A New Method of Regional Mining Subsidence Control for Sustainable Development in Coal Areas
Abstract
1. Introduction
2. Methods
2.1. Technical Principle
2.2. Feasibility Analysis of RSSC Method
2.2.1. Model Establishment
2.2.2. Simulation Scheme
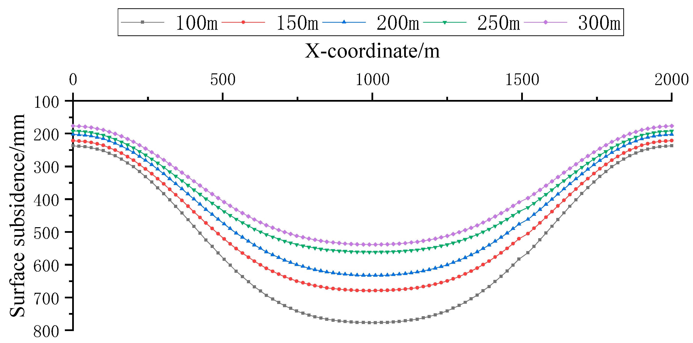
2.2.3. Simulation Results and Analysis
3. Results
3.1. Process Design
- Combined with the types of typical protection targets and ecological environment protection requirements in PLES of the mining area, the technology and costs of ground restoration and treatment were fully considered under different mining impacts. The requirements for the surface deformation control were clarified for the integrated development of PLES. The indexes of typical targets were determined in the PLES space, such as surface subsidence Wg, horizontal deformation Eg, horizontal movement Ug, inclined deformation Ig, and curvature deformation Kg.
- Regional surface deformation prediction was carried out, satisfying the coordination of source reduction and damage control and ground rehabilitation. The corresponding subsidence Wp, horizontal deformation Ep, horizontal movement Up, inclined deformation Ip, and curvature deformation Kp were calculated.
- Considering the indexes as the constraints and the economic benefit of coal mining as the optimization goal, the intelligent algorithm was used to search for the optimal design parameters of coal mining, in order that the coal mining benefits can be guaranteed to the greatest extent under the coordinated development of PLES, thereby realizing the coordinated development of the coal mining economic benefits and the environmental protection of the mining areas.
3.2. Regional Surface Deformation Prediction Method
- The value of surface subsidence at any point (x, y)
- 2.
- The value of surface inclination at any point (x, y)
- 3.
- The value of surface curvature at any point (x, y)
- 4.
- Horizontal deformation value of the surface at any point (x, y)
- 5.
- The value of surface horizontal movement at any point (x, y)
4. Discussion
4.1. Application Effects in Huayuan Coal Mine of China
4.2. Application Effects in Pingmei No.12 Coal Mine of China
4.3. Application Effects in Wugou Coal Mine of China
4.4. Application Prospects of RSSC Method
5. Conclusions
- (1)
- A new method of regional surface subsidence control was proposed with the combination of source control and ground rehabilitation, considering the large-area PLES protection and large difference of deformation tolerance in the mining area, and the law of surface movement and deformation under insufficient mining. Through the numerical simulation method, the maximum surface subsidence values were 4883 mm, 587 mm, 642 mm, and 632 mm, respectively, under fully caving mining, strip mining, backfilling mining, and RSSC method. When the backfilling face size of the new method is from 100 m to 150 m and 200 m to 250 m, the control effect is significantly improved. Moreover, the larger the backfilling size, the smaller the surface subsidence and the better the control effect. The RSSC method can effectively control surface subsidence and increase the resource recovery rate to 100%.
- (2)
- The design and application process of the RSSC method through the combination of source control and ground rehabilitation was proposed. The prediction model of regional surface movement and deformation was constructed by using the variable step-size composite Simpson formula, which solves the problem of regional surface deformation control design and provides technical support for the coordinated development of coal mining and production-living-ecological space in the mining area.
