National Differences in Age and Future-Oriented Indicators Relate to Environmental Performance
Abstract
:1. Introduction
1.1. The Relationship between a Country’s Age and Environmental Concern and Performance
1.2. How Much Does Age Matter? Exploring Additional Factors That May Help to Account for National Differences in Environmental Performance
1.2.1. Long-Term Orientation (LTO)
1.2.2. Intergenerational Solidarity (ISI)
1.2.3. Overcoming Temporal Discounting (OTD)
1.3. The Present Studies
2. Materials and Methods
2.1. Dataset
2.2. Materials
2.2.1. Predictors
2.2.2. Outcomes
2.2.3. Covariates
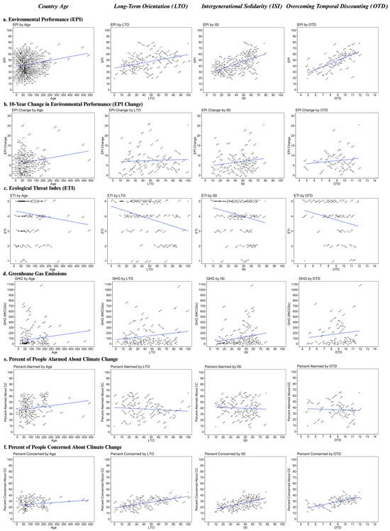
3. Results
3.1. Analytical Plan
3.2. Conceptual Replication of Hershfield and Colleagues [11]
3.3. Do Cross-National Differences in LTO, ISI, and OTD Account for Cross-National Variation in Environmental Outcomes above and beyond National Age?
4. Discussion
5. Conclusions
Supplementary Materials
Author Contributions
Funding
Institutional Review Board Statement
Informed Consent Statement
Data Availability Statement
Conflicts of Interest
References
- Climate Watch Data|Greenhouse Gas (GHG) Emissions|Climate Watch. Available online: https://www.climatewatchdata.org/ghg-emissions?end_year=2021&source=GCP&start_year=1960 (accessed on 16 October 2023).
- Bailey, A.J.; Wills, C.M.; Mitchem, J. Attitudes towards climate change and scientific stories. J. Environ. Stud. Sci. 2022, 12, 714–726. [Google Scholar] [CrossRef]
- Frantz, C.M.; Mayer, F.S. The Emergency of Climate Change: Why Are We Failing to Take Action? Anal. Soc. Issues Public Policy 2009, 9, 205–222. [Google Scholar] [CrossRef]
- IPCC. AR6 Synthesis Report: Summary for Policymakers; The Intergovernmental Panel on Climate Change: Geneva, Switzerland, 2023. [Google Scholar]
- McLamb, E. Top Five Threats Facing Earth & Humanity. Ecology Prime. 2022. Available online: https://ecologyprime.com/2022/12/15/earths-top-five-threats-facing-humanity/ (accessed on 23 December 2023).
- Ord, T. The Precipice: Existential Risk and the Future of Humanity a Book by Toby Ord; Hachette Books: New York, NY, USA, 2021; ISBN 978-0-316-48492-3. [Google Scholar]
- Greaves, H.; MacAskill, W. The Case for Strong Longtermism. Available online: https://philpapers.org/rec/GRETCF-4 (accessed on 2 September 2023).
- Younger, S. Arctic Sea Ice 6th Lowest on Record; Antarctic Sees Record Low Growth. In Global Climate Change Virtual Signs Planet; 26 September 2023. Available online: https://climate.nasa.gov/news/3284/arctic-sea-ice-6th-lowest-on-record-antarctic-sees-record-low-growth/ (accessed on 2 September 2023).
- Yale University Welcome|Environmental Performance Index. Available online: https://epi.yale.edu/ (accessed on 16 October 2023).
