Investigation of the Deterioration of Basu Granite Mechanical Properties Caused by Freeze–Thaw Cycles in High-Altitude Mountains in the Eastern Part of the Tibetan Plateau, China
Abstract
1. Introduction
2. Geological Background
3. Methods
3.1. Sample Preparation
3.2. Test Scheme
3.2.1. Freeze–Thaw Cycle Test
3.2.2. Rock Mechanics Strength Test
4. Analysis of Results and Discussion
4.1. Effect of Freeze–Thaw Weathering on Wave Velocity
4.2. Effect of Freeze–Thaw Weathering on Rock Microstructure Deterioration
4.3. Stress–Strain Analysis of the Rock Triaxial Compression Test
4.3.1. Volume Variation of Typical Rock Samples
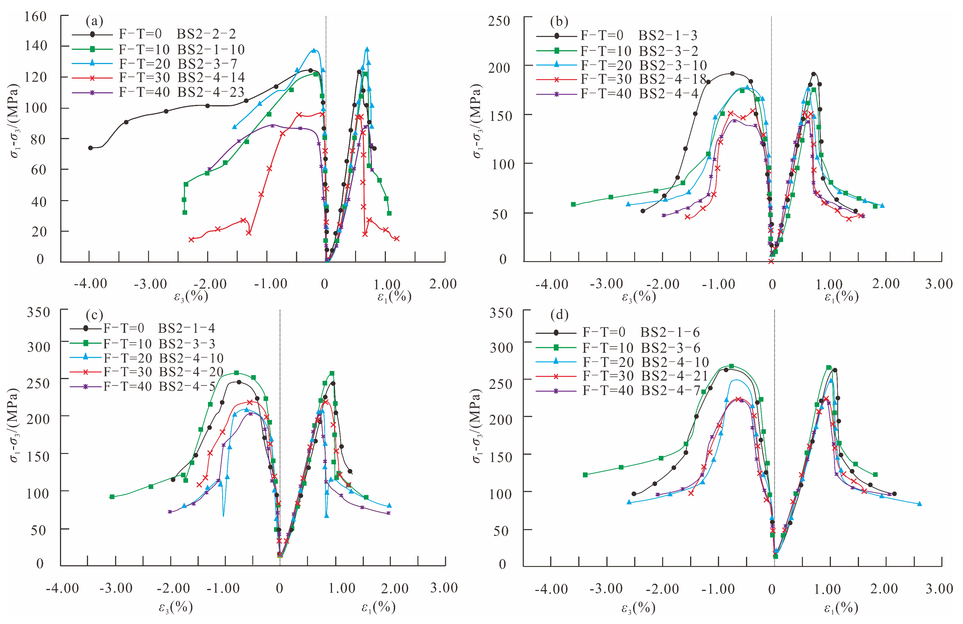
4.3.2. Characteristics of Triaxial Compression Deformation
4.3.3. Granite Mechanical Strength
4.4. Analysis of the Effect of Freeze–Thaw Cycles on Rock Mechanical Parameters
4.5. Constitutive Model of Freeze–Thaw Damage of the Basu Granite
4.5.1. Improved Expression of Rock Damage Variable
4.5.2. Constitutive Model of Freeze–Thaw Damage
4.5.3. Validation of Freeze–Thaw Constitutive Model
4.6. Analysis of the Effect of Freeze–Thaw Cycles on the Formation Mechanism of Granite Sand-Sliding Slope Hazards
5. Conclusions
Author Contributions
Funding
Institutional Review Board Statement
Informed Consent Statement
Data Availability Statement
Acknowledgments
Conflicts of Interest
References
- Bartley, J.M.; Glazner, A.F.; Coleman, D.S. Dike intrusion and deformation during growth of the Half Dome pluton, Yosemite National Park, California. Geosphere 2018, 14, 1283–1297. [Google Scholar] [CrossRef]
- Collins, B.D.; Stock, G.M. Rockfall triggering by cyclic thermal stressing of exfoliation fractures. Nat. Geosci. 2016, 9, 395–400. [Google Scholar] [CrossRef]
- Guo, C.B.; Zhang, Y.S.; Montgomery, D.R.; Du, Y.B.; Zhang, G.Z.; Wang, S.F. How unusual is the long-runout of the earthquake-triggered giant Luanshibao landslide, Tibetan Plateau, China? Geomorphology 2016, 259, 145–154. [Google Scholar] [CrossRef]
- Evans, S.G.; Delaney, K.B. Characterization of the 2000 Yigong Zangbo River (Tibet) landslide dam and impoundment by remote sensing, natural and artificial rockslide dams. Geomorphology 2011, 133, 543–559. [Google Scholar]
- Yin, Y.P.; Xing, A.G. Aerodynamic modeling of the Yigong gigantic rock slide-debris avalanche, Tibet, China. Bull. Eng. Geol. Environ. 2011, 71, 149–160. [Google Scholar] [CrossRef]
- Xu, Q.; Shang, Y.J.; van Asch, T.; Wang, S.T.; Zhang, Z.Y.; Dong, X.J. Observations from the large, rapid Yigong rock slide—Debris avalanche, southeast Tibet. Can. Geotech. J. 2012, 49, 589–606. [Google Scholar] [CrossRef]
- Zhou, J.W.; Cui, P.; Hao, M.H. Comprehensive analyses of the initiation and entrainment processes of the 2000 Yigong catastrophic landslide in Tibet, China. Landslides 2016, 13, 39–54. [Google Scholar] [CrossRef]
