Low-Carbon Economic Dispatch of Virtual Power Plants Considering the Combined Operation of Oxygen-Enriched Combustion and Power-to-Ammonia
Abstract
1. Introduction
2. Materials and Methods
2.1. Oxygen-Enriched Combustion Model
2.1.1. Energy Flow Analysis of the Oxygen-Enriched Combustion Plant
2.1.2. Mathematical Mode of the Oxygen-Enriched Combustion Plant
2.2. Power-to-Ammonia Model
3. Low-Carbon Economic Dispatching Model for Virtual Power Plants
3.1. Objective Function
3.1.1. Cost of Total System
3.1.2. Cost of WP and PV
3.1.3. Cost of Coal Purchase
3.1.4. Cost of Device Operation and Maintenance
3.1.5. Cost of Carbon Trading
3.2. Constraint Conditions
3.2.1. Electric, Thermal, Oxygen and Ammonia Balance
3.2.2. Output Constraints of WP and PV
3.2.3. Operating Range Constraints
3.2.4. Climbing Constraints of Coal-Fired Units
3.2.5. Ammonia Mixing Ratio Constraints
3.2.6. Carbon Capture Constraint
3.2.7. Oxygen and Ammonia Storage Tanks Constraints
3.3. Solution Method
4. Case Study
4.1. Parameters and Scenarios Settings
4.2. Dispatch Results and Analysis
4.2.1. Comparison of Five Models
4.2.2. Virtual Power Plant Electric Balance Analysis
4.2.3. Virtual Power Plant Thermal Balance Analysis
4.2.4. Oxygen-Enriched Combustion Plant Output Analysis
4.2.5. Oxygen Balance and Storage Analysis
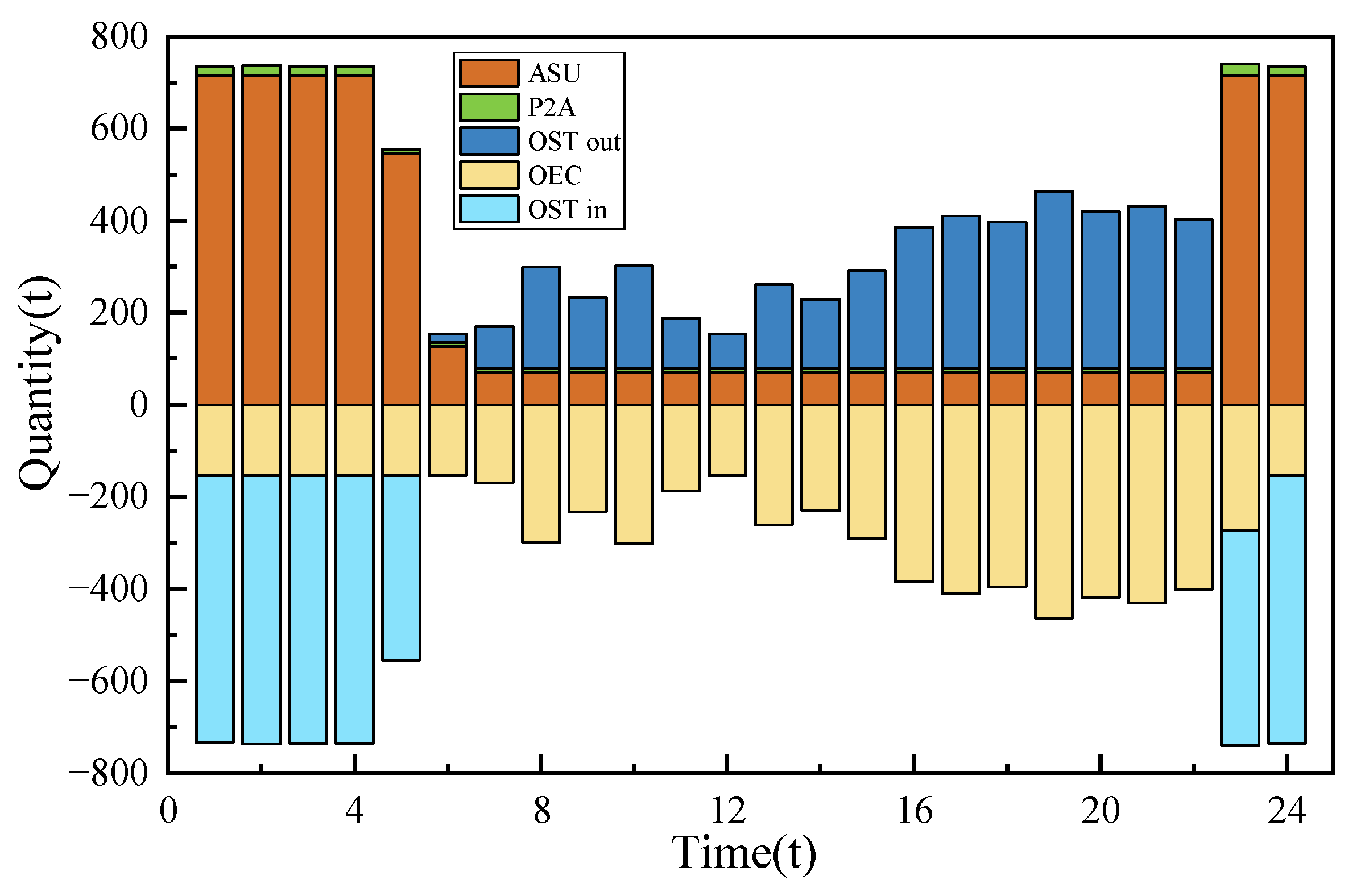
4.2.6. Ammonia Balance and Storage Analysis
4.2.7. Renewable Energy Utilization Analysis
4.2.8. Carbon Emissions Analysis
5. Conclusions
- The combined operation strategy of OEC and P2A can effectively improve the economy and low carbon performance of the system and increase the utilization rate of renewable energy. Its total operating cost, carbon emission, and renewable energy utilization rate are better than the models without or with OEC or P2A alone. In the typical day scenario of this paper, its total cost and carbon emissions decreased by 10.95% and 34.79%, respectively, and renewable energy utilization increased by 19.4%;
