Biochar Prepared by Microwave-Assisted Co-Pyrolysis of Sewage Sludge and Cotton Stalk: A Potential Soil Conditioner
Abstract
1. Introduction
2. Material and Methods
2.1. Material Preparation
2.2. Experimental Apparatus and Procedure
2.3. Plant Cultivation Method
2.4. Analytical Methods
3. Results and Discussion
3.1. Impacts of Pyrolysis Temperature and Mix Ratio on Biochar Yield
3.2. Surface Properties of Biochar
3.3. Crystal Structure of Biochar
3.4. Major Metal and Nonmetal Contents in Biochar
3.5. Co-Pyrolysis Biochar as a Soil Conditioner
3.5.1. Ultimate Analysis of Biochar
3.5.2. Impacts of Biochar on Corn Growing
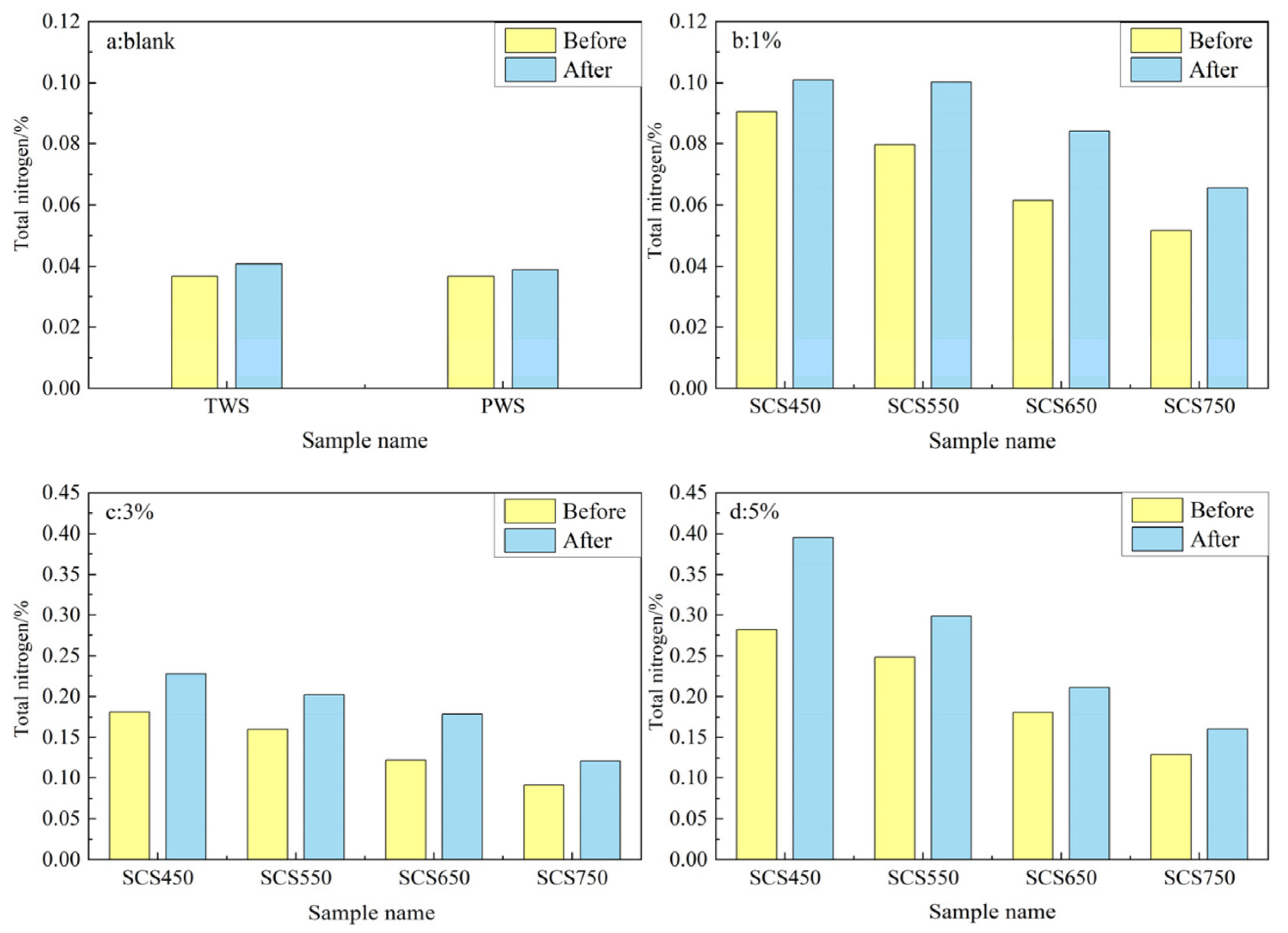
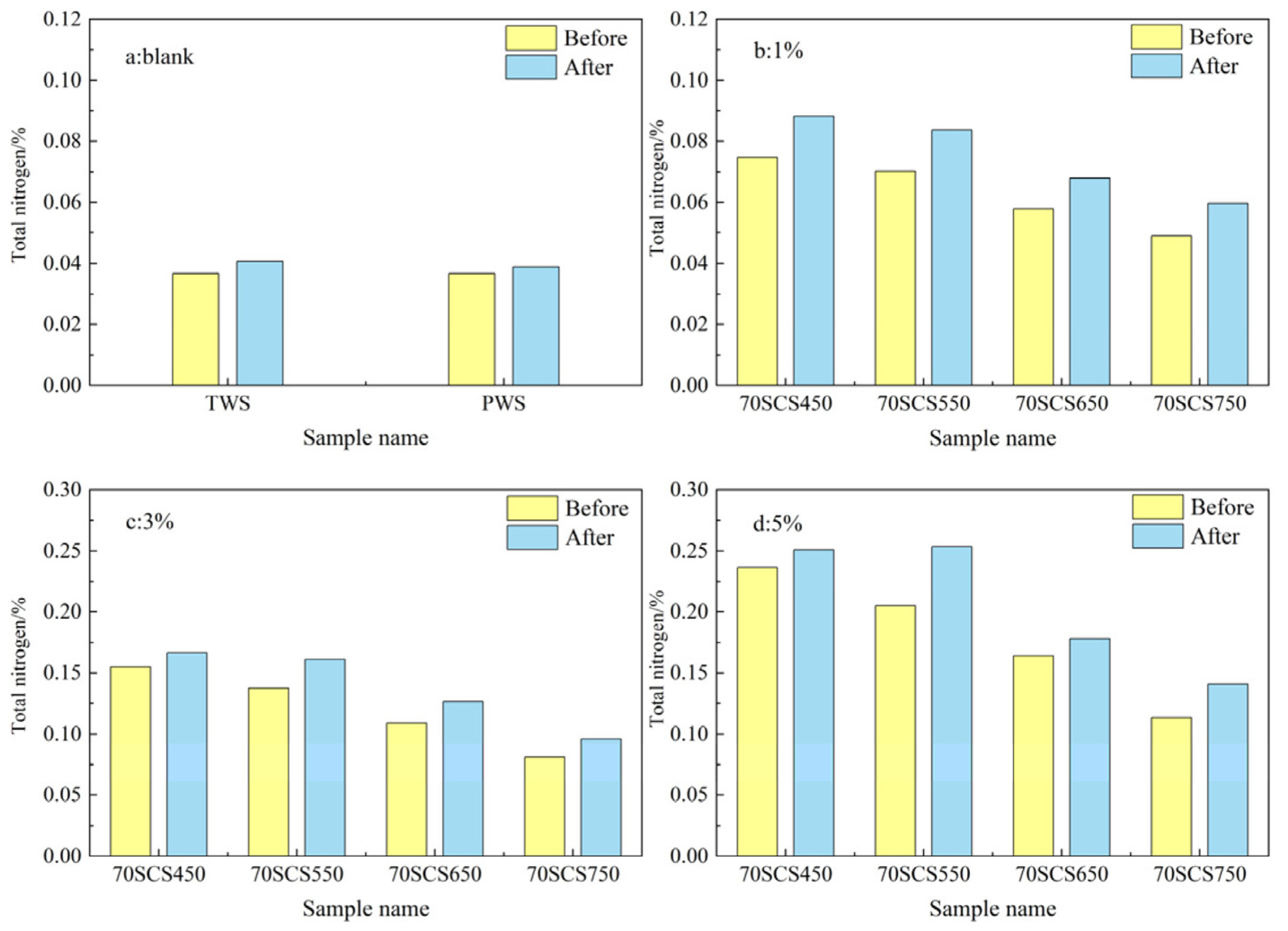
3.5.3. Impacts of Biochar on Soil Total Nitrogen
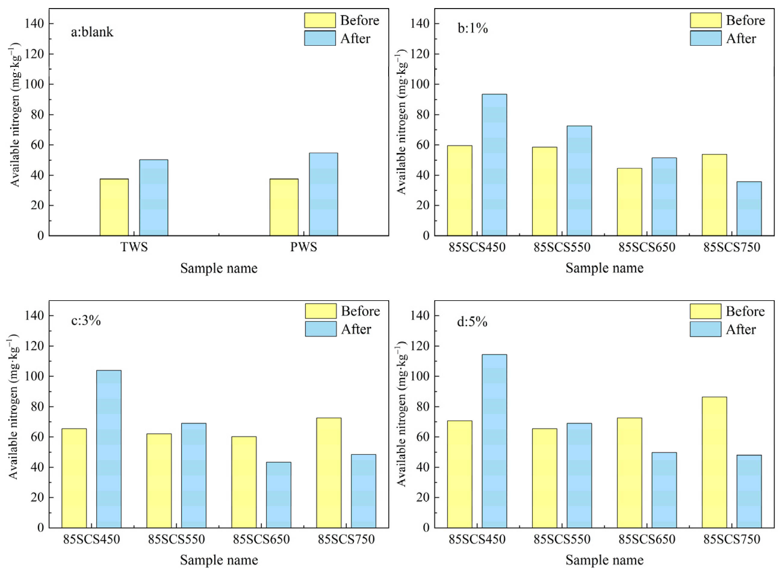
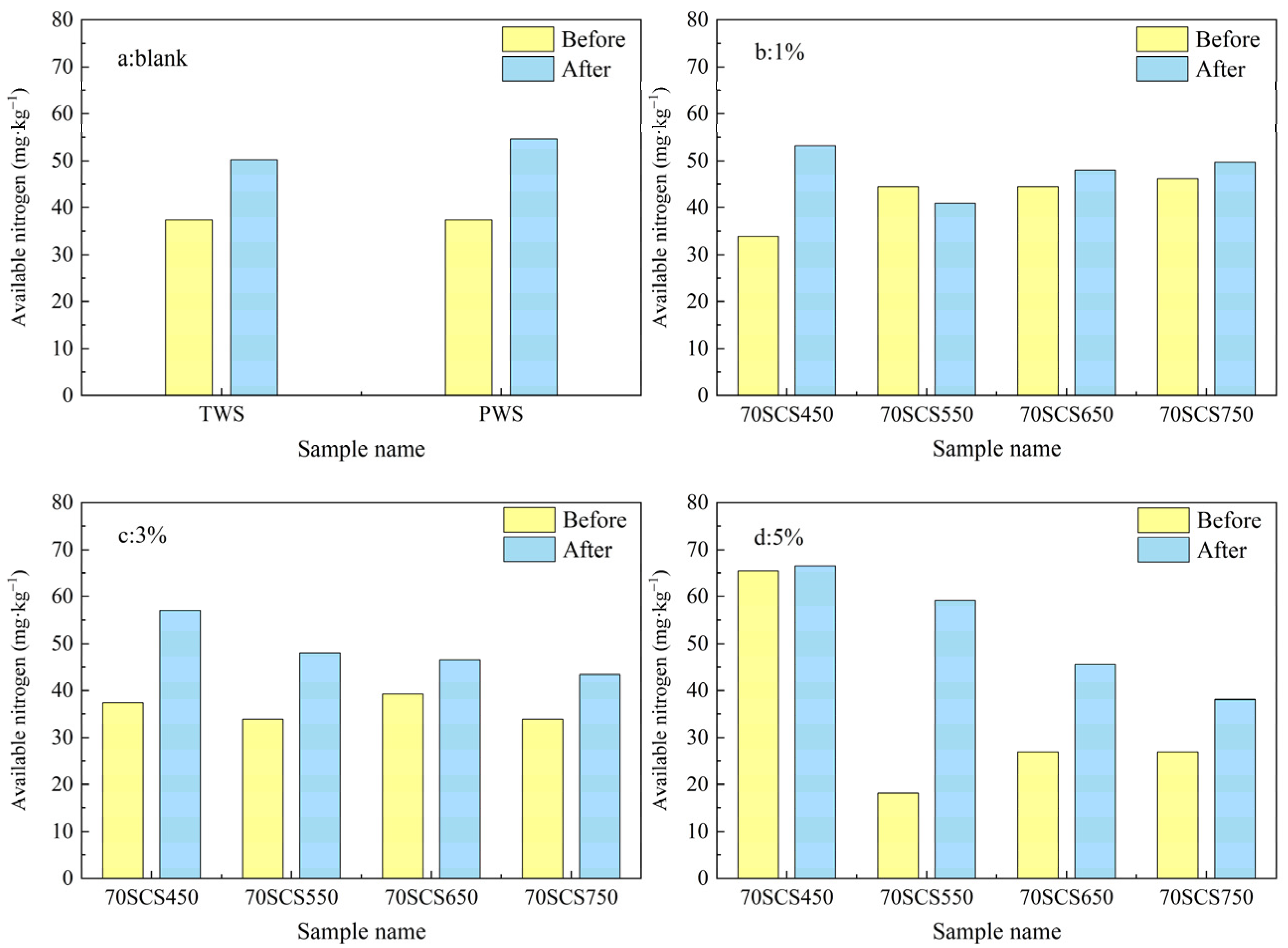
3.5.4. Impacts of Biochar on Soil Available Nitrogen
4. Conclusions
Author Contributions
Funding
Institutional Review Board Statement
Informed Consent Statement
Data Availability Statement
Conflicts of Interest
Appendix A
References
- Racek, J.; Sevcik, J.; Chorazy, T.; Kucerik, J.; Hlavinek, P. Biochar—Recovery Material from Pyrolysis of Sewage Sludge: A Review. Waste Biomass Valorization 2020, 11, 3677–3709. [Google Scholar] [CrossRef]
- Bora, A.P.; Gupta, D.P.; Durbha, K.S. Sewage Sludge to Bio-Fuel: A Review on the Sustainable Approach of Transforming Sewage Waste to Alternative Fuel. Fuel 2020, 259, 116262. [Google Scholar] [CrossRef]
- Jin, J.; Wang, M.; Cao, Y.; Wu, S.; Liang, P.; Li, Y.; Zhang, J.; Zhang, J.; Wong, M.H.; Shan, S.; et al. Cumulative Effects of Bamboo Sawdust Addition on Pyrolysis of Sewage Sludge: Biochar Properties and Environmental Risk from Metals. Bioresour. Technol. 2017, 228, 218–226. [Google Scholar] [CrossRef]
- Hwang, I.H.; Ouchi, Y.; Matsuto, T. Characteristics of Leachate from Pyrolysis Residue of Sewage Sludge. Chemosphere 2007, 68, 1913–1919. [Google Scholar] [CrossRef]
