Next Article in Journal
Spatial–Temporal Variation and Influencing Factors on Housing Prices of Resource-Based City: A Case Study of Xuzhou, China
Next Article in Special Issue
A Blockchain Prototype for Improving Electronic Seals on Container Shipping Operations
Previous Article in Journal
Why Gender Matters in Breeding: Lessons from Cooking Bananas in Uganda
Previous Article in Special Issue
Blockchain-Based Long-Term Capacity Planning for Semiconductor Supply Chain Manufacturers
 
 
Font Type:
Arial Georgia Verdana
Font Size:
Aa Aa Aa
Line Spacing:
Column Width:
Background:
Article

Game Theory Analysis of Chinese DC/EP Loan and Internet Loan Models in the Context of Regulatory Goals

1
School of Economics and Management, University of Chinese Academy of Sciences, Beijing 100049, China
2
College of Economics and Management, Beijing University of Technology, Beijing 100124, China
*
Author to whom correspondence should be addressed.
Sustainability 2023, 15(9), 7025; https://doi.org/10.3390/su15097025
Submission received: 24 February 2023 / Revised: 27 March 2023 / Accepted: 18 April 2023 / Published: 22 April 2023
(This article belongs to the Special Issue Blockchain for Sustainable Supply Chains)

Abstract

The issuance of digital currency electronic payments (DC/EP), under the supervision of the People’s Bank of China, will have a certain impact on commercial banks, and will further affect the areas of internet finance and traditional financing. This paper studies the regulatory performance of DC/EP in the post-lending market under the models of internet finance and bank financing, exploring their theoretical and practical significance. Through the construction of an enterprise profit function and the regulatory utility function under the models of internet finance and bank financing, this study explores the impact of using DC/EP on the post-lending market. The study proves the following:In the absence of government regulation, internet finance platforms will increase the leverage ratio of loans, in order to obtain excess profits. The emergence of regulatory authorities and the use of DC/EP will control the leverage ratio of internet finance platforms, purify market performance, and stabilize the market order. The application of DC/EP provides a risk control method for the financial market, and coupled with government regulatory measures, it will effectively regulate the existing market order of internet finance platforms and increase the credibility of DC/EP. Therefore, the management insights obtained from this study of the application of DC/EP and the government regulation of existing financing and lending methods in the financial sector have practical significance for the current market.

1. Introduction

Small and medium-sized enterprises (SME) play a critical role in the development of China’s real economy, contributing significantly to high-quality economic growth, expansion of employment, improvements in people’s livelihoods, and the promotion of entrepreneurship and innovation. However, despite their importance, the development of SMEs is hindered by the persistent issue of difficult and costly financing. The two primary channels for SME financing are traditional methods, whereby loans are obtained from commercial banks and internet financial platforms. SMEs frequently face obstacles in securing loans from traditional commercial banks, due to their inherent limitations, and are thereby unable to obtain the necessary funding for growth and expansion. Internet finance platforms act as intermediaries and have sought to fill this gap in the market by providing financing services to SMEs that are unable to meet the requirements of traditional commercial banks. Nevertheless, the high leverage utilized by internet finance platforms to increase the scale of loans and generate excessive profits may inadvertently result in a increase in financing costs and borrowing risks for SMEs. The objective reality is that financing for SMEs remains difficult and expensive, despite the emergence of alternative channels, such as internet finance platforms. The increasing costs and risks associated with borrowing from such platforms pose challenges for SMEs, perpetuating the challenge of obtaining access to the funds necessary for their growth and development.
Ant Group, the largest and most comprehensive internet finance company in the world, once used strong leverage (in the form of loan portfolio securitization) to obtain enormous funds. Specifically, Ant Group pledged RMB 3 billion to a bank, which lent RMB 6 billion at a 2:1 ratio, resulting in a total capital of RMB 9 billion. Ant Group then used asset securitization (ABS) to package the RMB 9 billion in loans that had already been disbursed and mortgaged them to the bank to obtain a second RMB 9 billion for lending. After 40 cycles of asset securitization, Ant Group leveraged the initial RMB 3 billion to obtain funds with a 120-fold leverage of RMB 360 billion. As such, a number of issues related to internet finance cannot be ignored, including “credit business with hundreds of times leverage”, “a high proportion of subprime loans during the lending process”, and “a lack of effective and systematic regulation of asset securitization in the internet finance market”. Based on these issues, internet finance companies are prone to moral hazards, credit deterioration, delayed repayments, and defaults when lending money to consumers. Internet finance considers loan demands beyond the traditional banking sector, but the hidden risks of internet finance need to be borne by society as a whole, which may further cause a financial crisis on a social scale. This is why the central bank strives to prevent systemic financial risks and why China has always emphasized the need to maintain a bottom line. Zhou et al. [1] pointed out that internet-based lending is a new internet finance model, and its main risk is still credit risk. Therefore, when controlling risks, priority should be given to controlling the default rate.
The emergence of financial technology provides new safeguards for the risk management on internet finance platforms. With appropriate use of financial technology and adequate regulation of internet finance platforms, their lending models will become a beneficial supplement to traditional commercial bank lending. As the digital economy continues to thrive, financial technology is driving the digitization of finance and leading to the emergence of digital finance. In this environment, use of electronic payment methods is rapidly developing and becoming widespread, and the form of money is evolving [2]. The emergence of digital currencies and the widespread adoption of electronic payment methods have prompted the central bank to begin researching and promoting a legal digital currency, the “DC/EP”, which is a digital version of the RMB and a legal currency issued by the People’s Bank of China. In China’s monetary issuance and operation system, commercial banks are a vital component [3]. Therefore, the application of DC/EP will have an impact on commercial banks and society as a whole.
The emergence of DC/EP is expected to provide a solution to the financing difficulties faced by SMEs. As a centralized legal currency, DC/EP offers convenience and presents opportunities for commercial banks to reduce their operational costs. Backed by the Chinese government’s credit endorsement, transactions are completed directly with the central bank, without the involvement of intermediaries, resulting in faster transaction speeds compared to other electronic payment methods. Third-party legal and accounting institutions can also review the transaction records of enterprises, gain insights into their real financial status, and provide more accurate professional advice, thereby creating a fair and competitive environment for the public, in terms of loan interest rates and tax payments [4]. With the ability to disburse loans in the form of DC/EP, institutions can increase fairness, while accurately tracking the use of loans, preventing embezzlement, and greatly reducing the possibility of falsification of data, such as cash flows, assets, liabilities, and revenues [4]. To lower the cognitive risk of borrowers, banks can offer preferential interest rates to companies that provide DC/EP loans, promoting the popularization of DC/EP for financial activities. Research has shown that the appropriate support of SMEs through DC/EP has significant benefits for promoting their development [5]. Tan Zhijia et al. [6] found that policy guarantees are more effective for risk suppression and prevention of risk contagion between upstream and downstream entities, due to the Chinese government’s resource advantages. DC/EP can use technology to gain access to the operational information of companies, supervise the flow of funds, improve payment and turnover efficiency, connect financing businesses, and provide more precise credit information for enterprises.
From the perspectives of financial stability and inclusive finance, the introduction of DC/EP has brought favorable changes to traditional bank loans [3] and internet finance. The application of financial technology is a double-edged sword. While promoting DC/EP, we must also regulate the development of financial technology. Vice-chairman Wang Qishan stated at the Shanghai Financial Summit that, in recent years, the extensive application of financial technology has given rise to many new business models, which have indeed brought convenience to people’s lives, but at the same time have magnified financial risks. Therefore, while encouraging financial innovation, it is necessary to enhance the regulatory capacity and intensity of financial supervision, and to increase the regulation of financial technology, putting “safety” ahead of “liquidity” and “efficiency”.
Economic activities are influenced by both the government and the market, and specific economic operations need to be regulated in addition to technology. Currently, there are scholars who have considered the field of DC/EP [3,7], but there have been relatively few scholars who have studied the impact of DC/EP on the market for loans to SMEs, under the regulatory background and from a mathematical model perspective. Therefore, in order to study the impact and changes that DC/EP will bring to the current financing situation and post-loan supervision in the capital market, this paper constructs a mathematical model to analyze the performance and regulatory effects of unregulated internet finance loans, DC/EP loans, regulated internet finance loans, and internet finance + DC/EP loans.
The main contribution of this paper is its discussion of the changes in the application of DC/EPs to internet finance and traditional financing, from a regulatory perspective. This study concludes that, due to the emergence of DC/EP, the security of traditional bank financing and internet finance loans has increased, thus enabling banks to serve more SMEs with financing requirements, improving the universality of bank loans and alleviating the financing difficulties of SMEs. At the same time, the application of DC/EP can control the disorderly expansion of internet finance and allow the development of internet finance in a regulated manner. This paper finds that the combination of DC/EP with internet finance, when there is regulation, has a beneficial impact on both regulators and participants.

