Sustainable Development of State-Owned Enterprises: Research on the Management Transformation Path of Mixed-Ownership Companies from the Perspective of Shareholders Relationship
Abstract
1. Introduction
- (1)
- Capturing the fundamental contradiction between SS and PS, two important interest subjects in the management transformation process of mixed-ownership companies, the evolutionary stability strategies and factors affecting their action strategies are analyzed to provide a reliable basis for choosing the transformation path.
- (2)
- This paper explores the optimal shareholding ratio of SS by establishing the relationship between the shareholding ratio and the income and expenditure of the two types of shareholders, and it analyzes the impact of the shareholding ratio on the action strategies of both parties, which provides a new idea and method for determining the optimal shareholding ratio of SS in mixed-ownership companies.
- (3)
- This paper investigates the impact of heterogeneous shareholder synergy on the management transformation of mixed-ownership companies from a symbiotic relationship between the two types of shareholders. It offers a new perspective for determining the status and role of PS and SS in mixed-ownership companies.
2. Literature Review
2.1. Research on Mixed-Ownership Reform of SOEs
2.2. Research of the Characteristics, Strategies, and Relationships of Heterogeneous Shareholders
3. Model Background and Building
3.1. Model Background
3.2. Model Building
3.2.1. Parameters Setting
3.2.2. Assumptions
4. Stability Analysis of Game Model
4.1. Analysis on the Evolution of PS Strategies
4.2. Analysis on the Evolution of SS Strategies
4.3. Stability Analysis of Evolutionarily Equilibrium Points
4.4. Analysis of Influencing Factors of the Ideal ESS
5. Numerical Stimulation Analysis
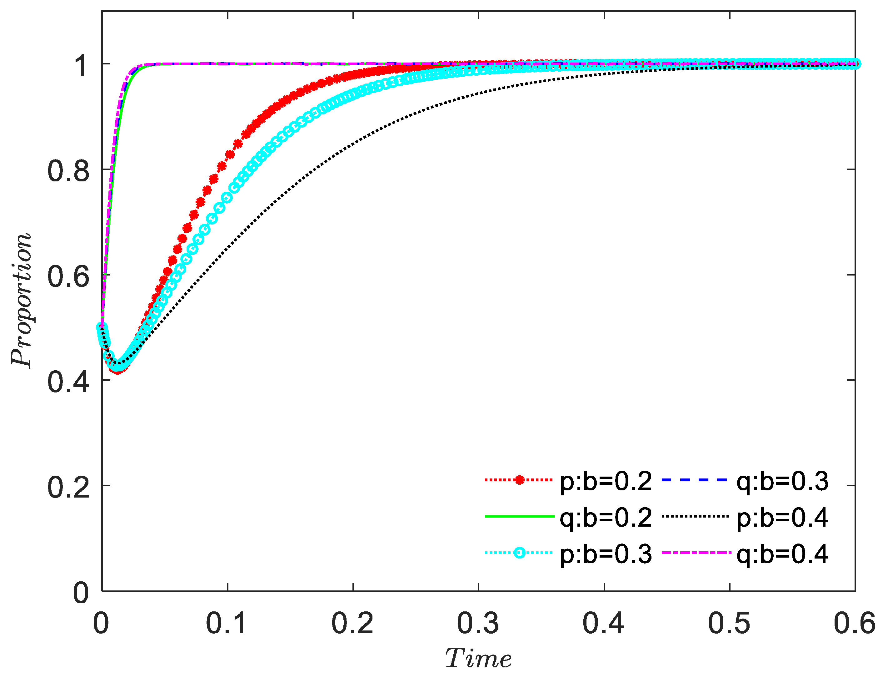
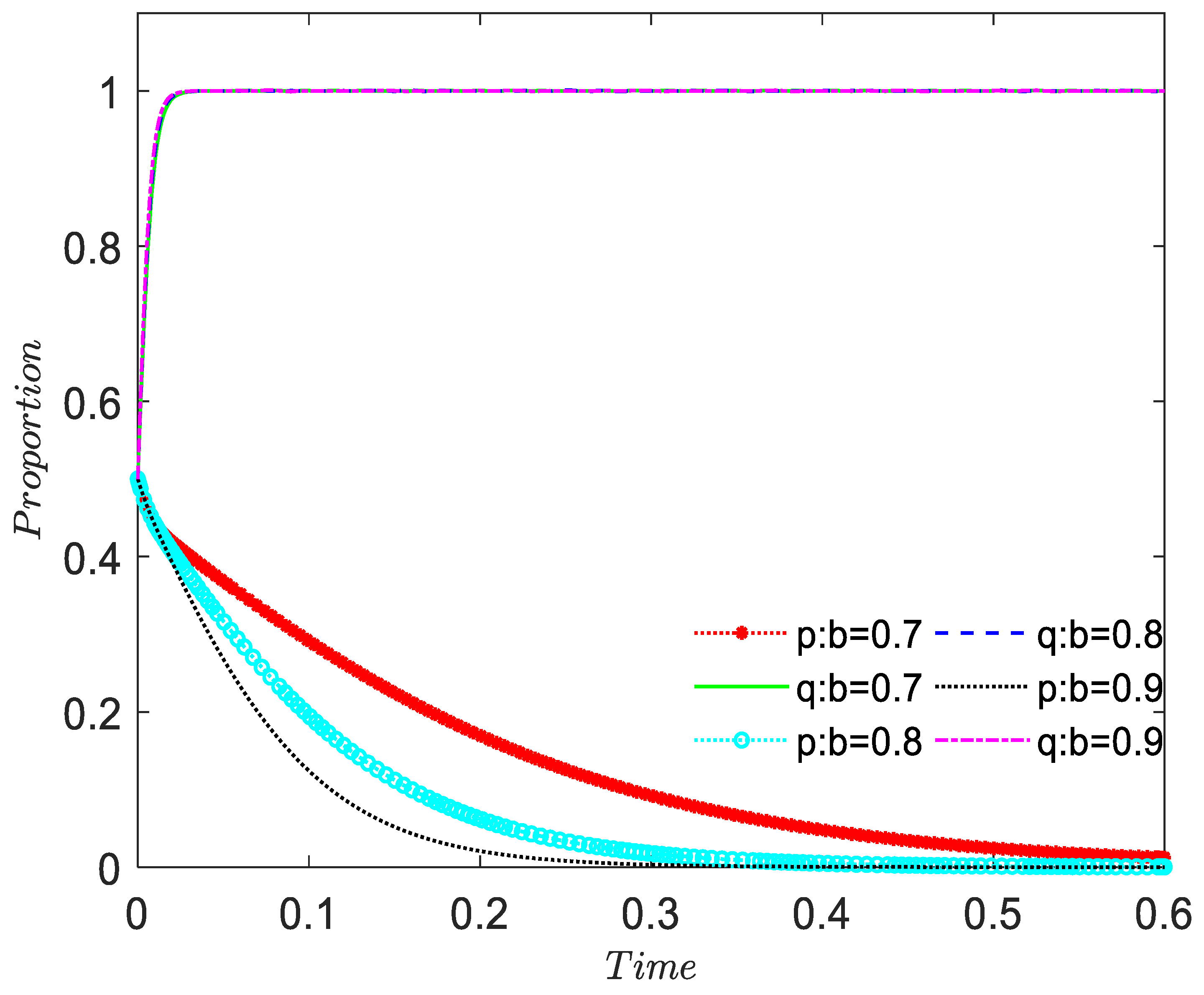
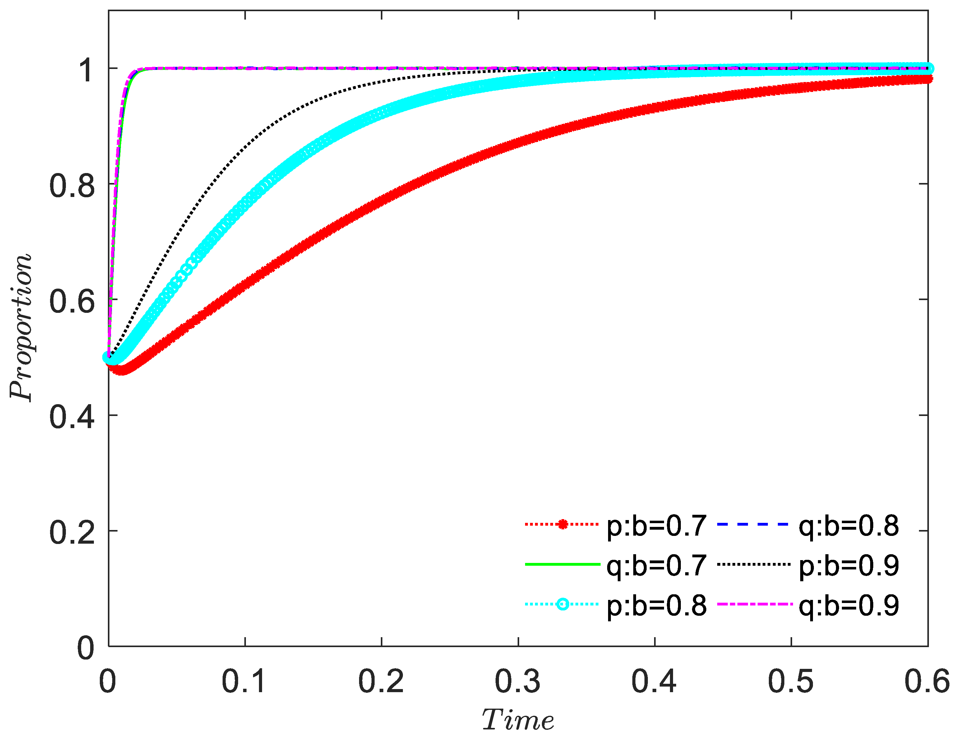
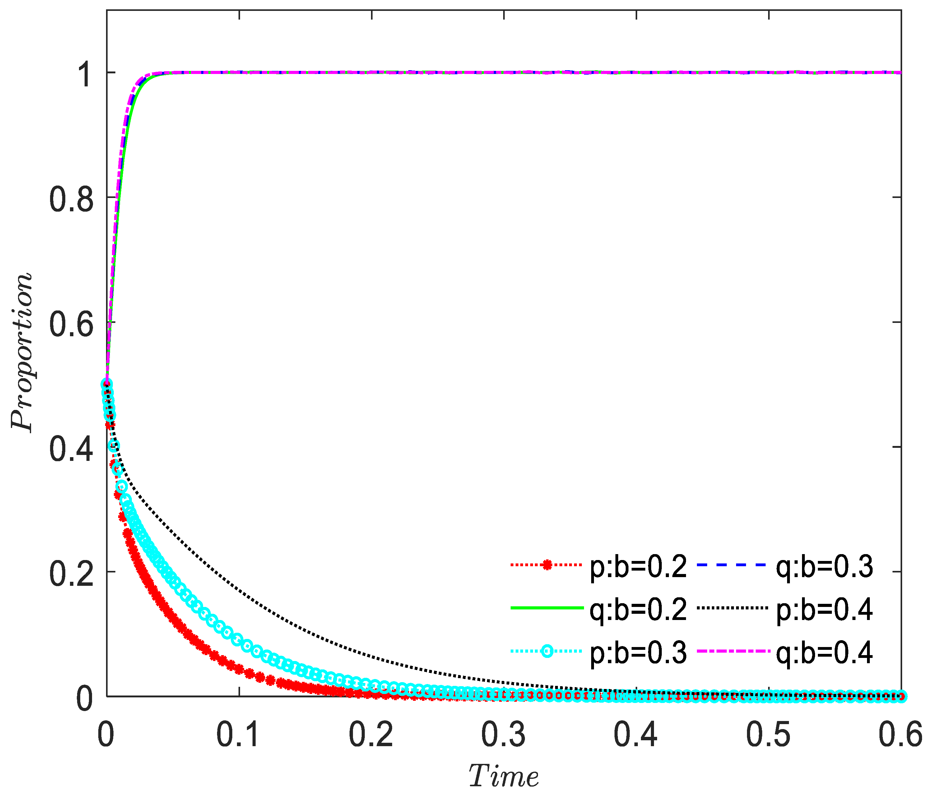
5.1. The Test of Evolutionary Stability of the System
5.2. The Influence of SS’ Shareholding on Evolutionary Equilibrium
6. Discussion and Suggestions
6.1. Discussion
- (1)
- Discussion on the results of the evolution of the strategies of PS and SS
- (2)
- Discussion of the evolutionary results of the game system
- (3)
- Analysis of factors influencing the ideal equilibrium strategy
6.2. Suggestions
- (1)
- Mixed-ownership should be implemented as the classified reform
- (2)
- Adhere to the principle of priority of PS
- (3)
- Separation of control and ownership, giving private shareholders greater control