- Li, J.; Chen, N.S.; Zhao, Y.D.; Liu, M. A catastrophic landslide triggered debris flow in China’s Yigong: Factors, dynamic processes, and tendency. Earth Sci. Res. J. 2020, 24, 71–82. [Google Scholar] [CrossRef]
- Martin, C.D. The Strength of Massive Lac du Bonnet Granite around Underground Openings. Ph.D. Thesis, University of Manitoba, Winnipeg, MB, Canada, 1993. [Google Scholar]
- Ye, T.J.; Xie, Q.; Wang, Y.; An, Y.; Jin, J. Analog modeling of sand slope stability with different precipitation conditions. J. Mod. Transp. 2018, 26, 200–208. [Google Scholar] [CrossRef]
- Li, J.; Zhou, K.; Liu, W.; Zhang, Y.M. Analysis of the effect of freeze–thaw cycles on the degradation of mechanical parameters and slope stability. Bull. Eng. Geol. Environ. 2018, 77, 573–580. [Google Scholar] [CrossRef]
- Hori, M.; Morihiro, H. Micromechanical analysis on deterioration due to freezing and thawing in porous brittle materials. Int. J. Eng. Sci. 1998, 36, 511–522. [Google Scholar] [CrossRef]
- Yahaghi, J.; Liu, H.; Chan, A.; Fukuda, D. Experimental and numerical studies on failure behaviors of sandstones subject to freeze-thaw cycles. Transp. Geotech. 2021, 31, 100655. [Google Scholar] [CrossRef]
- Nicholson, D.T.; Nicholson, F.H. Physical deterioration of sedimentary rocks subjected to experimental freeze-thaw weathering. Earth Surf. Process. Landf. 2000, 25, 1295–1307. [Google Scholar] [CrossRef]
- Matsuoka, N. Mechanics of rock breakdown by frost action: An experimental approach. Cold Reg. Sci. Technol. 1990, 17, 253–270. [Google Scholar] [CrossRef]
- Park, C.; Synn, J.H.; Shin, H.S.; Cheon, D.S.; Lim, H.D.; Jeon, S.W. Experimental study of the thermal characteristics of rock at low temperatures. Int. J. Rock Mech. Min. Sci. 2004, 41, 81–86. [Google Scholar] [CrossRef]
- Guo, Z.H.; Tao, Q.; Liu, B.X.; Luo, C.; Meng, L.; Xu, H.Y. Rock’s Acoustic Emission and Damage Deformation Characteristic in Uniaxial Compression Condition. Appl. Mech. Mater. 2012, 170, 486–491. [Google Scholar] [CrossRef]
- Wang, Y.; Feng, W.K.; Wang, H.J.; Li, C.H.; Hu, Z.Q. Rock bridge fracturing characteristics in granite induced by freeze-thaw and uniaxial deformation revealed by AE monitoring and post-test CT scanning. Cold Reg. Sci. Technol. 2020, 177, 103115. [Google Scholar] [CrossRef]
- Wang, Y.; Zhang, B.; Gao, S.H.; Li, C.H. Investigation on the effect of freeze-thaw on fracture mode classification in marble subjected to multi-level cyclic loads. Theor. Appl. Fract. Mech. 2021, 111, 102847. [Google Scholar] [CrossRef]
- Liu, Q.S.; Kang, Y.S.; Liu, X.Y. Analysis of stress field and coupled thermo-mechanical simulation of single-fracture freezed rock masses. Chin. J. Rock Mech. Eng. 2011, 30, 218–223, (In Chinese with English Abstract). [Google Scholar]
- Qiao, C.; Li, C.; Wang, Y.; Yang, H.P.; Song, Z.Y. Research on macro and meso damage model of pre-flawed granites subjected to coupling action of freeze-thaw and loading. Arab. J. Geosci. 2021, 14, 1083. [Google Scholar] [CrossRef]
