Abstract
Biomass pellets are one of the most crucial feedstocks for bioenergy production on a global scale due to their numerous advantages over raw biomass resources. Pellets provide improved energy density, bulk density, moisture content, and homogeneity thereby reducing storage, handling, and transportation costs. To produce high-quality solid fuel, it is necessary to comprehend the properties of wood fuel. This study explored the potential of Khaya senegalensis (khaya) as a dedicated energy crop (DEC) for the production of green energy. It thrives in less-than-ideal conditions and grows rapidly. The low durability of energy pellets raises the risk of dust and fire during handling and storage. In addition, the potential for fines and dust formation is strongly correlated with the mechanical strength of materials. Due to this necessity, the current study examines the effects of pelletization factors, including temperature and pressure, on pellet properties, particularly on its mechanical properties. The durability and compressive strength of pellets were determined using a sieve shaker and a universal testing machine, respectively. The highest mechanical durability was observed at 3 tons of pressure and 75 degrees Celsius, each with a value of 99.6%. The maximum axial compressive strength was measured at 57.53 MPa under 5 tons of pressure. When pelletized at 125 °C, the axial compressive strength increased by 13.8037% to 66.06 MPa compared to the strength obtained at 5 tons of pressure. Pelletizing Khaya feedstocks at 4 tons of pressure, on the other hand, produced a slightly lower diametral compressive strength of 7.08 MPa compared to 7.59 MPa at 125 °C. The experimental results revealed that the aforementioned factors significantly affect the mechanical properties of pellets. The elucidation of wood biomass, solid fuel qualities and pelletization parameters of this potential energy crop may facilitate the production of high-quality pellets from Khaya senegalensis wood to meet the increasing local and worldwide energy demands.
1. Introduction
Fossil fuel depletion has resulted in the recent increasing demand for substitution of heat and power generation to cater the industrial and residential consumption. The increasing demand for biomass as a source of green energy requires intensive research of several factors contributing to the high quality of biomass feedstock. Dedicated energy crops (DEC) have been extensively utilized in developed countries as a renewable energy feedstock resource for green energy generation. Many exciting results have been reported, indicating its potential as green energy feedstock [1,2]. It is noticed that the research to date has focused on producing biomass fuels from wastes, such as agricultural wastes, municipal solid wastes, food processing waste, and yard waste which include tree trimmings. However, most of the studies in the open literature did not examine the use of dedicated energy crops as feedstock for heat and power generation. Poplar, willow, and miscanthus are established temperate zone DECs which are fast-growing, easy-to-produce, thrive well in marginal soils, and have high biomass production agronomic traits [3,4,5].
Furthermore, all the dedicated energy crops developed thus far have consistently good fuel characteristics: high calorific value, low ash content, and high bulk density [6]. Malaysia is rich in plant species that are fast-growing under local agro-climatic conditions. In this research, Khaya senegalensis was utilized as raw biomass material. Khaya senegalensis, also known as African mahogany, is a hardwood tree species found in tropical regions of Africa. It is known for its valuable timber used in furniture making, construction, and decorative veneers. In addition to its timber, Khaya senegalensis has potential as a biofuel source, as its seeds contain high oil levels. Khaya senegalensis (khaya) can produce high biomass yield per unit area and time, thrive well on marginal soil and resist diseases and pests [7]. In spite of the fact that they have favorable agronomic features, biomass feedstocks are known for their extremely low density, particularly when it comes to the production of energy. Thus, densification is necessary in order to address this problem. In terms of pellet production, Khaya senegalensis has been investigated as a potential raw material for biomass pellets due to its availability, high energy content, and low ash content. A number of studies have investigated the pelletization process using Khaya senegalensis [6,7].
One of the most common and effective densification practices in utilizing biomass as an energy source is via pelletization. Biomass pellets possess densified and uniform shapes; thus superior quality parameters as bioenergy feedstock compared to raw biomass. This pellet shape facilitates the storage, handling, and transportation of the energy pellet. Low pellet durability is undesirable since it can lead to dust and raise the risk of explosion and fire during storage and transportation. As a result, it is critical to manufacture energy pellets of a very high standard. It is imperative to note that several factors directly influence the quality of biomass pellets, such as moisture content and particle size.
In addition, the pelletization pressure and temperature significantly impact the pellets’ durability, bulk, and energy density. Process parameters, including pelletization pressure and temperature of Khaya senegalensis biomass, will be determined to produce high-quality pellets. Proper implementation of pelletization parameters is essential for making long-lasting and energy-dense pellets. As a first step toward making high-quality biomass fuel pellets, these are the most fundamental knowledge gaps that must be investigated.
The success story of biomass trading depends on biomass pellets’ quality characteristics. The pellets should contain high energy (calorific value) and possess high mechanical properties, such as durability and compressive strength, high density, less ash content, transportability, and good storability capacity. It is established that several feedstocks and process parameters have a strong influence on pellet quality. Fundamental pelletizing parameters, such as biomass composition, moisture content, and particle size, are crucial in producing dense, low-moisture, and uniform pellets [7,8,9,10]. It was reported that the low moisture content of biomass is a suitable feedstock moisture content that produced high-quality pellets compared to higher moisture content feedstock [11]. The moisture content of the pellets should be at a low level and contain just enough moisture to put the pellets in shape. High humidity levels can cause damage to the pellets; the pellets do not last long and are too fragile or broken. Higher feedstock moisture content will affect the pellet’s moisture content and decrease the pellets’ bulk density [12]. In addition to feedstock moisture content, the particle size also affects the pellet’s properties [11,12]. It was found that the pellets made from smaller biomass particle sizes are mechanically stronger than larger particles. Fine particle has more surface area that can accept more moisture, making the pellets easy to agglomerate during pelletization [13,14].