- (3)
- The effectiveness of RSSC method was demonstrated through the applications in the Huayuan Mine, Pingmei No.12 Coal Mine, and the Wugou Coal Mine. It has been proven that the RSSC method can realize high-quality development of underground coal mining and the integration of PLES in the mining areas. The global coal production is maintained above 7400 million tons in order to meet the global coal consumption demand. However, conventional coal mining will inevitably cause surface subsidence and ecological degradation, resulting in the contradiction between coal mining and the sustainable development of the “production-living-ecological” space, which is very prominent in the world’s major mines. With the increase in coal production, the new method proposed will have a wider application prospect.
Author Contributions
Funding
Institutional Review Board Statement
Informed Consent Statement
Data Availability Statement
Conflicts of Interest
References
- BP. BP Statistical Review of World Energy 2022; BP Amoco: London, UK, 2022. [Google Scholar]
- Balovtsev, S.V.; Skopintseva, O.V.; Kolikov, K.S. Aerological risk management in preparation for mining of coal mines. Sustain. Dev. Mt. Territ. 2022, 14, 107–116. [Google Scholar] [CrossRef]
- Bosikov, I.I.; Martyushev, N.V.; Klyuev, R.V.; Savchenko, I.A.; Kukartsev, V.V.; Kukartsev, V.A.; Tynchenko, Y.A. Modeling and Complex Analysis of the Topology Parameters of Ventilation Networks When Ensuring Fire Safety While Developing Coal and Gas Deposits. Fire 2023, 6, 95. [Google Scholar] [CrossRef]
- Yang, Z.; Li, W.; Pei, Y.; Qiao, W.; Wu, Y. Classification of the type of eco-geological environment of a coal mine district: A case study of an ecologically fragile region in Western China. J. Clean. Prod. 2018, 174, 1513–1526. [Google Scholar] [CrossRef]
- Liao, X.; Li, W.; Hou, J. Application of GIS based ecological vulnerability evaluation in environmental impact assessment of master plan of coal mining area. Procedia Environ. Sci. 2013, 18, 271–276. [Google Scholar] [CrossRef]
- Zhu, X.J.; Ning, Z.; Cheng, H.; Zhang, P.; Sun, R.; Yang, X.; Liu, H. A novel calculation method of subsidence waterlogging spatial information based on remote sensing techniques and surface subsidence prediction. J. Clean. Prod. 2022, 335, 130366. [Google Scholar] [CrossRef]
- Hou, H.; Ding, Z.; Zhang, S.; Guo, S.; Yang, Y.; Chen, Z.; Mi, J.; Wang, X. Spatial estimate of ecological and environmental damage in an underground coal mining area on the Loess Plateau: Implications for planning restoration interventions. J. Clean. Prod. 2021, 287, 125061. [Google Scholar] [CrossRef]
- Jabbar Khan, A.; Akhter, G.; Gabriel, H.F.; Shahid, M. Anthropogenic effects of coal mining on ecological resources of the Central Indus Basin, Pakistan. Int. J. Environ. Res. Public Health 2020, 17, 1255. [Google Scholar] [CrossRef]
- Maiti, S.K.; Ahirwal, J. Ecological restoration of coal mine degraded lands: Topsoil management, pedogenesis, carbon sequestration, and mine pit limnology. In Phytomanagement of Polluted Sites; Elsevier: Amsterdam, The Netherlands, 2019; pp. 83–111. [Google Scholar]
- Can, E.; Kuşcu, Ş.; Mekik, C. Determination of underground mining induced displacements using GPS observations in Zonguldak-Kozlu Hard Coal Basin. Int. J. Coal Geol. 2012, 89, 62–69. [Google Scholar] [CrossRef]