- Liu, W. Study on the characteristics of huge scale-super highspeed-long distance landslide chain in Yigong, Tibet. Chin. J. Geol. Hazard Control. 2002, 13, 9–18, (In Chinese with English Abstract). [Google Scholar]
- Guo, C.B.; Du, Y.B.; Tong, Y.Q.; Zhang, G.Z.; Zhang, M.; Ren, S.S. Huge long-runout landslide characteristics and formation mechanism: A case study of the Luanshibao landslide, Litang County, Tibetan Plateau. Geol. Bull. China 2016, 35, 1332–1345, (In Chinese with English Abstract). [Google Scholar]
- Shi, X.G.; Jiang, L.M.; Jiang, H.J.; Wang, X.D.; Xu, J.H. Geohazards analysis of the Litang-Batang section of Sichuan–Tibet railway using SAR interferometry. IEEE J. Sel. Top. Appl. Earth Obs. Remote Sens. 2021, 14, 11998–12006. [Google Scholar] [CrossRef]
- Shang, Y.J.; Yang, Z.F.; Li, L.H.; Liu, D.A.; Liao, Q.L.; Wang, Y.C. A super-large landslide in Tibet in 2000: Background, occurrence, disaster, and origin. Geomorphology 2003, 54, 225–243. [Google Scholar] [CrossRef]
- Bahrani, N.; Kaiser, P.K. Estimation of confined peak strength of crack-damaged rocks. Rock Mech. Rock Eng. 2017, 50, 309–326. [Google Scholar] [CrossRef]
- Saroglou, C.; Kallimogiannis, V. Fracturing process and effect of fracturing degree on wave velocity of a crystalline rock. J. Rock Mech. Geotech. Eng. 2017, 9, 797–806. [Google Scholar] [CrossRef]
- Zhu, J.B.; Zhai, T.Q.; Liao, Z.Y.; Yang, S.Q.; Liu, X.L.; Zhou, T. Low-amplitude wave propagation and attenuation through damaged rock and a classification scheme for rock fracturing degree. Rock Mech. Rock Eng. 2020, 53, 3983–4000. [Google Scholar] [CrossRef]
- Wen, Z.; Ma, W.; Feng, W.J.; Deng, Y.S.; Wan, D.Y.; Fan, Z.S.; Zhou, C.L. Experimental study on unfrozen water content and soil matric potential of Qinghai-Tibetan silty clay. Environ. Earth Sci. 2012, 66, 1467–1476. [Google Scholar] [CrossRef]
- Behroozmand, A.A.; Keating, K.; Auken, E. A review of the principles and applications of the NMR technique for near-surface characterization. Surv. Geophys. 2015, 36, 27–85. [Google Scholar] [CrossRef]
- Mao, H.Z.; Wang, F.; Mao, F.; Chi, Y.; Lu, S.Y.; Cen, K. Measurement of water content and moisture distribution in sludge by 1H nuclear magnetic resonance spectroscopy. Dry. Technol. 2016, 34, 267–274. [Google Scholar] [CrossRef]
- Kruse, A.M.; Darrow, M.M. Adsorbed cation effects on unfrozen water in fine-grained frozen soil measured using pulsed nuclear magnetic resonance. Cold Reg. Sci. Technol. 2017, 142, 42–54. [Google Scholar] [CrossRef]
- Tice, A.R.; Oliphant, J.L.; Nakano, Y.; Jenkins, T.F. Relationship between the ice and unfrozen water phases in frozen soils as determined by pulsed nuclear resonance and physical desorption data. J. Glaciol. Geocryol. 1983, 5, 37–39, (In Chinese with English Abstract). [Google Scholar]
