any injury to people or property resulting from any ideas, methods, instructions or products referred to in the content. |
© 2024 by the authors. Licensee MDPI, Basel, Switzerland. This article is an open access article distributed under the terms and conditions of the Creative Commons Attribution (CC BY) license (https://creativecommons.org/licenses/by/4.0/).
Share and Cite
Geng, M.; Jin, S.; Wang, D. The Structural Design of and Experimental Research on a Coke Oven Gas Burner. Sustainability 2024, 16, 4185. https://doi.org/10.3390/su16104185
Geng M, Jin S, Wang D. The Structural Design of and Experimental Research on a Coke Oven Gas Burner. Sustainability. 2024; 16(10):4185. https://doi.org/10.3390/su16104185
Chicago/Turabian StyleGeng, Mingrui, Suyi Jin, and Denghui Wang. 2024. "The Structural Design of and Experimental Research on a Coke Oven Gas Burner" Sustainability 16, no. 10: 4185. https://doi.org/10.3390/su16104185
APA StyleGeng, M., Jin, S., & Wang, D. (2024). The Structural Design of and Experimental Research on a Coke Oven Gas Burner. Sustainability, 16(10), 4185. https://doi.org/10.3390/su16104185