2. Literature Review

2.1. Internet Finance

The development of SMEs is constrained and limited by capital, traditional bank financing cannot meet all the financing needs of enterprises in the market, and there are other financing methods that could meet the financing needs that are not met by the market. Thus, many scholars have conducted research on the current situation of SMEs’ financing and loan dilemma, to find possible financing methods [8,9,10], among which internet financial platforms are one of the financing methods that can meet the market’s financing and loan needs. Li [11] researched the concept of internet finance, which was first proposed in China and has no authoritative definition or recognition at an international level. Generally, internet finance refers to a new financial model that relies on internet tools such as cloud computing, big data, social networks, and search engines to facilitate the flow of capital, payments, and information exchange. Liu and Zhao [9] suggested that financing constraints have been a persistent problem hindering the development of small and micro-enterprises in China. The emergence of internet finance has provided a solution to this problem, with internet finance platforms and financing mechanisms for small and micro-enterprises able to effectively reduce borrowing costs, eliminate information asymmetry, and promote the formation of an effective lending market, enabling efficient allocation of lending resources. Hu et al. [12] furthered this research, indicating that internet finance provides a feasible solution to addressing the financing constraints faced by small and micro-enterprises, thereby resolving the moral hazard and adverse selection constraints that have hindered their financing. Wang et al. [13] identified that information asymmetry causes resources to be inefficiently allocated in traditional financial environments, resulting in declining profit margins for traditional investment institutions. The stronger the operating capability of SMEs, the greater their need for financing. They also provide higher initial margins to investment institutions, have lower insurance requirements in the contract, and are more willing to assume greater risks to achieve larger profit shares. Furthermore, in situations where their operational capabilities are unchanged, SMEs can obtain higher levels of financing through the internet finance model compared to the traditional financial model.

2.2. Digital Currency and DC/EP

With the development of information technology and the promotion of digital currencies, many countries have begun to accelerate research on digital currencies, which has led to many scholars conducting research in this field [14,15,16,17,18,19]. KiHoon et al. [20] analyzed the dual-currency system of fiat currency and digital currency, and studied the potential crowding-out effect of a fiat currency or digital currency within the framework of traditional currency economic models. It was found that the crowding-out effect only occurs with extreme assumptions, namely when the cost associated with the use of one currency (as a medium of exchange and store of value) is extremely high, and the cost associated with the use of the other currency is extremely low. Bill [21] studied the financial and monetary policy risks of digital currency and concluded that the leverage ratio of digital currency is very low, so the impact of a bubble burst on the banking system is small. Digital currency is unlikely to replace legal tender, so the risk to monetary policy is low. Due to its developmental constraints and adaptability to current social development, it has had diverse impacts on society [22,23]. Shi and Sun [24] conducted a bibliometric review of research on digital currencies and electronic payments from a network perspective. Zhao [15] mentioned that the digital currency market lacks regulation and has obvious speculative characteristics, and that the market’s violent fluctuations can lead to social instability and even financial system risks. Liu et al. [16] summarized that from private digital currency to digital stablecoins and central bank digital currency, the monetary function of digital currencies is gradually improving, and distributed payment networks may play an important role in the next generation of financial infrastructure. Tian et al. [17] concluded that group managers in group signatures can open problematic transactions, restore the sender’s true identity, and revoke the sender’s private key when necessary to regulate digital currency. Meanwhile, Hassani et al. [25] found in their research that society can also use the data generated by DC/EPs for filtering and signal extraction, such as intelligent auditing, tracking functions, and promoting cooperation among regulatory agencies.
DC/EP has made positive contributions to the healthy and sustainable development of a diversified system [26,27], and has played an important and positive role in stabilizing global finance and investment [28], promoting the construction and improvement of a fair, just, and efficient new international monetary system [29]. Based on decentralized ledger technology, blockchain innovation has promoted the issuance and application of DC/EP [29,30,31,32], which is expected to provide secure peer-to-peer transactions and auditable transparent asset transfers, thereby increasing trust. Chod et al. [33] stated that blockchain technology can more effectively achieve this verification than traditional monitoring mechanisms. Bao [29] found that sovereign digital currency is a product of financial technology innovation, particularly the development of blockchain technology, and will inevitably become a key tool for promoting international monetary system reform and the transformation of the global financial governance system. Zhao et al. [14] stated that the issuance of DC/EP can promote trade settlement innovation, maintain the sovereignty of Chinese currency, and promote the internationalization process of RMB. Based on publicly available information, Zou [30] studied and sorted the core features of DC/EP and speculated on the design of DC/EP. On the basis of a comparative analysis with third-party payment, he further analyzed the impact of DC/EP on payments and currency.
Yao [34] proposed that a DC/EP should be able to provide better services for the public and provide effective tools for macroeconomic control. In addition to private end users, a DC/EP may provide additional monetary policy tools for central banks and the banking industry [35]. DC/EP promotes the improvement of the financing environment for SMEs. Tan et al. [6] found that policy guarantees have the advantage of government resource capabilities, which are more effective in suppressing risks and preventing risks from spreading upstream and downstream. DC/EP has both the advantages of government resource capabilities and the advantage of accurately obtaining enterprise operational information in a technological manner.
The legalization of DC/EP will optimize the payment function of the traditional currency. Hu et al. [12] found that digital currency has strong diffusion capabilities. Zhang [5] mentioned in an analysis of financing for SMEs under the effect of DC/EP operation that “SMEs are still in a relatively weak position in the financial market, and their financing difficulties are a comprehensive and complex problem. The issuance and operation of DC/EP provides a new idea for solving the financing problem of SMEs”. He et al. [2] stated that the legalization of DC/EP will optimize the payment function of the existing traditional currencies. Gao et al. [36] stated that financial technology is the key to empowering banking innovation and reform. Financial technology empowerment can achieve the effect of reducing banking risks, through channels such as reducing information asymmetry, promoting business margin expansion, and enhancing risk-response capabilities. At the same time, the improvement of market supervision capabilities and the enhancement of urban residents’ credit awareness would further enhance the risk management empowering effect of financial technology. In the context of the acceleration of commercial banks’ implementation of financial technology, fully identifying the economic consequences and inherent impact mechanisms of financial technology’s empowerment of bank risk management could prevent and resolve financial risks, as well as promote sustained high-quality development of the financial industry.