- (4)
- Providing policy support for change
- (5)
- Reasonable determination of the shareholding ratio of SS
Author Contributions
Funding
Institutional Review Board Statement
Informed Consent Statement
Data Availability Statement
Conflicts of Interest
References
- Nasrollahi, Z.; Hashemi, M.; Bameri, S. Environmental pollution, economic growth, population, industrialization, and technology in weak and strong sustainability: Using STIRPAT model. Environ. Dev. Sustain. 2020, 22, 1105–1122. [Google Scholar] [CrossRef]
- Taghvaee, V.M.; Nodehi, M.; Arani, A.A. Sustainability spillover effects of social, environment and economy: Mapping global sustainable development in a systematic analysis. Asia-Pac. J. Reg. Sci. 2022, 6, 1–25. [Google Scholar] [CrossRef]
- Liu, Y.Y. Exploring new ideas of governance transformation and control mode of large state-owned enterprise groups. Macroecon. Res. 2015, 37, 63–69. [Google Scholar]
- Li, W.A. An examination of corporate governance systems in planned economies (In Japanese). Mita Busin. Res. 1996, 39, 125–141. [Google Scholar]
- Liu, X.X. The impact of ownership structure of Chinese industrial enterprises on efficiency differences—An empirical analysis of the 1995 national industrial enterprise census data. Econ. Res. 2000, 18, 17–25+78–79. [Google Scholar]
- Wu, Y.B. Research on double efficiency loss of state-owned enterprises. Econ. Res. 2012, 47, 15–27. [Google Scholar]
- Li, W.A.; Hao, C. The transformation of corporate governance in China: From administrative to economic. Capit. Market 2009, 21, 112–114. [Google Scholar]
- Li, W.A.; Qiu, A.C. The transformation path and quantitative system of corporate governance of state-owned enterprises. Sci. Technol. Manag. 2010, 9, 168–171. [Google Scholar]
- Li, W.A.; Wang, L.X.; Meng, Q.K. Administrative economy-based governance of Chinese state-owned enterprises: Models and prospects. Financ. Manag. Res. 2019, 14, 7–12. [Google Scholar]
- Huang, S.J.; Yu, J. Governance transformation of Chinese state-owned enterprises. Econ. Manag. 2008, 10, 16–21. [Google Scholar]
- Wang, C. Reflections on building dynamic change development capabilities in state-owned enterprises. Contemp. Econ. 2016, 32, 42–43. [Google Scholar]
- Zhao, B.B.; Lian, R.R.; Cai, H. Mixed ownership reform, government’s willingness to decentralize and sustainable development of state-owned enterprises. Econ. Manag. 2020, 34, 71–78. [Google Scholar]
- Li, Z.X. Management for sustainable growth (longevity) of enterprises. Econ. Theory Econ. Manag. 2002, 22, 54–58. [Google Scholar]