- Compared with ordinary post-combustion capture technology, oxygen-enriched combustion has stronger carbon capture efficiency and a larger net output range, which enhances the flexibility of the system operation and can effectively consume abandoned renewable energy. Compared with Model 2, Model 5 reduces carbon emissions by 4.24% and increases the utilization rate of renewable energy by 18.74%;
- P2A can effectively consume renewable energy and ammonia as a zero-carbon fuel instead of coal combustion and can reduce system carbon emissions. The waste heat generated in the ammonia synthesis process can supply the system heat demands, and the oxygen generated can be provided to the oxygen-enriched combustion power plant, providing energy utilization and reflecting the complementary nature of P2A and OEC. During the whole dispatch process, the P2A provided a total of 275.44 MWh of heat energy and 285 tons of oxygen.
Author Contributions
Funding
Institutional Review Board Statement
Informed Consent Statement
Data Availability Statement
Conflicts of Interest
References
- Zhou, X.; Zhao, Q.; Zhang, Y.; Sun, L. Integrated energy production unit: An innovative concept and design for energy transition toward low-carbon development. CSEE J. Power Energy Syst. 2021, 7, 1133–1139. [Google Scholar]
- Nosratabadi, S.M.; Hooshmand, R.A.; Gholipour, E. A comprehensive review on microgrid and virtual power plant concepts employed for distributed energy resources scheduling in power systems. Renew. Sustain. Energy Rev. 2017, 67, 341–363. [Google Scholar]
- Asmus, P. Microgrids, virtual power plants and our distributed energy future. Electr. J. 2010, 23, 72–82. [Google Scholar] [CrossRef]
- Pedrasa, M.A.A.; Spooner, T.D.; MacGill, I.F. A novel energy service model and optimal scheduling algorithm for residential distributed energy resources. Electr. Power Syst. Res. 2011, 81, 2155–2163. [Google Scholar] [CrossRef]
- Kuiper, G. What Is the State of Virtual Power Plants in Australia? From Thin Margins to a Future of VPP-Tailers. 2022. Available online: https://ieefa.org/wp-content/uploads/2022/03/What-Is-the-State-of-Virtual-Power-Plants-in-Australia_March-2022_2.pdf (accessed on 26 January 2024).
