A Study on Local Scour of Large-Diameter Monopile under Combined Waves and Current
Abstract
1. Introduction
2. Prediction Equation of Equilibrium-Scour Depth
3. Experimental Set Up
4. Results and Discussion
4.1. Development Mechanism of Scour Hole
4.2. Scour Hole Shape
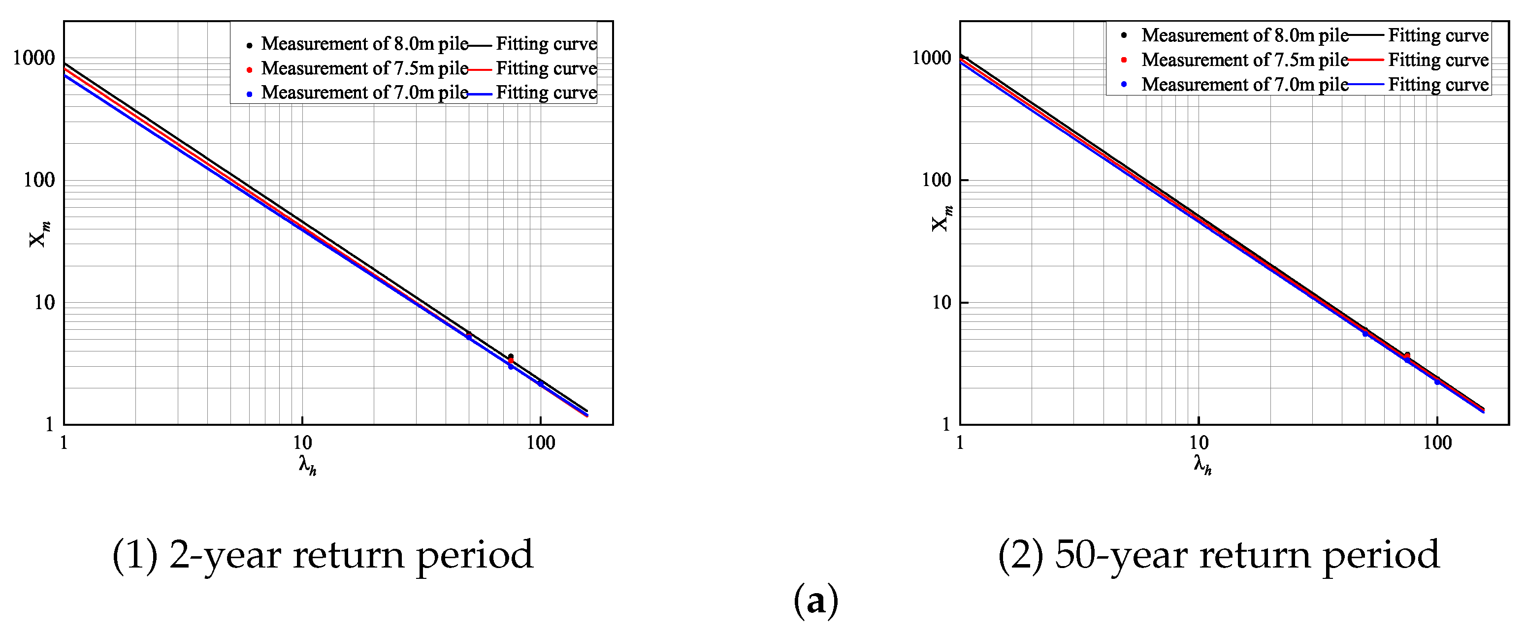
4.3. Maximum Scour Depth
4.4. Bed Shear-Stress Analysis
4.4.1. Bed Shear Stress under the Action of Current Alone
4.4.2. Bed Shear Stress under the Action of Wave Alone
4.4.3. Bed Shear Stress under the Combined Action of Waves and Current
5. Conclusions
- The shape of the scour hole is noticeably different under the combined effects of tidal and wave–current compared to unidirectional flow. The scour holes exhibit a symmetrical “horseshoe” shape on both sides, and the maximum scour depth is typically located near the upstream surface of the pile;
- When subjected to the combined action of waves and current, the maximum scour depth in the field area decreases with increasing water depth when the water depth h is within the range of 3–6 D, and is much larger than 50;
- There exists a significant difference between the maximum scour depth obtained through the series-model extension test and the calculation results of the scour empirical equation and the wave–current-scour empirical equation, which could be attributed to the wind-power pile foundation and bridge-site selection factors. As a result, more physical model tests and measurements are required to re-derive the empirical equation for the scour depth of offshore wind-power monopile foundations. The existing empirical equation is inadequate for project-site requirements since the test in this study considered the influence of tidal level and wave–current reciprocation. More data are needed to amend the existing model for further improvement;
- The bed shear-stress equation is in good agreement with the model’s prediction of the maximum scour depth. As a result, it is possible to assess the rationality of the test results using bed shear stress, and it also somewhat resolves the issue of cross-interference caused by tide level, flow velocity, waves, sediment gradation, and other factors. This method can predict not only the increase law of the maximum scour depth of equilibrium scour under general sea conditions, but also the deepening of the maximum scour depth caused by short-term severe sea conditions. Therefore, it can be applied in engineering practice to evaluate the local-scour depth law of wind-power piles at different locations.