- Dhote, L.; Kumar, S.; Singh, L.; Kumar, R. A Systematic Review on Options for Sustainable Treatment and Resource Recovery of Distillery Sludge. Chemosphere 2021, 263, 128225. [Google Scholar] [CrossRef] [PubMed]
- Fytili, D.; Zabaniotou, A. Utilization of Sewage Sludge in EU Application of Old and New Methods-A Review. Renew. Sustain. Energy Rev. 2008, 12, 116–140. [Google Scholar] [CrossRef]
- Singh, R.P.; Agrawal, M. Effect of Different Sewage Sludge Applications on Growth and Yield of Vigna radiata L. Field Crop: Metal Uptake by Plant. Ecol. Eng. 2010, 36, 969–972. [Google Scholar] [CrossRef]
- Mohamed, B.A.; Li, L.Y. Biofuel Production by Co-Pyrolysis of Sewage Sludge and Other Materials: A Review. Environ. Chem. Lett. 2023, 21, 153–182. [Google Scholar] [CrossRef]
- Hu, M.; Hu, H.; Ye, Z.; Tan, S.; Yin, K.; Chen, Z.; Guo, D.; Rong, H.; Wang, J.; Pan, Z.; et al. A Review on Turning Sewage Sludge to Value-Added Energy and Materials via Thermochemical Conversion towards Carbon Neutrality. J. Clean. Prod. 2022, 379, 134657. [Google Scholar] [CrossRef]
- Zhang, B.; Xiong, S.; Xiao, B.; Yu, D.; Jia, X. Mechanism of Wet Sewage Sludge Pyrolysis in a Tubular Furnace. Int. J. Hydrogen Energy 2011, 36, 355–363. [Google Scholar] [CrossRef]
- Tomasi Morgano, M.; Leibold, H.; Richter, F.; Stapf, D.; Seifert, H. Screw Pyrolysis Technology for Sewage Sludge Treatment. Waste Manag. 2018, 73, 487–495. [Google Scholar] [CrossRef]
- Mketo, N.; Nomngongo, P.N.; Ngila, J.C. Rapid Total Sulphur Reduction in Coal Samples Using Various Dilute Alkaline Leaching Reagents under Microwave Heating: Preventing Sulphur Emissions during Coal Processing. Environ. Sci. Pollut. Res. 2017, 24, 19852–19858. [Google Scholar] [CrossRef]
- Salomatov, V.; Karelin, V.; Salomatov, V. Mathematical Models of Microwave Heating of a Coal Mass with Release of Absorbed Energy by the Heat Radiation Law. J. Eng. Thermophys. 2016, 25, 485–494. [Google Scholar] [CrossRef]
- Meda, V.; Orsat, V.; Raghavan, V. Microwave Heating and the Dielectric Properties of Foods. In The Microwave Processing of Foods, 2nd ed.; Woodhead Publishing: Sawston, UK, 2017. [Google Scholar]
