Activation Method and Reuse of Waste Concrete Powder—A Review
Abstract
1. Introduction
2. Properties of Waste Concrete Powder
| No. | Source | SiO2 (%) | CaO (%) | Fe2O3 (%) | Al2O3 (%) | MgO (%) | SO3 (%) | K2O (%) | Na2O (%) |
|---|---|---|---|---|---|---|---|---|---|
| 1 | [16] | 27.80 | 29.10 | 2.73 | 6.70 | 4.49 | 1.11 | - | 1.21 |
| 2 | [2] | 20.50 | 62.2 | 3.48 | 5.32 | 2.73 | - | 1.02 | 0.72 |
| 3 | [24] | 31.00 | 54.90 | 1.90 | 3.40 | 5.60 | 0.98 | 1.31 | 0.79 |
| 4 | [26] | 49.06 | 32.49 | 3.45 | 8.29 | 2.16 | 1.66 | 1.57 | 0.67 |
| 5 | [27] | 39.85 | 30.84 | 2.03 | 6.34 | 2.19 | 1.93 | 1.76 | 1.13 |
| 6 | [28] | 51.80 | 22.80 | 5.60 | 13.60 | 1.40 | 0.80 | 2.60 | - |
| 7 | [29] | 51.80 | 22.81 | 5.59 | 13.58 | 1.39 | 0.79 | 2.64 | 0.69 |
| 8 | [30] | 49.97 | 18.65 | 2.30 | 8.89 | 1.37 | 2.53 | 3.35 | 0.80 |
| 9 | [31] | 29.74 | 47.22 | 3.77 | 3.17 | 1.24 | 1.83 | 0.54 | - |
| 10 | [32] | 58.55 | 11.82 | 4.64 | 10.35 | 1.52 | 0.44 | - | 0.78 |

3. Activation of Waste Concrete Powder
3.1. Mechanical Activation
3.2. Chemical Activation
3.2.1. Mono-Alkali Activation
3.2.2. Mono-Salt Activation
3.2.3. Salt–Alkali Complex Activation
3.3. Thermal Activation
3.4. WCP Activation Method Advantages, Disadvantages, and Feasibility Analysis
4. Reuse of Waste Concrete Powder in Mortar
4.1. Mechanical Properties
4.1.1. Compressive Strength
4.1.2. Flexural Strength
4.1.3. Splitting Tensile Strength
4.2. Working Performance
4.2.1. Setting Time
4.2.2. Workability
4.2.3. Dry Shrinkage
5. Conclusions
- (1)
- Mechanical activation increases the fineness of WCP particles to effectively activate its activity. This method is simple and low-cost, but a ball milling time that is too long will lead to particles that are too fine. In addition, the activity is reduced, and the method has a limited effect on WCP activity stimulation.
- (2)
- Chemical activation mainly provides an alkaline environment or reactive ions to stimulate the potential activity of WCP. Chemical activation has a significant excitation effect, but due to the strong fluctuation of the composition of WCP, different chemical excitants have different optimal doses. The practical application of chemical activation has a certain inconvenience, and it is more expensive.
- (3)
- Thermal activation mainly changes the composition of the original material structure so that the WCP has the ability for rehydration gelation. However, due to the wide range of WCP sources, the chemical composition of WCPs from different sources varies somewhat, leading to some uncertainties in their thermal activation effects. Despite the significant excitation effect of this method, its energy consumption is high.
- (4)
- Most researchers have used WCP to manufacture mortar and concrete. However, the cementitious properties of WCP after active excitation are also inferior to those of cement. Therefore, the performance of its products is not satisfactory. Activated WCP can be compounded with other active powders.
- (1)
- Because the different sources of WCP have a greater impact on the performance of WCP products, to make WCP widely used, it is necessary to promote the establishment of a waste concrete inspection and classification system.
- (2)
- More research on single exciters—and less research on compound exciters—is needed to find efficient and inexpensive exciters in order to make chemical excitation in actual engineering applications more widely used.
- (3)
- The activation effect of thermal activation is obvious and this method is simple to operate. Thermal activation can be studied in depth to determine the optimal thermal activation temperature for different sources of WCP and to establish a reliable thermal activation standard.