- Sarmiento-Vintimilla, J.C.; Torres, E.; Larruskain, D.M.; Pérez-Molina, M.J. Applications, Operational Architectures and Development of Virtual Power Plants as a Strategy to Facilitate the Integration of Distributed Energy Resources. Energies 2022, 15, 775. [Google Scholar] [CrossRef]
- Paavilainen, E. Aggregated Demand Response in a Virtual Power Plant: A Finnish Case Study; Aalto University: Espoo, Finland, 2020. [Google Scholar]
- Virtual Power Plant Reaches 1000 MW in Poland—Modern Power Systems. Available online: https://www.modernpowersystems.com/news/newsvirtual-power-plant-reaches-1000-mw-in-poland-9097170 (accessed on 13 October 2021).
- Zhang, Z.; Du, J.; Li, M.; Guo, J.; Xu, Z.; Li, W. Bi-level optimization dispatch of integrated-energy systems with P2G and carbon capture. Front. Energy Res. 2022, 9, 784703. [Google Scholar] [CrossRef]
- Yadav, S.; Mondal, S.S. A review on the progress and prospects of oxy-fuel carbon capture and sequestration (CCS) technology. Fuel 2022, 308, 122057. [Google Scholar] [CrossRef]
- Feng, C.; Lin, T.; Zhu, R.; Wei, G.; Dong, K. Key technologies for CO2 capture and recycling after combustion: CO2 enrichment in oxygen enriched combustion of converter gas. J. Clean. Prod. 2022, 380, 135128. [Google Scholar] [CrossRef]
- Daming, G.; Hongwei, C.; Junjie, G. Flue gas dynamic characteristics and operation economic analysis of oxy-fuel combustion circulating fluidized bed boiler. Proc. CSEE 2014, 34, 112–121. [Google Scholar]
- Favre, E.; Bounaceur, R.; Roizard, D. A hybrid process combining oxygen enriched air combustion and membrane separation for post-combustion carbon dioxide capture. Sep. Purif. Technol. 2009, 68, 30–36. [Google Scholar] [CrossRef]
- Yang, C.U.; Peng, Z.E.; Wuzhi, Z.H.; Zheng, W.A.; Peng, Z.H.; Yuting, Z.H. Low-carbon economic dispatch of electro-gas-thermal integrated energy system based on oxy-combustion technology. Proc. CSEE 2021, 41, 592–608. [Google Scholar]
- Yun, Y.; Zhang, D.; Yang, S.; Li, Y.; Yan, J. Low-carbon optimal dispatch of integrated energy system considering the operation of oxy-fuel combustion coupled with power-to-gas and hydrogen-doped gas equipment. Energy 2023, 283, 129127. [Google Scholar] [CrossRef]
- Li, J.; Chen, S.; Wu, Y.; Wang, Q.; Liu, X.; Qi, L.; Lu, X.; Gao, L. How to make better use of intermittent and variable energy? A review of wind and photovoltaic power consumption in China. Renew. Sustain. Energy Rev. 2021, 137, 110626. [Google Scholar] [CrossRef]
- Akram, U.; Nadarajah, M.; Shah, R.; Milano, F. A review on rapid responsive energy storage technologies for frequency regulation in modern power systems. Renew. Sustain. Energy Rev. 2020, 120, 109626. [Google Scholar] [CrossRef]
- Yi, Z.; Chen, Z.; Yin, K.; Wang, L.; Wang, K. Sensing as the key to the safety and sustainability of new energy storage devices. Prot. Control Mod. Power Syst. 2023, 8, 1–22. [Google Scholar] [CrossRef]
- Ge, L.; Zhang, B.; Huang, W.; Li, Y.; Hou, L.; Xiao, J.; Mao, Z.; Li, X. A review of hydrogen generation, storage, and applications in power system. J. Energy Storage 2024, 75, 109307. [Google Scholar] [CrossRef]
- Ozawa, A.; Kudoh, Y.; Kitagawa, N.; Muramatsu, R. Life cycle CO2 emissions from power generation using hydrogen energy carriers. Int. J. Hydrogen Energy 2019, 44, 11219–11232. [Google Scholar] [CrossRef]