2.3. Financial Regulation

The lending relationships in the capital market require joint supervision by both the government and the market, with financial regulation being an important way for the government to assist in regulating the capital market [10,11,37]. Wu [37] pointed out in a study on financial reform, development, and regulation during the 14th Five-Year Plan in China that the depth of financial marketization still needs to be improved and that the ability for financial regulation still needs to be strengthened. Financial regulation plays an important role in the lending market. Feller et al. [38] pointed out that internet-supported lending systems in the crowdfunding sector have an impact on the financial services sector, commercial capitalization strategies, and personal and community development. Liu et al. [14] indicated that a lack of regulation and credit risk management can lead to an increase in default events in the online lending market. A large number of scholars have studied lending models and related indicators in various ways [1,39,40]. Ravina [41] conducted a comprehensive empirical study of online lending from the perspectives of loan success rate, interest rates, and default rates. Klafft [42] found that information related to default rates has a significant positive effect on the transaction rate of individual lending (P2P), such as the transaction situation of the borrower’s bank-authenticated account and the borrower’s credit rating.
The existence of various risks in the lending market increases the standards and requirements for government and market supervision. Qu [10] stated that the rapid development of the financial industry has necessitated higher requirements for regulation, and improving local financial regulatory systems within the framework of the rule of law is an inevitable for promoting the reform of China’s financial system and the development of the financial industry. The effective execution of financial regulatory systems depends on incentives for regulatory behavior [43]. Hu et al. [12] found that digital currency has a strong diffusion ability, and moderate government regulation of digital currency can to some extent suppress illegal activities related to digital currency. In addition, Zhou and Chen [44] found that, regardless of whether the regulatory environment is strict or loose, it is necessary to strengthen the reviewing of media and public opinion, so that the positive effects of media opinion mechanisms can be utilized to share regulatory pressures and achieve effective resource allocation, and this positive effect is magnified as media attention increases.
Based on the risks of internet finance [45,46], the development of DC/EP financing [3], and the necessity of financial regulation, this article explores the pricing of interest rates, the performance of returns, and the effectiveness of market supervision in three scenarios: internet finance, DC/EP financing, and a combination of internet finance and DC/EP financing under regulatory conditions. The structure of this article is as follows: the first part summarizes the relevant literature; the second part gives the problem description and model assumptions; the third part summarizes the model settings and analysis; and the fourth part summarizes the conclusions of the article.

3. Problem Description and Model Assumptions

3.1. Decision Process

In the present study, a Stackelberg game model was established with two players: the lender and the regulator. The lender can either be an internet financial institution or a traditional bank. The model depicted in Figure 1 demonstrates the lender’s decision-making process in balancing benefits and costs, by determining the interest rate and leverage multiplier for the loan. On the other hand, the regulator is tasked with the dual objectives of addressing financing challenges faced by SMEs and mitigating financial risks. The lender, as the leader in the game, sets the lending rate and leverage multiplier, while the regulator, as the follower, imposes regulations in accordance with its goals.The following notations are shown to model the problem, see in Table 1.

3.2. Assumptions

1
The expression of capital demand D is as follows.
D = a b r
a refers to the total capital required by the borrowers, and r represents the interest rate, which is a decision variable for both the bank and the internet loan provider.
2
The present study explores the likelihood of loan repayment in full and on time. The probability of loan repayment is denoted by p, while the probability of loan default is represented by 1 p . In the event of loan default, the internet finance sector will incur a partial loss of the loan principal, with this portion being represented by η 1 . With the implementation of DC/EP, the partial loss of loan principal is expected to be reduced, with the new portion being represented by η 1 ( η 1 > η 2 ). This suggests that the utilization of DC/EP can have a positive impact on reducing the financial losses incurred by the internet finance sector in the event of loan defaults.
3
The cost of acquiring funds through the bank and DC/EP system is determined to be r c , based on realistic assumptions. On the other hand, the cost of obtaining funds through the internet finance platform is higher, calculated as ϕ r c , where ϕ represents the magnitude of the difference in the cost between the two funding sources.
4
Based on the research objectives, the innovative hypothesis of this paper assumes that the returns to regulators can be decomposed into three components: (1) the impact of addressing the challenge of difficult financing, represented by α ; (2) the impact of mitigating the cost of financing, represented by β ; and (3) the risk associated with lending, represented by γ .
5
According to the definition of Li et al. [47], when the amount of the loan issued is a b r , the leverage multiplier is θ , so the own funds are a b r θ .

