Unveiling Microplastic Abundance and Distribution in an Oceanic Island: Offshore Depository or Local Pollution Indicator
Abstract
1. Introduction
2. Materials and Methods
2.1. Study Area
2.2. Data Collection
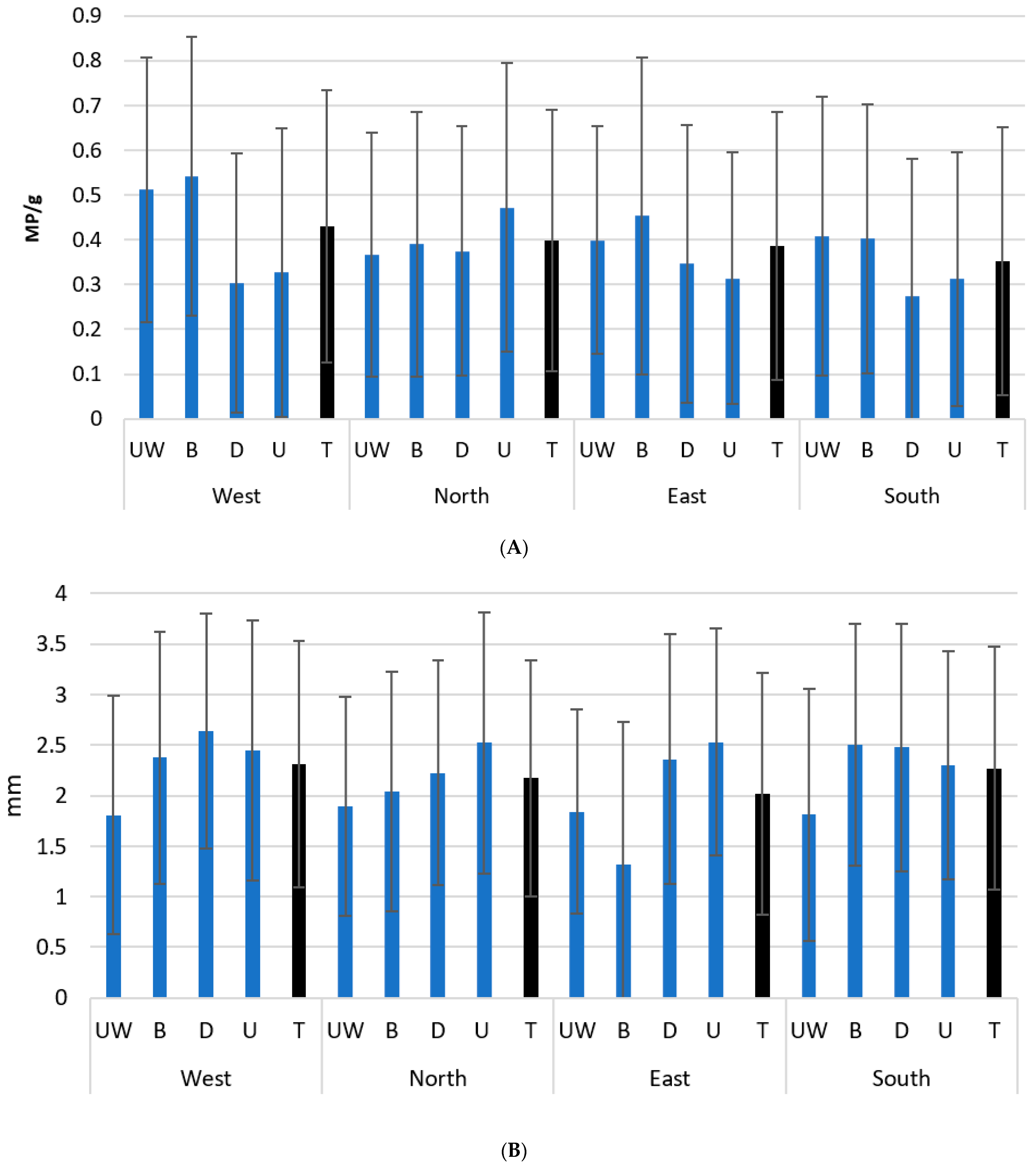
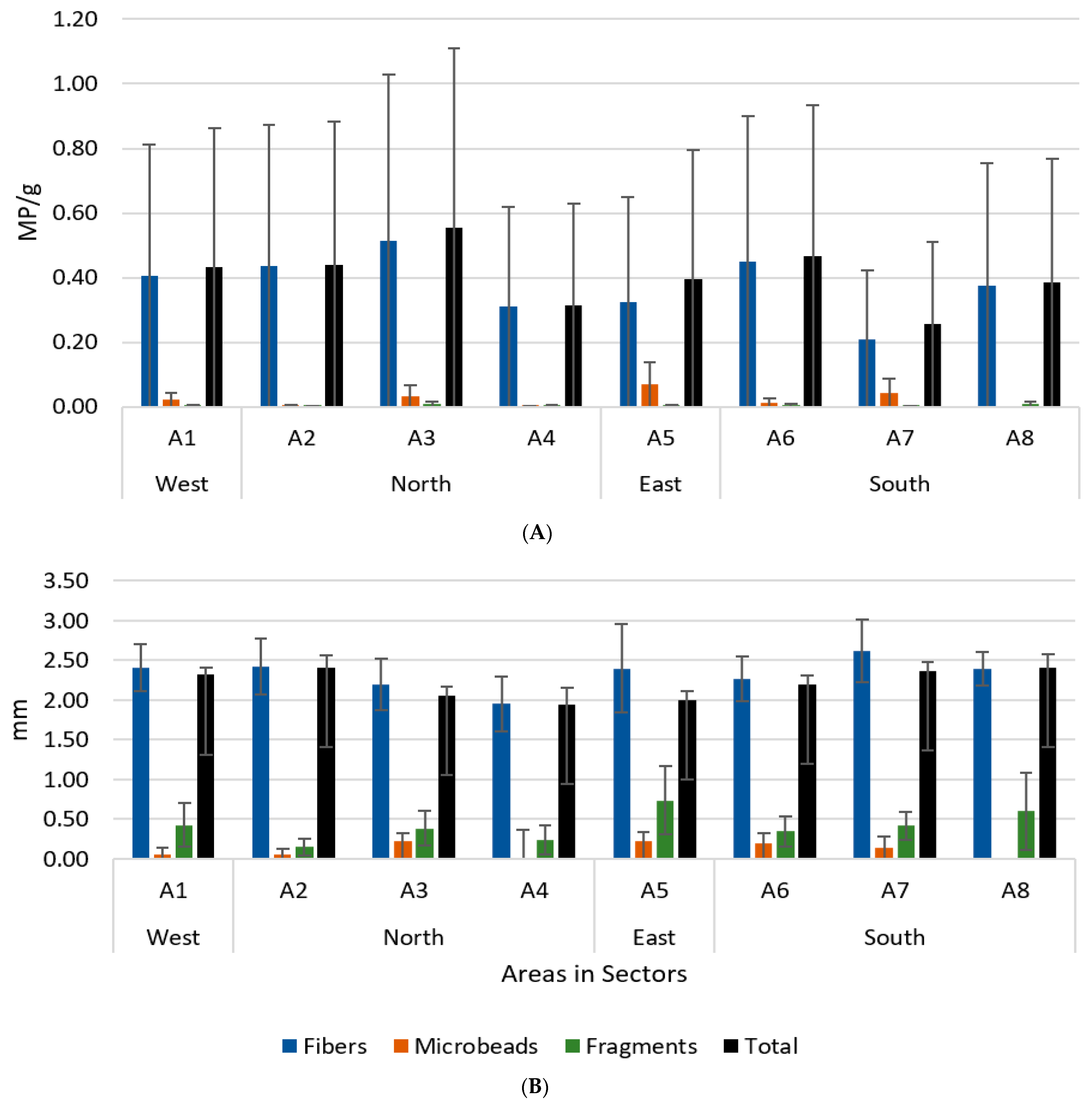
- First, sediment samples were collected at four sites, namely upstream (U) and downstream (D) stretches of water courses, adjacent beach (B), and underwater marine environment (UW), distributed among eight areas (A1–A8; marked with black circles in Figure 1), covering all the coastline of São Miguel in the four sectors (north, south, east, and west), following a nested approach (sector, area, and site). Sites were separated by a minimum of 300 m apart, and, in each one, 5 replicates were collected approximately 10 m apart. Underwater samples were collected from the higher sediment blanket (at 15 m depth), and the same process was used in overflood streams. The design was used to analyse the microplastic composition and abundance gradient from inshore areas until the sea;
- The second design covered the sampling of 15 beaches (B1—B15; marked with red crosses in Figure 1) nested in the four sectors (north, south, east, and west) during the same period. Again, on each beach, five replicates 10 m apart were collected. This alternative approach was performed to allow for more comprehensive coverage of the entire island coastline, considering the easier local access to these sites, and to produce comparable results with other studies, since most works focus on beaches.
2.3. Laboratory Processing and Analysis
2.4. Quality Control
2.5. Data Analysis
- Three factors, treated as random, with two nested terms design, for abundance (I) and dimension (II) variables: island sector (north, south, east, and west), areas (A1–A8) within sectors and sites (U, D, B, and UW) within areas and sectors;
- Two factors, treated as random, with one nested term design, for abundance (III) and dimension (IV) variables: island sector (north, south, east, and west) and beaches (B1–B15) within sectors.