- Kawamura, S.; Miura, S. Rainfall-induced failures of volcanic slopes subjected to freezing and thawing. Soils Found. 2013, 53, 443–461. [Google Scholar] [CrossRef]
- Kawamura, S.; Miura, S. Stability of volcanic slopes in cold regions. J. Geogr. Geol. 2014, 6, 34. [Google Scholar] [CrossRef][Green Version]
- Rabotnov, Y.N. Creep rupture. In Proceedings of the International Union of Theoretical and Applied Mechanics IUTAM; IUTAM; Amsterdam, The Netherlands, 1968. [Google Scholar][Green Version]
- Zhang, J.Z.; Miao, L.C.; Yang, Z.F. Research on rock degradation and deterioration mechanisms and mechanical characteristics under cyclic freezing-thawing. Chin. J. Rock Mech. Eng. 2008, 27, 1688–1694, (In Chinese with English Abstract). [Google Scholar][Green Version]
- Wang, Y.; Gao, S.H.; Li, C.H.; Han, J.Q. Energy dissipation and damage evolution for dynamic fracture of marble subjected to freeze-thaw and multiple level compressive fatigue loading. Int. J. Fatigue 2021, 142, 105927. [Google Scholar] [CrossRef]
- Hale, P.A.; Shakoor, A. A laboratory investigation of the effects of cyclic heating and cooling, wetting and drying, and freezing and thawing on the compressive strength of selected sandstones. Environ. Eng. Geosci. 2003, 9, 117–130. [Google Scholar] [CrossRef]
- Park, K.; Kim, K.; Lee, K.; Kim, D. Analysis of effects of rock physical properties changes from freeze-thaw weathering in Ny-Ålesund region: Part 1—Experimental study. Appl. Sci. 2020, 10, 1707. [Google Scholar] [CrossRef]
- Lemaitre, J. A continuous damage mechanics model for ductile fracture. J. Eng. Mater. Technol. 1985, 107, 83–89. [Google Scholar] [CrossRef]
- Liu, D.Q. Study on Rock Damage Constitutive Model and Chaos Characteristics in the Process of Deformation and Failure; China University of Mining and Technology: Beijing, China, 2014; (In Chinese with English Abstract). [Google Scholar]
- Yumlu, M.; Ozbay, M.U. A study of the behavior of brittle rocks under plane strain and triaxial loading conditions. Int. J. Rock Mech. Min. Sci. Geomech. Abstr. 1995, 32, 725–733. [Google Scholar] [CrossRef]
- Cao, W.; Tan, X.; Zhang, C.; He, M. Constitutive model to simulate full deformation and failure process for rocks considering initial compression and residual strength behaviors. Can. Geotech. J. 2019, 56, 649–661. [Google Scholar] [CrossRef]
- Wen, F.; Nan, J.; Xue, D.L. Establishment of damage statistical constitutive model of loaded rock and method for determining its parameters under freeze-thaw condition. Cold Reg. Sci. Technol. 2019, 160, 31–38. [Google Scholar]
- Zhang, X.G.; Yang, T.J.; Chen, W. Development characteristics and prevention of the sand-sliding slope in South–East Tibet. J. Catastrophol. 2014, 29, 47–51, (In Chinese with English Abstract). [Google Scholar]