- Liu, L.G. Research on sustainable development model of enterprises. J. Liaoning Univ. 2000, 42, 12–15. [Google Scholar]
- Li, J.B.; Wang, G.Y.; Li, S.Q.; Yin, X.L. Behavioral game between owned and non-owned capital in mixed-ownership reform-evidence from laboratory experiments. Chin. Ind. Econ. 2016, 33, 109–126. [Google Scholar]
- Liu, H.M.; Qi, Y.; Jie, X.Q. Equity and control allocation: From the logic of reciprocity to non-reciprocity-an empirical study based on centrally owned mixed-ownership listed companies. Eco. Res. 2018, 53, 175–189. [Google Scholar]
- Lv, H.L.; Li, W.L. Are multiple large shareholders collusive?—Based on the perspective of inefficient investment in family firms. Manag. Rev. 2015, 27, 107–117+191. [Google Scholar]
- Yin, Z.J.; Yang, X.G.; Huang, J.H. Major shareholder-led asset restructuring, corporate efficiency and benefit encroachment: A study based on the case of restructuring-type overall listing in China. J. Manag. Sci. 2013, 22, 54–67. [Google Scholar]
- Yang, S.L.; Dong, X.L.; Liu, T.L. Shareholder ecology theory-an analysis of shareholder relationship based on ecological theory. Econ. Manag. Res. 2016, 37, 106–111. [Google Scholar]
- Li, M.M.; Li, B.C.; Hui, Y. The mechanism of forming symbiotic relationship between heterogeneous shareholders of mixed-ownership enterprises’ resources—An example of China Unicom’s mixed-ownership reform program. Economist 2019, 31, 70–79. [Google Scholar]
- Qin, J.Q.; Yang, Y.C.; Wang, L.J.; Yang, X. Entrepreneurial control, entrepreneurial capital and capital allocation efficiency-Evidence from private listed companies in China. Econ. Res. 2021, 56, 132–149. [Google Scholar]
- Wu, W.F.; Wu, C.F.; Liu, X. Government background and firm value of executives in Chinese private listed companies. Econ. Res. 2008, 54, 130–141. [Google Scholar]
- Li, Y.N. The road to China’s dual economic transformation. J. Renmin Univ. Chin. 2014, 28, 157. [Google Scholar]
- Ma, L.F.; Wang, L.L.; Zhang, Q. The optimal order of mixed-ownership: The logic of the market. Chin. Ind. Econ. 2015, 32, 5–20. [Google Scholar]
- Li, H.Y.; Shao, M. Private capital participation, policy stability and the effect of mixed-ownership reform. Economics 2019, 18, 1329–1350. [Google Scholar]
- Megginson, W.L.; Netter, J.M. From State to Market: A Survey of Empirical Studies on Privatization. J. Econ. Liter. 2001, 39, 321–389. [Google Scholar] [CrossRef]
- Chen, L.Y.; Huang, J.; Chen, X.Y. Has mixed-ownership reform increased the pay gap within state-owned enterprises. Nankai. Manag. Rev. 2021, 24, 150–162. [Google Scholar]