4. Model Setting and Analysis

4.1. Internet Finance without Regulation

The rapid expansion of internet finance has been fueled by a combination of new technology, low-interest rates, and regulatory forbearance. Bao et al. [45] analyzed lending by traditional and fintech lenders during COVID-19 and found that fintech companies were more likely to expand credit access to new and financially constrained borrowers after the start of the pandemic. However, this unchecked growth has also led to increasing concerns about the potential risks associated with the use of leverage by these new financial players. Leverage multiples, or the ratio of debt to equity, can magnify gains or losses. When things are going well, leverage can generate high returns, but if borrowers default, lenders can face significant losses. In the absence of regulation, the profit function of internet finance is not constrained by any regulatory guidelines or restrictions. This means that the internet finance company is free to make decisions based solely on maximizing its own profits, without consideration for the stability of the overall financial system. This lack of regulation can lead to the unchecked growth of internet finance, which can increase the risk of financial instability and contribute to systemic risk. One example of this is Ant Financial, where the company’s rapid expansion without proper regulatory oversight has raised concerns about the stability of the overall financial system and the potential consequences of a sudden and unexpected failure.
E N R I L ( r , θ ) = p ( a b r ) [ r ( 1 1 θ ) ϕ r c ] ( 1 p ) ( a b r ) [ η 1 + ( 1 1 θ ) ϕ r c ]
The profit function of internet finance in the absence of regulation can be represented as a function of θ , the leverage multiplier, and the cost of funds, ϕ r c . The term 1 θ represents the proportion of the lender’s own funds in the loan, while ( 1 1 θ ) represents the proportion of funds absorbed from the public, which comes to a cost of ϕ r c . This highlights the need for internet finance companies to balance their own funds with external funding sources, while also considering the cost of acquiring these funds. However, if the loan is defaulted, the borrower must not only pay the cost of capital, ( 1 1 θ ) ϕ r c , but also lose a portion of the loan principal, η 1 .
Lemma 1.
In the absence of regulation, the optimal strategy for internet lending platforms would be to increase leverage to infinity, represented by θ I L N R = + . The optimal interest rate for is r I L N R = a p + b ( η 1 η 1 p + ϕ r c ) 2 b p .
The development of internet finance is affected a range of challenges, including the high cost of capital and issues concerning recoverable principal in the event of default. To surmount these obstacles, internet finance providers frequently resort to strategies such as raising loan interest rates and expanding their credit scale to maximize their profits. However, in the absence of adequate regulation, there is a risk that internet finance providers may engage in the adoption of excessive leverage, as a means of augmenting their returns. This tendency is exemplified in the case of Ant Financial, which boosted its leverage multiplier through a continuous process of asset-backed securitization, culminating in a leverage ratio of 120 times. This trend raises serious concerns about the stability of the financial system in the event of any risk eventuating, as this could precipitate a significant financial crisis. Accordingly, the importance of regulatory frameworks in fostering the responsible and orderly expansion of internet finance is of paramount significance.

4.2. Internet Loan with Regulation

The results obtained from Lemma 1 imply that unregulated expansion of internet finance could lead to a disorderly increase in leverage multipliers, posing significant risks to the financial system. Chen et al. [46] suggested that the risk contagion rate within the financial sector is high, highlighting the need for regulatory oversight, to ensure the sustainable growth of internet finance. The People’s Bank of China and the China Banking and Insurance Regulatory Commission play critical roles in establishing regulatory goals and implementing measures to mitigate the challenges, expenses, and risks involved in financing within the internet finance industry. By addressing these issues, regulatory bodies can promote the stable and sustainable growth of internet finance, which is beneficial for lenders and borrowers alike.
E I L ( r ) = p ( a b r ) [ r ( 1 1 θ ) ϕ r c ] ( 1 p ) ( a b r ) [ η 1 + ( 1 1 θ ) ϕ r c ]
E R I L ( θ ) = α p θ β p ( r r c ) γ ( 1 p ) [ η 1 + ( 1 1 θ ) ϕ r c ] c r
The expected profit function of internet finance remains unchanged, regardless of whether it operates in a regulated or unregulated context. The regulator’s profit in this scenario is comprised of three distinct components. The first component, represented by α p θ , represents the regulator’s gain as a result of the leverage multiple when the loan is repaid. A larger value of α p θ indicates that it is easier to solve the problem of financing. The second component, represented by β p ( r r c ) , represents the regulator’s gain in resolving the issue of expensive financing when the loan is repaid. The larger the value of ( r r c ) , the more pronounced the problem of expensive financing becomes. Finally, the third component, represented by γ ( 1 p ) [ η 1 + ( 1 1 θ ) ϕ r c ] , represents the impact of the default principal and interest payable ratio on regulation. An increase in this value results in a greater financial risk.
Lemma 2.
When internet finance is regulated, the optimal leverage multiplier and optimal lending rate are represented by the variables θ I L = ( 1 p ) γ ϕ r c α p and r I L = [ a p + b ( η 1 η 1 p + ϕ r c ) ] Ω 1 a b p ϕ r c 2 b p Ω 1 , respectively ( Ω 1 = γ α p ( 1 p ) ϕ r c ).
Corollary 1.
The purpose of regulation is not only to limit the excessive growth of leverage ratios ( θ I L < θ I L N R ), but also to reduce the cost of borrowing in terms of interest rates on loans ( r I L < r I L N R ).
The establishment of leverage multiples by internet financial institutions is a critical issue, which requires compliance with regulatory guidelines. Regulatory authorities usually evaluate financial institutions based on three fundamental parameters: financing difficulty, financing cost, and rate of non-performing loans. A comparison between the leverage multiples set by internet financial companies under regulated and unregulated contexts reveals that regulated institutions have leverage multiples under control. While these restrictions may limit the ability of financial institutions to address their financing needs, they can serve as a critical mechanism for restraining uncontrolled expansion of internet finance and for mitigating financial risks. Moreover, traditional assumptions suggest that limiting loan sizes may worsen the issue of expensive financing. Nevertheless, a shift from an unregulated to a regulated environment in internet finance is often accompanied by a decrease in interest rates. This highlights the role of regulation in, not only constraining lending practices, but also in reducing the cost of financing and facilitating financial inclusion.
According to Lemma 2, the sensitivity of the optimal policy is analyzed, as shown in Table 2. The dynamics of the market demand for funds has a direct impact on the optimal interest rate in the internet finance sector. This rate is determined by the interplay of supply and demand, and when the market demand for funds increases, this results in an upward adjustment of the interest rate by the platform. However, when borrowers exhibit a heightened sensitivity to changes in interest rates, an increase in the interest rate can lead to a significant reduction in the demand for funds, thus resulting in a decrease in the optimal interest rate. The cost of capital is closely linked to both ϕ and r c . An increase in the cost of capital will result in a corresponding increase in the loan interest rate. η 1 serves as a proxy for risk, and a increase in this value leads to an increase in the percentage of uncollectible loans for the platform. This increase in risk eventually necessitates an adjustment of the interest rate band, in order to mitigate the associated risks. The setting of larger α by the regulator indicates a focus on addressing the issue of expensive financing. To increase the availability of funds, the regulator lowers the interest rate, thereby making the difference ( r r c ) larger. On the other hand, if the regulator sets a larger γ with an emphasis on risk management, they raise the interest rate to increase the lending criteria and reduce loan approval. As the probability of loan repayment, p, increases, the credit risk decreases, and the internet platform can then lower the interest rate.