- Mushtaq, F.; Mat, R.; Ani, F.N. A Review on Microwave Assisted Pyrolysis of Coal and Biomass for Fuel Production. Renew. Sustain. Energy Rev. 2014, 39, 555–574. [Google Scholar] [CrossRef]
- Motasemi, F.; Afzal, M.T. A Review on the Microwave-Assisted Pyrolysis Technique. Renew. Sustain. Energy Rev. 2013, 28, 317–330. [Google Scholar] [CrossRef]
- Kostas, E.T.; Beneroso, D.; Robinson, J.P. The Application of Microwave Heating in Bioenergy: A Review on the Microwave Pre-Treatment and Upgrading Technologies for Biomass. Renew. Sustain. Energy Rev. 2017, 77, 12–27. [Google Scholar] [CrossRef]
- Ren, X.; Shanb Ghazani, M.; Zhu, H.; Ao, W.; Zhang, H.; Moreside, E.; Zhu, J.; Yang, P.; Zhong, N.; Bi, X. Challenges and Opportunities in Microwave-Assisted Catalytic Pyrolysis of Biomass: A Review. Appl. Energy 2022, 315, 118970. [Google Scholar] [CrossRef]
- Siddiqui, M.I.; Rameez, H.; Farooqi, I.H.; Basheer, F. Recent Advancement in Commercial and Other Sustainable Techniques for Energy and Material Recovery from Sewage Sludge. Water 2023, 15, 948. [Google Scholar] [CrossRef]
- Huang, H.J.; Yang, T.; Lai, F.Y.; Wu, G.Q. Co-Pyrolysis of Sewage Sludge and Sawdust/Rice Straw for the Production of Biochar. J. Anal. Appl. Pyrolysis 2017, 125, 61–68. [Google Scholar] [CrossRef]
- Khan, S.; Chao, C.; Waqas, M.; Arp, H.P.H.; Zhu, Y.G. Sewage Sludge Biochar Influence upon Rice (Oryza sativa L) Yield, Metal Bioaccumulation and Greenhouse Gas Emissions from Acidic Paddy Soil. Environ. Sci. Technol. 2013, 47, 8624–8632. [Google Scholar] [CrossRef] [PubMed]
- Park, J.H.; Choppala, G.K.; Bolan, N.S.; Chung, J.W.; Chuasavathi, T. Biochar Reduces the Bioavailability and Phytotoxicity of Heavy Metals. Plant Soil 2011, 348, 439–451. [Google Scholar] [CrossRef]
- Rehman, R.A.; Rizwan, M.; Qayyum, M.F.; Ali, S.; Zia-ur-Rehman, M.; Zafar-ul-Hye, M.; Hafeez, F.; Iqbal, M.F. Efficiency of Various Sewage Sludges and Their Biochars in Improving Selected Soil Properties and Growth of Wheat (Triticum aestivum). J. Environ. Manag. 2018, 223, 607–613. [Google Scholar] [CrossRef] [PubMed]