Production of high-quality bioenergy products is one of the ways to support the National Biomass Strategy (NBS) 2020. The expansion of the scope in the National Biomass Strategy (NBS) 2020 Ver 2.0 to include forestry waste and dedicated energy crops on top of the palm oil industry has opened the pathway for growth of new high-value industries including Bioenergy, Advanced Biofuels, and Biochemicals. It is a continuing effort implemented in the NBS 2020 to strengthen Malaysia as a Bioeconomy Hub. Moreover, the National Biomass Strategy 2020 was formulated in 2013 to promote the use of agricultural biomass waste for high-value products. Recently, in Green Technology Master Plan Malaysia 2017–2030, renewable energy sources, including biomass, biogas, solar photo-voltaic, and mini hydro, will be used as alternative fuel sources for electricity generation. This study explores the potential of Khaya senegalensis (khaya) as a dedicated energy crop (DEC). The effects of pelletization factors (i.e., temperature and pressure) are studied experimentally on pellet mechanical properties. Additionally, the statistical significance of the parameter is analyzed using the Analysis of Variance (ANOVA).
2. Materials and Methods
The research project is implemented at the Faculty of Mechanical Engineering & Technology, UniMAP, and the Institute of Sustainable Agro-Technology (INSAT) Research Station, located at Sungai Chuchuh, Padang Besar, Perlis. This project uses the matured branch and trunk of the Khaya senegalensis (khaya) tree grown and harvested at the INSAT Research Station. The harvest location lies on the latitude and longitude of 6°39′09.6″ N and 100°15′40.3″ E, respectively.
The general objective of this experiment is to find out the effect of temperature and pressure on Khaya senegalensis wood on the pellet’s quality parameters. The parametric experiment was conducted with five levels of biomass temperature and five levels of pressure, allreplicated three times.
One the entire khaya tree was harvested, including the trunk, secondary, and tertiary branches, a random sample was selected for the pelleting process. The leaves were removed from the branches. It was then allowed to dry naturally in open atmospheric air. The feedstock was then cut into smaller parts before being subjected to a wood chipper to produce wood chips. The raw material was ground to smaller particle sizes using a hammer mill. The ground material was then collected, and a sieving method, according to the standard CEN/TS 15149-2, was used to collect 0.5 mm particle size of the khaya to produce the fuel pellets.
The ground biomass was pelletized with different pressures and temperatures at a constant moisture content and particle size using a Specac manual hydraulic press machine (Orpington, Kent, United Kingdom) with a fabricated temperature controller (Shah Alam, Selangor, Malaysia). The temperature factor discussed in this research is the value reached by the die at various stages of the pelleting process: 25, 50, 75, 100, and 125 °C. In this experiment, pellets with a diameter of 10 mm were produced. The mechanical properties, including durability and compressive strength of the khaya pellets, were determined according to the CEN/TC 335. EN 15210-1:2009 standard and Shimadzu Universal Testing Machine (Kyoto, Japan) are available at the UniMAP Faculty of Mechanical Engineering & Technology. To investigate the influence of pelletization pressure, the K. senegalensis pelletization was conducted under pressures of 1, 2, 3, 4, and 5 tons, equivalent to 6.28 MPa, 12.5 MPa, 18.8 MPa, 25.1 MPa, and 31.4 MPa, respectively.
The mechanical characteristics of Khaya senegalensis established in this research will provide a basis for developing our very own dedicated energy crops industry. On top of that, the optimum temperature and pressure for Khaya senegalensis bioenergy pellet established from this research will serve as the essential parameter that contributes to the biomass industry in designing adequate facility and systems for the production of high-quality bioenergy pellet as well as serve as the mitigation plan for energy security due to the diminishing fossil fuels.
The axial and diametral compressive strength of the pellets were evaluated using the following experiment. During a compression test, the samples were placed between two plates or platens that distributed the applied load across the entire surface area of two opposite faces of the test sample. The plates are compressed together by a compression-capable test machine, causing the sample to flatten, at 1 mm/min speed. The pellet axis is perpendicular to the platen surface in the axial compressive test and parallel to the platen surface in the diametral compressive test. The configuration of the compressive strengths testing is shown in Figure 1 and Figure 2.
Figure 1.
The Khaya senegalensis pellet position during axial compressive strength test.
Figure 2.
The Khaya senegalensis pellet orientation of K. senegalensis during the diametral compressive strength test.
The mechanical durability of Khaya senegalensis pellets was evaluated in accordance with CEN/TC 335 EN 15210-1:2009 by measuring the pellet’s mass before and after the durability test. The initial pellet mass was determined using a weighing scale. The pellet was then shaken for 10 min at 50 revolutions per minute using a sieve shaker. After the sieve shaker was turned off, the pellets were inspected, and pellets that remained intact were weighed to determine the pellets’ final mass.
Analysis of variance (ANOVA) was employed to determine the statistical significance of this study. A p-value of 0.05 indicates that the model terms are significant and more closely aligned with the actual experimental outcomes, whereas larger values may be attributable to data noise.
3. Results and Discussions
The effect of temperature and pressure during the pelletization process on Khaya senegalensis biomass pellets’ mechanical durability and compressive strength are discussed in this section. The following information pertains to the pellets manufactured for this research: 10 mm diameter, 10 mm average length, 12% pelletization moisture content, 26.06% feedstock moisture content, and 258 kg/m3 bulk density. The whiskers in all graphs are standard errors obtained from triplicate measurements.