- (4)
- At present, most of the studies have focused on the mechanical properties and working performance of WCP products, but the durability of WCP products has been less studied and should be studied in depth.
Author Contributions
Funding
Institutional Review Board Statement
Informed Consent Statement
Data Availability Statement
Acknowledgments
Conflicts of Interest
References
- Aslam, M.S.; Huang, B.; Cui, L. Review of construction and demolition waste management in China and USA. J. Environ. Manag. 2020, 264, 110445. [Google Scholar]
- Zhang, B.; Zhang, S.; Huang, B.; Yang, Q.; Li, J. Comparison of mechanical, chemical, and thermal activation methods on the utilisation of recycled concrete powder from construction and demolition waste. J. Build. Eng. 2022, 61, 105295. [Google Scholar]
- Akhtar, A.; Sarmah, A.K. Construction and demolition waste generation and properties of recycled aggregate concrete: A global perspective. J. Clean. Prod. 2018, 186, 262–281. [Google Scholar]
- Chang, Q.W.; Jian, Z.X.; Wen, G.L. Unloading and reloading stress-strain relationship of recycled aggregate concrete reinforced with steel polypropylene fibers under uniaxial low-cycle loadings. Cem. Concr. Compos. 2022, 131, 104597. [Google Scholar]
- Wang, D.; Shi, C.; Farzadnia, N. A review on use of limestone powder in cement-based materials: Mechanism, hydration and microstructures. Constr. Build. Mater. 2018, 181, 659–672. [Google Scholar]
- Feng, J.; Yang, F.; Qian, S. Improving the bond between polypropylene fiber and cement matrix by nano calcium carbonate modification. Constr. Build. Mater. 2021, 269, 121249. [Google Scholar]
- Cui, K.; Chang, J. Hydration, reinforcing mechanism, and macro performance of multi-layer graphene-modified cement composites. J. Build. Eng. 2022, 57, 104880. [Google Scholar]
- Cui, K.; Liang, K.; Chang, J. Investigation of the macro performance, mechanism, and durability of multiscale steel fiber reinforced low-carbon ecological UHPC. Constr. Build. Mater. 2022, 327, 126921. [Google Scholar]
- Kang, X.M.; Ying, L.I.; Fan, Y.H. Effect of Different Excitation Methods on the Properties of Recycled Concrete Powder. Bull. Chin. Ceram. Soc. 2019, 38, 1135–1139. [Google Scholar]
- Li, H.; Dong, L.; Jiang, Z. Study on utilization of red brick waste powder in the production of cement-based red decorative plaster for walls. J. Clean. Prod. 2016, 133, 1017–1026. [Google Scholar]
- Sui, Y.; Ou, C.; Liu, S.; Zhang, J.; Tian, Q. Study on Properties of Waste Concrete Powder by Thermal Treatment and Application in Mortar. Appl. Sci. 2020, 10, 998. [Google Scholar]
- Li, Q.; Zhou, X.J.; Sun, K.W. Analysis of the Rate Constant for Hydration Kinetics of the Cement and Ash Fly in the Solidified Residues System Based on the Measurement of Ca(OH)2. Appl. Mech. Mater. 2013, 380–384, 4395–4399. [Google Scholar]
- Yang, L.; Pan, G.H. Study on the Preparation of Recycled Concrete Micronized Powder for the Preparation of Recycled Cementitious Materials. Master’s Thesis, Southeast University, Nanjing China, 2016. [Google Scholar]
- Deng, X.; Guo, H.; Tan, H. An accelerator prepared from waste concrete recycled powder and its effect on hydration of cement-based materials. Constr. Build. Mater. 2021, 296, 123767. [Google Scholar]