- Chen, L.; Wan, P.B.; Xu, Y.Y. Equity structure and innovation behavior of mixed-ownership firms-an empirical test based on natural experiment and breakpoint regression. Manag. World 2019, 35, 186–205. [Google Scholar]
- Zhang, X.C.; Su, Q.L. The impact of profit distribution between government and state-owned enterprises on excess employees of firms. World Econ. 2021, 44, 121–144. [Google Scholar]
- Boubakri, N.; Cosset, J.; Saffar, W. The Role of State and Foreign Owners in Corporate Risk-Taking: Evidence from Privatization. J. Financ. Econ. 2013, 108, 641–658. [Google Scholar] [CrossRef]
- Yi, Y.; Jiang, Y.; Liu, Z.; Xin, Q.Q. Government’s willingness to decentralize, mixed-ownership reform and corporate employee efficiency. World Econ. 2021, 44, 130–153. [Google Scholar]
- Yi, Y.; Jiang, F.; Liu, Z.; Xin, Q.Q. Government decentralization, mixed-ownership reform, and employee efficiency of enterprises. World Econ. 2021, 44, 130–153. [Google Scholar]
- Crook, T.R.; Ketchemd, D.J., Jr.; Combs, J.G. Strategic Resources and Performance: A Meta-Analysis. Strat. Manag. J. 2008, 29, 1141–1154. [Google Scholar] [CrossRef]
- Hao, Y.; Gong, L.T. Mixed state-owned and private equity participation and firm performance improvement. Econ. Res. 2017, 52, 122–135. [Google Scholar]
- Matsumura, T. Partial Privatization in Mixed Duopoly. J. Publ. Econ. 1998, 70, 473–483. [Google Scholar] [CrossRef]
- Sun, Q.Y.; Li, J.; Zhang, A.M. The reform of state-owned enterprises under oligopolistic competition—On the optimal choice of the proportion of state-owned shares. Econ. Res. 2004, 50, 64–73. [Google Scholar]
- Yin, J.; Pi, J.C.; Yang, D.C. Research on the intrinsic mechanism and optimal ratio of mixed-ownership in state-owned enterprises. Nankai Econ. Res. 2016, 32, 18–32. [Google Scholar]
- Shen, H.; Yang, M.Y. Mixed-ownership reform model and corporate governance of state-owned enterprises—A case study based on China Merchants Group. Manag. World 2019, 35, 171–182. [Google Scholar]
- Liu, X.X.; Li, S.X. Relative efficiency of mixed-equity firms in the transition process-an analysis of empirical data on China’s electrical and electronics manufacturing industry from 2000–2004. World Econ. J. 2007, 51, 58–71. [Google Scholar]
- Zhang, J.D.; Liu, S.H. The selection of strategic investors from China Unicom’s mixed-ownership reform. Account. Res. 2018, 39, 28–34. [Google Scholar]
- Chen, Q.A.; Zhang, G.T.; Zhao, X. The choice of ownership structure of state-owned enterprises in the context of mixed-ownership reform: A perspective based on the public welfare function. Chin. Manag. Sci. 2021, 38, 1–12. [Google Scholar]