3. Results
3.1. Island Sectors and Areas
3.2. Beaches
4. Discussion
4.1. Categories and Colours
4.2. Abundance
4.3. Dimension
4.4. Limitations and Future Perspectives
4.5. Local Actions
5. Conclusions
Author Contributions
Funding
Institutional Review Board Statement
Informed Consent Statement
Data Availability Statement
Acknowledgments
Conflicts of Interest
References
- Pieper, C.; Magalhães Loureiro, C.; Law, K.L.; Amaral-Zettler, L.A.; Quintino, V.; Rodrigues, A.M.; Ventura, M.A.; Martins, A. Marine litter footprint in the Azores Islands: A climatological perspective. Sci. Total Environ. 2021, 761, 143310. [Google Scholar] [CrossRef]
- Consoli, P.; Falautano, M.; Sinopoli, M.; Perzia, P.; Canese, S.; Esposito, V.; Battaglia, P.; Romeo, T.; Andaloro, F.; Galgani, F.; et al. Composition and abundance of benthic marine litter in a coastal area of the central Mediterranean Sea. Mar. Pollut. Pollut. Bull. 2018, 136, 243–247. [Google Scholar] [CrossRef]
- Hall, K. Impacts of Marine Debris and Oil: Economic and Social Costs to Coastal Communities; Kommunenes Internasjonale Miljoorganisasjon (KIMO): Shetland, UK, 2018. [Google Scholar]
- Mouat, J.; Lozano, R.L.; Bateson, H. Economic Impacts of Marine Litter; KIMO International: Shetland, UK, 2010. [Google Scholar]
- Rodríguez, Y.; Ressurreição, A.; Pham, C.K. Socio-economic impacts of marine litter for remote oceanic islands: The case of the Azores. Mar. Pollut. Pollut. Bull. 2020, 160, 111631. [Google Scholar] [CrossRef] [PubMed]
- Van Emmerik, T.; Schwarz, A. Plastic debris in rivers. WIREs Water 2020, 7, e1398. [Google Scholar] [CrossRef]
- Sartain, M.; Wesseal, C.; Sparks, E. Microplastics sampling and processing guidebook. Miss. State Univ. 2021, 3243, 6–21. [Google Scholar]
- IUCN Issues Brief. Available online: https://www.iucn.org/resources/iucn-issues-briefs. (accessed on 24 October 2022).
- Shen, M.; Huang, W.; Chen, M.; Song, B.; Zeng, G.; Zhang, Y. (Micro)plastic crisis: Un-ignorable contribution to global greenhouse gas emissions and climate change. J. Clean. Prod. 2022, 254, 120138. [Google Scholar] [CrossRef]
- Lots, F.; Behrens, P.; Vijver, M.G.; Horton, A.A.; Bosker, T. A large-scale investigation of microplastic contamination: Abundance and characteristics of microplastics in European beach sediment. Mar. Pollut. Bull. 2017, 123, 219–226. [Google Scholar] [CrossRef]
- Engelhardt, A. The Fiber Year 2008/09 A World-survery on Textile and Nonwovens Industry; Issue 10; Oerlikon Textile GmbH & Co. KG: Remscheid, Germany, 2009. [Google Scholar]
- Gross, M. Oceans of plastic waste. Curr. Biol. 2015, 25, 93–96. [Google Scholar] [CrossRef]
- Xanthos, D.; Walker, T.R. International policies to reduce plastic marine pollution from single-use plastics (plastic bags and microbeads): A review. Mar. Pollut. Pollut. Bull. 2017, 118, 17–26. [Google Scholar] [CrossRef] [PubMed]
- Li, W.C.; Tse, H.F.; Fok, L. Plastic waste in the marine environment: A review of sources, occurrence and effects. Sci. Total Environ. 2016, 566–567, 333–349. [Google Scholar] [CrossRef]
- Jamieson, A.J.; Brooks, L.; Reid, W.; Piertney, S.B.; Narayanaswamy, B.E.; Linley, T.D. Microplastics and synthetic particles ingested by deep-sea amphipods in six of the deepest marine ecosystems on Earth. R. Soc. Open Sci. 2019, 6, 180667. [Google Scholar] [CrossRef] [PubMed]
- Abel, S.M. Final Destination Deep Sea: Microplastics’ Impact on Ocean Floor Even Greater Than Assumed (12 July 2022). Available online: https://phys.org/news/2022-07-destination-deepsea-microplastics-impact.html (accessed on 2 August 2022).
- Wan, Y.; Wu, C.; Xue, Q.; Hui, X. Effects of plastic contamination on water evaporation and desiccation cracking in soil. Sci. Total Environ. 2019, 654, 576–582. [Google Scholar] [CrossRef] [PubMed]
- Shen, M.; Ye, S.; Zeng, G.; Zhang, Y.; Xing, L.; Tang, W.; Wen, X.; Liu, S. Can microplastics pose a threat to ocean carbon sequestration? Mar. Pollut. Bull. 2020, 150, 110712. [Google Scholar] [CrossRef] [PubMed]
- Miller, M.E.; Hamann, M.; Kroon, F.J. Bioaccumulation and biomagnification of microplastics in marine organisms: A review and meta-analysis of current data. PLoS ONE 2020, 15, e0240792. [Google Scholar] [CrossRef] [PubMed]