- Cheng, X.F.; Lin, Z.C. Effect of Accelerated Carbonation Hardening Cement Paste Powder on the Strength and Microstructure of Net Paste. Master’s Thesis, Hunan University, Changsha, China, 2019. [Google Scholar]
- Chen, X.; Li, Y.; Zhu, Z. Evaluation of waste concrete recycled powder (WCRP) on the preparation of low-exothermic cement. J. Build. Eng. 2022, 53, 104511. [Google Scholar]
- Ma, Z.; Liu, M.; Duan, Z.; Liang, C.; Wu, H. Effects of active waste powder obtained from C&D waste on the microproperties and water permeability of concrete. J. Clean. Prod. 2020, 257, 120518. [Google Scholar]
- Xiao, J.; Ma, Z.; Sui, T.; Akbarnezhad, A.; Duan, Z. Mechanical properties of concrete mixed with recycled powder produced from construction and demolition waste. J. Clean. Prod. 2018, 188, 720–731. [Google Scholar]
- Jian, Z.X.; Lucen, H.; Wan, Z.C. Influence of recycled powder derived from waste concrete on mechanical and thermal properties of foam concrete. J. Build. Eng. 2022, 61, 105203. [Google Scholar]
- Erfan, N.; Hassan, A. Using Recycled Concrete Powder, Waste Glass Powder, and Plastic Powder to Improve the Mechanical Properties of Compacted Concrete: Cement Elimination Approach. Adv. Civ. Eng. 2022, 2022, 9481466. [Google Scholar]
- Oliveira, T.C.; Dezen, B.G.; Possan, E. Use of concrete fine fraction waste as a replacement of Portland cement. J. Clean. Prod. 2020, 273, 123126. [Google Scholar]
- Meng, T.; Hong, Y.; Ying, K. Comparison of technical properties of cement pastes with different activated recycled powder from construction and demolition waste. Cem. Concr. Compos. 2021, 120, 104065. [Google Scholar]
- Fan, Y.H.; Li, Y. Research on Carbonation Resistance and Seepage Resistance of Recycled Micronized Concrete. Master’s Thesis, Qinghai University, Xining, China, 2020. [Google Scholar]
- Wu, H.; Liang, C.; Wang, C. Properties of green mortar blended with waste concrete-brick powder at various components, replacement ratios and particle sizes. Constr. Build. Mater. 2022, 342, 128050. [Google Scholar] [CrossRef]
- Chen, X.; Li, Y.; Bai, H.; Ma, L. Utilization of Recycled Concrete Powder in Cement Composite: Strength, Microstructure and Hydration Characteristics. J. Renew. Mater. 2021, 9, 2189. [Google Scholar] [CrossRef]
- Kaliyavaradhan, S.K.; Li, L.; Ling, T.C. Response surface methodology for the optimization of CO2 uptake using waste concrete powder. Constr. Build. Mater. 2022, 340, 127758. [Google Scholar] [CrossRef]
- Zhang, X.; Qian, C.; Xie, D. Preparation of artificial aggregate using waste concrete powder and CO2 fixed by microorganisms. Clean Technol. Environ. Policy 2022, 24, 1453–1467. [Google Scholar] [CrossRef]
- Jiang, Y.; Ling, T.C.; Shi, M. Strength enhancement of artificial aggregate prepared with waste concrete powder and its impact on concrete properties—ScienceDirect. J. Clean. Prod. 2020, 257, 120515. [Google Scholar] [CrossRef]
- Shi, M.; Ling, T.C.; Gan, B. Turning concrete waste powder into carbonated artificial aggregates. Constr. Build. Mater. 2019, 199, 178–184. [Google Scholar] [CrossRef]
- Laura, C.; Manuel, M.; Jaime, M. Behaviour and Properties of Eco-Cement Pastes Elaborated with Recycled Concrete Powder from Construction and Demolition Wastes. Materials 2021, 14, 1299. [Google Scholar]