- Xu, Y.; Wang, H.; Liu, X.; Zhu, J.; Xu, J.; Xu, M. Mitigating CO2 emission in pulverized coal-fired power plant via co-firing ammonia: A simulation study of flue gas streams and exergy efficiency. Energy Convers. Manag. 2022, 256, 115328. [Google Scholar] [CrossRef]
- Siddiqui, O.; Dincer, I. A new solar energy system for ammonia production and utilization in fuel cells. Energy Convers. Manag. 2020, 208, 112590. [Google Scholar] [CrossRef]
- Zhao, F.; Li, Y.; Zhou, X.; Wang, D.; Wei, Y.; Li, F. Co-optimization of decarbonized operation of coal-fired power plants and seasonal storage based on green ammonia co-firing. Appl. Energy 2023, 341, 121140. [Google Scholar] [CrossRef]
- Zhou, B.; Zhu, W.; Zhu, J.; Qiu, Y.; Cang, T.; He, G.; Chen, G. Multi-stage Dispatchable Region Analysis of Wind and Solar Power-based Hydrogen Production and Ammonia Synthesis System. Proc. CSEE 2024, 44, 160–173. [Google Scholar]
- Yuan, W.; Chen, L.; Wang, C.; Wang, Z. Bi-level Optimal Scheduling of Power-to-ammonia Coupling Wind-photovoltaic-thermal Integrated Energy System Based on Ammonia Energy Storage Technology. Proc. CSEE 2023, 43, 6992–7002. [Google Scholar]
- Xiong, K.; Hu, W.; Cao, D.; Li, S.; Zhang, G.; Liu, W.; Huang, Q.; Chen, Z. Coordinated energy management strategy for multi-energy hub with thermo-electrochemical effect based power-to-ammonia: A multi-agent deep reinforcement learning enabled approach. Renew. Energy 2023, 214, 216–232. [Google Scholar] [CrossRef]
- Sun, Y.; Li, Z.; Wang, Q.; Zhang, J.; Kong, H. Low carbon pathway and life cycle assessment of ammonia co-firing in coal power plants under the context of carbon neutrality. Energy Convers. Manag. 2023, 296, 117648. [Google Scholar] [CrossRef]
- Wen, Y.; Da, Z.; Xiao, W.; Ping, N.; Jing, H. Optimization of low-carbon operation of an integrated electric heat and gas energy system considering a photovoltaic power plant and oxygen-enriched combustion capture technology. Trans. China Electrotech. Soc. 2023, 38, 6709–6726. [Google Scholar]
- Peng, C.; Bian, X.; Jin, H.; Lin, S.; Xu, B.; Zhao, J. Two-Stage Optimal Dispatch for Integrated Energy System with Oxy-combustion Based on Multi-Energy Flexibility Constraints. J. Shanghai Jiaotong Univ. 2023, 1–24. [Google Scholar] [CrossRef]
- Guo, Z.; Wei, W.; Chen, L.; Shahidehpour, M.; Mei, S. Distribution system operation with renewables and energy storage: A linear programming based multistage robust feasibility approach. IEEE Trans. Power Syst. 2021, 37, 738–749. [Google Scholar] [CrossRef]
- Palys, M.J.; Kuznetsov, A.; Tallaksen, J.; Reese, M.; Daoutidis, P. A novel system for ammonia-based sustainable energy and agriculture: Concept and design optimization. Chem. Eng. Process. Process Intensif. 2019, 140, 11–21. [Google Scholar] [CrossRef]
- Ishaq, H.; Dincer, I. Dynamic modelling of a solar hydrogen system for power and ammonia production. Int. J. Hydrogen Energy 2021, 46, 13985–14004. [Google Scholar] [CrossRef]
- Ito, T.; Zhang, J.; Ishihara, S.; Ishii, H.; Suda, T.; Fujimori, T. Development of the coal co-firing technology with ammonia and numerical evaluation of the boiler performance. J. Combust. Soc. Jpn. 2019, 61, 304–308. [Google Scholar]
- Zhang, G.; Wang, W.; Chen, Z.; Li, R.; Niu, Y. Modeling and optimal dispatch of a carbon-cycle integrated energy system for low-carbon and economic operation. Energy 2022, 240, 122795. [Google Scholar] [CrossRef]
