Seasonal Differences in Ecophysiological Performance between Resprouters and Non-Resprouters across an Aridity Gradient in Northwest Tunisia
Abstract
1. Introduction
2. Materials and Methods
2.1. Study Sites and Species
2.2. Soil Water Content
2.3. Ecophysiological Parameters
2.3.1. Gas Exchange
2.3.2. Leaf Water Potential
2.3.3. Percent Loss of Conductivity
2.3.4. Non-Structural Carbohydrates
2.3.5. Carbon and Nitrogen-Stable Isotopes
2.4. Statistical Analysis
2.4.1. Analysis of Variance
2.4.2. Discriminant Analysis
3. Results
3.1. Soil Water Content
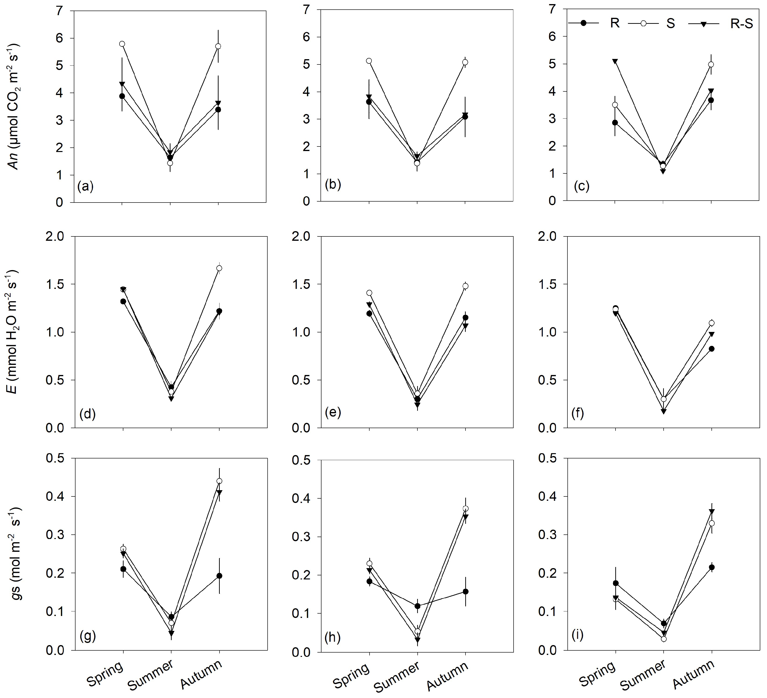
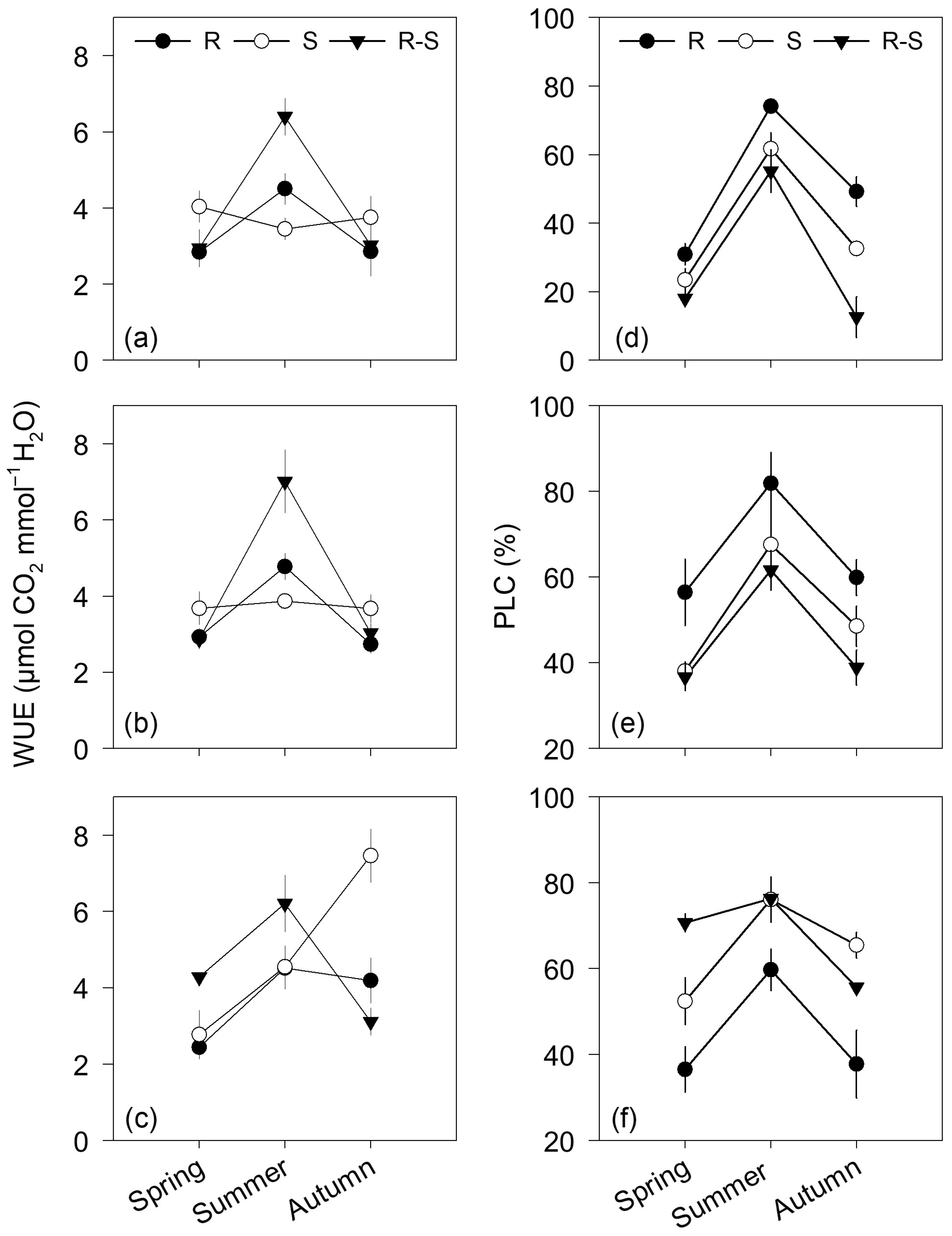
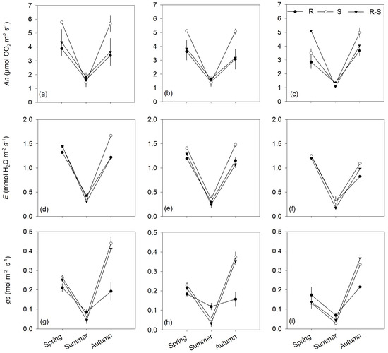
3.2. Leaf Water Potential, Gas Exchange, and Percentage Loss of Conductivity
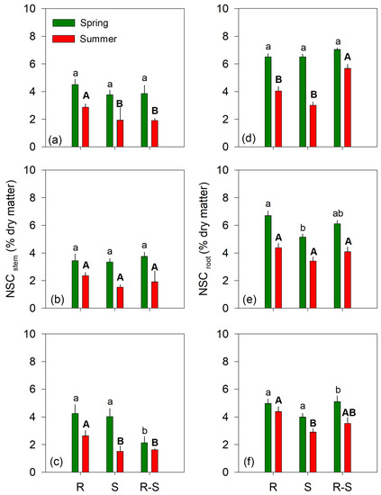
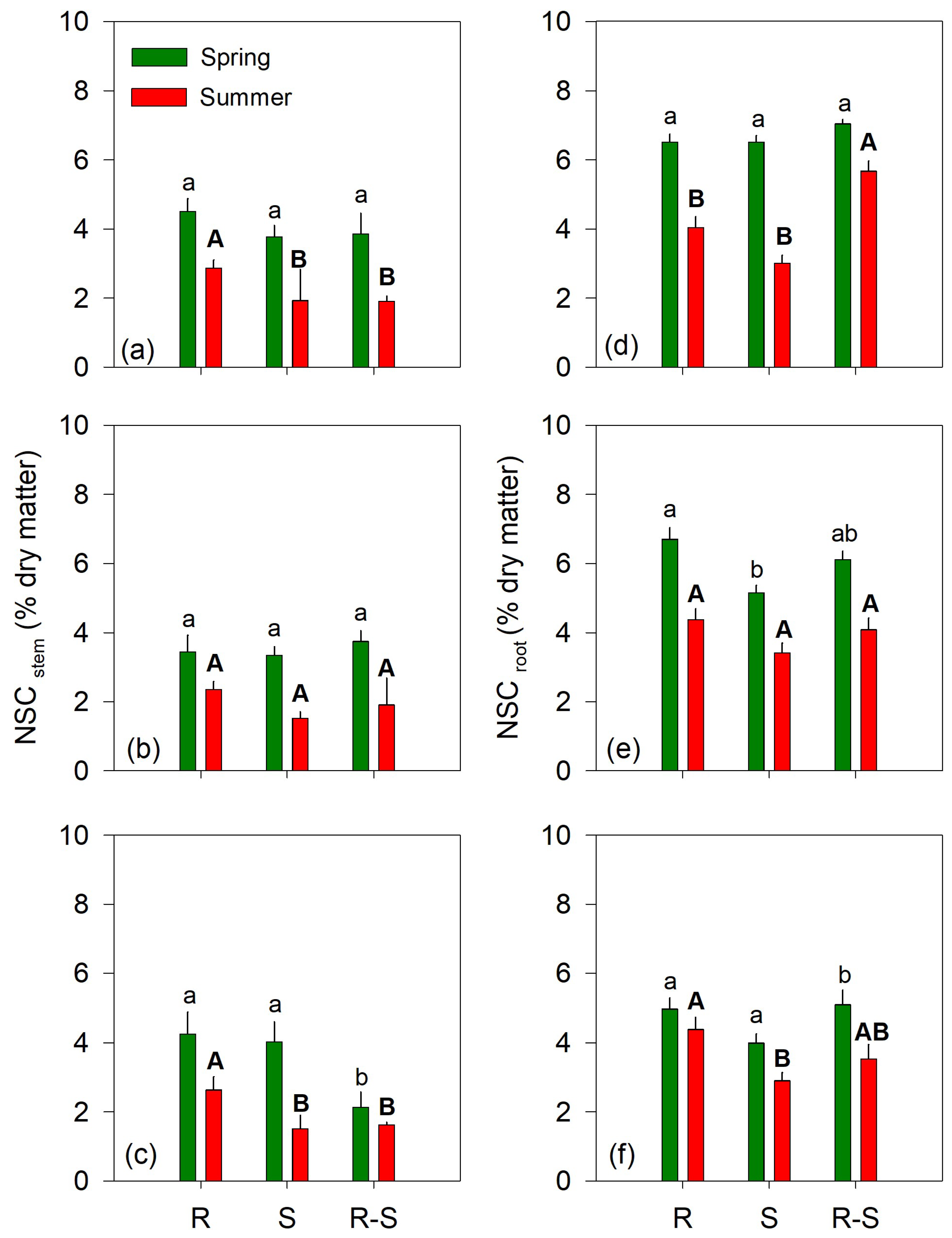
3.3. Non-Structural Carbohydrates in Stems and Roots
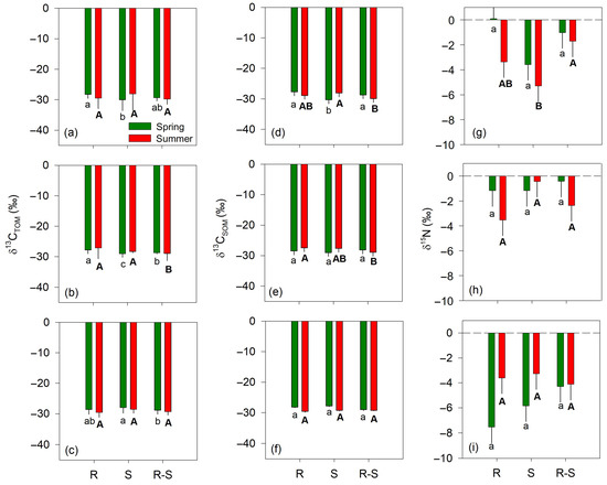
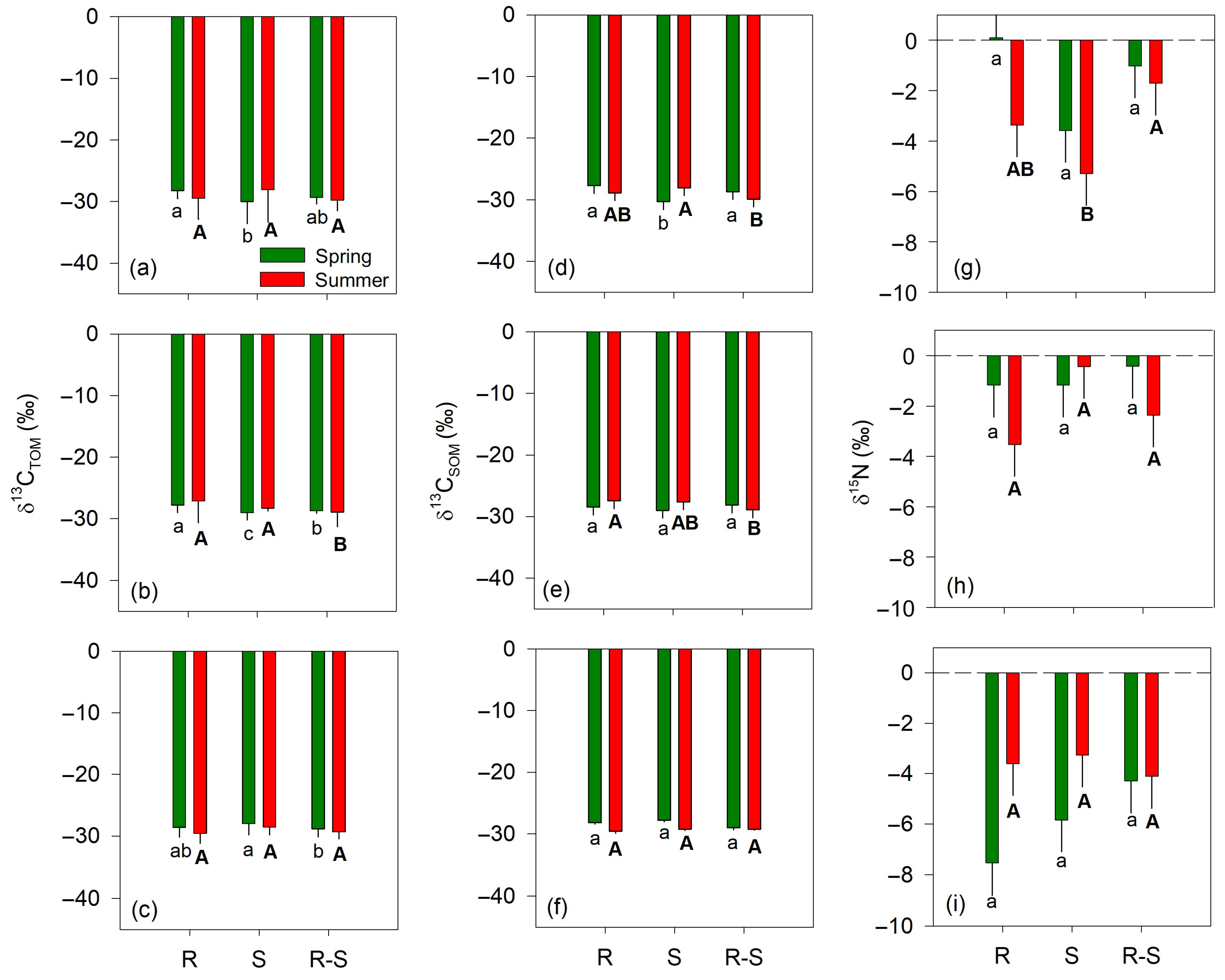
3.4. Carbon and Nitrogen Isotopes
3.5. Discriminant Analysis
4. Discussion
5. Conclusions
Author Contributions
Funding
Institutional Review Board Statement
Informed Consent Statement
Data Availability Statement
Acknowledgments
Conflicts of Interest
References
- Feng, R.; Otto-Bliesner, B.L.; Brady, E.C.; Rosenbloom, N. Increased Climate Response and Earth System Sensitivity from CCSM4 to CESM2 in Mid-Pliocene Simulations. J. Adv. Model. Earth Syst. 2020, 12, e2019MS002033. [Google Scholar] [CrossRef]
- Anderegg, W.R.; Berry, J.A.; Smith, D.D.; Sperry, J.S.; Anderegg, L.D.; Field, C.B. The Roles of Hydraulic and Carbon Stress in a Widespread Climate-Induced Forest Die-Off. Proc. Natl. Acad. Sci. USA 2012, 109, 233–237. [Google Scholar] [CrossRef] [PubMed]
- Gilliam, F.S. Nitrogen Biogeochemistry Research at Fernow Experimental Forest, West Virginia, USA: Soils, Biodiversity and Climate Change. In Nitrogen Deposition, Critical Loads and Biodiversity; Springer: Berlin/Heidelberg, Germany, 2014; pp. 267–278. [Google Scholar]