- Yang, H.; Che, Y. Influences of Waste Concrete Powder on the Strength Development and Hydration Products of Mortar Containing Fly Ash. Mater. Sci. 2022, 28, 106–112. [Google Scholar] [CrossRef]
- Yong, J.K.; Yun, W.C. Utilization of waste concrete powder as a substitution material for cement. Constr. Build. Mater. 2012, 30, 500–504. [Google Scholar]
- Li, Q.; Zhang, C.H.; Sun, K.W. Study on the activity of different exciters to excite recycled micronized construction waste. Silic. Bull. 2016, 35, 2187–2192, 2197. [Google Scholar]
- Tian, Q.; Qu, M.J.; Zhang, M. Research progress on the activation method of recycled micronized powder from waste concrete. Silic. Bull. 2020, 39, 2476–2485. [Google Scholar]
- Yu, X.X.; Li, R.Y.; Xiang, D. Effect of mechanical force grinding on the properties of recycled powder. J. Synth. Cryst. 2017, 4, 688–692. [Google Scholar]
- Li, Y.; Kang, X. Effect of Physical Excitation on the Properties of Recycled Fine Powder. IOP Conf. Ser.: Earth Environ. Sci. 2019, 219, 012025. [Google Scholar] [CrossRef]
- Lou, C.; Zheng, C.; Li, X. Effect of recycled micronized powder activity on the performance of cementitious sand. Ind. Constr. 2019, 49, 151–155, 199. [Google Scholar]
- Li, S.J.; Zhao, X.L.; Li, Q.Y. Experimental study on the basic properties and activity of recycled micronized powder. Silic. Bull. 2019, 38, 3314–3319, 3325. [Google Scholar]
- Prabhat, V.; Yanchen, O.; Hyeong-Ki, K.; Sukhoon, P. Effect of thermo-mechanical activation of waste concrete powder (WCP) on the characteristics of cement mixtures. Constr. Build. Mater. 2023, 362. in press. [Google Scholar]
- Duan, Z.; Singh, A.; Xiao, J. Combined use of recycled powder and recycled coarse aggregate derived from construction and demolition waste in self-compacting concrete. Constr. Build. Mater. 2020, 254, 119323. [Google Scholar] [CrossRef]
- Zhang, S.C.; Geng, O.; Zhao, G.Y. Compressive strength and active provocation of recycled micro-powder concrete. Concrete 2015, 11, 49–52. [Google Scholar]
- Douglas, E.; Brandstetr, J. A preliminary study on the alkali activation of ground granulated blast-furnace slag. Cem. Concr. Res. 1990, 20, 746–756. [Google Scholar] [CrossRef]
- Liu, Y.; Lu, C.; Zhang, H. Experimental study on chemical activation of recycled powder as a cementitious material in mine paste backfilling. Environ. Eng. Res. 2016, 21, 341–349. [Google Scholar] [CrossRef]
- Liu, Y.; Lu, C.; Zhang, H. Experimental study on the gelling properties of recycled construction waste micronized powder. China Powder Technol. 2015, 5, 33–36. [Google Scholar]
- Topič, J.; Prošek, Z. Properties and microstructure of cement paste including recycled concrete powder. Acta Polytech. 2017, 57, 49–57. [Google Scholar] [CrossRef]
- Wen, Z.Y. The chemistry of alkali-silicate aggregates reaction. J. Silic. 1994, 22, 596–603. [Google Scholar]
- Dong, Z.X.; Ai, H.M.; Wang, J.L. Preparation of Waste Concrete Geopolymer-Based Recycled Materials by Alkali Excitation. Master’s Thesis, Dalian University of Technology, Dalian, China, 2018. [Google Scholar]
- Xu, R.L. Activation of Construction Waste Powder and Its Application. Master’s Thesis, Wuhan University of Technology, Wuhan, China, 2011. [Google Scholar]