- Grolleau, G.; Mzoughi, N.; Napoléone, C.; Pellegrin, C. Does activating legacy concerns make farmers more likely to support conservation programmes? J. Environ. Econ. Policy 2021, 10, 115–129. [Google Scholar] [CrossRef]
- Hershfield, H.E.; Bang, H.M.; Weber, E.U. National differences in environmental concern and performance are predicted by country age. Psychol. Sci. 2014, 25, 152–160. [Google Scholar] [CrossRef]
- Awan, A.M.; Azam, M. Evaluating the impact of GDP per capita on environmental degradation for G-20 economies: Does N-shaped environmental Kuznets curve exist? Environ. Dev. Sustain. 2022, 24, 11103–11126. [Google Scholar] [CrossRef]
- Tan, X. Environment, governance and GDP: Discovering their connections. Int. J. Sustain. Dev. 2006, 9, 311–335. [Google Scholar] [CrossRef]
- Zucman, G. Global Wealth Inequality. Annu. Rev. Econ. 2019, 11, 33. [Google Scholar] [CrossRef]
- Bolinches, A.; De Stefano, L.; Paredes-Arquiola, J. Too expensive to be worth it? A methodology to identify disproportionate costs of environmental measures as applied to the Middle Tagus River, Spain. J. Environ. Plan. Manag. 2020, 63, 2402–2424. [Google Scholar] [CrossRef]
- Morse, S. Relating Environmental Performance of Nation States to Income and Income Inequality. Sustain. Dev. 2018, 26, 99–115. [Google Scholar] [CrossRef]
- MacAskill, W. What We Owe the Future; Basic books: New York, NY, USA, 2022. [Google Scholar]
- Gott, J.R. Future Prospects Discussed. Nature 1994, 368, 108. [Google Scholar] [CrossRef]
- Gott, J.R., III. Implications of the Copernican principle for our future prospects. Nature 1993, 363, 315–319. [Google Scholar] [CrossRef]
- Wade-Benzoni, K.A. A Golden Rule Over Time: Reciprocity in Intergenerational Allocation Decisions. Acad. Manag. J. 2017, 45, 1011–1028. [Google Scholar] [CrossRef]
- Wade-Benzoni, K.A. Maple Trees and Weeping Willows: The Role of Time, Uncertainty, and Affinity in Intergenerational Decisions. Negot. Confl. Manag. Res. 2008, 1, 220–245. [Google Scholar] [CrossRef]
- Wade-Benzoni, K.A.; Li, M.; Thompson, L.L.; Bazerman, M.H. The Malleability of Environmentalism. Anal. Soc. Issues Public Policy 2007, 7, 163–189. [Google Scholar] [CrossRef]
- Ballew, M.; Verner, M.; Carman, J.; Rosenthal, S.; Maibach, E.; Kotchner, J.; Leiserowitz, A. Global Warming’s Six Americas across Age, Race/Ethnicity, and Gender; Yale Program on Climate. Change Communication: New Haven, CT, USA, 2023. [Google Scholar]
- Hofstede, G.; Bond, M.H. Hofstede’s Culture Dimensions: An Independent Validation Using Rokeach’s Value Survey. J. Cross-Cult. Psychol. 1984, 15, 417–433. [Google Scholar] [CrossRef]
- Minkov, M.; Kaasa, A. Do dimensions of culture exist objectively? A validation of the revised Minkov-Hofstede model of culture with World Values Survey items and scores for 102 countries. J. Int. Manag. 2022, 28, 100971. [Google Scholar] [CrossRef]
- Mc Breen, J.; Di Tosto, G.; Dignum, F.; Hofstede, G.J. Linking Norms and Culture. In Proceedings of the 2011 Second International Conference on Culture and Computing, Kyoto, Japan, 20–22 October 2011; pp. 9–14. [Google Scholar]
- Hofstede, G.; Minkov, M. Long-versus short-term orientation: New perspectives. Asia Pac. Bus. Rev. 2010, 16, 493–504. [Google Scholar] [CrossRef]
- Fang, T. A Critique of Hofstede’s Fifth National Culture Dimension. Int. J. Cross Cult. Manag. 2003, 3, 347–368. [Google Scholar] [CrossRef]