4.3. Bank + DC/EP with Regulation

In recent years, the use of digital currencies has grown rapidly in the financial industry, particularly in the context of loan issuance. The use of DC/EP in loan issuance can bring a number of benefits, including increased efficiency and security in loan transactions, as well as improved monitoring and control over loan flows. A bank can use DC/EP to directly transfer funds to the borrower’s digital wallet, streamlining the loan issuance process. Additionally, the use of DC/EP enables real-time tracking of loan transactions and reduces the risk of fraud and other illegal activities. The adoption of DC/EP in loan issuance by banks is a significant step towards a more digital and efficient financial system. To delve deeper into this scenario, a model is established in this subsection, with the purpose of determining the expected profit functions for both the banks utilizing DC/EP and the regulators involved.
E D C / E P ( r ) = p ( a b r ) [ r ( 1 1 θ ) r c ] ( 1 p ) ( a b r ) [ η 2 + ( 1 1 θ ) r c ] c D C / E P
E R D C / E P ( θ ) = α p θ β p ( r r c ) γ ( 1 p ) [ η 2 + ( 1 1 θ ) r c ] c r
The profit function is similar to the previous one, and when banks adopt DC/EP, the traceability of DC/EP and the technical features of smart contracts can effectively enhance their post-loan management capabilities. This makes it possible to enforce the recovery of part of the loan principal, which reduces the lender’s risk. The percentage of loss at this point is η 2 , ( η 2 < η 1 ).
Lemma 3.
As shown in Table 3, optimal leverage multiples and optimal loan rates exist for banks when they adopt DC/EP for lending. Banks + DC/EP have lower leverage multiples θ D C / E P < θ I L and more favorable interest rates r D C / E P < r I L on loans compared to internet finance.
In the realm of digital finance, the implementation of DC/EP has emerged as a pivotal element for ameliorating the issue of costly financing. Through the utilization of DC/EP, financial institutions are able to minimize the leverage multiples and loan interest rates in comparison to those in the realm of internet finance. While this leads to a reduced capital amplification effect, the bank+DC/EP lending situation is still capable of offering credit at lower rates, due to regulatory compliance considerations. This aspect is critical in resolving the issue of costly financing and for enhancing financial inclusion, as it enables those with limited resources, such as individuals and businesses, to access credit at more affordable rates. The anticipated profit functions of the banks that adopt DC/EP and regulatory agencies play a significant role in determining the optimal leverage multiples and lending rates. Thus, the creation of a model to investigate this scenario is essential.
Corollary 2.
The loan leverage multiple under the internet finance model is ϕ times that under the bank+DC/EP model.
Moreover, our analysis reveals that the leverage ratio in internet finance is ϕ times higher than that of Bank + DC/EP. This suggests that an increase in the cost of capital in internet finance would lead to a proportional increase in loan origination. This underscores the significance of factoring in the cost of capital when appraising the efficacy of lending practices in various contexts, and the consequent effect on the final outcome.
Corollary 3.
The correlations between the loan interest rate, the expected return for banks utilizing DC/EP, the expected return for regulators, and the percentage of the loan principal recoverable after loan origination η 2 are as follows: r D C / E P η 2 > 0 , E D C / E P η 2 < 0 , E D C / E P R η 2 < 0 .
In the realm of financial management, the incorporation of DC/EP technology into banks has emerged as a potential remedy for post-loan management issues. The effectiveness of DC/EP in tracing financial transactions is positively correlated with decreases in the loan interest rate, as reflected by a smaller value of η 2 . This, in turn, enhances the expected returns for both the regulator and the bank+DC/EP, and allows better monitoring of the repayment behavior of borrowers. The regulation of fund flows through the utilization of DC/EP technology plays a significant role in reducing loan interest rates and in augmenting the returns for all parties involved in the lending process.

5. Internet Finance Applying DC/EP in the Context of Regulation

With the growth of internet finance, the problem of post-loan management has become increasingly prominent. This issue refers to the difficulties faced by financial platforms in managing loans after they have been disbursed. To address this challenge, many internet financial platforms have started adopting DC/EP as a solution. DC/EP provides a secure, efficient, and convenient method of post-loan management, enabling financial platforms to keep track of loan payments and repayments, as well as reducing the risks associated with loan defaults. With its ability to streamline the loan management process, DC/EP has become a popular choice among internet financial platforms, as they strive to enhance their post-loan management capabilities.
E I L + D C / E P r = p a b r r 1 1 θ ϕ r c 1 p a b r η 2 + 1 1 θ ϕ r c c D C / E P
E R I L + D C / E P θ = α p θ β p ( r r c ) γ 1 p η 2 + 1 1 θ ϕ r c c r
Lemma 4.
(a) The optimal leverage multiple in the internet finance + DC/EP model is θ I L + D C / E P = ( 1 p ) γ ϕ r c α p and θ I L + D C / E P = θ I L .
(b) The optimal interest rate is r I L + D C / E P = [ a p + b ( η 2 η 2 p + ϕ r c ) ] Ω 1 a b p ϕ r c 2 b p Ω 1 , and r I L + D C / E P < r I L .
The adoption of DC/EP in internet finance has been driven by the need to enhance post-loan management. Although DC/EP is simply a mode of payment, it has been found to have a significant impact on loan interest rates. When the traceability of DC/EP is stronger, i.e., η 2 is smaller, it results in a lower loan interest rate. This, in turn, leads to an increase in the expected return for both the regulator and the bank + DC/EP. By effectively constraining borrower’s repayment intentions and controlling the flow of funds, the use of DC/EP in internet finance can play a crucial role in reducing loan interest rates and increasing the returns for each participant. Despite being a form of payment, the use of DC/EP does not change the optimal leverage multiplier in internet finance. However, its adoption has been found to lower the loan interest rate, thereby contributing to financial inclusion.
Corollary 4.
The utilization of DC/EP in internet finance is anticipated to result in higher regulatory returns E R I L + D C / E P E R I L = ( β + 2 γ ) ( 1 η ) ( 1 p ) 2 > 0 .
The aforementioned theorem indicates that the adoption of DC/EP in the internet finance sector can result in higher returns for regulators. This conclusion is of significant importance, as it implies that the integration of DC/EP could potentially lead to more efficient regulatory outcomes in the industry. By incorporating DC/EP into the existing internet finance system, regulators may be able to mitigate risk and enhance overall performance, which could ultimately result in higher returns. The benefits of DC/EP adoption in internet finance are multifaceted. By leveraging the capabilities of this innovative technology, regulators may be able to streamline their operations and more effectively monitor and regulate financial activities. This, in turn, could help to reduce fraud and other forms of financial malfeasance, as well as increase transparency and accountability within the industry. Furthermore, the integration of DC/EP could help to reduce costs and improve overall efficiency in the internet finance sector. With faster transaction times and lower transaction fees, DC/EP has the potential to transform the way financial transactions are conducted. This could lead to a more streamlined and cost-effective financial system, which could ultimately result in higher returns for both regulators and financial institutions alike.
Corollary 5.
When c D C / E P < c ^ D C / E P , the internet financial platform will get higher expected return by using DC/EP for credit. ( c ^ D C / E P = 1 p η 1 η 2 2 a + b η 1 + η 2 p 2 b ϕ r c + η 1 + η 2 Ω 1 + α b p ϕ r c 4 p Ω 1 ).
According to this corollary, the adoption of DC/EP for credit by internet financial platforms may yield higher expected returns in specific circumstances. This is contingent upon the cost of a DC/EP transaction being less than the threshold cost, c ^ D C / E P . The utilization of DC/EP can be advantageous for the platform, due to the incorporation of smart contract technology that enables more effective loan management and greater control over non-performing rates. Smart contracts allow the digital RMB to automatically execute actions when specific conditions are met, such as disbursing funds to borrowers upon meeting repayment conditions or imposing penalties for delayed payments. Implementing DC/EP for credit may potentially reduce the risk of default and non-payment, leading to decreased losses and increased returns for the internet financial platform.