- Li, Q.; Xu, Q.; Ai, W. Study on Present Situation of Active Stimulation of Recycled Fine Powder. IOP Conf. Ser. Earth Environ. Sci. 2020, 512, 012056. [Google Scholar] [CrossRef]
- Yan, Y.R.; Fang, Y.H.; Gong, Y.F. Strength and microstructure of alkali-excited recycled cement mortar powder cementitious materials. Mater. Guide 2013, 27, 117–120. [Google Scholar]
- Jin, B.; Xu, Z.; Yang, L.B. Active excitation of construction waste and preparation of steamed bricks. Environ. Eng. 2019, 7, 190–193. [Google Scholar]
- Fang, J.L.; Lu, W.X.; Xu, C.X. Research progress of active excitation technology and mechanism of fly ash. J. Shanghai Univ. Nat. Sci. Ed. 2002, 8, 255–260. [Google Scholar]
- Aydın, S. A ternary optimisation of mineral additives of alkali activated cement mortars. Constr. Build. Mater. 2013, 43, 131–138. [Google Scholar] [CrossRef]
- Deng, Y. Study on the cementing properties of waste structural concrete powder. Concr. Cem. Prod. 2011, 10, 59–62. [Google Scholar]
- Sajedi, F.; Razak, H.A. Effects of thermal and mechanical activation methods on compressive strength of ordinary Portland cement-slag mortar. Mater. Des. 2011, 32, 984–995. [Google Scholar] [CrossRef]
- Duan, Z.; Hou, S.; Xiao, J. Study on the essential properties of recycled powders from construction and demolition waste. J. Clean. Prod. 2020, 253, 119865. [Google Scholar] [CrossRef]
- Zheng, X.H.; He, Y.J.; Lv, L. Structural Changes and Rehydration Properties of Hydrated Calcium Silicate under Thermal Conditions. Master’s Thesis, Wuhan University of Technology, Wuhan, China, 2018. [Google Scholar]
- Peng, G.F.; Huang, Z.S. Change in microstructure of hardened cement paste subjected to elevated temperatures. Constr. Build. Mater. 2008, 22, 593–599. [Google Scholar] [CrossRef]
- Rodriguez, E.T.; Garbev, K.; Merz, D. Thermal stability of CSH phases and applicability of Richardson and Groves’ and Richardson C-(A)-SH (I) models to synthetic CSH. Cem. Concr. Res. 2017, 93, 45–56. [Google Scholar] [CrossRef]
- Yu, S.M. Study on the Dehydration Phase of Hydrated Calcium Silicate and Its Rehydration Characteristics. Master’s Thesis, Wuhan University of Technology, Wuhan, China, 2012. [Google Scholar]
- Tefa, L.; Bassani, M.; Coppola, B.; Palmero, P. Strength development and environmental assessment of alkali-activated construction and demolition waste fines as stabilizer for recycled road materials. Constr. Build. Mater. 2021, 289, 123017. [Google Scholar] [CrossRef]
- Florea, M.V.A.; Ning, Z.; Brouwers, H.J.H. Activation of liberated concrete fines and their application in mortars. Constr. Build. Mater. 2014, 50, 1–12. [Google Scholar] [CrossRef]
- He, J.H. Research on the Performance and Utilization of Mortar Fraction in Waste Concrete. Master’s Thesis, Guangdong University of Technology, Guangzhou, China, 2015. [Google Scholar]
- Ke, G.J.; Yang, X.F.; Peng, H. Progress of chemically excited fly ash activity mechanism. J. Coal 2005, 30, 366–370. [Google Scholar]
- Zhang, P.; Gulong, L.; Wang, Q. Study on the method of stimulating the activity of regenerated micronized powder. Concr. Cem. Prod. 2019, 32, 90–93. [Google Scholar]
- Rocha, S. Construction and demolition waste as partial cement replacement. Adv. Cem. Res. 2018, 31, 411–422. [Google Scholar] [CrossRef]