- Yeh, R.; Lawrence, J.J. Individualism and Confucian Dynamism: A Note on Hofstede’s Cultural Root to Economic Growth. J. Int. Bus. Stud. 1995, 26, 655–669. [Google Scholar] [CrossRef]
- Bukowski, A.; Rudnicki, S. Not Only Individualism: The Effects of Long-Term Orientation and Other Cultural Variables on National Innovation Success. Cross-Cult. Res. 2019, 53, 119–162. [Google Scholar] [CrossRef]
- Figlio, D.; Giuliano, P.; Özek, U.; Sapienza, P. Long-Term Orientation and Educational Performance. Am. Econ. J. Econ. Policy 2019, 11, 272–309. [Google Scholar] [CrossRef]
- Nevins, J.L.; Bearden, W.O.; Money, B. Ethical Values and Long-term Orientation. J. Bus. Ethics 2007, 71, 261–274. [Google Scholar] [CrossRef]
- Graafland, J.; Noorderhaven, N. Culture and institutions: How economic freedom and long-term orientation interactively influence corporate social responsibility. J. Int. Bus. Stud. 2020, 51, 1034–1043. [Google Scholar] [CrossRef]
- Lin, Y.; Shi, W.; Prescott, J.E.; Yang, H. In the Eye of the Beholder: Top Managers’ Long-Term Orientation, Industry Context, and Decision-Making Processes. J. Manag. 2019, 45, 3114–3145. [Google Scholar] [CrossRef]
- Sherf, E.N.; Tangirala, S.; Venkataramani, V. Why Managers Do Not Seek Voice from Employees: The Importance of Managers’ Personal Control and Long-Term Orientation. Organ. Sci. 2019, 30, 447–466. [Google Scholar] [CrossRef]
- Gündling, L. Our Responsibility to Future Generations. Am. J. Int. Law 1990, 84, 207–212. [Google Scholar] [CrossRef]
- Cody Fenwick Longtermism: A Call to Protect Future Generations. Available online: https://80000hours.org/articles/future-generations/ (accessed on 8 September 2023).
- Marlon, J.; Neyens, L.; Jefferson, M.; Howe, P.; Mildenberger, M.; Leiserowitz, A. Yale Climate Opinion Maps 2021; Yale Program on Climate. Change Communication: New Haven, CT, USA, 2021. [Google Scholar]
- Syropoulos, S.; Law, K.F.; Young, L. The Case for Longtermism: Concern for the far future as a catalyst for pro-climate action. PsyArXiv 2023. [Google Scholar] [CrossRef]
- Law, K.F.; Syropoulos, S.; Young, L. Why Do Longtermists Care About Protecting the Environment? An Investigation on the Underlying Mechanisms of Pro-Climate Policy Support. PsyArXiv 2023. [Google Scholar] [CrossRef]
- Keij, D.; van Meurs, B.R. Responsibility for Future Climate Justice: The Direct Responsibility to Mitigate Structural Injustice for Future Generations. J. Appl. Philos. 2023, 40, 642–657. [Google Scholar] [CrossRef]
- Syropoulos, S.; Markowitz, E.M. Perceived responsibility to address climate change consistently relates to increased pro-environmental attitudes, behaviors and policy support: Evidence across 23 countries. J. Environ. Psychol. 2022, 83, 101868. [Google Scholar] [CrossRef]
- Füssel, H.-M. Adaptation planning for climate change: Concepts, assessment approaches, and key lessons. Sustain. Sci. 2007, 2, 265–275. [Google Scholar] [CrossRef]
- Wamsler, C.; Brink, E.; Rivera, C. Planning for climate change in urban areas: From theory to practice. J. Clean. Prod. 2013, 50, 68–81. [Google Scholar] [CrossRef]
- Wilson, E.; Piper, J. Spatial Planning and Climate Change; Routledge: London, UK, 2010; ISBN 978-1-136-93496-4. [Google Scholar]
- Matanggaran, V. Explaining Risk Perception of Climate Change in Indonesia through Cultural Dimension of Uncertainty Avoidance, Collectivism and Long-Term Orientation. Available online: https://essay.utwente.nl/74209/ (accessed on 25 November 2023).