6. Numerous Analysis

In this numerical experiment, we aimed to study the impact of different parameters on the returns of lenders and supervisors. To be more realistic, the values of the parameters used in this numerical experiment were as follows: a = 10,000, b = 4000, p ranges from 0.3 to 1 with an increment of 0.05; η 1 is 0.5 and η 2 is 0.2; ϕ is 2 and r c is 0.05; α is 500, β is 900, and γ is 10,000; c D C E P is 1000 and c r is 100. These parameter values were used to explore the impact of different scenarios on the expected returns of the lender and supervisor in the internet finance industry.
As illustrated in Figure 2, the green, red, and blue lines in the upper left and right subplots represent the respective profit performance and regulatory effects of internet finance, DC/EP, and a combination of the two models under government regulation. An analysis of the data reveals that when the probability of success (p) is high (close to 1), the internet finance model yields the most optimal profit performance, with the DC/EP model yielding the least. On the other hand, when the probability of success is small, the DC/EP model yields the most profit, with the internet finance model yielding the least. With regard to the regulatory effects, these are seen to increase with the increase in the probability of investment success. Furthermore, it is apparent that the regulatory effects of the combined internet finance and DC/EP model are superior to those of the internet finance model. Additionally, the regulatory performance of the DC/EP model is surpassed with the increasing probability of investment success. This indicates that the DC/EP has only a limited increase in regulatory effect when the probability of investment success is high.
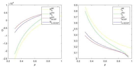
The yellow line in the Figure 3 represents the loan demand and interest rate when there is no government regulation, the green line, red line and blue line, represent the loan demand and interest rate under the government regulation of internet finance, DC/EP, and the combination of DC/EP and internet finance model, respectively. From the figures, it can be seen that the loan demand is the lowest and the loan interest rate is the highest when there is no government regulation, and at this time, a large number of enterprises with loan demand are not satisfied. Therefore, government regulation is conducive to promoting the standardization of the loan market. When the probability of investment success is high (close to 1), the loan demand under the model of DC/EP combined with internet finance is the largest and the interest rate is the lowest, and most enterprises in the market can obtain loans, the economic market is active, and government supervision has certain regulatory effects.The DC/EP lending scheme is typically implemented in cases where the loan demand is substantial and the interest rate is low, in order to facilitate loan acquisition by more enterprises. The profit performance and regulatory effectiveness of this approach are generally in the middle to high range, satisfying the loan requirements of the majority of corporate entities and delivering satisfactory regulatory results.

7. Conclusions

In conclusion, DC/EP has the potential to overcome the persistent financing challenges faced by small and medium-sized enterprises (SMEs). The adoption of DC/EP offers a wider range of payment options and enhances the traceability of transaction information, thereby increasing the creditworthiness of enterprises in the market. Moreover, the use of DC/EP provides an opportunity to regulate the capital market dominated by internet financial platforms.
This study explored a financing model that encompasses bank DC/EP loans, internet finance loans, and a combination of both with the presence of government regulation. This research also investigated the impact of DC/EP platform costs, collateral ratios, and leverage ratios on the selection of a financing method. The major findings of this study are as follows: (1) regulation plays a critical role in shaping the financing model of internet finance, preventing it from growing recklessly and threatening the stability of the capital market; (2) the bank+DC/EP financing model offers a low-cost and low-risk source of capital to society compared to internet finance platforms, due to the enforcement of regulation; (3) the combination of DC/EP with internet finance, together with effective regulation, can effectively prevent anarchic growth of the capital market dominated by internet finance platforms, maintain reasonable leverage of internet platforms, lower interest rates, reduce the financing costs for SMEs, and provide a relatively sufficient and safe source of capital to society.
It is worth emphasizing that the findings of this study are based on the present stage of development of DC/EP and are subject to certain reasonable assumptions. Hence, the conclusions may not entirely capture the real-world situation. Future research could investigate the creditworthiness of DC/EP fund transactions, to gain a deeper understanding of the role and impact of DC/EP. Furthermore, the significance of DC/EP can be further explored as it evolves and advances over time.

Author Contributions

Conceptualization, H.W.; Methodology, Y.T. and X.Y.; Software, X.Y. and H.W.; Formal analysis, Y.T.; Investigation, Y.T.; Writing—original draft, Y.T.; Writing—review & editing, X.Y. and H.W. All authors have read and agreed to the published version of the manuscript.

Funding

This research was funded by National Natural Science Foundation of China, Grant Number 71932002 and General Projects of Social Science Program of Beijing Municipal Commission of Education, Project Number SM202010005005.

Institutional Review Board Statement

Not applicable.

Informed Consent Statement

Not applicable.

Data Availability Statement

Not applicable.

Conflicts of Interest

The authors declare no conflict of interest.