3.1. The Effects of Pelletizing Temperature on Energy Pellets Quality
3.1.1. Durability
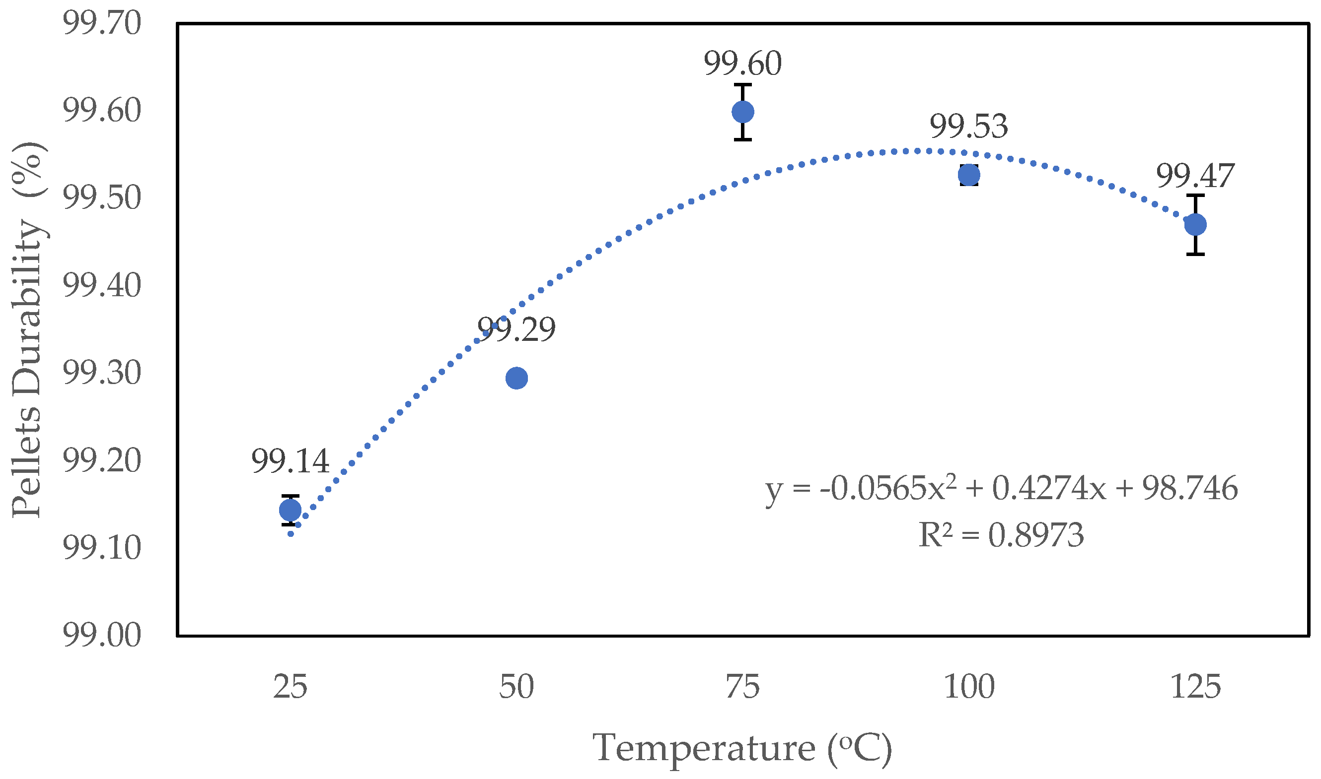
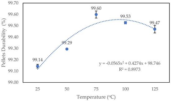
The abrasion resistance of fuel pellets can be evaluated using various methods, one of which is mechanical durability. Mechanical durability for premium quality pellets should be at least 97.5% according to European standards and 96.5% according to the Pellet Fuels Institute (PFI) standard [14]. When it comes to the pellet industry, the durability of the pellet is of utmost importance and it must meet international standards [15]. The pellet must withstand the possibility of cracks or even worse, the possibility of being destroyed or broken apart during the process; this applies to whether the pellet is being stored, transported, or handled [16,17]. Any damage to the pellets that do not have high durability will negatively impact the pellet’s physical qualities and overall quality. In fact, the pellet that is stronger and of higher quality lasts the longest. The durability test is vital in ensuring that pellets can withstand being handled without being destroyed. The outcomes of a mechanical durability test for Khaya senegalensis wood pellets from various temperatures are depicted in Figure 3.
Figure 3.
The impact of temperature on the Khaya senegalensis biofuel pellets’ mechanical durability.
Based on the data gathered from this experiment, pelletization at five levels of different temperatures recorded an interesting trend in pellet density. The maximum value of mechanical durability (99.6%) was observed in pellets produced at 75 °C and 12% moisture content. It is apparent from Figure 3 that as the temperature increases from 25 °C, the durability gradually increases; however, there is a decreasing trend after the temperature increases further to 100 °C and 125 °C. The adhesive effect of the natural binders can be made more effective by high temperatures. For instance, the denaturation of proteins often occurs at temperatures higher than 57 degrees Celsius, and the glass transition of lignin occurs at temperatures above 50–113 degrees Celsius [18,19]. The natural lubricants (e.g., lipids) and binders (e.g., proteins and starches) would be activated between the particles, increasing particle adhesion and reducing energy consumption during pelletization [20]. However, when temperatures are raised to higher levels, the melting of lignin may result in the particles exhibiting less plasticity, and excessive denaturation of proteins may also result in the particles exhibiting less durability [21,22].
The mechanical durability of pellets fuel is directly proportional to the temperature of the pelletization process. If the temperature rises, the mechanical durability of pellets fuel also increases. The results of this experiment also recorded similar changes. Moreover, the results of the present study are in agreement with [23,24,25], which stated that variation in temperature during the pelletization process also affects the mechanical durability and breakage of fuel pellets. The treatment during the pelletization process produces solid pellets with high mechanical durability. When subjected to temperature, biomass components, such as lignin, hemicellulose, cellulose, and protein, will be activated [14]. It has also been reported in previous study [26] that high temperature causes the pellets to become denser and have higher mechanical durability due to the raw material becoming liquid and hardened when cooled.