- McQuilkin, J. Doing Justice to the Future: A global index of intergenerational solidarity derived from national statistics. Intergener. Justice Rev. 2018, 4, 639. [Google Scholar] [CrossRef]
- Bengtson, V.L.; Roberts, R.E.L. Intergenerational Solidarity in Aging Families: An Example of Formal Theory Construction. J. Marriage Fam. 1991, 53, 856–870. [Google Scholar] [CrossRef]
- Szydlik, M. Intergenerational Solidarity and Conflict. J. Comp. Fam. Stud. 2008, 39, 97–114. [Google Scholar] [CrossRef]
- Baykara-Krumme, H.; Fokkema, T. The impact of migration on intergenerational solidarity types. J. Ethn. Migr. Stud. 2019, 45, 1707–1727. [Google Scholar] [CrossRef]
- Ruggeri, K.; Panin, A.; Vdovic, M.; Većkalov, B.; Abdul-Salaam, N.; Achterberg, J.; Akil, C.; Amatya, J.; Amatya, K.; Andersen, T.L.; et al. The globalizability of temporal discounting. Nat. Hum. Behav. 2022, 6, 1386–1397. [Google Scholar] [CrossRef] [PubMed]
- Jones, B.A. A Review of Social Discounting: The Impact of Social Distance on Altruism. Psychol. Rec. 2022, 72, 511–515. [Google Scholar] [CrossRef]
- Jones, B.A.; Rachlin, H. Delay, Probability, and Social Discounting in a Public Goods Game. J. Exp. Anal. Behav. 2009, 91, 61–73. [Google Scholar] [CrossRef] [PubMed]
- Rachlin, H.; Jones, B.A. Social discounting and delay discounting. J. Behav. Decis. Mak. 2008, 21, 29–43. [Google Scholar] [CrossRef]
- Vekaria, K.; Brethel-Haurwitz, K.; Cardinale, E.; Stoycos, S.; Marsh, A. Social discounting and distance perceptions in costly altruism. Nat. Hum. Behav. 2017, 1, 0100. [Google Scholar] [CrossRef]
- Bulley, A.; Miloyan, B.; Pepper, G.V.; Gullo, M.J.; Henry, J.D.; Suddendorf, T. Cuing both positive and negative episodic foresight reduces delay discounting but does not affect risk-taking. Q. J. Exp. Psychol. 2019, 72, 1998–2017. [Google Scholar] [CrossRef] [PubMed]
- Hill, P.F.; Yi, R.; Spreng, R.N.; Diana, R.A. Neural congruence between intertemporal and interpersonal self-control: Evidence from delay and social discounting. NeuroImage 2017, 162, 186–198. [Google Scholar] [CrossRef] [PubMed]
- Lempert, K.; Parthasarathi, T.; Linhares, S.; Ruh, N.; Kable, J. Positive autobiographical memory recall does not influence temporal discounting: An internal meta-analysis of experimental studies. arXiv 2023. [Google Scholar] [CrossRef]
- Chiou, W.-B.; Wu, W.-H. Episodic Future Thinking Involving the Nonsmoking Self Can Induce Lower Discounting and Cigarette Consumption. J. Stud. Alcohol Drugs 2017, 78, 106–112. [Google Scholar] [CrossRef]
- Hershfield, H.E. Future self-continuity: How conceptions of the future self transform intertemporal choice. Ann. N. Y. Acad. Sci. 2011, 1235, 30–43. [Google Scholar] [CrossRef]
- Hershfield, H.; Garton, M.T.; Ballard, K.; Samanez-Larkin, G.R.; Knutson, B. Don’t stop thinking about tomorrow: Individual differences in future self-continuity account for saving. Judgm. Decis. Mak. 2009, 4, 280–286. [Google Scholar] [CrossRef]