References

  1. Zhou, G.; Zhang, Y.; Luo, S. P2P Network Lending, Loss Given Default and Credit Risks. Sustainability 2018, 10, 1010. [Google Scholar] [CrossRef]
  2. He, D.X.; Yao, B. Legalization of RMB Digital Currency: Practice, Influence and Policy. Chin. Rev. Financ. Stud. 2019, 11, 38–50. [Google Scholar]
  3. Kui, T.; Yijue, C. Issuance and Operation of Digital RMB: Research on Opportunities and Challenges of Commercial Banks. Southwest Financ. 2020, 11, 24–34. [Google Scholar]
  4. Wu, B.; An, X.; Wang, C.; Shin, H.Y. Extending UTAUT with national identity and fairness to understand user adoption of DCEP in China. Sci. Rep. 2022, 12, 6856. [Google Scholar] [CrossRef] [PubMed]
  5. Qian, Z. Exploring the financing of small and medium-sized enterprises under the promotion of digital RMB operation. China Mark. 2022, 17, 55–57. [Google Scholar] [CrossRef]
  6. Tan, Z.; Zhang, Q.; Zhu, W.; Li, H. From Financial Institutions to Industrial Firms: The Contagion Mechanism and Prevention of Liquidity Risk: A Multi-Case Study of SMEs Credit Guarantee Industry. J. Manag. World 2022, 38, 35–59. [Google Scholar] [CrossRef]
  7. Dufu, W. Analysis of the development trend of payment industry in the era of digital RMB–based on the perspective of commercial banks’ retail payment business. Financ. Forum 2021, 26, 8–13. [Google Scholar] [CrossRef]
  8. Lu, L.; Yongjian, L.; Tao, J. A supply chain financing strategy based on blockchain credit delivery function. Syst. Eng. Theory Pract. 2021, 41, 1179–1196. [Google Scholar] [CrossRef]
  9. Manfeng, L.; Long, Z. Solving the Financing Constraints on Small and Micro Enterprises from the Perspective of Internet Finance. Manag. Rev. 2019, 31, 39–49. [Google Scholar] [CrossRef]
  10. Shujuan, Q. The constructional path and the system logic of financial regulation from local government. China Manag. Sci. 2017, 25, 18–27. [Google Scholar] [CrossRef]
  11. Kemu, L. Innovation and risk of Internet finance. J. Manag. World 2016, 2, 1–2. [Google Scholar] [CrossRef]
  12. Hu, S.; Qi, J.Y. Simulation study on the evolution of digital currency diffusion based on S-D evolutionary game model. Syst. Eng. Theory Pract. 2021, 41, 1211–1228. [Google Scholar] [CrossRef]
  13. Zongrun, W.; Mei, Y.; Yanju, Z. Logic of the emergence of Internet finance: Investor’s perspective. Syst. Eng. Theory Pract. 2016, 36, 2791–2801. [Google Scholar] [CrossRef]
  14. Zhongxiu, Z.; Heng, L. Digital Currency, Trade Settlement Innovation and the Improvement of International Monetary System. Rev. Econ. Manag. 2021, 37, 44–57. [Google Scholar] [CrossRef]
  15. Zhao, A. Financial Risk Evaluation of Digital Currency Based on Cart Algorithm Blockchain. Mob. Inf. Syst. 2022, 2022, 1356480. [Google Scholar] [CrossRef]
  16. Dongmin, L.; Shuang, S. Digital currencies, cross-border payments and changes in the international monetary system. Financ. Forum 2020, 25, 3–10. [Google Scholar] [CrossRef]
  17. Tian, H.; Luo, P.; Su, Y. A Group Signature Based Digital Currency System. In Proceedings of the Blockchain and Trustworthy Systems: First International Conference, BlockSys 2019, Guangzhou, China, 7–8 December 2019; Springer: Singapore, 2020; pp. 3–14. [Google Scholar] [CrossRef]
  18. Wu, Y.; Fan, H.; Wang, X.; Zou, G. A regulated digital currency. Sci. China Inf. Sci. 2019, 62, 32109. [Google Scholar] [CrossRef]
  19. Saito, K.; Iwamura, M. How to Make a Digital Currency on a Blockchain Stable. Future Gener. Comput. Syst. Int. J. Esci. 2019, 100, 58–69. [Google Scholar] [CrossRef]
  20. Hong, K.H.; Park, K.; Yu, J. Crowding out in a dual currency regime? Digital versus fiat currency. Emerg. Mark. Financ. Trade 2018, 54, 2495–2515. [Google Scholar] [CrossRef]
  21. Nelson, B. Financial stability and monetary policy issues associated with digital currencies. J. Econ. Bus. 2018, 100, 76–78. [Google Scholar] [CrossRef]
  22. Lipton, A.; Hardjono, T.; Pentland, A. Digital Trade Coin: Towards a More Stable Digital Currency. R. Soc. Open Sci. 2018, 5, 180155. [Google Scholar] [CrossRef] [PubMed]
  23. Du, H.; Shen, M.; Sun, R.; Jia, J.; Zhu, L.; Zhai, Y. Malicious Transaction Identification in Digital Currency via Federated Graph Deep Learning. In Proceedings of the IEEE INFOCOM 2022—IEEE Conference on Computer Communications Workshops (INFOCOM WKSHPS), New York, NY, USA, 2–5 May 2022; IEEE: New York, NY, USA, 2022; pp. 1–6. [Google Scholar] [CrossRef]
  24. Shi, Q.; Sun, X. A Scientometric Review of Digital Currency and Electronic Payment Research: A Network Perspective. Complexity 2020, 2020, 8876017. [Google Scholar] [CrossRef]
  25. Hassani, H.; Huang, X.; Silva, E. Banking with Blockchain-Ed Big Data. J. Manag. Anal. 2018, 5, 256–275. [Google Scholar] [CrossRef]
  26. Cheung, Y.W.; Yiu, M.S. Offshore renminbi trading: Findings from the 2013 Triennial Central Bank Survey. Int. Econ. 2017, 152, 9–20. [Google Scholar] [CrossRef]
  27. Cheng, X.; Chen, H.; Zhou, Y. Is the renminbi a safe-haven currency? Evidence from conditional coskewness and cokurtosis. J. Int. Money Financ. 2021, 113, 102359. [Google Scholar] [CrossRef]
  28. Shen, C. Digital RMB, RMB Internationalization and Sustainable Development of the International Monetary System. Sustainability 2022, 14, 6228. [Google Scholar] [CrossRef]
  29. Jianyun, B. Sovereign Digital Currency, Fintech Innovation and Reform of the International Monetary System—On the Issuance, Circulation and Internationalization of Digital RMB. Frontiers 2020, 2, 24–35. [Google Scholar] [CrossRef]
  30. Chuanwei, Z. Preliminary analysis of the People’s Bank digital currency/electronic payment. New Financ. 2019, 12, 10–16. [Google Scholar]
  31. Dai, C.; Yang, X.; Qiu, M.; Guo, X.; Lu, Z.; Niu, B. Digital Currency Investment Strategy Framework Based on Ranking. In Proceedings of the Algorithms and Architectures for Parallel Processing: 20th International Conference, ICA3PP 2020, New York, NY, USA, 2–4 October 2020; Part III 20. Springer International Publishing: New York, NY, USA, 2020; pp. 654–662. [Google Scholar] [CrossRef]
  32. Zhang, T.; Huang, Z. Blockchain and Central Bank Digital Currency. ICT Express 2022, 8, 264–270. [Google Scholar] [CrossRef]