- Crawford, C.B.; Quinn, B. Microplastic Pollutants, 1st ed.; Elsevier Limited: Amsterdam, The Netherlands, 2016. [Google Scholar]
- Lönnstedt, O.M.; Eklöv, P. Environmentally relevant concentrations of microplastic particles influence larval fish ecology. Science 2016, 352, 1213–1216. [Google Scholar] [CrossRef] [PubMed]
- Cverenkárová, K.; Valachovičová, M.; Mackuľak, T.; Žemlička, L.; Bírošová, L. Microplastics in the Food Chain. Life 2021, 11, 1349. [Google Scholar] [CrossRef] [PubMed]
- Cannon, S.M.; Lavers, J.L.; Figueiredo, B. Plastic ingestion by fish in the Southern Hemisphere: A baseline study and review of methods. Mar. Pollut. Bull. 2016, 107, 286–291. [Google Scholar] [CrossRef] [PubMed]
- Susanti, N.K.Y.; Mardiastuti, A.; Wardiatno, Y. Microplastics and the Impact of Plastic on Wildlife: A Literature Review. IOP Conf. Ser. Earth Environ. Sci. 2013, 528, 012013. [Google Scholar] [CrossRef]
- Thompson, R.C.; Olsen, Y.; Mitchell, R.P.; Davis, A.; Rowland, S.J.; John, A.W.; McGonigle, D.; Russell, A.E. Lost at sea: Where is all the plastic? Science 2004, 304, 838. [Google Scholar] [CrossRef]
- Martins, A.M.; Amorim, A.S.B.; Figueiredo, M.P.; Souza, R.J.; Mendonça, A.P.; Bashmachnikov, I.L.; Carvalho, D.S. Sea surface temperature (AVHRR, MODIS) and ocean colour (MODIS) seasonal and interannual variability in the Macaronesian islands of Azores, Madeira, and Canaries. Remote Sens. Ocean Sea Ice Large Water Reg. 2007, 6743, 75–89. [Google Scholar] [CrossRef]
- Bashmachnikov, I.; Machín, F.; Mendonça, A.; Martins, A. In situ and remote sensing signature of meddies East of the mid-Atlantic ridge. J. Geophys. Res. 2009, 114, C05018. [Google Scholar] [CrossRef]
- Pham, C.K.; Pereira, J.M.; Frias, J.; Ríos, N.; Carriço, R.; Juliano, M.; Rodríguez, Y. Beaches of the Azores archipelago as transitory repositories for small plastic fragments floating in the North-East Atlantic. Environ. Pollut. 2020, 263, 114494. [Google Scholar] [CrossRef] [PubMed]
- Rodríguez, Y.; Pham, C.K. Marine litter on the seafloor of the Faial-Pico Passage, Azores Archipelago. Mar. Pollut. Bull. 2017, 116, 448–453. [Google Scholar] [CrossRef] [PubMed]
- Xiao, S.; Cui, Y.; Brahney, J.; Mahowals, N.M.; Li, Q. Long-distance atmospheric transport of microplastics fibers influenced by their shapes. Nat. Geosci. 2023, 16, 863–870. [Google Scholar] [CrossRef]
- Dris, R.; Gaspéri, J.; Mirande, C.; Mandin, C.; Guerrouache, M.; Langlois, V.; Tassin, B. A first overview of textile fibers, including microplastics, in indoor and outdoor environments. Environ. Pollut. 2017, 221, 453–458. [Google Scholar] [CrossRef]
- Kanhai, L.; Officer, R.; Lyashevska, O.; Thompson, R.; O’Connor, I. Microplastic abundance, distribution and composition along a latitudinal gradient in the Atlantic Ocean. Mar. Pollut. Bull. 2017, 115, 307–314. [Google Scholar] [CrossRef] [PubMed]
- SREA—Serviço Regional de Estatística dos Açores. 2021. Available online: https://srea.azores.gov.pt/ (accessed on 12 November 2021).
- Valente, M.A.; Miranda, P.M.A.; Aguiar, A. Climate Change Scenarios in the Azores And Madeira Islands. World Resour. Rev. 2004, 16, 473–491. [Google Scholar]
- Hidalgo-Ruz, V.; Gutow, L.; Thompson, R.C.; Thiel, M. Microplastics in the marine environment: A review of the methods used for identification and quantification. Environ. Sci. Technol. 2012, 46, 3060–3075. [Google Scholar] [CrossRef] [PubMed]
- Karthik, R.; Robin, R.S.; Purvaja, R.; Ganguly, D.; Anandavelu, I.; Raghuraman, R.; Hariharan, G.; Ramakrishna, A.; Ramesh, R. Microplastics along the beaches of Southeast coast of India. Sci. Total Environ. 2018, 645, 1388–1399. [Google Scholar] [CrossRef]
- Lefebvre, C.; Rojas, I.J.; Lasserre, J.; Villette, S.; Lecomte, S.; Cachot, J.; Morin, B. Stranded in the high tide line: Spatial and temporal variability of beached microplastics in a semi-enclosed embayment (Arcachon, France). Sci. Total Environ. 2021, 797, 149144. [Google Scholar] [CrossRef]
- Cozzolino, L. Service or Disservice? The Role of Marine Coastal Bioengineers in Plastic Debris Trapping. Tese de Mestrado, Universidade do Algarve. 2019. Available online: http://hdl.handle.net/10400.1/15029 (accessed on 11 May 2023).