- Brodribb, T.J.; Holbrook, N.M.; Zwieniecki, M.A.; Palma, B. Leaf Hydraulic Capacity in Ferns, Conifers and Angiosperms: Impacts on Photosynthetic Maxima. New Phytol. 2005, 165, 839–846. [Google Scholar] [CrossRef] [PubMed]
- Rosas, T.; Mencuccini, M.; Barba, J.; Cochard, H.; Saura-Mas, S.; Martínez-Vilalta, J. Adjustments and Coordination of Hydraulic, Leaf and Stem Traits along a Water Availability Gradient. New Phytol. 2019, 223, 632–646. [Google Scholar] [CrossRef] [PubMed]
- Reich, P.B. The World-wide ‘Fast–Slow’ Plant Economics Spectrum: A Traits Manifesto. J. Ecol. 2014, 102, 275–301. [Google Scholar] [CrossRef]
- Scoffoni, C.; Chatelet, D.S.; Pasquet-Kok, J.; Rawls, M.; Donoghue, M.J.; Edwards, E.J.; Sack, L. Hydraulic Basis for the Evolution of Photosynthetic Productivity. Nat. Plants 2016, 2, 16072. [Google Scholar] [CrossRef]
- Pinheiro, H.A.; DaMatta, F.M.; Chaves, A.R.; Loureiro, M.E.; Ducatti, C. Drought Tolerance Is Associated with Rooting Depth and Stomatal Control of Water Use in Clones of Coffea Canephora. Ann. Bot. 2005, 96, 101–108. [Google Scholar] [CrossRef]
- Ripullone, F.; Camarero, J.J.; Colangelo, M.; Voltas, J. Variation in the Access to Deep Soil Water Pools Explains Tree-to-Tree Differences in Drought-Triggered Dieback of Mediterranean Oaks. Tree Physiol. 2020, 40, 591–604. [Google Scholar] [CrossRef]
- Verdú, M. Ecological and Evolutionary Differences between Mediterranean Seeders and Resprouters. J. Veg. Sci. 2000, 11, 265–268. [Google Scholar] [CrossRef]
- Bell, T.L.; Ojeda, F. Underground Starch Storage in Erica Species of the Cape Floristic Region–Differences between Seeders and Resprouters. New Phytol. 1999, 144, 143–152. [Google Scholar] [CrossRef]
- Kruger, L.M.; Midgley, J.J.; Cowling, R.M. Resprouters vs Reseeders in South African Forest Trees; a Model Based on Forest Canopy Height. Funct. Ecol. 1997, 11, 101–105. [Google Scholar] [CrossRef]
- Nolan, R.H.; Hedo, J.; Arteaga, C.; Sugai, T.; de Dios, V.R. Physiological Drought Responses Improve Predictions of Live Fuel Moisture Dynamics in a Mediterranean Forest. Agric. For. Meteorol. 2018, 263, 417–427. [Google Scholar] [CrossRef]