- Sokol, Y.; Serper, M. Development and Validation of a Future Self-Continuity Questionnaire: A Preliminary Report. J. Pers. Assess. 2020, 102, 677–688. [Google Scholar] [CrossRef]
- Vekaria, K.M.; Hammell, A.E.; Vincent, L.; Smith, M.; Rogers, T.; Switzer, G.E.; Marsh, A.A. The role of prospection in altruistic bone marrow donation decisions. Health Psychol. 2020, 39, 316–324. [Google Scholar] [CrossRef]
- Farias, A.R.; Coruk, S.; Simão, C. The Effects of Temporal Discounting on Perceived Seriousness of Environmental Behavior: Exploring the Moderator Role of Consumer Attitudes Regarding Green Purchasing. Sustainability 2021, 13, 7130. [Google Scholar] [CrossRef]
- Hurlstone, M.J.; Price, A.; Wang, S.; Leviston, Z.; Walker, I. Activating the legacy motive mitigates intergenerational discounting in the climate game. Glob. Environ. Change 2020, 60, 102008. [Google Scholar] [CrossRef]
- Jones, C.; Hine, D.W.; Marks, A.D.G. The Future is Now: Reducing Psychological Distance to Increase Public Engagement with Climate Change. Risk Anal. 2017, 37, 331–341. [Google Scholar] [CrossRef]
- Meta Central Intelligence Agency (CIA). Available online: https://www.facebook.com/Central.Intelligence.Agency (accessed on 16 October 2023).
- Wikipedia. Available online: https://www.wikipedia.org/ (accessed on 16 October 2023).
- The Cultural Factor Group Country Comparison Tool. Available online: https://www.hofstede-insights.com/country-comparison-tool (accessed on 16 October 2023).
- Vision of Humanity Ecological Threat Register 2021 Vision of Humanity. Available online: https://www.visionofhumanity.org/maps/ecological-threat-report/ (accessed on 16 October 2023).
- World Bank World Bank Group—International Development, Poverty, & Sustainability. Available online: https://www.worldbank.org/en/home (accessed on 16 October 2023).
- Claessens, S.; Kyritsis, T.; Atkinson, Q.D. Cross-national analyses require additional controls to account for the non-independence of nations. Nat. Commun. 2023, 14, 5776. [Google Scholar] [CrossRef]
- Syropoulos, S.; Law, K.F.; Kraft-Todd, G.; Young, L. The Longtermism Beliefs Scale: Measuring Lay Beliefs for Protecting Humanity’s Longterm Future. 2023. Available online: https://osf.io/preprints/psyarxiv/e34k (accessed on 16 October 2023).
- Syropoulos, S. Improving the lives of future people. Nat. Rev. Psychol. 2023, 2, 719. [Google Scholar] [CrossRef]
- Syropoulos, S.; Markowitz, E.M. Perceived responsibility towards future generations and environmental concern: Convergent evidence across multiple outcomes in a large, nationally representative sample. J. Environ. Psychol. 2021, 76, 101651. [Google Scholar] [CrossRef]
- Syropoulos, S.; Markowitz, E.M.; Demarest, B.; Shrum, T. A letter to future generations: Examining the effectiveness of an intergenerational framing intervention. J. Environ. Psychol. 2023, 90, 102074. [Google Scholar] [CrossRef]
- Emba, C. Opinion|Why ‘Longtermism’ Isn’t Ethically Sound. Available online: https://www.washingtonpost.com/opinions/2022/09/05/longtermism-philanthropy-altruism-risks/ (accessed on 15 August 2023).