- Hossain, M.K.; Strezov, V.; Yin Chan, K.; Nelson, P.F. Agronomic Properties of Wastewater Sludge Biochar and Bioavailability of Metals in Production of Cherry Tomato (Lycopersicon esculentum). Chemosphere 2010, 78, 1167–1171. [Google Scholar] [CrossRef] [PubMed]
- Hoang, S.A.; Bolan, N.; Madhubashini, A.M.P.; Vithanage, M.; Perera, V.; Wijesekara, H.; Wang, H.; Srivastava, P.; Kirkham, M.B.; Mickan, B.S.; et al. Treatment Processes to Eliminate Potential Environmental Hazards and Restore Agronomic Value of Sewage Sludge: A Review. Environ. Pollut. 2022, 293, 118564. [Google Scholar] [CrossRef]
- Jien, S.H.; Wang, C.S. Effects of Biochar on Soil Properties and Erosion Potential in a Highly Weathered Soil. Catena 2013, 110, 225–233. [Google Scholar] [CrossRef]
- Ibrahim, A.; Usman, A.R.A.; Al-Wabel, M.I.; Nadeem, M.; Ok, Y.S.; Al-Omran, A. Effects of Conocarpus Biochar on Hydraulic Properties of Calcareous Sandy Soil: Influence of Particle Size and Application Depth. Arch. Agron. Soil Sci. 2017, 63, 185–197. [Google Scholar] [CrossRef]
- Ibrahim, M.; Li, G.; Khan, S.; Chi, Q.; Xu, Y. Biochars Mitigate Greenhouse Gas Emissions and Bioaccumulation of Potentially Toxic Elements and Arsenic Speciation in Phaseolus vulgaris L. Environ. Sci. Pollut. Res. 2017, 24, 19524–19534. [Google Scholar] [CrossRef]
- Wang, X.; Deng, S.; Tan, H.; Adeosun, A.; Vujanović, M.; Yang, F.; Duić, N. Synergetic Effect of Sewage Sludge and Biomass Co-Pyrolysis: A Combined Study in Thermogravimetric Analyzer and a Fixed Bed Reactor. Energy Convers. Manag. 2016, 118, 399–405. [Google Scholar] [CrossRef]
- Yang, Y.; Zhu, J.; Zhu, G.; Yang, L.; Zhu, Y. The Effect of High Temperature on Syngas Production by Immediate Pyrolysis of Wet Sewage Sludge with Sawdust. J. Therm. Anal. Calorim. 2018, 132, 1783–1794. [Google Scholar] [CrossRef]