- Pausas, J.G.; Pratt, R.B.; Keeley, J.E.; Jacobsen, A.L.; Ramirez, A.R.; Vilagrosa, A.; Paula, S.; Kaneakua-Pia, I.N.; Davis, S.D. Towards Understanding Resprouting at the Global Scale. New Phytol. 2016, 209, 945–954. [Google Scholar] [CrossRef] [PubMed]
- de Dios, V.R.; Arteaga, C.; Peguero-Pina, J.J.; Sancho-Knapik, D.; Qin, H.; Zveushe, O.K.; Sun, W.; Williams, D.G.; Boer, M.M.; Voltas, J. Hydraulic and Photosynthetic Limitations Prevail over Root Non-structural Carbohydrate Reserves as Drivers of Resprouting in Two Mediterranean Oaks. Plant Cell Environ. 2020, 43, 1944–1957. [Google Scholar] [CrossRef]
- Fatichi, S.; Leuzinger, S.; Körner, C. Moving beyond Photosynthesis: From Carbon Source to Sink-Driven Vegetation Modeling. New Phytol. 2014, 201, 1086–1095. [Google Scholar] [CrossRef]
- Mitchell, P.J.; O’Grady, A.P.; Tissue, D.T.; Worledge, D.; Pinkard, E.A. Co-Ordination of Growth, Gas Exchange and Hydraulics Define the Carbon Safety Margin in Tree Species with Contrasting Drought Strategies. Tree Physiol. 2014, 34, 443–458. [Google Scholar] [CrossRef]
- Feichtinger, L.M.; Siegwolf, R.T.; Gessler, A.; Buchmann, N.; Lévesque, M.; Rigling, A. Plasticity in Gas-exchange Physiology of Mature Scots Pine and European Larch Drive Short-and Long-term Adjustments to Changes in Water Availability. Plant Cell Environ. 2017, 40, 1972–1983. [Google Scholar] [CrossRef]
- Shestakova, T.A.; Martínez-Sancho, E. Stories Hidden in Tree Rings: A Review on the Application of Stable Carbon Isotopes to Dendrosciences. Dendrochronologia 2021, 65, 125789. [Google Scholar] [CrossRef]
- Timofeeva, G.; Treydte, K.; Bugmann, H.; Rigling, A.; Schaub, M.; Siegwolf, R.; Saurer, M. Long-Term Effects of Drought on Tree-Ring Growth and Carbon Isotope Variability in Scots Pine in a Dry Environment. Tree Physiol. 2017, 37, 1028–1041. [Google Scholar] [CrossRef]
- Osmond, C.B.; Winter, K.; Ziegler, H. Functional Significance of Different Pathways of CO 2 Fixation in Photosynthesis. In Physiological Plant Ecology II; Springer: Berlin/Heidelberg, Germany, 1982; pp. 479–547. [Google Scholar]