- Bordy, A.; Younsi, A.; Aggoun, S. Cement substitution by a recycled cement paste fine: Role of the residual anhydrous clinker. Constr. Build. Mater. 2017, 132, 1–8. [Google Scholar] [CrossRef]
- Zhu, P.; Mao, X.; Qu, W. Investigation of using recycled powder from waste of clay bricks and cement solids in reactive powder concrete. Constr. Build. Mater. 2016, 113, 246–254. [Google Scholar] [CrossRef]
- Bella, U.; Róbert, G.; István, K. Effect of different additives on the compressive strength of concrete powder based geopolymer. J. Phys. Conf. Ser. 2022, 2315, 012006. [Google Scholar]
- Li, X.L.; Wu, R.; Guo, Q. Experimental Study on the Axial Compression Mechanical Property of recycled micro-powder Concrete. J. Shandong Jianzhu Univ. 2021, 36, 11–19. [Google Scholar]
- Zhao, G.Y. Basic Properties of Recycled Concrete Micronized Powder and Its Activation Technology. Master’s Thesis, China University of Mining and Technology, Beijing, China, 2014. [Google Scholar]
- Zhou, W.J.; Ji, Z.Y.; Zhao, L.E. Basic material properties of recycled construction waste micronized powder and its effect on the performance of cementitious sand. Concr. Cem. Prod. 2019, 3, 93–96. [Google Scholar]
- Zhao, L.; Zhou, W.J.; Duan, P.X. Research on the Basic Properties and Application of Recycled Construction Waste Micronized Powder. Master’s Thesis, Beijing University of Architecture, Beijing, China, 2019. [Google Scholar]
- Ma, X.; Wang, Z. Effect of Ground Waste Concrete Powder on Cement Properties. Adv. Mater. Sci. Eng. 2013, 2013, 918294. [Google Scholar] [CrossRef]
- Kang, X.M.; Li, Y. Study on the Effect of Recycled Micronized Particle Grade on the Mechanical Properties and Microstructure of Recycled Mortar. Master’s Thesis, Qinghai University, Xining, China, 2019. [Google Scholar]
- Dong, Y.; He, W.H.; Li, H.J. Test Study on the Recycled Concrete Powder and its Application. Adv. Mater. Res. 2011, 1275, 261–263. [Google Scholar] [CrossRef]
- Liu, C.; Hu, T.; Liu, H. Effect of recycled composite micronized powder on the mechanical properties and microstructure of concrete. J. Constr. Mater. 2021, 24, 726–735. [Google Scholar]
- Kim, Y.J.; Choi, Y.W.; Kim, S.C.; Kim, Y.J. A study on the application of waste concrete powder as a material for construction. J. Korean Recycl. Constr. Resour. Inst. 2012, 7, 88–94. [Google Scholar]
- Khitab, A.; Kırgız, M.S.; Nehdi, M.L.; Mirza, J.; de Sousa Galdino, A.G.; Pour, A.K. Mechanical, thermal, durability and microstructural behavior of hybrid waste-modified green reactive powder concrete. Constr. Build. Mater. 2022, 344, 128184. [Google Scholar] [CrossRef]
- Yong, C.J.; Wen, H.J.; Wei, L. Performance of Building Solid Waste Powder in Cement Cementitious Material: A Review. Materials 2022, 15, 5408. [Google Scholar]
- Larsen, O.; Samchenko, S.; Naruts, V. Blended binder based on Portland cement and recycled concrete powder. Mag. Civ. Eng. 2022, 113, 11306. [Google Scholar]
- Liu, L.; Liu, S.Y.; Li, T.Y. Effect of regenerated micronized powder on early performance and rheological properties of cement slurry. Concrete 2021, 7, 114–117. [Google Scholar]
- Zhu, Y.L.; Zou, W.X.; Yin, M. Comparative analysis of the effects of recycled micronized powder and slag on cement properties. J. Guangxi Univ. Nat. Sci. Ed. 2016, 41, 1214–1219. [Google Scholar]