- Mohamed, B.A.; Ruan, R.; Bilal, M.; Khan, N.A.; Awasthi, M.K.; Amer, M.A.; Leng, L.; Hamouda, M.A.; Li, J. Co-Pyrolysis of Sewage Sludge and Biomass for Stabilizing Heavy Metals and Reducing Biochar Toxicity: A Review. Environ. Chem. Lett. 2022, 21, 1231–1250. [Google Scholar] [CrossRef]
- Gonzaga, M.I.S.; Mackowiak, C.L.; Comerford, N.B.; Moline, E.F.d.V.; Shirley, J.P.; Guimaraes, D.V. Pyrolysis Methods Impact Biosolids-Derived Biochar Composition, Maize Growth and Nutrition. Soil Tillage Res. 2017, 165, 59–65. [Google Scholar] [CrossRef]
- GB/T 28731-2012; Proximate Analysis of Solid Biofuels. General Administration of Quality Supervision, Inspection and Quarantine of the People's Republic of China. Standardization Administration of China: Beijing, China, 2012.
- Wang, L.S.; Wang, R.J.; Lu, C.P.; Wang, J.; Huang, W. Rapid determination of moisture content in compound fertilizer usingvisible and near infrared spectroscopy combined with chemometrics. Infrared Phys. Technol. 2019, 102, 103045. [Google Scholar] [CrossRef]
- de la Rosa, J.M.; Rosado, M.; Paneque, M.; Miller, A.Z.; Knicker, H. Effects of Aging under Field Conditions on Biochar Structure and Composition: Implications for Biochar Stability in Soils. Sci. Total Environ. 2018, 613–614, 969–976. [Google Scholar] [CrossRef]
- Georgakopoulos, A.; Iordanidis, A.; Kapina, V. Study of Low Rank Greek Coals Using FTIR Spectroscopy. Energy Sources 2003, 25, 995–1005. [Google Scholar] [CrossRef]
- Liu, Y.; Ran, C.; Siddiqui, A.R.; Mao, X.; Kang, Q.; Fu, J.; Deng, Z.; Song, Y.; Jiang, Z.; Zhang, T.; et al. Pyrolysis of Textile Dyeing Sludge in Fluidized Bed and Microwave-Assisted Auger Reactor: Comparison and Characterization of Pyrolysis Products. J. Hazard. Mater. 2018, 359, 454–464. [Google Scholar] [CrossRef]
- Fonts, I.; Azuara, M.; Gea, G.; Murillo, M.B. Study of the Pyrolysis Liquids Obtained from Different Sewage Sludge. J. Anal. Appl. Pyrolysis 2009, 85, 184–191. [Google Scholar] [CrossRef]
- Kim, Y.; Parker, W. A Technical and Economic Evaluation of the Pyrolysis of Sewage Sludge for the Production of Bio-Oil. Bioresour. Technol. 2008, 99, 1409–1416. [Google Scholar] [CrossRef]