- Fry, B. Stable Isotope Ecology; Springer: Berlin/Heidelberg, Germany, 2006. [Google Scholar]
- Fair, J.M.; Heikoop, J.M. Stable Isotope Dynamics of Nitrogen Sewage Effluent Uptake in a Semi-Arid Wetland. Environ. Pollut. 2006, 140, 500–505. [Google Scholar] [CrossRef]
- Hamid, S. My UNDP Story. In 50 Years of Singapore and the United Nations; World Scientific: Singapore, 2015; pp. 271–276. [Google Scholar]
- Sack, L.; Melcher, P.J.; Zwieniecki, M.A.; Holbrook, N.M. The Hydraulic Conductance of the Angiosperm Leaf Lamina: A Comparison of Three Measurement Methods. J. Exp. Bot. 2002, 53, 2177–2184. [Google Scholar] [CrossRef] [PubMed]
- Tyree, M.T.; Nardini, A.; Salleo, S.; Sack, L.; El Omari, B. The Dependence of Leaf Hydraulic Conductance on Irradiance during HPFM Measurements: Any Role for Stomatal Response? J. Exp. Bot. 2005, 56, 737–744. [Google Scholar] [CrossRef] [PubMed]
- Hietz, P.; Rosner, S.; Sorz, J.; Mayr, S. Comparison of Methods to Quantify Loss of Hydraulic Conductivity in Norway Spruce. Ann. For. Sci. 2008, 65, 1. [Google Scholar] [CrossRef]
- Buysse, J.A.N.; Merckx, R. An Improved Colorimetric Method to Quantify Sugar Content of Plant Tissue. J. Exp. Bot. 1993, 44, 1627–1629. [Google Scholar] [CrossRef]
- Colangelo, M.; Camarero, J.J.; Battipaglia, G.; Borghetti, M.; De Micco, V.; Gentilesca, T.; Ripullone, F. A Multi-Proxy Assessment of Dieback Causes in a Mediterranean Oak Species. Tree Physiol. 2017, 37, 617–631. [Google Scholar] [CrossRef]
- Farquhar, G.D.; Ehleringer, J.R.; Hubick, K.T. Carbon Isotope Discrimination and Photosynthesis. Annu. Rev. Plant Physiol. Plant Mol. Biol. 1989, 40, 503–537. [Google Scholar] [CrossRef]
- Dillon, W.R.; Goldstein, M. Multivariate Analysis: Methods and Applications; Wiley: New York, NY, USA, 1984; ISBN 0-471-08317-8. [Google Scholar]
- Pratt, R.B.; Jacobsen, A.L.; Jacobs, S.M.; Esler, K.J. Xylem Transport Safety and Efficiency Differ among Fynbos Shrub Life History Types and between Two Sites Differing in Mean Rainfall. Int. J. Plant Sci. 2012, 173, 474–483. [Google Scholar] [CrossRef]