- Blijenberg, H.M. In-situ strength tests of coarse, cohesionless debris on scree slopes. Eng Geol. 1995, 39, 137–146. [Google Scholar] [CrossRef]
- Yao, X.; Zhang, Y.S.; Li, Z.L.; Wang, X.L.; Song, Z. Geo-hazard susceptibility of quaternary glacial deposit slope at Moxi platform in Luding County of Sichuan Province. J. Eng. Geol. 2009, 17, 597–605, (In Chinese with English Abstract). [Google Scholar]
- Wu, G.X.; Zeng, R.B.; Wang, C.H.; Que, Y. The inducing factors and the collapse conditions of sand-sliding slope. China Railw. Sci. 2006, 27, 7–12, (In Chinese with English Abstract). [Google Scholar]
- Li, Q.; Wang, F.; Wang, Y.; Forson, K.; Cao, L.; Zhang, C.; Zhou, C.; Zhao, B.; Chen, J. Experimental investigation on the high-pressure sand suspension and adsorption capacity of guar gum fracturing fluid in low-permeability shale reservoirs: Factor analysis and mechanism disclosure. Environ. Sci. Pollut. Res. 2022, 29, 53050–53062. [Google Scholar] [CrossRef]
- Li, Q.; Han, Y.; Liu, X.; Ansari, U.; Cheng, Y.; Yan, C. Hydrate as a by-product in CO2 leakage during the long-term sub-seabed sequestration and its role in preventing further leakage. Environ. Sci. Pollut. Res. 2022, 29, 77737–77754. [Google Scholar] [CrossRef]


















| Serial Number | Sample No. | Sampling Location | Sample Lithology | Number of Standard Samples (piece) | Specific Gravity | Dry Density (g/cm3) | Water Content (%) | Porosity (%) |
|---|---|---|---|---|---|---|---|---|
| 1 | BS1-1 | Sand-sliding slope at 1 km north of Tongkong Village | monzogranite | 6 | 2.68 | 2.67 | 0.63 | 1.63 |
| 2 | BS1-2 | 4 | 2.75 | 2.64 | 0.65 | 1.78 | ||
| 3 | BS2-1 | Granite slope on the left bank of LengQu | monzogranite | 10 | 2.71 | 2.57 | 0.54 | 1.74 |
| 4 | BS2-2 | 10 | 2.64 | 2.58 | 0.76 | 1.73 | ||
| 5 | BS2-3 | 10 | 2.77 | 2.68 | 0.65 | 1.68 | ||
| 6 | BS2-4 | 25 | 2.72 | 2.55 | 0.64 | 1.98 | ||
| 7 | average | 2.78 | 2.56 | 0.71 | 1.91 |
| Group No. | Sample No. | Freeze–Thaw Cycles | Confining Pressure σ3 (MPa) | Group No. | Sample No. | Freeze–Thaw Cycles | Confining Pressure σ3 (MPa) |
|---|---|---|---|---|---|---|---|
| Group 1 | BS2-2-2 | 0 | 0 | Group 2 | BS2-1-8 | 10 | 0 |
| BS2-2-3 | BS2-1-10 | ||||||
| BS2-1-1 | 0 | 5 | BS2-3-1 | 10 | 5 | ||
| BS2-1-3 | BS2-3-2 | ||||||
| BS2-1-4 | 0 | 10 | BS2-3-3 | 10 | 10 | ||
| BS2-1-5 | BS2-3-4 | ||||||
| BS2-1-6 | 0 | 15 | BS2-3-5 | 10 | 15 | ||
| BS2-1-7 | BS2-3-6 | ||||||
| Group 3 | BS2-3-7 | 20 | 0 | Group 4 | BS2-4-14 | 30 | 0 |
| BS2-3-8 | BS2-4-15 | ||||||
| BS2-3-10 | 20 | 5 | BS2-4-17 | 30 | 5 | ||
| BS2-4-9 | BS2-4-18 | ||||||
| BS2-4-10 | 20 | 10 | BS2-4-19 | 30 | 10 | ||
| BS2-4-11 | BS2-4-20 | ||||||
| BS2-4-12 | 20 | 15 | BS2-4-21 | 30 | 15 | ||
| BS2-4-13 | BS2-4-22 | ||||||
| Group 5 (Wave Velocity, NMR tests) | BS2-4-23 | 40 | 0 | Group 5 (Wave Velocity, NMR tests) | BS2-4-5 | 40 | 10 |
| BS2-4-25 | BS2-4-6 | ||||||
| BS2-4-3 | 40 | 5 | BS2-4-7 | 40 | 15 | ||