- Yao, J.; Dong, Z.; Li, H.; Wang, X.; Ji, M.; Zhang, S. Influence of Sewage Sludge Addition on Huainan Coal Ash Fusion Characteristics. Appl. Mech. Mater. 2013, 295–298, 1720–1724. [Google Scholar]
- Brassard, P.; Godbout, S.; Raghavan, V. Soil Biochar Amendment as a Climate Change Mitigation Tool: Key Parameters and Mechanisms Involved. J. Environ. Manag. 2016, 181, 484–497. [Google Scholar] [CrossRef] [PubMed]
- Zhang, A.; Liu, Y.; Pan, G.; Hussain, Q.; Li, L.; Zheng, J.; Zhang, X. Effect of Biochar Amendment on Maize Yield and Greenhouse Gas Emissions from a Soil Organic Carbon Poor Calcareous Loamy Soil from Central China Plain. Plant Soil 2012, 351, 263–275. [Google Scholar] [CrossRef]
- Zhang, A.; Cui, L.; Pan, G.; Li, L.; Hussain, Q.; Zhang, X.; Zheng, J.; Crowley, D. Effect of Biochar Amendment on Yield and Methane and Nitrous Oxide Emissions from a Rice Paddy from Tai Lake Plain, China. Agric. Ecosyst. Environ. 2010, 139, 469–475. [Google Scholar] [CrossRef]
- Liu, X.; Zhang, A.; Ji, C.; Joseph, S.; Bian, R.; Li, L.; Pan, G.; Paz-Ferreiro, J. Biochar’s Effect on Crop Productivity and the Dependence on Experimental Conditions—A Meta-Analysis of Literature Data. Plant Soil 2013, 373, 583–594. [Google Scholar] [CrossRef]
- Lin, Z.; Liu, Q.; Liu, G.; Cowie, A.L.; Bei, Q.; Liu, B.; Wang, X.; Ma, J.; Zhu, J.; Xie, Z. Effects of Different Biochars on Pinus Elliottii Growth, N Use Efficiency, Soil N2O and CH4 Emissions and C Storage in a Subtropical Area of China. Pedosphere 2017, 27, 248–261. [Google Scholar] [CrossRef]
- Yue, Y.; Cui, L.; Lin, Q.; Li, G.; Zhao, X. Efficiency of Sewage Sludge Biochar in Improving Urban Soil Properties and Promoting Grass Growth. Chemosphere 2017, 173, 551–556. [Google Scholar] [CrossRef]
- Zhang, R.; Zhang, Y.; Song, L.; Song, X.; Hänninen, H.; Wu, J. Biochar Enhances Nut Quality of Torreya Grandis and Soil Fertility under Simulated Nitrogen Deposition. For. Ecol. Manag. 2017, 391, 321–329. [Google Scholar] [CrossRef]