- Frias, J.P.; Gago, J.; Otero, V.; Sobral, P. Microplastics in coastal sediments from Southern Portuguese shelf waters. Mar. Environ. Res. 2016, 114, 24–30. [Google Scholar] [CrossRef]
- Piñon-Colin, T.J.; Rodriguez-Jimenez, R.; Pastrana-Corral, M.A.; Rogel-Hernandez, E.; Wakida, F.T. Microplastics on sandy beaches of the Baja California Peninsula, Mexico. Mar. Pollut. Bull. 2018, 131, 63–71. [Google Scholar] [CrossRef] [PubMed]
- Laglbauer, B.J.L.; Franco-Santos, R.M.; Andreu-Cazenave, M.; Brunelli, L.; Papadatou, M.; Palatinus, A.; Grego, M.; Deprez, T. Macrodebris and microplastics from beaches in Slovenia. Mar. Pollut. Bull. 2014, 89, 356–366. [Google Scholar] [CrossRef] [PubMed]
- Mai, L.; Bao, L.J.; Shi, L.; Wong, C.S.; Zeng, E.Y. A review of methods for measuring microplastics in aquatic environments. Environ. Sci. Pollut. Res. Int. 2018, 25, 11319–11332. [Google Scholar] [CrossRef]
- Quinn, B.; Murphy, F.; Ewins, C. Validation of density separation for the rapid recovery of microplastics from sediment. Anal. Methods 2017, 9, 1491–1498. [Google Scholar] [CrossRef]
- Nel, H.A.; Froneman, P.H. Presence of microplastics in the tube structure of the reef-building polychaete Gunnarea gaimardi (Quatrefages 1848). Afr. J. Mar. Sci. 2018, 40, 87–89. [Google Scholar] [CrossRef]
- Desforges, J.P.; Galbraith, M.; Dangerfield, N.; Ross, P.S. Widespread distribution of microplastics in subsurface seawater in the NE Pacific Ocean. Mar. Pollut. Bull. 2014, 79, 94–99. [Google Scholar] [CrossRef]
- Minor, E.C.; Lin, R.; Burrows, A.; Cooney, E.M.; Grosshuesch, S.; Lafrancois, B. An analysis of microlitter and microplastics from Lake Superior beach sand and surface-water. Sci. Total Environ. 2020, 744, 140824. [Google Scholar] [CrossRef] [PubMed]
- Besley, A.; Vijver, M.G.; Behrens, P.; Bosker, T. A standardized method for sampling and extraction methods for quantifying microplastics in beach sand. Mar. Pollut. Bull. 2017, 114, 77–83. [Google Scholar] [CrossRef] [PubMed]
- Batrinescu, G.; Ionescu, I.; Scutariu, R.E.; Chiricuta, B.; Surupaceanu, I. Characterisation of Microplastics from the Effluent of a Municipal Wastewater Treatment Plant and from its Natural Receptor. Mater. Plast. 2020, 58, 47–54. [Google Scholar] [CrossRef]
- Liebezeit, G.; Dubaish, F. Microplastics in Beaches of the East Frisian Islands Spiekeroog and Kachelotplate. Bull. Environ. Contam. Toxicol. 2020, 89, 213–217. [Google Scholar] [CrossRef] [PubMed]
- Anderson, M. Permanova+ for Primer: Guide to Software and Statistical Methods; PRIMER-E: Auckland, New Zealand, 2008. [Google Scholar]
- Stoica, P.; Selén, Y. Model-order selection: A review of information criterion rules. IEEE Signal Process. Mag. 2014, 21, 36–47. [Google Scholar] [CrossRef]
- Valentine, P.C. Sediment Classification and the Characterization, Identification, and Mapping of Geologic Substrates for the Glaciated Gulf of Maine Seabed and Other Terrains, Providing a Physical Framework for Ecological Research and Seabed Management. Sci. Investig. Rep. 2019, 5073. [Google Scholar]
- Folk, R.L. Petrology of Sedimentary Rocks: Austin, Tex.; Hemphill Publishing: Cedar Hill, TX, USA, 1980; 184p, Available online: http://legacy.lib.utexas.edu/geo/folkready/folkprefrev.html (accessed on 11 May 2023).
- Blott, S.J.; Pye, K. Particle dimension scales and classification of sediment types based on particle dimension distributions: Review and recommended procedures. Sedimentology 2012, 59, 2071–2096. [Google Scholar] [CrossRef]
- IBM Corp. IBM SPSS Statistics for Windows, Version 28.0; IBM Corp.: Armonk, NY, USA, 2021. [Google Scholar]
- Zhang, H. Transport of microplastics in coastal seas. Estuar. Coast. Shelf Sci. 2017, 199, 74–86. [Google Scholar] [CrossRef]
- Wang, J.; Peng, J.; Tan, Z.; Gao, Y.; Zhan, Z.; Chen, Q.; Cai, L. Microplastics in the surface sediments from the Beijiang River littoral zone: Composition, abundance, surface textures and interaction with heavy metals. Chemosphere 2017, 171, 248–258. [Google Scholar] [CrossRef]
- Herrera, A.; Raymond, E.; Martínez, I.; Álvarez, S.; Canning-Clode, J.; Gestoso, I.; Pham, C.K.; Ríos, N.; Rodríguez, Y.; Gómez, M. First evaluation of neustonic microplastics in the Macaronesian region, NE Atlantic. Mar. Pollut. Bull. 2020, 153, 110999. [Google Scholar] [CrossRef] [PubMed]