- Ferreira, R.L.S.; Anjos, M.A.S.; Nóbrega, A.K.C. The role of powder content of the recycled aggregates of CDW in the behaviour of rendering mortars. Constr. Build. Mater. 2019, 208, 601–612. [Google Scholar] [CrossRef]
- Chen, X.; Li, Y.; Zhuang, P.Y. Experimental study on the cementing properties of recycled micronized powder from waste concrete. Concr. Cem. Prod. 2019, 11, 96–100. [Google Scholar]
- Guo, Y.H.; Zou, D.J. Research on the Graded Resource Utilization Method of Waste Aerated Concrete. Master’s Thesis, Harbin Institute of Technology, Harbin, China, 2021. [Google Scholar]
- Zhang, L.J. Hydration properties of recycled micronized powder-cement composite cementitious materials. Concr. Cem. Prod. 2013, 6, 14–17. [Google Scholar]
- Xie, H.Z.; Li, G.; Liu, F. Study on the effect of recycled micronized powder on cementitious sand and concrete properties. In Proceedings of the Twenty-First National Symposium on Modern Structural Engineering, Shijiazhuang, China; 2021; pp. 356–361. [Google Scholar]
- Hui, X.W.; Chang, Q.W.; Zhi, M. Drying shrinkage, mechanical and transport properties of sustainable mortar with both recycled aggregate and powder from concrete waste. J. Build. Eng. 2022, 49, 104048. [Google Scholar]
- Zhang, M.K.; Zhang, C. Experimental study on the effect of waste concrete powder on cementitious sand related properties. Cem. Eng. 2016, 4, 28–29, 73. [Google Scholar]
- Yuan, J.; Bo, L.; Shu, L. Role of recycled concrete powder as sand replacement in the properties of cement mortar. J. Clean. Prod. 2022, 371, 133424. [Google Scholar]
- Topič, J.; Prošek, Z.; Plachý, T. Influence of increasing amount of recycled concrete powder on mechanical properties of cement paste. IOP Conf. Ser. Mater. Sci. Eng. 2017, 236, 012094. [Google Scholar] [CrossRef]










| Activator | Mechanical Properties of Mortar | Source |
|---|---|---|
| CaO | Compressive strength: Pre-strength and post-strength are improved; Flexural strength: Strength decreases in the early stage, strength increases in the later stage. | [15,27,33] |
| CaSO4 | Compressive strength: Late strength increase; Flexural strength: Strength decreases in the early stage, strength increases in the later stage. | [15,24,39] |
| Ca(OH)2 + CaSO4 | Compressive strength: Strength decreases in the first period, strength increases in the later period; Flexural strength: Strength decreases in the early stage, strength increases in the later stage. | [15,31,39] |
| Hydration Products | Decomposition Temperature | Decomposition Products | Source |
|---|---|---|---|
| C-S-H | 600 °C | β-C2S, C3S | [41,55,64] |
| Ca(OH)2 | 600 °C | CaO | [41,55,64] |
| AFt | 150 °C | Al2O3, CaO | [51,55,56] |
| Activation Method | Advantages | Disadvantages | Feasibility Analysis | Source |
|---|---|---|---|---|
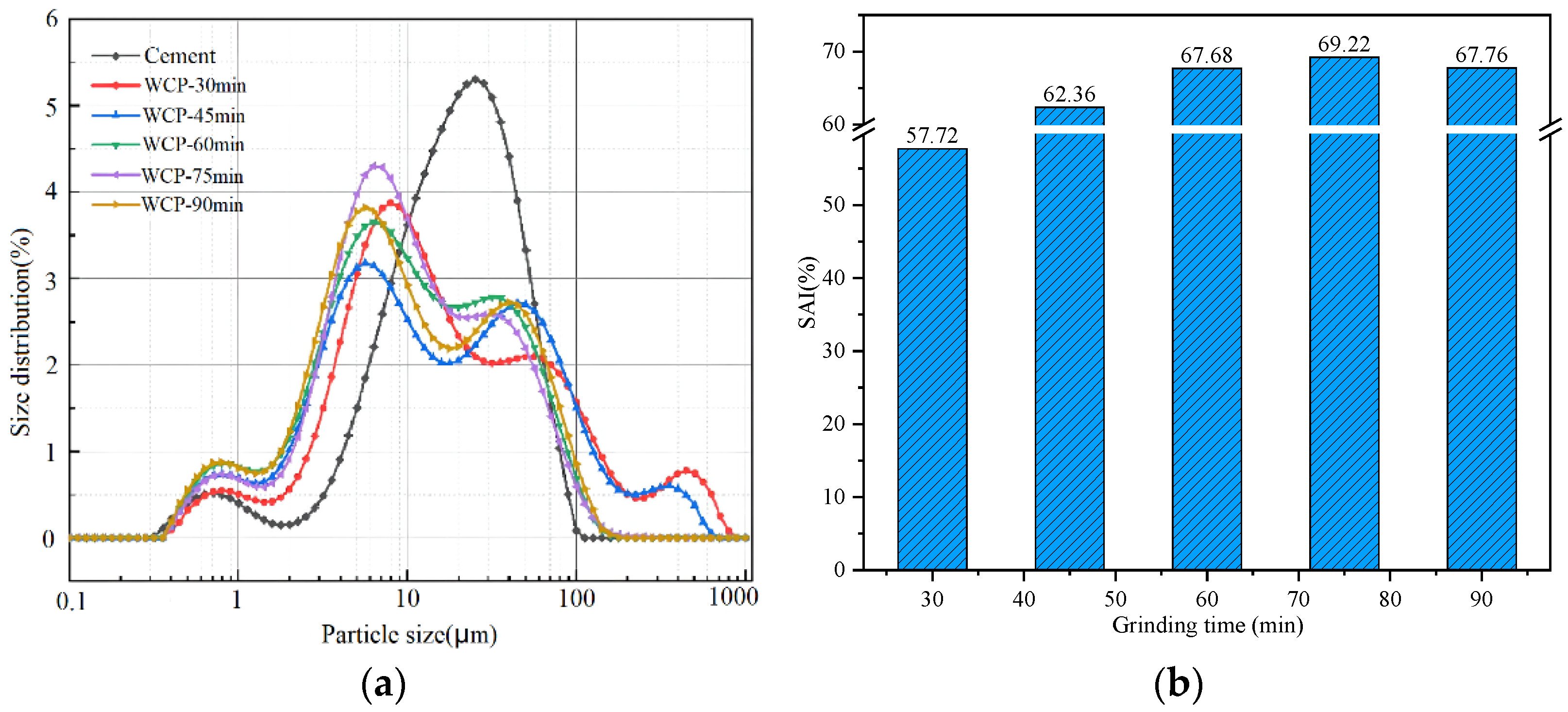