- Lu, S.F.; Chen, S.X. Does government favoritism alleviate corporate financing constraints?—A quasi-natural experiment from China. Manag. World 2017, 33, 51–65+187–188. [Google Scholar]
- Liao, G.M.; Shen, H.B. Policy burden of state-owned enterprises: Motivations, consequences and governance. Chin. Ind. Econ. 2014, 31, 96–108. [Google Scholar]
- Sun, K.P.; Fang, M.Y.; Bao, J.H. How “mixed-ownership reform” is better—The impact of SOEs’ mixed-ownership equity portfolio model on firm performance. Financ. Trad. Econ. 2021, 42, 87–103. [Google Scholar]
- Sun, L.; Liu, C. Why do private firms introduce state-owned shareholders?—Evidence from downward-adjusted surpluse. Financ. Res. 2021, 47, 109–122. [Google Scholar]
- Huang, S.J. Research on mixed ownership reform of Chinese state-owned enterprises. Econ. Manag. 2014, 36, 1–10. [Google Scholar]
- Cai, G.L.; Zheng, G.J.; Ma, X.X.; Lu, R. Government’s willingness to decentralize and mixed-ownership reform in state-owned enterprises. Econ. Res. 2018, 53, 99–115. [Google Scholar]
- Qi, P.; Ikemiko. Theoretical analysis, evolutionary mechanism and model innovation of mixed-ownership economy. J. Seek. Knowl. 2019, 46, 62–72. [Google Scholar]
- Ren, G.Q.; Xu, R.; Li, W.A.; Zheng, M.N. Subjective game analysis of government incentive behavior and strategy choice of non-state capital in mixed-ownership reform. Chin. Manag. Sci. 2021, 29, 93–103. [Google Scholar]
- Huang, S.A. The stage evolution of China’s rural development strategy in the 40 years of reform and opening up and its theoretical summary. Econ. Res. 2018, 53, 4–19. [Google Scholar]
- Liu, Y. Research on the quality evaluation of sustainable development reports under the “double carbon” target: The case of Huaneng International and ENEL. Ind. Innov. Res. 2022, 6, 78–80. [Google Scholar]
- Qi, H.D.; Guo, J.C.; Zhu, W. Mixed ownership reform of state-owned enterprises: Motivation, resistance and realization path. Manag. World 2017, 33, 8–19. [Google Scholar]
- Fisher, R.A. The Genetical Theory of Natural Selection; Pипoл Kлaссик: Moxiko, Russia, 1958. [Google Scholar]
- Nowak, M.A.; Sigmund, K. Evolutionary dynamics of biological games. Science 2004, 303, 793–799. [Google Scholar] [CrossRef]
- Xu, R.; Guo, T.; Zhao, H. Research on the Path of Policy Financing Guarantee to Promote SMEs’ Green Technology Innovation. Mathematics 2022, 10, 642. [Google Scholar] [CrossRef]
- Lu, F. Three propositions for the transformation of state-owned enterprises. Chin. Social Sci. 2000, 13, 4–27+204. [Google Scholar]