- Can, E.; Mekik, C.; Kuşcu, S.; Akçın, H. Subsidence occurring in mining regions and a case study of Zonguldak-Kozlu Basin. Sci. Res. Essays 2011, 6, 1317–1327. [Google Scholar]
- Turer, D.; Nefeslioglu, H.A.; Zorlu, K.; Gokceoglu, C. Assessment of geo-environmental problems of the Zonguldak Province (NW Turkey). Environ. Geol. 2008, 55, 1001–1014. [Google Scholar] [CrossRef]
- Adelsohn, E.; Iannacchione, A.; Winn, R. Investigations on longwall mining subsidence impacts on Pennsylvania highway alignments. Int. J. Min. Sci. Technol. 2020, 30, 85–92. [Google Scholar] [CrossRef]
- Peng, S.P.; Bi, Y.L. Strategic consideration and core technology about environmental ecological restoration in coal mine areas in the Yellow River basin of China. J. China Coal Soc. 2020, 45, 1211–1221. [Google Scholar]
- Arefieva, O.; Nazarkina, A.V.; Gruschakova, N.V.; Skurikhina, J.E.; Kolycheva, V.B. Impact of mine waters on chemical composition of soil in the Partizansk Coal Basin. Russia. Int. Soil Water Conserv. Res. 2019, 7, 57–63. [Google Scholar] [CrossRef]
- Kumar, S.; Kumar, D.; Chaudhary, S.K.; Singh, N.; Malik, K.K. Land subsidence mapping and monitoring using modified persistent scatterer interferometric synthetic aperture radar in Jharia Coalfield, India. J. Earth Syst. Sci. 2020, 129, 146. [Google Scholar] [CrossRef]
- Yan, Y.G.; Zhu, Y.H.; Dai, H.Y.; Zhang, Y.J.; Dai, A.J.; Li, M. Spatiotemporal coordinated mining pattern and strata control mechanism of multiple coal seams. J. Min. Saf. Eng. 2022, 1–12. Available online: https://kns.cnki.net/kcms/detail/32.1760.TD.20220531.1050.003.html (accessed on 1 June 2022).
- Yu, Y.; Deng, K.Z.; Luo, Y.; Chen, S.E.; Zhuang, H.F. An improved method for long-term stability evaluation of strip mining and pillar design. Int. J. Rock Mech. Min. Sci. 2018, 107, 25–30. [Google Scholar] [CrossRef]
- Zhang, J.; Zhang, Q.; Sun, Q.; Gao, R.; Germain, D.; Abro, S. Surface subsidence control theory and application to backfill coal mining technology. Environ. Earth Sci. 2015, 74, 1439–1448. [Google Scholar] [CrossRef]
- Xuan, D.; Xu, J.; Wang, B.; Teng, H. Borehole investigation of the effectiveness of grout injection technology on coal mine subsidence control. Rock Mech. Rock Eng. 2015, 48, 2435–2445. [Google Scholar] [CrossRef]
- Xuan, D.; Xu, J. Longwall surface subsidence control by technology of isolated overburden grout injection. Int. J. Min. Sci. Technol. 2017, 27, 813–818. [Google Scholar] [CrossRef]
- Hu, Q.; Deng, X.; Feng, R.; Li, C.; Wang, X.; Jiang, T. Model for calculating the parameter of the Knothe time function based on angle of full subsidence. Int. J. Rock Mech. Min. Sci. 2015, 78, 19–26. [Google Scholar] [CrossRef]
- Xu, N.; Zhang, J.; Tian, H.; Mei, G.; Ge, Q. Discrete element modeling of strata and surface movement induced by mining under open-pit final slope. Int. J. Rock Mech. Min. Sci. 2016, 88, 61–76. [Google Scholar] [CrossRef]
- Gong, Y.; Guo, G.; Wang, L.; Zhang, G.; Zhang, G.; Fang, Z. Numerical Study on the Surface Movement Regularity of Deep Mining Underlying the Super-Thick and Weak Cementation Overburden: A Case Study in Western China. Sustainability 2022, 14, 1855. [Google Scholar] [CrossRef]
- Sazid, M.; Ahmed, H.A. Stability analysis of shallow depth tunnel in weak rock mass: 3d numerical modeling approach. J. City Dev. 2019, 1, 18–22. [Google Scholar]