- Murphy, F.; Ewins, C.; Carbonnier, F.; Quinn, B. Wastewater Treatment Works (WwTW) as a Source of Microplastics in the Aquatic Environment. Environ. Sci. Technol. 2016, 50, 5800–5808. [Google Scholar] [CrossRef]
- Napper, I.E.; Thompson, R.C. Release of synthetic microplastic plastic fibers from domestic washing machines: Effects of fabric type and washing conditions. Mar. Pollut. Bull. 2016, 112, 39–45. [Google Scholar] [CrossRef]
- Andrady, A.L. Microplastics in the marine environment. Mar. Pollut. Bull. 2011, 62, 1596–1605. [Google Scholar] [CrossRef]
- Wright, L.S.; Napper, I.E.; Thompson, R.C. Potential microplastic release from beached fishing gear in Great Britain’s region of highest fishing litter density. Mar. Pollut. Bull. 2021, 173, 113115. [Google Scholar] [CrossRef] [PubMed]
- Newman, S.; Watkins, E.; Farmer, A.; Brink, P.T.; Schweitzer, J.P. The economics of marine litter. Mar. Anthropog. Litter 2015, 2015, 367–394. [Google Scholar]
- Graca, B.; Szewc, K.; Zakrzewska, D.; Dołęga, A.; Szczerbowska-Boruchowska, M. Sources and fate of microplastics in marine and beach sediments of the Southern Baltic Sea-a preliminary study. Environ. Sci. Pollut. Res. Int. 2017, 24, 7650–7661. [Google Scholar] [CrossRef]
- Wardrop, P.; Shimeta, J.; Nugegoda, D.; Morrison, P.; Miranda, A.; Tang, M.; Clarke, B. Chemical Pollutants Sorbed to Ingested Microbeads from Personal Care Products Accumulate in Fish. Environ. Sci. Technol. 2016, 50, 4037–4044. [Google Scholar] [CrossRef] [PubMed]
- Mishra, S.; Rath, C.C.; Das, A.P. Marine microfiber pollution: A review on present status and future challenges. Mar. Pollut. Bull. 2019, 140, 188–197. [Google Scholar] [CrossRef] [PubMed]
- Wu, W.; Yang, J.; Criddle, C.S. Microplastics pollution and reduction strategies. Front. Environ. Sci. Eng. 2016, 11, 1–4. [Google Scholar] [CrossRef]
- So, W.K.; Chan, K.; Not, C. Abundance of plastic microbeads in Hong Kong coastal water. Mar. Pollut. Bull. 2018, 133, 500–505. [Google Scholar] [CrossRef] [PubMed]
- Cózar, A.; Echevarría, F.; González-Gordillo, J.I.; Irigoien, X.; Úbeda, B.; Hernández-León, S.; Palma, Á.T.; Navarro, S.; García-de-Lomas, J.; Ruiz, A.; et al. Plastic debris in the open ocean. Proc. Natl. Acad. Sci. USA 2014, 111, 10239–10244. [Google Scholar] [CrossRef]
- Dodson, G.Z.; Shotorban, A.K.; Hatcher, P.G.; Waggoner, D.C.; Ghosal, S.; Noffke, N. Microplastic fragment and fiber contamination of beach sediments from selected sites in Virginia and North Carolina, USA. Mar. Pollut. Bull. 2020, 151, 110869. [Google Scholar] [CrossRef]
- Chubarenko, I.; Stepanova, N. Microplastics in sea coastal zone: Lessons learned from the Baltic amber. Environ. Pollut. 2017, 224, 243–254. [Google Scholar] [CrossRef]
- Lincoln, S.; Andrews, B.; Birchenough, S.N.R.; Chowdhury, P.; Engelhard, G.H.; Harrod, O.; Pinnegar, J.K.; Townhill, B.L. Marine litter and climate change: Inextricably connected threats to the world’s oceans. Sci. Total Environ. 2022, 837, 155709. [Google Scholar] [CrossRef] [PubMed]
- Firdaus, M.; Trihadiningrum, Y.; Lestari, P. Microplastic pollution in the sediment of Jagir Estuary, Surabaya City, Indonesia. Mar. Pollut. Bull. 2020, 150, 110790. [Google Scholar] [CrossRef] [PubMed]
- Cincinelli, A.; Scopetani, C.; Chelazzi, D.; Martellini, T.; Pogojeva, M.; Slobodnik, J. Microplastics in the Black Sea sediments. Sci. Total Environ. 2021, 760, 143898. [Google Scholar] [CrossRef] [PubMed]
- Filgueiras, A.V.; Gago, J.; Campillo, J.A.; León, V.M. Microplastic distribution in surface sediments along the Spanish Mediterranean continental shelf. Environ. Sci. Pollut. Res. 2019, 26, 21264–21273. [Google Scholar] [CrossRef] [PubMed]
- Liu, R.; Tan, Z.; Wu, X.; Liu, Y.; Chen, Y.; Fu, J.; Ou, H. Modifications of microplastics in urban environmental management systems: A review. Water Res. 2022, 222, 118843. [Google Scholar] [CrossRef]
- Mani, T.; Burkhardt-Holm, P. Seasonal microplastics variation in nival and pluvial stretches of the Rhine River—From the Swiss catchment towards the North Sea. Sci. Total Environ. 2019, 707, 135579. [Google Scholar] [CrossRef] [PubMed]
- He, B.; Smith, M.; Egodawatta, P.; Ayoko, G.A.; Rintoul, L.; Goonetilleke, A. Dispersal and transport of microplastics in river sediments. Environ. Pollut. 2021, 279, 116884. [Google Scholar] [CrossRef]