- Power, S.C. Soil P Availability Limits Legume Persistence and Distribution in the Fynbos of the Cape Floristic Region. Master’s Thesis, University of Cape Town, Cape Town, South Africa, 2010. [Google Scholar]
- Van Blerk, J.J.; West, A.G.; Altwegg, R.; Hoffman, M.T. Post-Fire Summer Rainfall Differentially Affects Reseeder and Resprouter Population Recovery in Fire-Prone Shrublands of South Africa. Sci. Total Environ. 2021, 788, 147699. [Google Scholar] [CrossRef]
- Vilagrosa, A.; Hernandez, E.I.; Luis, V.C.; Cochard, H.; Pausas, J.G. Physiological Differences Explain the Co-existence of Different Regeneration Strategies in Mediterranean Ecosystems. New Phytol. 2014, 201, 1277–1288. [Google Scholar] [CrossRef]
- Olano, J.M.; Menges, E.S.; Martinez, E. Carbohydrate Storage Patterns in Five Resprouting Scrub Plants across a Fire Gradient. New Phytol. 2005, 170, 99–106. [Google Scholar] [CrossRef]
- Canadell, J.; Zedler, P.H. Underground Structures of Woody Plants in Mediterranean Ecosystems of Australia, California, and Chile. In Ecology and Biogeography of Mediterranean Ecosystems in Chile, California, and Australia; Springer: Berlin/Heidelberg, Germany, 1995; pp. 177–210. [Google Scholar]
- Cruz, A.; Moreno, J.M. Seasonal Course of Total Non-Structural Carbohydrates in the Lignotuberous Mediterranean-Type Shrub Erica australis. Oecologia 2001, 128, 343–350. [Google Scholar] [CrossRef] [PubMed]
- Vincent-Barbaroux, C.; Berveiller, D.; Lelarge-Trouverie, C.; Maia, R.; Máguas, C.; Pereira, J.; Chaves, M.M.; Damesin, C. Carbon-Use Strategies in Stem Radial Growth of Two Oak Species, One Temperate Deciduous and One Mediterranean Evergreen: What Can Be Inferred from Seasonal Variations in the δ 13C of the Current Year Ring? Tree Physiol. 2019, 39, 1329–1341. [Google Scholar] [CrossRef]
- Klein, T.; Hoch, G.; Yakir, D.; Körner, C. Drought Stress, Growth and Nonstructural Carbohydrate Dynamics of Pine Trees in a Semi-Arid Forest. Tree Physiol. 2014, 34, 981–992. [Google Scholar] [CrossRef] [PubMed]