- Crary, A. The toxic ideology of longtermism. Radic. Philos. 2023, 204, 49–57. [Google Scholar]
- Vlasceanu, M.; Dyckovsky, A.M.; Coman, A. A Network Approach to Investigate the Dynamics of Individual and Collective Beliefs: Advances and Applications of the BENDING Model. Perspect. Psychol. Sci. J. Assoc. Psychol. Sci. 2023, 17456916231185776. [Google Scholar] [CrossRef] [PubMed]

| EPI | EPI Change | ETI | GHG | Alarmed | Concerned | OTD | LTO | ISI | GDP | WGI | |
|---|---|---|---|---|---|---|---|---|---|---|---|
| EPI | — | ||||||||||
| EPI Change | 0.582 *** | — | |||||||||
| ETI | −0.597 *** | −0.426 *** | — | ||||||||
| GHG | −0.108 | 0.099 | −0.037 | — | |||||||
| Alarmed | −0.360 *** | −0.240 * | 0.388 *** | 0.049 | — | ||||||
| Concerned | 0.679 *** | 0.361 *** | −0.541 *** | 0.040 | −0.456 *** | — | |||||
| OTD | 0.602 *** | 0.239 | −0.365 ** | −0.093 | −0.239 | 0.622 *** | — | ||||
| LTO | 0.323 ** | 0.199 | −0.413 *** | 0.221 * | −0.226 * | 0.577 *** | 0.367 ** | — | |||
| ISI | 0.523 *** | 0.264 ** | −0.298 ** | 0.154 | −0.156 | 0.582 *** | 0.580 *** | 0.387 *** | — | ||
| GDP | 0.056 | 0.086 | −0.071 | 0.951 *** | −0.046 | 0.089 | −0.195 | 0.116 | 0.160 | — | |
| WGI | 0.719 *** | 0.341 *** | −0.573 *** | 0.011 | −0.175 | 0.647 *** | 0.705 *** | 0.328 *** | 0.526 *** | 0.137 | — |
| Age | 0.328 *** | 0.221 ** | −0.289 *** | 0.016 | 0.005 | 0.219 * | 0.222 | −0.096 | 0.259 ** | 0.075 | 0.275 *** |
| β | Lower 95% C.I. | Upper 95% C.I. | p | β | Lower 95% C.I. | Upper 95% C.I. | p | |
|---|---|---|---|---|---|---|---|---|
| EPI | EPI Change | |||||||
| Age | 0.200 | 0.100 | 0.300 | <0.001 | 0.190 | 0.000 | 0.380 | 0.048 |
| Model R2 | 0.560 | 0.130 | ||||||
| GHG | ETI | |||||||
| Age | −0.080 | −0.200 | 0.040 | 0.412 | −0.130 | −0.220 | −0.040 | 0.003 |
| Model R2 | 0.920 | 0.350 | ||||||
| Alarmed | Concerned | |||||||
| Age | 0.100 | −0.220 | 0.420 | 0.531 | 0.000 | −0.100 | 0.100 | 0.935 |
| Model R2 | 0.070 | 0.420 | ||||||
| β | 95% C.I. Lower | 95% C.I. Upper | p | β | 95% C.I. Lower | 95% C.I. Upper | p | |
|---|---|---|---|---|---|---|---|---|
| EPI | EPI Change | |||||||
| Model 1 | ||||||||
| LTO | 0.420 | 0.250 | 0.590 | 0.016 | 0.220 | 0.050 | 0.390 | 0.013 |
| Age | 0.500 | 0.340 | 0.660 | <0.001 | 0.250 | 0.100 | 0.400 | 0.001 |
| Model R2 | 0.260 | 0.090 | ||||||
| Δ R2 | 0.152 | 0.041 | ||||||
| Model 2 | ||||||||
| ISI | 0.490 | 0.310 | 0.670 | <0.001 | 0.190 | 0.010 | 0.370 | 0.040 |
| Age | 0.350 | 0.220 | 0.480 | <0.001 | 0.240 | 0.100 | 0.380 | <0.001 |
| Model R2 | 0.340 | 0.110 | ||||||
| Δ R2 | 0.232 | 0.061 | ||||||
| Model 3 | ||||||||
| OTD | 0.620 | 0.390 | 0.850 | <0.001 | 0.160 | −0.030 | 0.350 | 0.096 |