- Sazid, M. Effect of underground blasting on surface slope stability: A numerical approach. Am. J. Min. Metall. 2017, 4, 32–36. [Google Scholar]
- Hu, Z.Q.; Long, J.H.; Wang, X.J. Self-healing, natural restoration and artificial restoration of ecological environment for coal mining. J. China Coal Soc. 2014, 39, 1751–1757. [Google Scholar]
- Ghosh, D.; Maiti, S.K. Biochar-assisted eco-restoration of coal mine degraded land to meet United Nation Sustainable Development Goals. Land Degrad. Dev. 2021, 32, 4494–4508. [Google Scholar] [CrossRef]
- Ahirwal, J.; Maiti, S.K. Restoring coal mine degraded lands in India for achieving the United Nations-Sustainable Development Goals. Restor. Ecol. 2022, 30, e13606. [Google Scholar] [CrossRef]
- Li, H.; Guo, G.; Zheng, N. Influence of coal types on overlying strata movement and deformation in underground coal gasification without shaft and prediction method of surface subsidence. Process Saf. Environ. Protect. 2018, 120, 302–312. [Google Scholar] [CrossRef]
- Wang, B.; Xu, J.; Xuan, D. Time function model of dynamic surface subsidence assessment of grout-injected overburden of a coal mine. Int. J. Rock Mech. Min. Sci. 2018, 104, 1–8. [Google Scholar] [CrossRef]
- Li, H.; Zha, J.; Guo, G.; Zhang, H.; Xu, Y.; Niu, Y. Evaluation method of surface subsidence degree for underground coal gasification without shaft. Combust. Sci. Technol. 2022, 194, 608–621. [Google Scholar] [CrossRef]
- Zhang, Z.; Mei, G.; Xu, N. A geometrically and locally adaptive remeshing method for finite difference modeling of mining-induced surface subsidence. J. Rock Mech. Geotech. Eng. 2022, 14, 219–231. [Google Scholar] [CrossRef]
- Hamdi, P.; Stead, D.; Elmo, D.; Töyrä, J. Use of an integrated finite/discrete element method-discrete fracture network approach to characterize surface subsidence associated with sub-level caving. Int. J. Rock Mech. Min. Sci. 2018, 103, 55–67. [Google Scholar] [CrossRef]
- Hescock, J.; Newman, C.; Agioutantis, Z. Development of a new algorithm for implementing the edge effect offset for subsidence calculations. Int. J. Min. Sci. Technol. 2018, 28, 61–66. [Google Scholar] [CrossRef]
- Teng, Y.J.; Yan, Y.G.; Guo, W.; Jiang, Y.; Hu, Y.D. Line integral method for predicting surface subsidence in irregular working face mining. J. Min. Sci. Technol. 2022, 10, 6623. [Google Scholar]
- Tan, X.F.; Song, B.Z.; Bo, H.Z. Extraction of Irregularly Shaped Coal Mining Area Induced Ground Subsidence Prediction Based on Probability Integral Method. Appl. Sci. 2020, 10, 6623. [Google Scholar] [CrossRef]










| Rock Name | Thickness | Density | Compressive Strength | Tensile Strength | Internal Friction Angle | Cohesive Force | Elastic Modulus |
|---|---|---|---|---|---|---|---|
| /m | /kg/m3 | /MPa | /MPa | /° | /MPa | /GPa | |
| Topsoil | 86 | 1984 | 15.7 | 5.55 | 20 | 7.95 | 3.12 |
| Sandy mudstone 5 | 27 | 2118 | 27.8 | 8.23 | 23 | 8.89 | 8.19 |
| Weak cementation sandstone 4 | 200 | 2118 | 27.2 | 2.1 | 27 | 5.58 | 10.80 |
| Medium-grained sandstone 2 | 14 | 2350 | 24.8 | 3.39 | 28 | 1.58 | 10.69 |
| Sandy mudstone 4 | 22 | 2467 | 29.4 | 3.35 | 27 | 4.35 | 9.22 |
| Weak cementation sandstone 3 | 40 | 2274 | 32.3 | 3.03 | 26 | 6.99 | 10.59 |
| Weak cementation sandstone 2 | 50 | 2376 | 26.1 | 3.39 | 28 | 7.39 | 7.94 |
| Weak cementation sandstone 1 | 120 | 2418 | 30.8 | 3.26 | 27 | 5.23 | 9.37 |
| Sandy mudstone 3 | 23 | 2405 | 33.3 | 3.44 | 31 | 5.78 | 10.85 |