- Moreno-Gutiérrez, C.; Dawson, T.E.; Nicolás, E.; Querejeta, J.I. Isotopes Reveal Contrasting Water Use Strategies among Coexisting Plant Species in a Mediterranean Ecosystem. New Phytol. 2012, 196, 489–496. [Google Scholar] [CrossRef]
- Werner, C.; Máguas, C. Carbon Isotope Discrimination as a Tracer of Functional Traits in a Mediterranean Macchia Plant Community. Funct. Plant Biol. 2010, 37, 467–477. [Google Scholar] [CrossRef]
- Ariz, I.; Artola, E.; Asensio, A.C.; Cruchaga, S.; Aparicio-Tejo, P.M.; Moran, J.F. High Irradiance Increases NH4+ Tolerance in Pisum Sativum: Higher Carbon and Energy Availability Improve Ion Balance but Not N Assimilation. J. Plant Physiol. 2011, 168, 1009–1015. [Google Scholar] [CrossRef]
- Filella, I.; Peñuelas, J. Partitioning of Water and Nitrogen in Co-Occurring Mediterranean Woody Shrub Species of Different Evolutionary History. Oecologia 2003, 137, 51–61. [Google Scholar] [CrossRef]
- Gebauer, G.; Giesemann, A.; Schulze, E.-D.; Jäger, H.-J. Isotope Ratios and Concentrations of Sulfur and Nitrogen in Needles and Soils of Picea abies Stands as Influenced by Atmospheric Deposition of Sulfur and Nitrogen Compounds. Plant Soil 1994, 164, 267–281. [Google Scholar] [CrossRef]
- Michelsen, A.; Quarmby, C.; Sleep, D.; Jonasson, S. Vascular Plant 15N Natural Abundance in Heath and Forest Tundra Ecosystems Is Closely Correlated with Presence and Type of Mycorrhizal Fungi in Roots. Oecologia 1998, 115, 406–418. [Google Scholar] [CrossRef]
- Marais, K.E.; Pratt, R.B.; Jacobs, S.M.; Jacobsen, A.L.; Esler, K.J. Postfire Regeneration of Resprouting Mountain Fynbos Shrubs: Differentiating Obligate Resprouters and Facultative Seeders. Plant Ecol. 2014, 215, 195–208. [Google Scholar] [CrossRef]








| Species | Strategy | Code | Family | Plant Density (Individuals ha−1) | ||
|---|---|---|---|---|---|---|
| DZ | DM | DS | ||||
| C. villosa | R-S | CV | Fabaceae | 1900 ± 404 | 2900 ± 250 | - |
| C. monspeliensis | S | CM | Cistaceae | 4100 ± 152 | 4200 ± 692 | 2800 ± 416 |