- Rahman, S.M.A.; Robin, G.S.; Momotaj, M.; Uddin, J.; Siddique, M.A.M. Occurrence and spatial distribution of microplastics in beach sediments of Cox’s Bazar, Bangladesh. Mar. Pollut. Bull. 2020, 160, 111587. [Google Scholar] [CrossRef] [PubMed]
- Wang, S.; Chen, H.; Zhou, X.; Tian, Y.; Lin, C.; Wang, W.; Zhou, K.; Zhang, Y.; Lin, H. Microplastic abundance, distribution and composition in the mid-West Pacific Ocean. Environ. Pollut. 2020, 264, 114125. [Google Scholar] [CrossRef]
- Ríos, N.; Frias, J.; Rodríguez, Y.; Carriço, R.; Garcia, S.M.; Juliano, M.; Pham, C.K. Spatio-temporal variability of beached macro-litter on remote islands of the North Atlantic. Mar. Pollut. Bull. 2018, 133, 304–311. [Google Scholar] [CrossRef]
- Calado, L.; Rodrigues, A.; Silveira, P.; Dentinho, T. Rural tourism associated with agriculture as an economic alternative for the farmers. Instituto Politécnico de Leira. Eur. J. Tour. Hosp. Recreat. 2011, 2, 155–174. [Google Scholar]
- Brahney, J.; Hallerud, M.; Heim, E.; Hahnenberger, M.; Sukumaran, S. Plastic rain in protected areas of the United States. Science 2020, 368, 1257–1260. [Google Scholar] [CrossRef] [PubMed]
- Shent, H.; Pugh, R.J.; Forssberg, E. A review of plastic waste recycling and the flotation of plastics. Resour. Conserv. Recycl. 1999, 25, 85–109. [Google Scholar] [CrossRef]
- Woodall, L.C.; Sanchez-Vidal, A.; Canals, M.; Paterson, G.L.J.; Coppock, R.; Sleight, V.; Calafat, A.; Rogers, A.D.; Narayanaswamy, B.E.; Thompson, R.C. The deep sea is a major sink for microplastic debris. R. Soc. Open. Sci. 2014, 1, 140317. [Google Scholar] [CrossRef]
- Pham, C.K.; Rodríguez, Y.; Dauphin, A.; Carriço, R.; Frias, J.P.G.L.; Vandeperre, F.; Otero, V.; Santos, M.R.; Martins, H.R.; Bolten, A.B.; et al. Plastic ingestion in oceanic-stage loggerhead sea turtles (Caretta caretta) off the North Atlantic subtropical gyre. Mar. Pollut. Bull. 2017, 121, 222–229. [Google Scholar] [CrossRef] [PubMed]
- Xia, F.; Yao, Q.; Zhang, J.; Wang, D. Effects of seasonal variation and resuspension on microplastics in river sediments. Environ. Pollut. 2021, 286, 117403. [Google Scholar] [CrossRef] [PubMed]
- Ghinassi, M.; Michielotto, A.; Uguagliati, F.; Zattin, M. Mechanisms of microplastics trapping in river sediments: Insights from the Arno river (Tuscany, Italy). Sci. Total Environ. 2023, 866, 161273. [Google Scholar] [CrossRef]
- Klein, S.; Worch, E.; Knepper, T.P. Occurrence and Spatial Distribution of Microplastics in River Shore Sediments of the Rhine-Main Area in Germany. Environ. Sci. Technol. 2015, 49, 6070–6076. [Google Scholar] [CrossRef]
- Costa, M.; Barletta, M. Microplastics in coastal and marine environments of the western tropical and sub-tropical Atlantic Ocean. Environ. Sci. Process. Impacts 2015, 17, 1868–1879. [Google Scholar] [CrossRef]
- Bernardo, F.; Garcia, P.; Rodrigues, A. Air Quality at Ponta Delgada City (Azores) Is Unaffected so Far by Growing Cruise Ship Transit in Recent Years. Atmosphere 2023, 14, 188. [Google Scholar] [CrossRef]
- Folbert, M.E.F.; Corbin, C.; Löhr, A.J. Sources and Leakages of Microplastics in Cruise Ship Wastewater. Front. Mar. Sci. 2022, 9, 900047. [Google Scholar] [CrossRef]
- Nava, V.; Chandra, S.; Aherne, J.; Alfonso, M.B.; Antão-Geraldes, A.M.; Attermeyer, K.; Bao, R.; Bartrons, M.; Berger, S.A.; Biernaczyk, M.; et al. Plastic debris in lakes and reservoirs. Nature 2023, 619, 317–322. [Google Scholar] [CrossRef] [PubMed]
- Tibbetts, J.H. The Global Plastic Breakdown How Microplastics Are Shredding Ocean Health. Coast. Sci. Serv. South Carol. South Carol. Sea Grant Consort. 2014, 23, 28. [Google Scholar]
- Enders, K.; Lenz, R.; Stedmon, C.A.; Nielsen, T.G. Abundance, size and polymer composition of marine microplastics ≥10 μm in the Atlantic Ocean and their modelled vertical distribution. Mar. Pollut. Bull. 2015, 100, 70–81. [Google Scholar] [CrossRef] [PubMed]
- Reineccius, J.; Waniek, J.J. First long-term evidence of microplastic pollution in the deep subtropical Northeast Atlantic. Environ. Pollut. 2022, 305, 119302. [Google Scholar] [CrossRef] [PubMed]
- Lusher, A.L.; Burke, A.; O’Connor, I.; Officer, R. Microplastic pollution in the Northeast Atlantic Ocean: Validated and opportunistic sampling. Mar. Pollut. Bull. 2014, 88, 325–333. [Google Scholar] [CrossRef]