  33. Chod, J.; Trichakis, N.; Tsoukalas, G.; Aspegren, H.; Weber, M. On the Financing Benefits of Supply Chain Transparency and Blockchain Adoption. Manag. Sci. 2020, 66, 4378–4396. [Google Scholar] [CrossRef]
  34. Yao, Q. A systematic framework to understand central bank digital currency. Sci. China Inf. Sci. 2018, 61, 033101. [Google Scholar] [CrossRef]
  35. Bolt, W.; Jonker, N.; Van Renselaar, C. Incentives at the Counter: An Empirical Analysis of Surcharging Card Payments and Payment Behaviour in the Netherlands. J. Bank. 2010, 34, 1738–1744. [Google Scholar] [CrossRef]
  36. Gao, H.-Y.; Fang, J.-C.; Li, M. Empowering risk management with fintech: An empirical study based on the Chinese banking industry. Syst. Eng. Theory Pract. 2022, 42, 1–20. [Google Scholar] [CrossRef]
  37. Xiaoqiu, W. Research on the regulation of financial reform and development in China during the 14th Five-Year Plan period. J. Manag. World 2020, 36, 5–15. [Google Scholar] [CrossRef]
  38. Feller, J.; Gleasure, R.; Treacy, S. Information Sharing and User Behavior in Internet-Enabled Peer-to-Peer Lending Systems: An Empirical Study. J. Inf. Technol. 2017, 32, 127–146. [Google Scholar] [CrossRef]
  39. Marques, A.I.; Garcia, V.; Sanchez, J.S. A Literature Review on the Application of Evolutionary Computing to Credit Scoring. J. Oper. Res. Soc. 2013, 64, 1384–1399. [Google Scholar] [CrossRef]
  40. Serrano-Cinca, C.; Gutiérrez-Nieto, B.; López-Palacios, L. Determinants of default in P2P lending. PLoS ONE 2015, 10, e0139427. [Google Scholar] [CrossRef]
  41. Enrichetta, R. Beauty, Personal Characteristics, and Trust in Credit Markets (December 2007). Available online: https://ssrn.com/abstract=972801 (accessed on 23 February 2023).
  42. Klafft, M. Peer to peer lending: Auctioning microcredits over the internet. In Proceedings of the International Conference on Information Systems, Technology and Management, Ghaziabad, Indina, 12–13 March 2008; Agarwal, A., Khurana, R., Eds.; IMT: Dubai, United Arab Emirates, 2008. [Google Scholar]
  43. Liu, C.; Guo, F.; Fu, J.; Zhou, Q. Political incentives, capital regulation and local bank credit allocation. J. Manag. World 2017, 10, 36–50. [Google Scholar] [CrossRef]
  44. Zhou, X.; Chen, C. The double-edged sword effect of public media participation in the regulation of fintech innovation. Syst. Eng. Theory Pract. 2022, 42, 1782–1795. [Google Scholar] [CrossRef]
  45. Bao, Z.; Huang, D. Shadow Banking in a Crisis: Evidence from Fintech During COVID-19. J. Financ. Quant. Anal. 2021, 56, 2320–2355. [Google Scholar] [CrossRef]
  46. Chen, M.; Li, N.; Zheng, L.; Huang, D.; Wu, B. Dynamic correlation of market connectivity, risk spillover and abnormal volatility in stock price. Phys. A Stat. Mech. Its Appl. 2022, 587, 126506. [Google Scholar] [CrossRef]
  47. Li, Y.; Wang, C.; Li, G.; Chen, C. Optimal scheduling of integrated demand response-enabled integrated energy systems with uncertain renewable generations: A Stackelberg game approach. Energy Convers. Manag. 2021, 235, 113996. [Google Scholar] [CrossRef]
Figure 1. Research Path.
Figure 1. Research Path.
Sustainability 15 07025 g001
Figure 2. Figure of lender and supervisor returns variation with repayment probability.
Figure 2. Figure of lender and supervisor returns variation with repayment probability.
Sustainability 15 07025 g002
Figure 3. Figure of the demand for fund and interest rate variation with repayment probability.
Figure 3. Figure of the demand for fund and interest rate variation with repayment probability.
Sustainability 15 07025 g003
Table 1. Description of parameters and variables.
Table 1. Description of parameters and variables.
SymbolDescription
aThe total amount of the borrowers’ capital requirements
bCoefficient of the effect of interest rates on borrowers’ financing needs
θ Leverage multiplier
r c Capital cost of banks
ϕ r c The cost of capital for internet finance
c r Regulatory costs for regulators
c D C / E P Cost of granting DC/EP loans
BThe financing principal required by the borrower
pThe probability that the loan does not default
rThe interest rate of the internet loan
pProbability of loan default
δ Coefficient of conversion of regulatory effectiveness to regulatory revenue
Table 2. The sensitivity of the optimal policy to the model parameters.
Table 2. The sensitivity of the optimal policy to the model parameters.
ab ϕ r c η 1 α β p
r I L +++++
θ I L ++
Table 3. The sensitivity of optimal policy to model parameters.
Table 3. The sensitivity of optimal policy to model parameters.
Internet FinanceBank+DC/EP
The optimal leverage multiple ( 1 p ) γ ϕ r c α p ( 1 p ) γ r c α p
The optimal interest rate [ a p + b ( η 1 η 1 p + ϕ r c ) ] Ω 1 a b p ϕ r c 2 b p Ω 1 [ a p + b ( η 2 η 2 p + r c ) ] Ω 2 α b p r c 2 b p Ω 2
where Ω 2 = γ α p ( 1 p ) r c .
Disclaimer/Publisher’s Note: The statements, opinions and data contained in all publications are solely those of the individual author(s) and contributor(s) and not of MDPI and/or the editor(s). MDPI and/or the editor(s) disclaim responsibility for any injury to people or property resulting from any ideas, methods, instructions or products referred to in the content.

Share and Cite

MDPI and ACS Style

Tu, Y.; Yan, X.; Wang, H. Game Theory Analysis of Chinese DC/EP Loan and Internet Loan Models in the Context of Regulatory Goals. Sustainability 2023, 15, 7025. https://doi.org/10.3390/su15097025

AMA Style

Tu Y, Yan X, Wang H. Game Theory Analysis of Chinese DC/EP Loan and Internet Loan Models in the Context of Regulatory Goals. Sustainability. 2023; 15(9):7025. https://doi.org/10.3390/su15097025

Chicago/Turabian Style

Tu, Yuting, Xin Yan, and Huan Wang. 2023. "Game Theory Analysis of Chinese DC/EP Loan and Internet Loan Models in the Context of Regulatory Goals" Sustainability 15, no. 9: 7025. https://doi.org/10.3390/su15097025

APA Style

Tu, Y., Yan, X., & Wang, H. (2023). Game Theory Analysis of Chinese DC/EP Loan and Internet Loan Models in the Context of Regulatory Goals. Sustainability, 15(9), 7025. https://doi.org/10.3390/su15097025

Note that from the first issue of 2016, this journal uses article numbers instead of page numbers. See further details here.

Article Metrics

Back to TopTop