| E. multiflora | R | EM | Ericaceae | 5100 ± 100 | 8400 ± 953 | 16,200 ± 2402 |
| G. alypum | R-S | GA | Globulariaceae | 6500 ± 251 | 2900 ± 152 | 63,100 ± 3350 |
| P. latifolia | R | PL | Oleaceae | - | - | 2000 ± 208 |
| P. lentiscus | R | PH | Anacardiaceae | 6400 ± 416 | 3000 ± 200 | - |
| R. officinalis | S | RO | Lamiaceae | 9200 ± 152 | 55,900 ± 1517 | 36,600 ± 814 |
| Source of Variation | ψleaf | An | gs | E | WUE | NSC (Stem) | NSC (Root) | PLC |
|---|---|---|---|---|---|---|---|---|
| Site | 28.38 *** | 0.51 ns | 2.00 ns | 12.00 *** | 0.75 ns | 4.24 ** | 12.10 *** | 22.55 *** |
| Season | 73.68 *** | 320.17 *** | 47.78 *** | 343.51 *** | 64.66 *** | 130.42 *** | 75.72 *** | 50.11 *** |
| Site × Season | 3.22 ** | 1.05 ns | 0.55 ns | 1.34 ns | 1.08 ns | 0.30 ns | 3.35 ** | 2.35 ns |
| Strategy | 1.23 ns | 1.20 ns | 3.10 * | 7.76 ** | 9.66 *** | 12.16 *** | 11.31 *** | 2.44 ns |
| Site × Strategy | 0.08 ns | 0.43 ns | 0.50 ns | 2.08 ns | 0.31 ns | 3.08 * | 1.89 ns | 12.59 *** |
| Season × Strategy | 1.18 ns | 14.64 *** | 5.15 ** | 1.91 ns | 15.70 *** | 2.25 ns | 0.40 ns | 1.39 ns |
| Season × Strategy × Site | 1.21 ns | 7.16 *** | 0.16 ns | 0.91 ns | 2.64 ** | 1.75 ns | 1.55 ns | 0.49 ns |
| Stepwise Discriminant Analysis | Physiological Traits | ||||||||||
|---|---|---|---|---|---|---|---|---|---|---|---|
| Mean Values per Functional Group | |||||||||||
| Variable | Step | Partial R–Square | Pr > F | Average Squared Canonical Correlation | Mean | SD | Min | Max | Resprouter | Seeder | Resprouter–Seeder |
| WUE (μmol CO2 mmol H2O) | 1 | 0.46 | 0.013 | 0.23 | 4.94 | 1.42 | 3.19 | 7.98 | 4.70 | 3.94 | 6.14 |
| PLC (%) | 2 | 0.59 | 0.003 | 0.43 | 67.7 | 17.6 | 33.5 | 85.8 | 79.5 | 68.4 | 57.2 |
| An (μmol CO2 m−2 s−1) | 3 | 0.51 | 0.013 | 0.55 | 1.47 | 0.29 | 1.09 | 2.12 | 1.50 | 1.36 | 1.56 |
| Starch (stem) (%) | 4 | 0.47 | 0.029 | 0.73 | 2.50 | 0.84 | 1.51 | 4.64 | 3.02 | 1.95 | 2.63 |
| Sugar (stem) (%) | 5 | 0.48 | 0.037 | 0.80 | 1.43 | 0.59 | 0.56 | 2.52 | 1.25 | 1.28 | 1.72 |
| δ13CTOM (‰) | 6 | 0.52 | 0.036 | 0.87 | −28.8 | 0.8 | −30.0 | −27.1 | −28.6 | −28.7 | −29.2 |