Upon the analysis of the data, the difference becomes readily apparent. The absence of overlap between the error bars could suggest a significant difference. This situation indicates that the durability index of pellets varies substantially with temperature. Data analysis using ANOVA can further demonstrate this. As indicated in Table 1, p-value is significant at 0.015 (less than 0.05). The alternative hypothesis is therefore accepted if the null hypothesis is rejected.
Table 1.
ANOVA analysis for pellets durability manufactured at different temperatures.
3.1.2. Compressive Strength
Pellets’ compressive strength is the maximum breaking load that pellets can withstand before cracking or breaking. This compression is not only significant but also very much required because it is incredibly useful for pellets while they are being stored and sorted. In addition, if the pellets are kept in a place, such as a sack, while they are being stored, the strength of the pellets while they are being compressed, must be a primary consideration in the storage process. In large-scale pellet production, the friction between the biomass and the die-hole walls causes an increase in pressure and temperature, which in turn assists the lignin in becoming more plastic and in gluing the biomass particles together [27].
The Khaya senegalensis feedstock particles were compressed under higher pressure, resulting in inter-particle bonding, thus higher strength. Natural binders, such as protein and lignin, contribute to forming solid bridges. Moreover, the increase in pelletizing temperature enabled lignin to enter the particles more efficiently, forming a stronger solid bridge. This finding is consistent with previous research [28], which concluded that the thermal treatment provided during the pelletization process significantly altered the lignocellulosic composition, which improved pellets’ strength, grindability, calorific value, and reduced particle size.
- Axial
The axial compressive strength resulting from different pelletization temperatures is shown in Figure 4. A significant difference can be seen in the axial compression strength test with varying temperatures. The sample with the highest axial compressive strength resulted at 125 °C, which has a compressive strength of 66.06 MPa, followed by 58.36 MPa at 100 °C and 54.77 MPa at 50 °C. As anticipated, biomass pelletized at room temperature shows the lowest axial compressive strength of all at a value of 46.44 MPa. This situation is because no additional heat is applied during densification, preventing the release or heating of natural binders that would otherwise assist in binding the particles. This finding agrees with [15,25], which stated that the compressive strength is influenced by pressure while making the pellet. Increasing the temperature is well-known to lessen friction. Therefore, it may influence the binding agent in the biomass fuel pellets, thereby affecting their strength. The standard error bar for each treatment does not overlap, indicating a statically significant difference was observed. Moreover, an ANOVA test was also performed, and the probability value was less than 0.05, which is 0.04909. Consequently, it can be stated that there is a substantial difference between the axial compressive strength of samples with varied temperatures.
Figure 4.
Khaya senegalensis biofuel pellets’ axial compressive strength versus pelletization temperature.
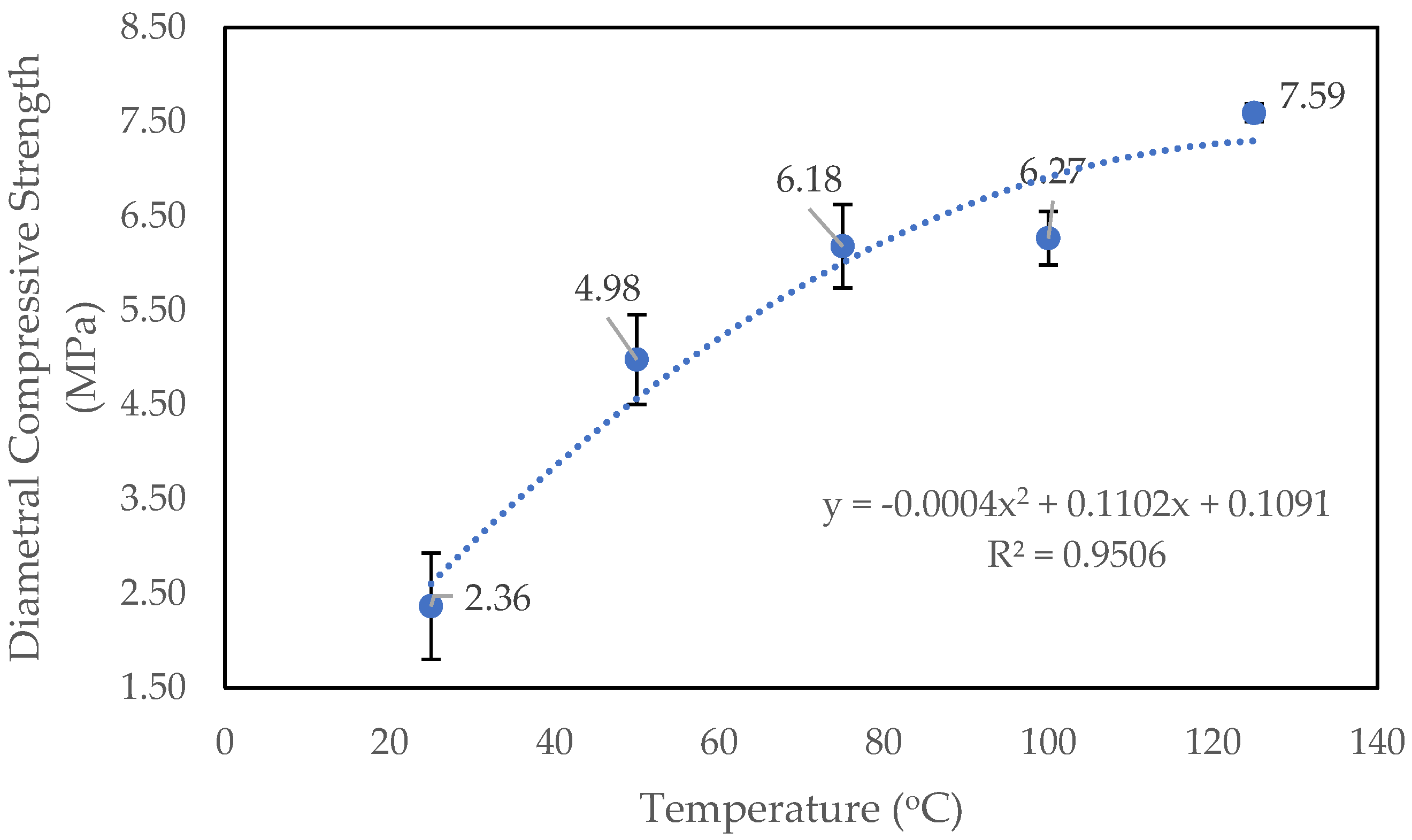
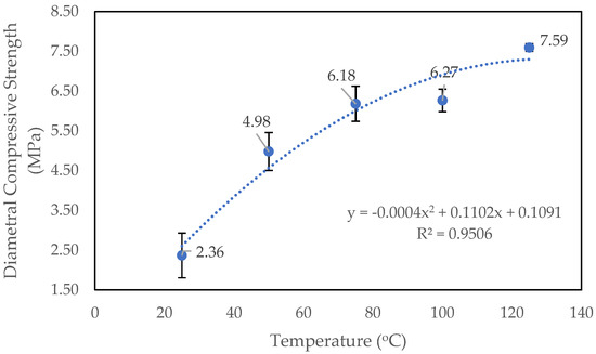
- Diametral
The compressive strength of the Khaya senegalensis pellets increases as the pelletization temperature increases (Figure 5). Maximum diametral compressive strength recorded was 7.59 MPa at 125 °C. The lowest (2.36 MPa) was exhibited for pelletized pellets at room temperature. Additionally, it can also be observed that pellets easily break in a diametral configuration compared to an axial one. Moreover, the results show that compressive strength portrayed a significant difference as the temperature changed. ANOVA data analysis revealed that p-value, in this case, is undoubtedly significant at 5.31889 × 10−8, which is less than 0.05. This result is supported by a study conducted by [27], which stated that temperature substantially impacts the mechanical characteristics of lignocellulosic polymers. This situation can be attributed to the softening of lignin due to elevated temperature effectively penetrating voids between the particles, thus further enhancing the agglomeration and binding amongst the material. Apart from that, the presence of natural binders, such as proteins and lignin, helped in the development of durable solid bridges and short-range forces (such as hydrogen bonding, Van der Waals’ force, and electrostatic forces) [20,26,27,28].