- Chen, H.; Jia, Q.; Zhao, X.; Li, L.; Nie, Y.; Liu, H.; Ye, J. The occurrence of microplastics in water bodies in urban agglomerations: Impacts of drainage system overflow in wet weather, catchment land-uses, and environmental management practices. Water Res. 2020, 183, 116073. [Google Scholar] [CrossRef]
- Vermeiren, P.; Lercari, D.; Muñoz, C.C.; Ikejima, K.; Celentano, E.; Jorge-Romero, G.; Defeo, O. Sediment grain size determines microplastic exposure landscapes for sandy beach macroinfauna. Environ. Pollut. 2021, 286, 117308. [Google Scholar] [CrossRef]
- Merga, L.B.; Redondo-Hasselerharm, P.E.; Van den Brink, P.J.; Koelmans, A.A. Distribution of microplastic and small macroplastic particles across four fish species and sediment in an African lake. Sci. Total Environ. 2020, 741, 140527. [Google Scholar] [CrossRef]
- Rodrigues, D.; Antunes, J.; Pais, J.; Pequeno, J.; Caetano, P.S.; Rocha, F.; Sobral, P.; Costa, M.H. Distribution patterns of microplastics in subtidal sediments from the Sado river estuary and the Arrábida marine park, Portugal. Front. Environ. Sci. 2022, 10, 998513. [Google Scholar] [CrossRef]







| Variable | Source of Variation | df | SS | MS | Pseudo-F | p | Components of Variation |
|---|---|---|---|---|---|---|---|
| Abundance | Sector | 3 | 2638.3 | 879.44 | 0.50151 | 0.791 | - |
| Areas (Sector) | 5 | 9230.5 | 1846.1 | 2.6592 | 0.011 | 71.535 | |
| Sites (Areas (Sector)) | 24 | 19,158 | 798.23 | 5.4046 | 0.001 | 130.97 | |
| Residual | 127 | 18,757 | 147.69 | - | - | 147.69 | |
| Total | 159 | 50,154 | - | - | - | - | |
| Dimension | Sector | 3 | 0.71178 | 0.23726 | 0.53572 | 0.806 | - |
| Areas (Sector) | 5 | 2.298 | 0.4596 | 1.6631 | 0.105 | 0.011381 | |
| Sites (Areas (Sector)) | 24 | 7.2266 | 0.30111 | 2.0596 | 0.001 | 0.031187 | |
| Residual | 127 | 18.567 | 0.1462 | - | - | 0.1462 | |
| Total | 159 | 29.252 | - | - | - |
| Parameter | Factors | Test (Wald) | p-Value |
|---|---|---|---|
| Abundance | Sites Granulometry Proximity to a potential pollution centre | 7.929 22.586 8.985 | 0.047 <0.01 0.011 |
| Dimension | Sites Proximity to a potential pollution centre | 94.888 24.437 | <0.01 <0.01 |
| Variable | Source of Variation | df | SS | MS | Pseudo-F | p (perm.) | Components of Variation |
|---|---|---|---|---|---|---|---|
| Abundance | Sector | 3 | 7453.7 | 2484.6 | 2.9139 | 0.114 | - |
| Beaches (Sector) | 11 | 9379.3 | 852.66 | 7.9601 | 0.001 | 149.11 | |
| Residual | 60 | 6427 | 107.12 | - | - | 107.12 | |
| Total | 74 | 23260 | - | - | - | - | |
| Dimension | Sector | 3 | 1.1042 | 0.36808 | 0.89299 | 0.555 | - |
| Beaches (Sector) | 11 | 4.5341 | 0.41219 | 1.9848 | 0.01 | 0.040903 | |
| Residual | 60 | 12.46 | 0.20767 | - | - | 0.20767 | |
| Total | 74 | 18.099 | - | - | - |
Disclaimer/Publisher’s Note: The statements, opinions and data contained in all publications are solely those of the individual author(s) and contributor(s) and not of MDPI and/or the editor(s). MDPI and/or the editor(s) disclaim responsibility for any injury to people or property resulting from any ideas, methods, instructions or products referred to in the content. |
© 2024 by the authors. Licensee MDPI, Basel, Switzerland. This article is an open access article distributed under the terms and conditions of the Creative Commons Attribution (CC BY) license (https://creativecommons.org/licenses/by/4.0/).
Share and Cite
Amorim, L.M.; Costa, J.L.; Costa, A.C.; Botelho, A.Z.; Torres, P. Unveiling Microplastic Abundance and Distribution in an Oceanic Island: Offshore Depository or Local Pollution Indicator. Sustainability 2024, 16, 4103. https://doi.org/10.3390/su16104103
Amorim LM, Costa JL, Costa AC, Botelho AZ, Torres P. Unveiling Microplastic Abundance and Distribution in an Oceanic Island: Offshore Depository or Local Pollution Indicator. Sustainability. 2024; 16(10):4103. https://doi.org/10.3390/su16104103
Chicago/Turabian StyleAmorim, Luísa Madalena, José Lino Costa, Ana Cristina Costa, Andrea Zita Botelho, and Paulo Torres. 2024. "Unveiling Microplastic Abundance and Distribution in an Oceanic Island: Offshore Depository or Local Pollution Indicator" Sustainability 16, no. 10: 4103. https://doi.org/10.3390/su16104103
APA StyleAmorim, L. M., Costa, J. L., Costa, A. C., Botelho, A. Z., & Torres, P. (2024). Unveiling Microplastic Abundance and Distribution in an Oceanic Island: Offshore Depository or Local Pollution Indicator. Sustainability, 16(10), 4103. https://doi.org/10.3390/su16104103