| BS2-4-4 | BS2-4-8 |
| Freeze–Thaw Cycles | Sample No. | Confining Pressure σ3 (MPa) | Peak Axial Stress (MPa) | Internal Friction Angle φ (°) | Cohesion c (MPa) | Elastic Modulus E (GPa) | Poisson’s Ratio μ |
|---|---|---|---|---|---|---|---|
| 0 | BS2-2-3 | 0 | 124.00 | 57.30 | 16.82 | 30.005 | 0.3486 |
| BS2-1-4 | 5 | 236.79 | |||||
| BS2-1-6 | 10 | 281.04 | |||||
| 10 | BS2-1-10 | 0 | 122.77 | 58.39 | 16.67 | 29.624 | 0.3193 |
| BS2-3-2 | 10 | 170.16 | |||||
| BS2-3-3 | 15 | 247.56 | |||||
| 20 | BS2-3-7 | 0 | 137.16 | 52.99 | 22.33 | 31.696 | 0.3328 |
| BS2-3-10 | 5 | 172.55 | |||||
| BS2-4-12 | 10 | 269.23 | |||||
| 30 | BS2-4-14 | 0 | 96.64 | 54.13 | 15.96 | 27.479 | 0.2745 |
| BS2-4-18 | 5 | 149.29 | |||||
| BS2-4-21 | 10 | 240.80 | |||||
| 40 | BS2-4-23 | 0 | 88.93 | 54.82 | 14.12 | 19.299 | 0.3963 |
| BS2-4-4 | 5 | 139.07 | |||||
| BS2-4-7 | 10 | 238.22 |
| E (MPa) | μ | c1 (MPa) | c2 | c3 (MPa) |
|---|---|---|---|---|
| 29,000 | 0.31 | −0.3840 | 4.938 | 33.93 |
| r | d1 | d2 (1/MPa) | d3 | |
| 2056.6 | −0.077 | 0.72 | 11.9 |
Disclaimer/Publisher’s Note: The statements, opinions and data contained in all publications are solely those of the individual author(s) and contributor(s) and not of MDPI and/or the editor(s). MDPI and/or the editor(s) disclaim responsibility for any injury to people or property resulting from any ideas, methods, instructions or products referred to in the content. |
© 2023 by the authors. Licensee MDPI, Basel, Switzerland. This article is an open access article distributed under the terms and conditions of the Creative Commons Attribution (CC BY) license (https://creativecommons.org/licenses/by/4.0/).
Share and Cite
Liu, J.; Guo, C.; Deng, T.; Ren, S. Investigation of the Deterioration of Basu Granite Mechanical Properties Caused by Freeze–Thaw Cycles in High-Altitude Mountains in the Eastern Part of the Tibetan Plateau, China. Sustainability 2024, 16, 319. https://doi.org/10.3390/su16010319
Liu J, Guo C, Deng T, Ren S. Investigation of the Deterioration of Basu Granite Mechanical Properties Caused by Freeze–Thaw Cycles in High-Altitude Mountains in the Eastern Part of the Tibetan Plateau, China. Sustainability. 2024; 16(1):319. https://doi.org/10.3390/su16010319
Chicago/Turabian StyleLiu, Jixin, Changbao Guo, Tianye Deng, and Sanshao Ren. 2024. "Investigation of the Deterioration of Basu Granite Mechanical Properties Caused by Freeze–Thaw Cycles in High-Altitude Mountains in the Eastern Part of the Tibetan Plateau, China" Sustainability 16, no. 1: 319. https://doi.org/10.3390/su16010319
APA StyleLiu, J., Guo, C., Deng, T., & Ren, S. (2024). Investigation of the Deterioration of Basu Granite Mechanical Properties Caused by Freeze–Thaw Cycles in High-Altitude Mountains in the Eastern Part of the Tibetan Plateau, China. Sustainability, 16(1), 319. https://doi.org/10.3390/su16010319