- Tan, Q.; Ding, Y.; Zheng, J.; Dai, M.; Zhang, Y. The effects of carbon emissions trading and renewable portfolio standards on the integrated wind–photovoltaic–thermal power-dispatching system: Real case studies in China. Energy 2021, 222, 119927. [Google Scholar] [CrossRef]















| Parameters | Value | Parameters | Value |
|---|---|---|---|
| /(t/MW2) | 0.0001307/0.0001713 | /(MW) | 400/120 |
| //(t/MW) | 0.23222/0.27055 | /(MW/h) | 150 |
| //t | 16.01/11.54 | ///(MW) | 212/100/300 |
| 0.21 | //(MW/h) | 60/60 |
| Parameters | Value | Parameters | Value |
|---|---|---|---|
| //(MWh/t) | 0.28/0.09 | /(t/t) | 2.57 |
| /(t/MWh) | 1.29 | ///(MW) | 100/200/25 |
| 1.66 | ///(MW) | 35/20/5 | |
| /(MWh/t) | 1.6044 | 0.98 | |
| ///(CNY/KWh) | 0.03/0.04/0.2 | / | 0.95/0.95 |
| //(KJ/Kg) | 18,720/23,022 | //t | 4500/150 |
| //(CNY/t) | 1000/150 | /t | 600/30 |
| //(t/MW) | 0.19135/0.15 | /t | 600/30 |
| Controlled Parameters | Model 1 | Model 2 | Model 3 | Model 4 | Model 5 |
|---|---|---|---|---|---|
| Total cost/CNY | 5,748,942 | 5,395,718 | 5,252,774 | 5,558,503 | 5,119,610 |
| Coal purchase cost/CNY | 3,842,295 | 3,972,594 | 4,063,616 | 3,782,967 | 4,054,853 |
| operation and maintenance cost/CNY | 252,717 | 264,112 | 339,989 | 301,866 | 344,009 |
| renewable energy utilization rate/% | 79.35 | 80 | 94.02 | 86.68 | 98.75 |
| renewable energy abandonment cost/CNY | 419,758 | 406,599 | 121,626 | 270,923 | 25,493 |
| Carbon emission/t | 9874 | 6723 | 6592 | 9722 | 6440 |
| carbon trading cost/CNY | 1,237,171 | 752,412 | 727,552 | 1,202,747 | 695,254 |
Disclaimer/Publisher’s Note: The statements, opinions and data contained in all publications are solely those of the individual author(s) and contributor(s) and not of MDPI and/or the editor(s). MDPI and/or the editor(s) disclaim responsibility for any injury to people or property resulting from any ideas, methods, instructions or products referred to in the content. |
© 2024 by the authors. Licensee MDPI, Basel, Switzerland. This article is an open access article distributed under the terms and conditions of the Creative Commons Attribution (CC BY) license (https://creativecommons.org/licenses/by/4.0/).
Share and Cite
He, J.; Mao, Z.; Huang, W.; Zhang, B.; Xiao, J.; Zhang, Z.; Liu, X. Low-Carbon Economic Dispatch of Virtual Power Plants Considering the Combined Operation of Oxygen-Enriched Combustion and Power-to-Ammonia. Sustainability 2024, 16, 4026. https://doi.org/10.3390/su16104026
He J, Mao Z, Huang W, Zhang B, Xiao J, Zhang Z, Liu X. Low-Carbon Economic Dispatch of Virtual Power Plants Considering the Combined Operation of Oxygen-Enriched Combustion and Power-to-Ammonia. Sustainability. 2024; 16(10):4026. https://doi.org/10.3390/su16104026
Chicago/Turabian StyleHe, Jun, Zimu Mao, Wentao Huang, Bohan Zhang, Jianbo Xiao, Zuoming Zhang, and Xinyu Liu. 2024. "Low-Carbon Economic Dispatch of Virtual Power Plants Considering the Combined Operation of Oxygen-Enriched Combustion and Power-to-Ammonia" Sustainability 16, no. 10: 4026. https://doi.org/10.3390/su16104026
APA StyleHe, J., Mao, Z., Huang, W., Zhang, B., Xiao, J., Zhang, Z., & Liu, X. (2024). Low-Carbon Economic Dispatch of Virtual Power Plants Considering the Combined Operation of Oxygen-Enriched Combustion and Power-to-Ammonia. Sustainability, 16(10), 4026. https://doi.org/10.3390/su16104026