| Age | 0.320 | 0.150 | 0.490 | <0.001 | 0.210 | 0.060 | 0.360 | 0.006 |
| Model R2 | 0.440 | 0.120 | ||||||
| Δ R2 | 0.332 | 0.071 | ||||||
| GHG | ETI | |||||||
| Model 1 | ||||||||
| LTO | 0.300 | −0.190 | 0.790 | 0.226 | −0.470 | −0.650 | −0.290 | <0.001 |
| Age | 0.010 | −0.070 | 0.090 | 0.899 | −0.360 | −0.500 | −0.220 | <0.001 |
| Model R2 | 0.050 | 0.260 | ||||||
| Δ R2 | 0.050 | 0.176 | ||||||
| Model 2 | ||||||||
| ISI | 0.200 | −0.110 | 0.510 | 0.490 | −0.240 | −0.400 | −0.080 | 0.005 |
| Age | −0.070 | −0.180 | 0.040 | 0.211 | −0.270 | −0.460 | −0.080 | 0.007 |
| Model R2 | 0.030 | 0.130 | ||||||
| Δ R2 | 0.030 | 0.046 | ||||||
| Model 3 | ||||||||
| OTD | −0.160 | −0.510 | 0.190 | 0.386 | −0.320 | −0.550 | −0.090 | 0.007 |
| Age | −0.020 | −0.080 | 0.040 | 0.508 | −0.260 | −0.430 | −0.090 | 0.005 |
| Model R2 | 0.010 | 0.200 | ||||||
| Δ R2 | 0.010 | 0.116 | ||||||
| Alarmed | Concerned | |||||||
| Model 1 | ||||||||
| LTO | −0.240 | −0.460 | −0.020 | 0.040 | 0.610 | 0.450 | 0.770 | <0.001 |
| Age | −0.030 | −0.280 | 0.220 | 0.823 | 0.250 | 0.150 | 0.350 | <0.001 |
| Model R2 | 0.050 | 0.390 | ||||||
| Δ R2 | 0.050 | 0.342 | ||||||
| Model 2 | ||||||||
| ISI | −0.160 | −0.380 | 0.060 | 0.157 | 0.600 | 0.420 | 0.780 | <0.001 |
| Age | 0.000 | −0.290 | 0.290 | 0.994 | 0.100 | −0.030 | 0.230 | 0.127 |
| Model R2 | 0.020 | 0.350 | ||||||
| Δ R2 | 0.020 | 0.302 | ||||||
| Model 3 | ||||||||
| OTD | −0.220 | −0.470 | 0.030 | 0.091 | 0.560 | 0.360 | 0.760 | <0.001 |
| Age | 0.000 | −0.220 | 0.220 | 0.997 | 0.060 | −0.050 | 0.170 | 0.296 |
| Model R2 | 0.060 | 0.390 | ||||||
| Δ R2 | 0.060 | 0.342 | ||||||
| β | 95% C.I. Lower | 95% C.I. Upper | p | β | 95% C.I. Lower | 95% C.I. Upper | p | |
|---|---|---|---|---|---|---|---|---|
| EPI | EPI Change | |||||||
| Model 1 | ||||||||
| LTO | 0.190 | 0.040 | 0.340 | 0.015 | 0.100 | −0.100 | 0.300 | 0.322 |
| Age | 0.180 | 0.090 | 0.270 | <0.001 | 0.110 | −0.050 | 0.270 | 0.194 |
| Model R2 | 0.660 | 0.180 | ||||||
| Δ R2 | 0.100 | 0.050 | ||||||
| Model 2 | ||||||||
| ISI | 0.130 | −0.020 | 0.280 | 0.110 | 0.010 | −0.200 | 0.220 | 0.900 |
| Age | 0.170 | 0.080 | 0.260 | <0.001 | 0.150 | 0.020 | 0.280 | 0.034 |
| Model R2 | 0.670 | 0.220 | ||||||
| Δ R2 | 0.110 | 0.090 | ||||||
| Model 3 | ||||||||
| OTD | 0.080 | −0.240 | 0.400 | 0.642 | −0.110 | −0.220 | 0.440 | 0.532 |
| Age | 0.180 | 0.080 | 0.280 | <0.001 | 0.190 | 0.050 | 0.330 | 0.010 |
| Model R2 | 0.640 | 0.140 | ||||||
| Δ R2 | 0.080 | 0.010 | ||||||
| GHG | ETI | |||||||
| Model 1 | ||||||||
| LTO | −0.030 | −0.090 | 0.030 | 0.328 | −0.330 | −0.540 | −0.120 | 0.003 |
| Age | −0.050 | −0.180 | 0.080 | 0.412 | −0.190 | −0.390 | 0.010 | 0.066 |
| Model R2 | 0.930 | 0.390 | ||||||
| Δ R2 | 0.010 | 0.040 | ||||||