Author Contributions
Funding
Institutional Review Board Statement
Informed Consent Statement
Data Availability Statement
Acknowledgments
Conflicts of Interest
References
- Fraile, D.; Mbistrova, A.; Pineda, I.; Tardieu, P.; Miró, L. Wind in Power 2017: Annual Combined Onshore and Offshore Wind Energy Statistics; WindEurope: Brussels, Belgium, 2018; p. 25. [Google Scholar]
- Matutano, C.; Negro, V.; López-Gutiérrez, J.S.; Esteban, M.D. Scour prediction and scour protections in offshore wind farms. Renew. Energy 2013, 57, 358–365. [Google Scholar] [CrossRef]
- Sørensen, S.P.H.; Ibsen, L.B. Assessment of foundation design for offshore monopiles unprotected against scour. Ocean Eng. 2013, 63, 17–25. [Google Scholar] [CrossRef]
- Liang, F.; Wang, C.; Huang, M.; Wang, Y. Experimental observations and evaluations of formulae for local scour at pile groups in steady currents. Mar. Georesources Geotechnol. 2017, 35, 245–255. [Google Scholar] [CrossRef]
- Sheppard, D.M.; Miller, W., Jr. Live-bed local pier scour experiments. J. Hydraul. Eng. 2006, 132, 635–642. [Google Scholar] [CrossRef]
- Bayram, A.; Larson, M. Analysis of scour around a group of vertical piles in the field. J. Waterw. Port Coast. Ocean Eng. 2000, 126, 215–220. [Google Scholar] [CrossRef]
- Sumer, B.M.; Fredsøe, J. Scour below pipelines in waves. J. Waterw. Port Coast. Ocean Eng. 1990, 116, 307–323. [Google Scholar] [CrossRef]
- Rambabu, M.; Rao, S.N.; Sundar, V. Current-induced scour around a vertical pile in cohesive soil. Ocean Eng. 2003, 30, 893–920. [Google Scholar] [CrossRef]
- Lin, Y.; Lin, C. Effects of scour-hole dimensions on lateral behavior of piles in sands. Comput. Geotech. 2019, 111, 30–41. [Google Scholar] [CrossRef]
- Valela, C.; Rennie, C.D.; Nistor, I. Improved bridge pier collar for reducing scour. Int. J. Sediment Res. 2022, 37, 37–46. [Google Scholar] [CrossRef]
- Rance, P. The potential for scour around large objects. In Scour Prevention Techniques Around Offshore Structures; Society for Underwater Technology: London, UK, 1980; pp. 41–53. [Google Scholar]
- Qi, W.; Gao, F. Equilibrium scour depth at offshore monopile foundation in combined waves and current. Sci. China Technol. Sci. 2014, 57, 1030–1039. [Google Scholar] [CrossRef]
- Olabarrieta, M.; Medina, R.; Castanedo, S. Effects of wave–current interaction on the current profile. Coast. Eng. 2010, 57, 643–655. [Google Scholar] [CrossRef]
- Singh, S.K.; Raushan, P.K.; Debnath, K. Combined effect of wave and current in rough bed free surface flow. Ocean Eng. 2018, 160, 20–32. [Google Scholar] [CrossRef]
- Høgedal, M.; Hald, T. Scour Assessment and Design for Scour for Monopile Foundations for Offshore Wind Turbines; Copenhagen Offshore Wind: Copenhagen, Denmark, 2005; pp. 1–10. [Google Scholar]
- Kemp, P.; Simons, R. The interaction between waves and a turbulent current: Waves propagating with the current. J. Fluid Mech. 1982, 116, 227–250. [Google Scholar] [CrossRef]
- Kemp, P.; Simons, R. The interaction of waves and a turbulent current: Waves propagating against the current. J. Fluid Mech. 1983, 130, 73–89. [Google Scholar] [CrossRef]
- Eadie, R.W., IV; Herbich, J.B. Scour about a single, cylindrical pile due to combined random waves and a current. In Proceedings of the 20th International Conference on Coastal Engineering, Taipei, Taiwan, 9–14 November 1986; pp. 1858–1870. [Google Scholar] [CrossRef]
- Gazi, A.H.; Purkayastha, S.; Afzal, M.S. The equilibrium scour depth around a pier under the action of collinear waves and current. J. Mar. Sci. Eng. 2020, 8, 36. [Google Scholar] [CrossRef]