Figure 5.
Khaya senegalensis biofuel pellets’ diametral compressive strength in relation to temperature.
3.2. The Effects of Pelletizing Pressure on Energy Pellets Quality
3.2.1. Durability
The pressure applied during pelletization affects the mechanical durability of pellets produced from Khaya senegalensis biomass. The Khaya senegalensis biofuel pellets’ mechanical durability increases as the pelletization pressure rise to the middle level (3 tons), having the same trend as that incurred by varying the pelletization temperature (Figure 6). The 1 ton pressure has resulted in the lowest mechanical durability rating of 99.07%. The mechanical durability increased to 99.35% when the pressure was increased to 2 tons. When tested under a pressure of 3 tons, the maximum possible mechanical durability score was 93.89%. A significant reduction in volume at higher pressures results in the density of the pellet reaching the true density of the component ingredients, thus increasing the strength of the fuel pellets. A study by [20,21,23] pointed out that applying high pressure to biomass during pelletization will considerably impact pellets’ mechanical durability and density. Likewise, reference [29] holds the view that the inner spaces between the particles were significantly reduced because of protein denaturation and lignin softening. This phenomenon occurred because high compression pressure allowed organics in the feedstock particles to be compressed into the gaps and voids of the particles. Therefore, an increase in pressure improved the pellet’s durability. This fact is supported by previous findings [30,31], when lignin-rich biomass is compressed under high pressure and the lignin becomes soft because of its thermosetting properties. The softened lignin then acts as a glue.
Figure 6.
The influence of pressure on the Khaya senegalensis biofuel pellets’ mechanical durability.
3.2.2. Compressive Strength
In the production of biocarbon pellets, relatively high compressive strength, thermal strength, and mechanical durability are desired. High abrasion resistance and hardness values improve the pellet’s competitiveness in the market, influencing the efficiency of pellet storage and feeding processes [17]. It is reasonable to assume that the trends reported in [32,33] are also valid for compressive strength, given the same assumptions to support them.
- Axial
Interestingly, it is ostensible from Figure 7 that the axial compressive strength portrays a saddle trend, with the lowest strength recorded for pellets manufactured at 3 tons of pressure with a value of 50.26 MPa. An increasing pattern was observed for Khaya senegalensis pellets pelletized at 1 ton and 2 tons; however, it dropped significantly at 3 tons. There is not much difference in axial compressive strength in pellets densified at 4 and 5 tons. The fluctuations of the experimental data were also observed in previous work [33]. The properties of the wood may fluctuate due to several factors, i.e., processing conditions, wood age, storage conditions of raw material and binding strength between the particles. An ANOVA test was performed, and it was found that the p-value at 1.0396 × 10−28 was well below 0.05. Therefore, this shows that pressure causes a statistically significant effect on axial compressive strength. This confirms the statement by [34,35] that the parameters of the pelletization process play a major role in producing high-quality fuel pellets. The results of this study offered evidence in favour of the concept that a higher total amount of compression pressure could produce a stronger and more durable substance. It was hypothezised that the pellets created under more significant pressures could increase heat efficiency during combustion.
Figure 7.
Khaya senegalensis biofuel pellets’ axial compressive strength versus pressure.