| Proximate analysis results a | ||||
| Sample | Ash wt% | Volatile wt% | FC b wt% | Water wt% |
| SS | 35.60 | 58.63 | 3.07 | 2.70 |
| 85SS | 31.70 | 60.13 | 5.41 | 2.76 |
| 70SS | 26.28 | 61.74 | 8.56 | 3.42 |
| Cotton Stalk | 8.28 | 76.30 | 10.36 | 5.06 |
| Ultimate analysis results | ||||
| Sample | C% | H% | N% | S% |
| Soil | 1.27 | 0.37 | 0.11 | 0.14 |
| Cotton Stalk | 41.91 | 5.55 | 1.55 | 0.00 |
| SS | 27.47 | 4.10 | 5.20 | 5.76 |
| SC450 | 32.16 | 2.27 | 5.44 | 5.18 |
| SC550 | 31.77 | 1.31 | 4.79 | 6.43 |
| SC650 | 31.84 | 1.04 | 3.69 | 7.02 |
| SC750 | 31.22 | 0.59 | 2.31 | 7.67 |
| 85SC450 | 39.54 | 1.76 | 5.27 | 5.36 |
| 85SC550 | 36.76 | 1.20 | 4.26 | 6.45 |
| 85SC650 | 36.95 | 0.81 | 3.13 | 6.96 |
| 85SC750 | 36.75 | 0.78 | 2.99 | 6.89 |
| 70SC450 | 38.92 | 1.45 | 4.63 | 5.42 |
| 70SC550 | 39.09 | 1.12 | 3.98 | 6.02 |
| 70SC650 | 39.63 | 0.79 | 3.13 | 6.36 |
| 70SC750 | 39.16 | 0.55 | 2.11 | 6.69 |
| Substance a | SS | SC450 | SC550% | SC650 | SC750 | 85SC450 | 85SC550 | 85SC650 | 85SC750 | 70SC450 | 70SC550 | 70SC650 | 70SC750 |
|---|---|---|---|---|---|---|---|---|---|---|---|---|---|
| Fe2O3% b | 65.58 | 63.02 | 58.65 | 55.43 | 54.50 | 54.13 | 56.69 | 45.73 | 52.60 | 52.37 | 51.12 | 49.94 | 44.49 |
| SO3% | 20.11 | 15.08 | 15.90 | 18.57 | 17.68 | 16.44 | 15.71 | 21.51 | 18.14 | 17.11 | 18.20 | 18.66 | 20.12 |
| P2O5% | 5.18 | 7.93 | 8.59 | 9.31 | 9.47 | 7.59 | 7.38 | 10.96 | 7.93 | 8.54 | 8.64 | 9.29 | 11.02 |
| SiO2% | 2.99 | 7.37 | 8.65 | 8.53 | 9.28 | 9.49 | 9.81 | 11.62 | 10.45 | 10.35 | 11.22 | 11.26 | 12.89 |
| Al2O3% | 0.71 | 2.19 | 2.55 | 2.23 | 2.99 | 1.85 | 2.26 | 2.62 | 2.44 | 1.91 | 2.01 | 2.38 | 2.44 |
| TiO2% | 2.11 | 2.02 | 1.92 | 2.08 | 1.57 | 1.98 | 2.23 | 1.95 | 1.95 | 1.98 | 2.02 | 1.66 | 1.97 |
| MgO% | 0.38 | 1.25 | 1.70 | 1.56 | 2.13 | 2.38 | 2.71 | 2.23 | 3.27 | 2.12 | 2.39 | 2.25 | 2.36 |
| CaO% | 1.52 | 1.14 | 1.15 | 1.21 | 1.29 | 2.08 | 1.60 | 1.71 | 1.86 | 2.12 | 2.03 | 2.08 | 2.04 |