| Model 2 | ||||||||
| ISI | −0.040 | −0.090 | 0.010 | 0.111 | 0.060 | −0.100 | 0.220 | 0.470 |
| Age | −0.050 | −0.170 | 0.070 | 0.417 | −0.120 | −0.320 | 0.080 | 0.232 |
| Model R2 | 0.930 | 0.390 | ||||||
| Δ R2 | 0.010 | 0.040 | ||||||
| Model 3 | ||||||||
| OTD | −0.080 | −0.280 | 0.120 | 0.413 | 0.010 | −0.320 | 0.340 | 0.969 |
| Age | −0.020 | −0.150 | 0.110 | 0.738 | −0.170 | −0.370 | 0.030 | 0.100 |
| Model R2 | 0.930 | 0.290 | ||||||
| Δ R2 | 0.010 | −0.060 | ||||||
| Alarmed | Concerned | |||||||
| Model 1 | ||||||||
| LTO | −0.200 | −0.410 | 0.010 | 0.074 | 0.440 | 0.260 | 0.620 | <0.001 |
| Age | 0.050 | −0.250 | 0.350 | 0.758 | 0.070 | −0.020 | 0.160 | 0.113 |
| Model R2 | 0.090 | 0.550 | ||||||
| Δ R2 | 0.020 | 0.130 | ||||||
| Model 2 | ||||||||
| ISI | 0.030 | −0.200 | 0.260 | 0.801 | 0.340 | 0.170 | 0.510 | <0.001 |
| Age | 0.090 | −0.200 | 0.380 | 0.532 | −0.020 | −0.130 | 0.090 | 0.671 |
| Model R2 | 0.140 | 0.530 | ||||||
| Δ R2 | 0.070 | 0.110 | ||||||
| Model 3 | ||||||||
| OTD | 0.070 | −0.300 | 0.440 | 0.697 | 0.260 | −0.060 | 0.580 | 0.113 |
| Age | 0.060 | −0.200 | 0.630 | 0.630 | −0.020 | −0.110 | 0.070 | 0.756 |
| Model R2 | 0.130 | 0.480 | ||||||
| Δ R2 | 0.060 | 0.060 | ||||||
Disclaimer/Publisher’s Note: The statements, opinions and data contained in all publications are solely those of the individual author(s) and contributor(s) and not of MDPI and/or the editor(s). MDPI and/or the editor(s) disclaim responsibility for any injury to people or property resulting from any ideas, methods, instructions or products referred to in the content. |
© 2023 by the authors. Licensee MDPI, Basel, Switzerland. This article is an open access article distributed under the terms and conditions of the Creative Commons Attribution (CC BY) license (https://creativecommons.org/licenses/by/4.0/).
Share and Cite
Syropoulos, S.; Law, K.F.; Young, L. National Differences in Age and Future-Oriented Indicators Relate to Environmental Performance. Sustainability 2024, 16, 276. https://doi.org/10.3390/su16010276
Syropoulos S, Law KF, Young L. National Differences in Age and Future-Oriented Indicators Relate to Environmental Performance. Sustainability. 2024; 16(1):276. https://doi.org/10.3390/su16010276
Chicago/Turabian StyleSyropoulos, Stylianos, Kyle Fiore Law, and Liane Young. 2024. "National Differences in Age and Future-Oriented Indicators Relate to Environmental Performance" Sustainability 16, no. 1: 276. https://doi.org/10.3390/su16010276
APA StyleSyropoulos, S., Law, K. F., & Young, L. (2024). National Differences in Age and Future-Oriented Indicators Relate to Environmental Performance. Sustainability, 16(1), 276. https://doi.org/10.3390/su16010276