| Mechanical activation | Mechanical excitation can increase the particle fineness of WCP, which can effectively excite its activity, and the method is simple to operate, widely used in ball mills, and has low activation costs. | The long ball milling time will make the WCP particles too fine, and its activity will be reduced instead, so the method has limited improvement of the WCP activity index; the highest is only 69.22. | The method requires ball milling with a ball mill, but the power consumption is large, about 8 degrees/hour per ton of WCP processed, but the method is cheap, so its use is the most widespread. | [37,48,53] |
| Chemical activation | Chemical activation can provide an alkaline environment or reactive ions, and this method excites significantly, with a maximum activity index of 80.2 after WCP activation. | The method will lead to a large difference in the activation effect due to different sources of WCP, and different chemical excitants have different optimal dosing, which has certain inconvenience in practical application, and the excitant is more expensive. | The method requires the addition of an exciter, which is more expensive, so the method is currently limited to the experimental stage, and an efficient and inexpensive activator needs to be found. | [12,46,61] |
| Thermal activation | Thermal activation gives WCP the ability to rehydrate and gel by changing the compositional structure of the original material. This method has the best excitation effect and is simple to operate, with the highest activity index of 80.47 after WCP activation. | Due to the wide range of WCP sources, the process, temperature, and heating rate during thermal activation have some uncertainty regarding their activation effects on WCP from different sources, and the method has high energy consumption. | The method uses a heating furnace for 600–800 °C high-temperature heating; although the power consumption is high, the method has the best activation effect, and the heating temperature is much lower than the temperature of calcined cement, so the method has a certain market. | [60,63,65] |
Disclaimer/Publisher’s Note: The statements, opinions and data contained in all publications are solely those of the individual author(s) and contributor(s) and not of MDPI and/or the editor(s). MDPI and/or the editor(s) disclaim responsibility for any injury to people or property resulting from any ideas, methods, instructions or products referred to in the content. |
© 2023 by the authors. Licensee MDPI, Basel, Switzerland. This article is an open access article distributed under the terms and conditions of the Creative Commons Attribution (CC BY) license (https://creativecommons.org/licenses/by/4.0/).
Share and Cite
Bu, C.; Tan, B.; Wu, Q.; Qiao, Y.; Sun, Y.; Yu, L.; Yang, Q. Activation Method and Reuse of Waste Concrete Powder—A Review. Sustainability 2023, 15, 5451. https://doi.org/10.3390/su15065451
Bu C, Tan B, Wu Q, Qiao Y, Sun Y, Yu L, Yang Q. Activation Method and Reuse of Waste Concrete Powder—A Review. Sustainability. 2023; 15(6):5451. https://doi.org/10.3390/su15065451
Chicago/Turabian StyleBu, Changming, Baolin Tan, Qiutong Wu, Yingying Qiao, Yi Sun, Linwen Yu, and Qian Yang. 2023. "Activation Method and Reuse of Waste Concrete Powder—A Review" Sustainability 15, no. 6: 5451. https://doi.org/10.3390/su15065451
APA StyleBu, C., Tan, B., Wu, Q., Qiao, Y., Sun, Y., Yu, L., & Yang, Q. (2023). Activation Method and Reuse of Waste Concrete Powder—A Review. Sustainability, 15(6), 5451. https://doi.org/10.3390/su15065451