- Li, W.A. Deepening state-owned enterprise reform and developing mixed ownership. Nankai Manag. Rev. 2014, 17, 1. [Google Scholar]
- Yu, J. The academic debate on “mixed ownership” and its path finding. Reform 2014, 27, 26–35. [Google Scholar]
- Ping, X.Q.; Fan, Y.; Hao, C.Y. An empirical analysis of agency costs of Chinese state-owned enterprises. Econ. Res. 2003, 49, 42–53+92. [Google Scholar]
- Hu, Y.F.; Song, M.; Zhang, J.X. Research on the performance of privatization of Chinese state-owned enterprises. Econ. Res. 2006, 52, 49–60. [Google Scholar]
- Bai, C.E.; Lu, J.C.; Tao, Z.G. An empirical study on the effect of restructuring of state-owned enterprises. Econ. Res. 2006, 52, 4–13+69. [Google Scholar]
- Guo, Y.; Gan, J.; Xu, C. A Nationwide Survey of Privatized Firms in China. Seoul J. Econ. 2008, 21, 311–331. [Google Scholar]
- Yang, J.J.; Lu, D.; Yang, D. Research on the transfer of government control of state-owned enterprises. Econ Res. 2010, 45, 69–82. [Google Scholar]
- Liu, X.; Li, X.R. Pyramid structure, tax burden and firm value: Evidence based on local state-owned enterprises. Manag. World. 2012, 28, 91–105. [Google Scholar]
- Guo, J.H.; Du, X.Q. Political ties, soft budget constraint and allocation efficiency of government subsidies: An empirical study based on private listed companies in China. Financ. Res. 2011, 42, 114–128. [Google Scholar]
- Bai, C.G.; Lu, J.Y.; Tao, Z.Y. The multitask theory of state enterprise reform: Empirical evidence from China. Am. Econ. Rev. 2006, 96, 353–357. [Google Scholar] [CrossRef]
- Liao, L.; Liu, B.; Wang, H. China’s secondary privatization: Perspectives from the Split-Share Structure Reform. J. Financ. Econ. 2014, 113, 500–518. [Google Scholar] [CrossRef]
- Li, Z.H.; Yamada, T. Political and economic incentives of government in partial privatization. J. Corpor. Financ. 2015, 32, 169–189. [Google Scholar] [CrossRef]
- Friedman, D. Evolutionary games in economics. Econometrica 1991, 59, 637–666. [Google Scholar] [CrossRef]








| Symbol | Meaning |
|---|---|
| p | Probability of change for PS, |
| q | Probability of synergy for SS, |
| b | Proportion of shares held by SS, |
| α | Success rate of company reform when SS is synergistic, |
| β | Success rate of company reform when SS is not synergistic, |
| R1 | Company dividends from the successful transformation |
| C1 | Cost of the company change |
| C2 | Corporate losses from failed transformation |
| C3 | Policy burden of the company arising from the “no change” of PS |