- Diametral
The diametral compressive strength resulting from different pelletization pressures is indicated in Figure 8. Initially, the response increased with the increment of the pelletization pressure, reaching its highest strength of 7.08 MPa at 4 tons of pressure. Conversely, it has been found that the compressive strength substantially drops to 6.67 MPa when the pressure exerted during pelletization is increased to 5 tons. The effect may be accounted for by the devolatilization of the binder, which becomes more significant as the pelletizing temperature rises. As a result, pellets subjected to heat treatment contain less binder, which promotes thermal interactions within the biocarbon [17,32]. In the same paper, [17] also stated that temperature influence is strictly related to the biomass which undergoes pelletization. The present findings seem consistent with other research, which found that increasing the temperature during the pelletization process will further improve the mechanical properties of pellets [24,33]. The finding is consistent with past studies by [36,37], which stated that pressure would affect the mechanical properties of pellets. The p-value obtained from ANOVA analysis discovered a value of 8.1512 × 10−7, signifying a significant difference in that data.
Figure 8.
Khaya senegalensis fuel pellets’ diametral compressive strength versus pelletization pressure.
In addition to temperature and pressure, the raw material treatment affects the pellets’ mechanical properties [37]. For example, if the raw material is not sufficiently cleaned or purified before pelletization, impurities or foreign particles may be present in the pellet, leading to defects or weaknesses in its structure. Similarly, if the raw material is not adequately dried or cured, residual moisture or solvents may be present in the pellet, affecting its strength and durability.
Other factors that can affect the mechanical properties of a pellet include the size and shape of the raw material particles, the compression force and temperature used during pelletization, and the cooling rate and conditions after pelletization [38,39,40,41,42]. Moreover, torrefaction of the raw materials can also affect the mechanical properties of a pellet [8,43]. Torrefaction is a thermal treatment process that involves heating biomass materials in the absence of oxygen to produce a more uniform and stable fuel source. During torrefaction, the raw materials undergo chemical and physical changes that can affect their mechanical properties, such as density, durability, and energy content. The process can increase the density of the material, making it more resistant to breakage and deformation. It can also reduce the moisture content and increase the energy density of the material, resulting in a more efficient fuel source. However, excessive torrefaction can also lead to the degradation of the material and reduce its mechanical properties, such as increasing brittleness or reducing its compressive strength. Therefore, the torrefaction process must be carefully controlled to optimize the mechanical properties of the resulting pellet.
All of these factors can influence the internal structure and bonding of the pellet, as well as its surface properties and resistance to external stresses. Therefore, carefully controlling and optimizing these parameters is vital to ensure consistent and high-quality pellet production.
4. Conclusions
This work examined the influence of pelletization pressure and temperature on the mechanical qualities of fuel pellets derived from Khaya senegalensis, a potential DEC readily available in Malaysia. A univariate analysis was carried out to determine the production process parameters of the Khaya senegalensis fuel pellet. Pelletizing at 125 °C resulted in both the highest axial and diametral compressive strengths, 66.06 and 7.59 MPa, respectively, without compromising the pellets durability (99.47%). In contrast to varying temperatures, pelletizing at different pressures led to lower axial and diametral compressive strengths. This suggests that a high pelletization temperature can improve compaction and adhesion between particles and binder, leading to higher mechanical properties.
Author Contributions
Methodology, R.I.I.; Validation, C.Y.K.; Formal analysis, R.I.I.; Investigation, R.I.I.; Resources, R.I.I.; Writing—original draft, R.I.I.; Writing—review & editing, C.Y.K.; Supervision, C.Y.K. and A.R.M.; Project administration, C.Y.K. and A.R.M.; Funding acquisition, R.I.I. All authors have read and agreed to the published version of the manuscript.
Funding
This research was funded by Fundamental Research Grant Scheme by the Higher Education Ministry of Malaysia (FRGS); research grant number FRGS/1/2020/TK0/UNIMAP/03/22.
Institutional Review Board Statement
Not applicable.
Informed Consent Statement
Not applicable.
Data Availability Statement
The data presented in this study are available on request from the corresponding author.
Acknowledgments
The study was part of an engineering doctorate at the Faculty of Mechanical Engineering & Technology at Universiti Malaysia Perlis (UniMAP). We would also like to express our deepest appreciation to the Higher Education Ministry of Malaysia (FRGS); research grant number FRGS/1/2020/TK0/UNIMAP/03/22 for funding this project, and we wish to thank colleagues, technical specialists, and sustenance from the Faculty of Mechanical Engineering & Technology, Universiti Malaysia Perlis for their dedicated support given to this study.
Conflicts of Interest
The authors declare no conflict of interest. The funders had no role in the design of the study; in the collection, analyses, or interpretation of data; in the writing of the manuscript; or in the decision to publish the results.