| δ15N (‰) | 7 | 0.58 | 0.031 | 0.92 | −3.0 | 2.3 | −7.5 | 0.4 | −3.0 | −2.9 | −3.1 |
Disclaimer/Publisher’s Note: The statements, opinions and data contained in all publications are solely those of the individual author(s) and contributor(s) and not of MDPI and/or the editor(s). MDPI and/or the editor(s) disclaim responsibility for any injury to people or property resulting from any ideas, methods, instructions or products referred to in the content. |
© 2023 by the authors. Licensee MDPI, Basel, Switzerland. This article is an open access article distributed under the terms and conditions of the Creative Commons Attribution (CC BY) license (https://creativecommons.org/licenses/by/4.0/).
Share and Cite
Nefzi, K.; Voltas, J.; Kefi, B.B.; Baraket, M.; Rzigui, T.; Martin, P.; M’Hamdi, N.; Msaada, K.; Nasr, Z. Seasonal Differences in Ecophysiological Performance between Resprouters and Non-Resprouters across an Aridity Gradient in Northwest Tunisia. Sustainability 2023, 15, 5298. https://doi.org/10.3390/su15065298
Nefzi K, Voltas J, Kefi BB, Baraket M, Rzigui T, Martin P, M’Hamdi N, Msaada K, Nasr Z. Seasonal Differences in Ecophysiological Performance between Resprouters and Non-Resprouters across an Aridity Gradient in Northwest Tunisia. Sustainability. 2023; 15(6):5298. https://doi.org/10.3390/su15065298
Chicago/Turabian StyleNefzi, Khaoula, Jordi Voltas, Bochra Bejaoui Kefi, Mokhtar Baraket, Touhami Rzigui, Patrick Martin, Naceur M’Hamdi, Kamel Msaada, and Zouhair Nasr. 2023. "Seasonal Differences in Ecophysiological Performance between Resprouters and Non-Resprouters across an Aridity Gradient in Northwest Tunisia" Sustainability 15, no. 6: 5298. https://doi.org/10.3390/su15065298
APA StyleNefzi, K., Voltas, J., Kefi, B. B., Baraket, M., Rzigui, T., Martin, P., M’Hamdi, N., Msaada, K., & Nasr, Z. (2023). Seasonal Differences in Ecophysiological Performance between Resprouters and Non-Resprouters across an Aridity Gradient in Northwest Tunisia. Sustainability, 15(6), 5298. https://doi.org/10.3390/su15065298