| K2O% | 1.05 | - | 0.88 | 1.09 | 1.10 | 2.78 | 1.61 | 1.68 | 1.36 | 2.54 | 2.37 | 2.48 | 2.68 |
| Cl% | 0.12 | - | - | - | - | 1.28 | - | - | - | 0.98 | - | - | - |
| MnO% | 0.08 | - | - | - | - | - | - | - | - | - | - | - | - |
| SrO% | 0.08 | - | - | - | - | - | - | - | - | - | - | - | - |
| ZnO% | 0.07 | - | - | - | - | - | - | - | - | - | - | - | - |
| Cr2O3% | 0.02 | - | - | - | - | - | - | - | - | - | - | - | - |
Disclaimer/Publisher’s Note: The statements, opinions and data contained in all publications are solely those of the individual author(s) and contributor(s) and not of MDPI and/or the editor(s). MDPI and/or the editor(s) disclaim responsibility for any injury to people or property resulting from any ideas, methods, instructions or products referred to in the content. |
© 2023 by the authors. Licensee MDPI, Basel, Switzerland. This article is an open access article distributed under the terms and conditions of the Creative Commons Attribution (CC BY) license (https://creativecommons.org/licenses/by/4.0/).
Share and Cite
Qu, J.; Wang, D.; Deng, Z.; Yu, H.; Dai, J.; Bi, X. Biochar Prepared by Microwave-Assisted Co-Pyrolysis of Sewage Sludge and Cotton Stalk: A Potential Soil Conditioner. Sustainability 2023, 15, 7265. https://doi.org/10.3390/su15097265
Qu J, Wang D, Deng Z, Yu H, Dai J, Bi X. Biochar Prepared by Microwave-Assisted Co-Pyrolysis of Sewage Sludge and Cotton Stalk: A Potential Soil Conditioner. Sustainability. 2023; 15(9):7265. https://doi.org/10.3390/su15097265
Chicago/Turabian StyleQu, Junshen, Daiying Wang, Zeyu Deng, Hejie Yu, Jianjun Dai, and Xiaotao Bi. 2023. "Biochar Prepared by Microwave-Assisted Co-Pyrolysis of Sewage Sludge and Cotton Stalk: A Potential Soil Conditioner" Sustainability 15, no. 9: 7265. https://doi.org/10.3390/su15097265
APA StyleQu, J., Wang, D., Deng, Z., Yu, H., Dai, J., & Bi, X. (2023). Biochar Prepared by Microwave-Assisted Co-Pyrolysis of Sewage Sludge and Cotton Stalk: A Potential Soil Conditioner. Sustainability, 15(9), 7265. https://doi.org/10.3390/su15097265