References
- Abu Bakar, N.A.S.; Khuzaini, N.A.; Baidurah, S. Co-fermentation involving Lysinibacillus sp. and Aspergillus flavus for simultaneous palm oil waste treatment and renewable biomass fuel production. AIMS Microbiol. 2022, 8, 357–371. [Google Scholar] [CrossRef] [PubMed]
- Kc, R.; Föhr, J.; Gyawali, A.; Ranta, T. Investment and Profitability of Community Heating Systems Using Bioenergy in Finland: Opportunities and Challenges. Sustainability 2021, 13, 11757. [Google Scholar] [CrossRef]
- Mock, C.; Park, H.; Ryu, C.; Manovic, V.; Choi, S.-C. Particle temperature and flue gas emission of a burning single pellet in air and oxy-fuel combustion. Combust. Flame 2020, 213, 156–171. [Google Scholar] [CrossRef]
- Liu, Y.; Wan, K.; He, Y.; Wang, Z.; Xia, J.; Cen, K. Experimental study of potassium release during biomass-pellet combustion and its interaction with inhibitive additives. Fuel 2020, 260, 116346. [Google Scholar] [CrossRef]
- Bala-Litwiniak, A.; Musiał, D. Computational and Experimental Studies of Selected Types of Biomass Combustion in a Domestic Boiler. Materials 2022, 15, 4826. [Google Scholar] [CrossRef]
- Popa, V.I. Biomass for Fuels and Biomaterials; Elsevier B.V.: Amsterdam, The Netherlands, 2018. [Google Scholar] [CrossRef]
- Rahman, A.A.A.; Ismail, R.I.; Shaari, A.R.; Rukunudin, I.H.; Zulkepli, N.N. Khaya senegalensis and Leucaena leucocephala; Malaysian dedicated energy crop potential species. IOP Conf. Series: Mater. Sci. Eng. 2020, 932, 012117. [Google Scholar] [CrossRef]
- Azimi, A.; Rahman, A.; Izzati, R.; Shaari, A.R. Torrefaction Temperature and Holding Time Effect on Khaya senegalensis Biomass. J. Adv. Res. Fluid Mech. Therm. Sci. 2021, 81, 150–157. [Google Scholar]
- Da Silva, S.B.; Arantes, M.D.C.; de Andrade, J.K.B.; Andrade, C.R.; Carneiro, A.D.C.O.; Protásio, T.D.P. Influence of physical and chemical compositions on the properties and energy use of lignocellulosic biomass pellets in Brazil. Renew. Energy 2020, 147, 1870–1879. [Google Scholar] [CrossRef]
- Cui, X.; Yang, J.; Wang, Z. A multi-parameter optimization of the bio-pellet manufacturing process: Effect of different parameters and different feedstocks on pellet characteristics. Biomass-Bioenergy 2021, 155, 106299. [Google Scholar] [CrossRef]
- Pradhan, P.; Arora, A.; Mahajani, S.M. Factors affecting the quality of fuel pellets produced from waste biomass. IOP Conf. Series: Earth Environ. Sci. 2020, 463, 012013. [Google Scholar] [CrossRef]
- Tumuluru, J.S.; Wright, C.T.; Kenny, K.L. A Review on Biomass Densification Technologies for Energy Application; Idaho National Lab.: Idaho Falls, ID, USA, 2010; Technical Report. [Google Scholar]
- Wang, T.; Meng, D.; Zhu, J.; Chen, X. Effects of pelletizing conditions on the structure of rice straw-pellet pyrolysis char. Fuel 2020, 264, 116909. [Google Scholar] [CrossRef]
- Tumuluru, J.S. Effect of pellet die diameter on density and durability of pellets made from high moisture woody and herbaceous biomass. Carbon Resour. Convers. 2018, 1, 44–54. [Google Scholar] [CrossRef]
- Kirsten, C.; Lenz, V.; Schröder, H.-W.; Repke, J.-U. Hay pellets—The influence of particle size reduction on their physical–mechanical quality and energy demand during production. Fuel Process. Technol. 2016, 148, 163–174. [Google Scholar] [CrossRef]
- Kuptz, D.; Hartmann, H. Prediction of air pressure resistance during the ventilation of wood chips as a function of multiple physical fuel parameters. Biomass Bioenergy 2021, 145, 105948. [Google Scholar] [CrossRef]
- Adapa, P.K.; Tabil, L.G.; Schoenau, G.J. Factors affecting pellet quality and energy analysis of pelleting process. Int. J. Agric. Biol. Eng. 2013, 6. [Google Scholar]
- Acda, M.N.; Devera, E.E. Physico—Chemical properties of wood pellets from forest residues. J. Trop. For. Sci. 2014, 26, 589–595. [Google Scholar]
- Cappello, M.; Rossi, D.; Filippi, S.; Cinelli, P.; Seggiani, M. Wood Residue-Derived Biochar as a Low-Cost, Lubricating Filler in Poly(butylene succinate-co-adipate) Biocomposites. Materials 2023, 16, 570. [Google Scholar] [CrossRef]
- Yank, A.; Ngadi, M.; Kok, R. Physical properties of rice husk and bran briquettes under low pressure densification for rural applications. Biomass-Bioenergy 2016, 84, 22–30. [Google Scholar] [CrossRef]
- Unpinit, T.; Poblarp, T.; Sailoon, N.; Wongwicha, P.; Thabuot, M. Fuel Properties of Bio-Pellets Produced from Selected Materials under Various Compacting Pressure. Energy Procedia 2015, 79, 657–662. [Google Scholar] [CrossRef]
- Sricharoenchaikul, V.; Puavilai, D.; Thassanaprichayanont, S.; Atong, D. Investigation on thermochemical conversion of pelletized Jatropha residue and glycerol waste using single particle reactivity technique. Chem. Eng. J. 2011, 176–177, 217–224. [Google Scholar] [CrossRef]
- Riva, L.; Nielsen, H.K.; Skreiberg, Ø.; Wang, L.; Bartocci, P.; Barbanera, M.; Bidini, G.; Fantozzi, F. Analysis of optimal temperature, pressure and binder quantity for the production of biocarbon pellet to be used as a substitute for coke. Appl. Energy 2019, 256, 113933. [Google Scholar] [CrossRef]
- Mina-Boac, J.; Maghirang, R.G.; Casada, M.E. Durability and Breakage of Feed Pellets during Repeated Elevator Handling; American Society of Agricultural and Biological Engineers: St. Joseph, MI, USA, 2006; p. 1. [Google Scholar] [CrossRef]