| C4 | Loss of intra-company fighting due to “no synergy” of SS |
| R2 | Hidden income of the company due to “no change” of PS |
| Contractual costs for SS due to corporate reform | |
| Sunk costs and loss of control incurred by SS as a result of corporate transformation | |
| Loss of SS fighting due to “no synergy” of SS | |
| Control gains for SS under the administrative-type model | |
| Contractual costs incurred by PS as a result of corporate change | |
| Enhanced control gains for PS resulting from enterprise transform | |
| Additional cost of reform for PS | |
| Loss of PS fighting due to “no synergy” of SS |
| PS | |||
|---|---|---|---|
| Change (p) | No Change (1 − p) | ||
| SS | Synergy | ||
| No Synergy | |||
| Equilibrium Points | ||
|---|---|---|
Disclaimer/Publisher’s Note: The statements, opinions and data contained in all publications are solely those of the individual author(s) and contributor(s) and not of MDPI and/or the editor(s). MDPI and/or the editor(s) disclaim responsibility for any injury to people or property resulting from any ideas, methods, instructions or products referred to in the content. |
© 2023 by the authors. Licensee MDPI, Basel, Switzerland. This article is an open access article distributed under the terms and conditions of the Creative Commons Attribution (CC BY) license (https://creativecommons.org/licenses/by/4.0/).
Share and Cite
Zeng, A.; Duan, W.; Liu, X.; Zeng, J. Sustainable Development of State-Owned Enterprises: Research on the Management Transformation Path of Mixed-Ownership Companies from the Perspective of Shareholders Relationship. Sustainability 2023, 15, 5410. https://doi.org/10.3390/su15065410
Zeng A, Duan W, Liu X, Zeng J. Sustainable Development of State-Owned Enterprises: Research on the Management Transformation Path of Mixed-Ownership Companies from the Perspective of Shareholders Relationship. Sustainability. 2023; 15(6):5410. https://doi.org/10.3390/su15065410
Chicago/Turabian StyleZeng, Aiqing, Weixian Duan, Xiaoyu Liu, and Jianhui Zeng. 2023. "Sustainable Development of State-Owned Enterprises: Research on the Management Transformation Path of Mixed-Ownership Companies from the Perspective of Shareholders Relationship" Sustainability 15, no. 6: 5410. https://doi.org/10.3390/su15065410
APA StyleZeng, A., Duan, W., Liu, X., & Zeng, J. (2023). Sustainable Development of State-Owned Enterprises: Research on the Management Transformation Path of Mixed-Ownership Companies from the Perspective of Shareholders Relationship. Sustainability, 15(6), 5410. https://doi.org/10.3390/su15065410