- Guan, D.w.; Xie, Y.x.; Yao, Z.s.; Chiew, Y.M.; Zhang, J.s.; Zheng, J.h. Local scour at offshore windfarm monopile foundations: A review. Water Sci. Eng. 2022, 15, 29–39. [Google Scholar] [CrossRef]
- Sumer, B.M.; Fredsøe, J. Scour around pile in combined waves and current. J. Hydraul. Eng. 2001, 127, 403–411. [Google Scholar] [CrossRef]
- Sumer, B.M.; Fredsøe, J. The Mechanics of Scour in the Marine Environment; World Scientific: Singapore, 2002. [Google Scholar]
- China Renewable Energy Engineering Institute. Code for Design of Wind Turbine Foundations for Offshore Wind Power Projects; China Water & Power Press: Beijing, China, 2018. [Google Scholar]
- Lee, S.O.; Sturm, T.W. Effect of sediment size scaling on physical modeling of bridge pier scour. J. Hydraul. Eng. 2009, 135, 793–802. [Google Scholar] [CrossRef]
- Cao, Z.; Kong, L.; Jiao, G. Initiation of sediment movement for a wave- current coexistent system. Acta Oceanol. Sin. 2003, 25, 113–119. [Google Scholar] [CrossRef]










| Condition Number | Condition Name | Water Depth (m) | Flow Rate (m/s) | Significant Wave Height (m) | Average Period (s) |
|---|---|---|---|---|---|
| 1 | 1# High, 2 year | 20.50 | 1.17 | 4.40 | 7.71 |
| 2 | 1# Low, 2 year | 18.65 | 1.17 | 4.07 | 7.60 |
| 3 | 1# High, 50 year | 22.10 | 1.44 | 6.80 | 9.14 |
| 4 | 1# Low, 50 year | 17.85 | 1.44 | 5.80 | 6.27 |
| 5 | 3# High, 2 year | 24.11 | 1.17 | 4.74 | 7.73 |
| 6 | 3# Low, 2 year | 22.25 | 1.17 | 4.41 | 7.61 |
| 7 | 3# High, 50 year | 25.71 | 1.44 | 7.28 | 9.18 |
| 8 | 3# Low, 50 year | 21.45 | 1.44 | 6.31 | 8.44 |
| Name | Expression | Numerical Value |
|---|---|---|
| geometric scale | ||
| time scale | ||
| speed scale | ||
| wave height scale | ||
| wave length scale | ||
| wave period scale | ||
| Particle-Size Interval (mm) | >2.00 | 2.00∼0.50 | 0.50∼0.25 | 0.25∼0.075 | <0.075 |
|---|---|---|---|---|---|
| Content (%) | 17.9 | 26.7 | 17.5 | 32.8 | 5.1 |
Disclaimer/Publisher’s Note: The statements, opinions and data contained in all publications are solely those of the individual author(s) and contributor(s) and not of MDPI and/or the editor(s). MDPI and/or the editor(s) disclaim responsibility for any injury to people or property resulting from any ideas, methods, instructions or products referred to in the content. |
© 2023 by the authors. Licensee MDPI, Basel, Switzerland. This article is an open access article distributed under the terms and conditions of the Creative Commons Attribution (CC BY) license (https://creativecommons.org/licenses/by/4.0/).
Share and Cite
Liu, H.; Tao, Z.; Zhang, R.; Zhang, C.; Sun, X.; Fan, S.; Zhu, R. A Study on Local Scour of Large-Diameter Monopile under Combined Waves and Current. Sustainability 2023, 15, 5746. https://doi.org/10.3390/su15075746
Liu H, Tao Z, Zhang R, Zhang C, Sun X, Fan S, Zhu R. A Study on Local Scour of Large-Diameter Monopile under Combined Waves and Current. Sustainability. 2023; 15(7):5746. https://doi.org/10.3390/su15075746
Chicago/Turabian StyleLiu, Hanqiu, Zijian Tao, Rongsheng Zhang, Cailiang Zhang, Xiang Sun, Shaotao Fan, and Ronghua Zhu. 2023. "A Study on Local Scour of Large-Diameter Monopile under Combined Waves and Current" Sustainability 15, no. 7: 5746. https://doi.org/10.3390/su15075746
APA StyleLiu, H., Tao, Z., Zhang, R., Zhang, C., Sun, X., Fan, S., & Zhu, R. (2023). A Study on Local Scour of Large-Diameter Monopile under Combined Waves and Current. Sustainability, 15(7), 5746. https://doi.org/10.3390/su15075746