- Onochie, U.P.; Obanor, A.I.; Aliu, S.A.; Ighodaro, O.O. Proximate and Ultimate Analysis of Fuel Pellets From Oil Palm Residues. Niger. J. Technol. 2017, 36, 987–990. [Google Scholar] [CrossRef]
- Wongsiriamnuay, T.; Tippayawong, N. Effect of densification parameters on the properties of maize residue pellets. Biosyst. Eng. 2015, 139, 111–120. [Google Scholar] [CrossRef]
- Karunanithy, C.; Wang, Y.; Muthukumarappan, K.; Pugalendhi, S. Physiochemical Characterization of Briquettes Made from Different Feedstocks. Biotechnol. Res. Int. 2012, 2012, 1–12. [Google Scholar] [CrossRef] [PubMed]
- Ma, J.; Feng, S.; Shen, X.; Zhang, Z.; Wang, Z.; Kong, W.; Yuan, P.; Shen, B.; Mu, L. Integration of the pelletization and combustion of biodried products derived from municipal organic wastes: The influences of compression temperature and pressure. Energy 2021, 219, 119614. [Google Scholar] [CrossRef]
- Ishii, K.; Furuichi, T. Influence of moisture content, particle size and forming temperature on productivity and quality of rice straw pellets. Waste Manag. 2014, 34, 2621–2626. [Google Scholar] [CrossRef]
- Mostafa, M.E.; Hu, S.; Wang, Y.; Su, S.; Hu, X.; Elsayed, S.A.; Xiang, J. The significance of pelletization operating conditions: An analysis of physical and mechanical characteristics as well as energy consumption of biomass pellets. Renew. Sustain. Energy Rev. 2019, 105, 332–348. [Google Scholar] [CrossRef]
- Ungureanu, N.; Vladut, V.; Voicu, G.; Dinca, M.-N.; Zabava, B.-S. Influence of biomass moisture content on pellet properties—Review. Eng. Rural. Dev. 2018, 17, 1876–1883. [Google Scholar] [CrossRef]
- Ruksathamcharoen, S.; Chuenyam, T.; Stratong-On, P.; Hosoda, H.; Sesillia, T.; Yoshikawa, K. Effects of hydrothermal treatment and pelletizing temperature on physical properties of empty fruit bunch pellets. Energy Procedia 2019, 158, 681–687. [Google Scholar] [CrossRef]
- Wang, T.; Wang, Z.; Zhai, Y.; Li, S.; Liu, X.; Wang, B.; Li, C.; Zhu, Y. Effect of molasses binder on the pelletization of food waste hydrochar for enhanced biofuel pellets production. Sustain. Chem. Pharm. 2019, 14, 100183. [Google Scholar] [CrossRef]
- Liang, M.; Lu, W.; Lei, P.; Wang, L.; Wang, B.; Li, B.; Shen, Y.; Zhang, K. Physical and Combustion Properties of Binder-Assisted Hydrochar Pellets from Hydrothermal Carbonization of Tobacco Stem. Waste Biomass-Valorization 2020, 11, 6369–6382. [Google Scholar] [CrossRef]
- Pradhan, P.; Mahajani, S.M.; Arora, A. Pilot scale production of fuel pellets from waste biomass leaves: Effect of milling size on pelletization process and pellet quality. Fuel 2021, 285, 119145. [Google Scholar] [CrossRef]
- Rajput, S.P.; Jadhav, S.V.; Thorat, B.N. Methods to improve properties of fuel pellets obtained from different biomass sources: Effect of biomass blends and binders. Fuel Process. Technol. 2020, 199, 106255. [Google Scholar] [CrossRef]
- Pradhan, P.; Mahajani, S.M.; Arora, A. Production and utilization of fuel pellets from biomass: A review. Fuel Process. Technol. 2018, 181, 215–232. [Google Scholar] [CrossRef]
- Hettiarachchi, L.G.; Jayathilake, N.; Fernando, S.; Gunawardena, S. Effects of compost particle size, moisture content and binding agents on co-compost pellet properties. Int. J. Agric. Biol. Eng. 2019, 12, 184–191. [Google Scholar] [CrossRef]
- Jarolin, K.; Wang, S.; Dymala, T.; Song, T.; Heinrich, S.; Shen, L.; Dosta, M. Characterizing devolatilized wood pellets for fluidized bed applications. Biomass-Convers. Biorefinery 2023, 13, 5133–5150. [Google Scholar] [CrossRef]
- Gilbert, P.; Ryu, C.; Sharifi, V.; Swithenbank, J. Effect of process parameters on pelletisation of herbaceous crops. Fuel 2009, 88, 1491–1497. [Google Scholar] [CrossRef]
- Molenda, M.; Horabik, J.; Parafiniuk, P.; Oniszczuk, A.; Bańda, M.; Wajs, J.; Gondek, E.; Chutkowski, M.; Lisowski, A.; Wiącek, J.; et al. Mechanical and Combustion Properties of Agglomerates of Wood of Popular Eastern European Species. Materials 2021, 14, 2728. [Google Scholar] [CrossRef]
- Mohammad, S.; Baidurah, S.; Kamimura, N.; Matsuda, S.; Abu Bakar, N.A.S.; Muhamad, N.N.I.; Ahmad, A.H.; Dominic, D.; Kobayashi, T. Fermentation of Palm Oil Mill Effluent in the Presence of Lysinibacillus sp. LC 556247 to Produce Alternative Biomass Fuel. Sustainability 2021, 13, 11915. [Google Scholar] [CrossRef]
- Ismail, R.I.; Leng, L.Y.; Makhtar, N.L.; Rahman, A.A.A.; Dali, J.A.A.; Shaari, A.R.; Yee, K.C.; Mohamed, A.R.; Jamalludin, M.R.; Razak, N.A.; et al. The effect of torrefaction reaction temperature on the Elaeis Guineensis Empty Fruit Bunch (EFB) pellet durability and calorific value. IOP Conf. Series: Mater. Sci. Eng. 2020, 932, 012118. [Google Scholar] [CrossRef]
Disclaimer/Publisher’s Note: The statements, opinions and data contained in all publications are solely those of the individual author(s) and contributor(s) and not of MDPI and/or the editor(s). MDPI and/or the editor(s) disclaim responsibility for any injury to people or property resulting from any ideas, methods, instructions or products referred to in the content. |
© 2023 by the authors. Licensee MDPI, Basel, Switzerland. This article is an open access article distributed under the terms and conditions of the Creative Commons Attribution (CC BY) license (https://creativecommons.org/licenses/by/4.0/).