| Medium-grained sandstone 1 | 10 | 2490 | 49.6 | 3.92 | 23 | 5.68 | 24.01 |
| Sandy mudstone 2 | 33 | 2453 | 22.4 | 3.76 | 26 | 2.28 | 7.005 |
| Coal seam | 6 | 1210 | 13.45 | 1.35 | 6 | 3.00 | 1.57 |
| Sandy mudstone 1 | 32 | 2409 | 29.6 | 4.15 | 27 | 6.50 | 9.51 |
| Schemes | Mining Methods | Extraction Length | Work Face Length | Work Face Number | Mining Thickness |
|---|---|---|---|---|---|
| /m | /m | /each | /m | ||
| 1 | Roof-caved mining | 1000 | 200 | 6 | 6 |
| 2 | Strip mining | 1000 | 100 | 6 | 6 |
| 3 | Backfill mining | 1000 | 200 | 6 | 6 |
| Mechanical Parameters | Bulk Modulus | Shear Modulus | Internal Friction Angle | Cohesive Force | Density | Poisson Ratio |
|---|---|---|---|---|---|---|
| /GPa | /GPa | /(°) | /MPa | /(kg/m3) | ||
| Coal seam | 1.35 | 0.587 | 6 | 8.89 | 1210 | 0.31 |
| backfill body | 0.21 | 0.095 | 28 | 2 | 1500 | 0.3 |
| Schemes | Mining Methods | Extraction Length | Backfill Face Length | Work Face Number | Mining Thickness |
|---|---|---|---|---|---|
| /m | /m | /each | /m | ||
| 4 | Regional control method | 1000 | 100 | 6 | 6 |
| 5 | Regional control method | 1000 | 150 | 6 | 6 |
| 6 | Regional control method | 1000 | 200 | 6 | 6 |
| 7 | Regional control method | 1000 | 250 | 6 | 6 |
| 8 | Regional control method | 1000 | 300 | 6 | 6 |
| Scheme | Mining Methods | Maximum Surface Subsidence Value/mm |
|---|---|---|
| 1 | Roof-caved mining | 4883 |
| 2 | Strip mining | 587 |
| 3 | Backfill mining | 642 |
| 5 | Regional control Method (backfill working surface: 100 m) | 776 |
| 6 | Regional control Method (backfill working surface: 150 m) | 679 |
| 7 | Regional control Method (backfill working surface: 200 m) | 632 |
| 8 | Regional control Method (backfill working surface: 250 m) | 561 |
| 9 | Regional control method (backfill working surface: 300 m) | 538 |
Disclaimer/Publisher’s Note: The statements, opinions and data contained in all publications are solely those of the individual author(s) and contributor(s) and not of MDPI and/or the editor(s). MDPI and/or the editor(s) disclaim responsibility for any injury to people or property resulting from any ideas, methods, instructions or products referred to in the content. |
© 2023 by the authors. Licensee MDPI, Basel, Switzerland. This article is an open access article distributed under the terms and conditions of the Creative Commons Attribution (CC BY) license (https://creativecommons.org/licenses/by/4.0/).
Share and Cite
Li, H.; Guo, G.; Zha, J.; Wang, T.; Chen, Y.; Yuan, Y.; Huo, W. A New Method of Regional Mining Subsidence Control for Sustainable Development in Coal Areas. Sustainability 2023, 15, 7100. https://doi.org/10.3390/su15097100
Li H, Guo G, Zha J, Wang T, Chen Y, Yuan Y, Huo W. A New Method of Regional Mining Subsidence Control for Sustainable Development in Coal Areas. Sustainability. 2023; 15(9):7100. https://doi.org/10.3390/su15097100
Chicago/Turabian StyleLi, Huaizhan, Guangli Guo, Jianfeng Zha, Tiening Wang, Yu Chen, Yafei Yuan, and Wenqi Huo. 2023. "A New Method of Regional Mining Subsidence Control for Sustainable Development in Coal Areas" Sustainability 15, no. 9: 7100. https://doi.org/10.3390/su15097100
APA StyleLi, H., Guo, G., Zha, J., Wang, T., Chen, Y., Yuan, Y., & Huo, W. (2023). A New Method of Regional Mining Subsidence Control for Sustainable Development in Coal Areas. Sustainability, 15(9), 7100. https://doi.org/10.3390/su15097100

