Study on the Response of Tunnel Lining under Fault Dislocation
Abstract
:1. Introduction
2. Computational Model and Boundary Conditions
2.1. Simulation of Fault Dislocation and Interaction
2.2. Computational Model and Boundary Conditions
2.3. Calculation Scheme
3. Calculation Results Analysis
3.1. Analysis of Lining Deformation
3.2. Analysis of Lining Stresses
3.3. Analysis of the Internal Forces of Lining Axial Section
3.4. Internal Force Analysis of a Typical Section
4. Parameter Analysis
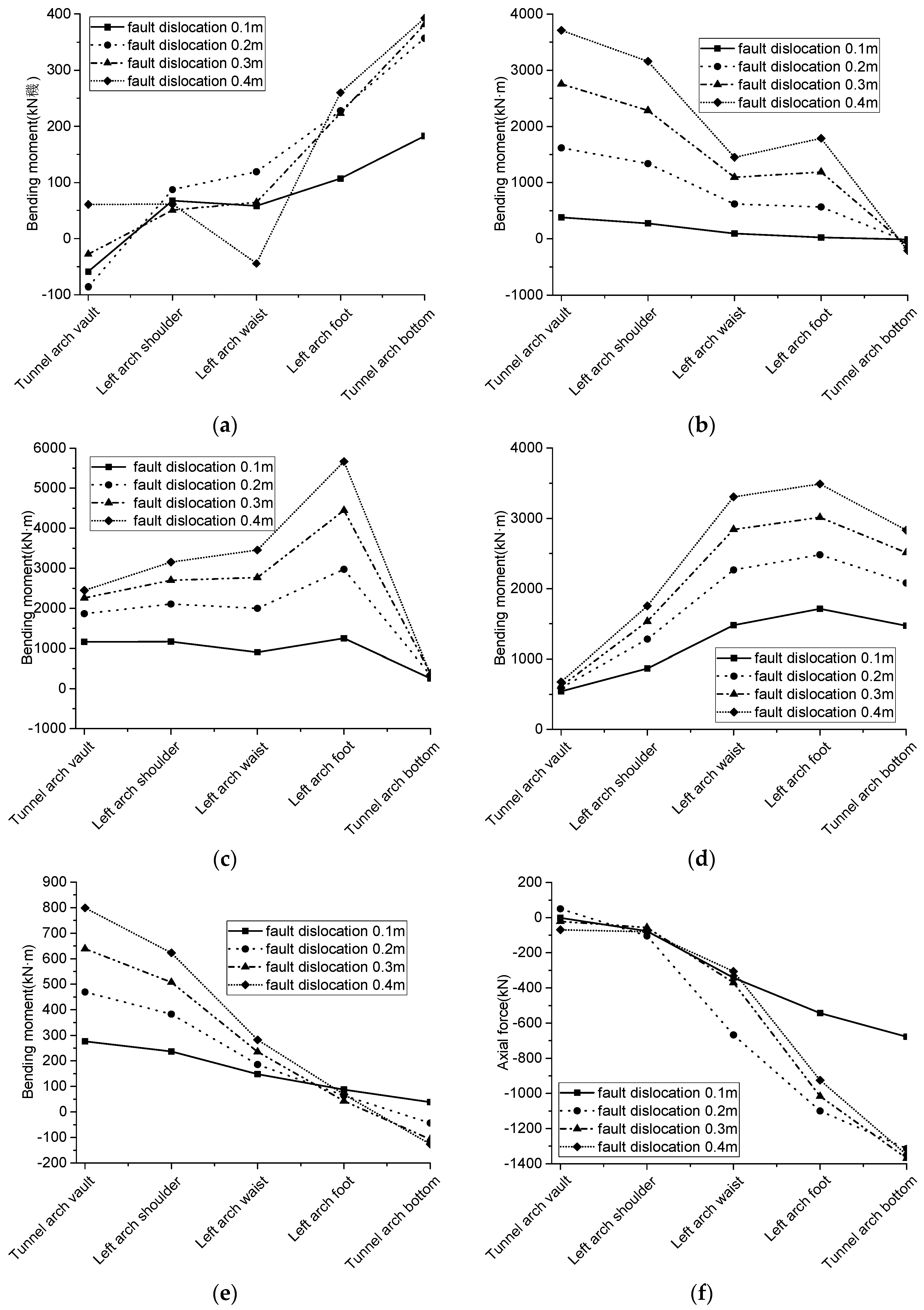
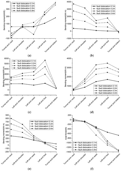
4.1. Analysis of the Effect of Fault Dislocation on Tunnel Lining Response
4.1.1. Analysis of Lining Deformation
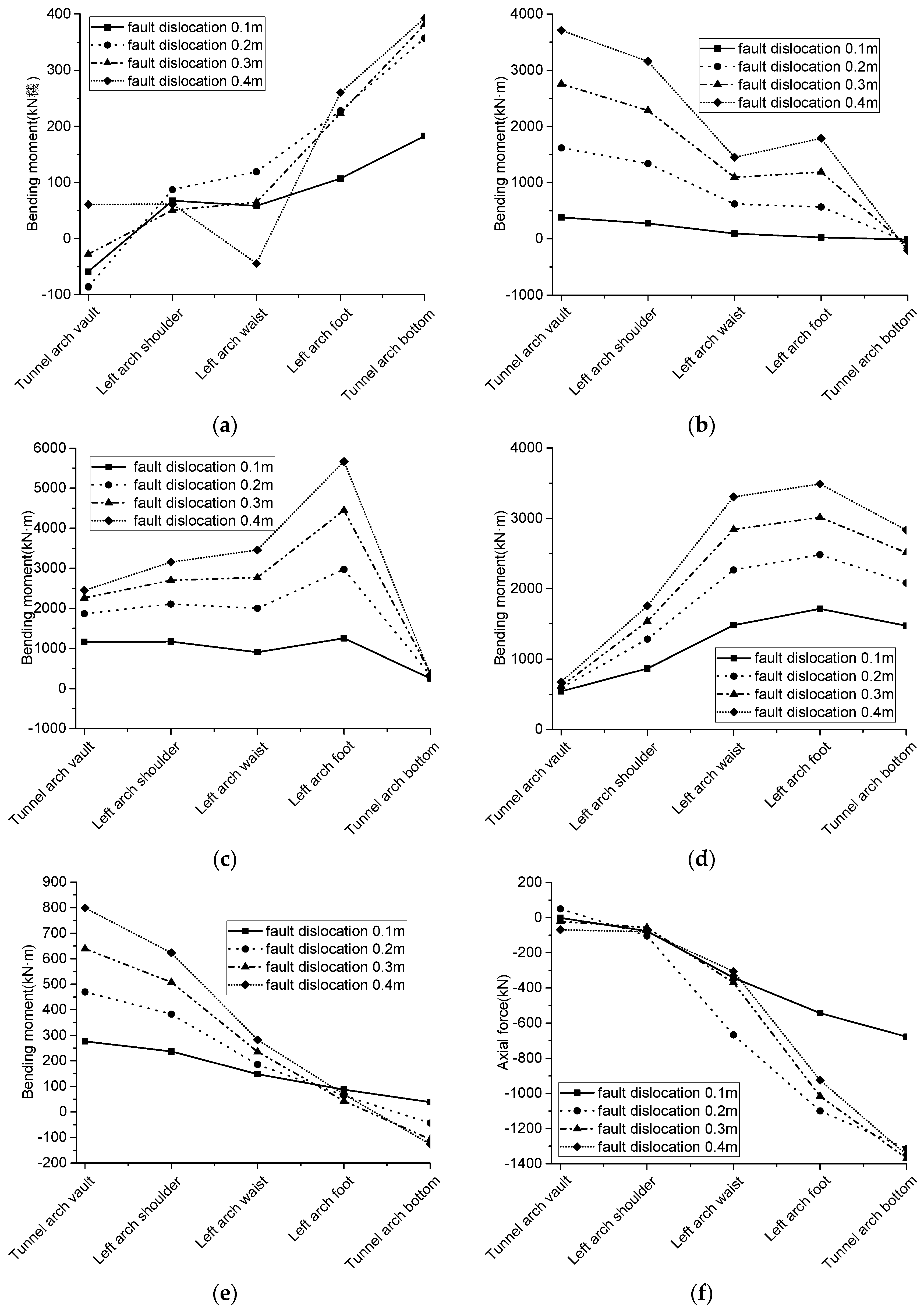
4.1.2. Analysis of Internal Force of Lining along Axial Section
4.1.3. Internal Force Analysis of the Typical Section
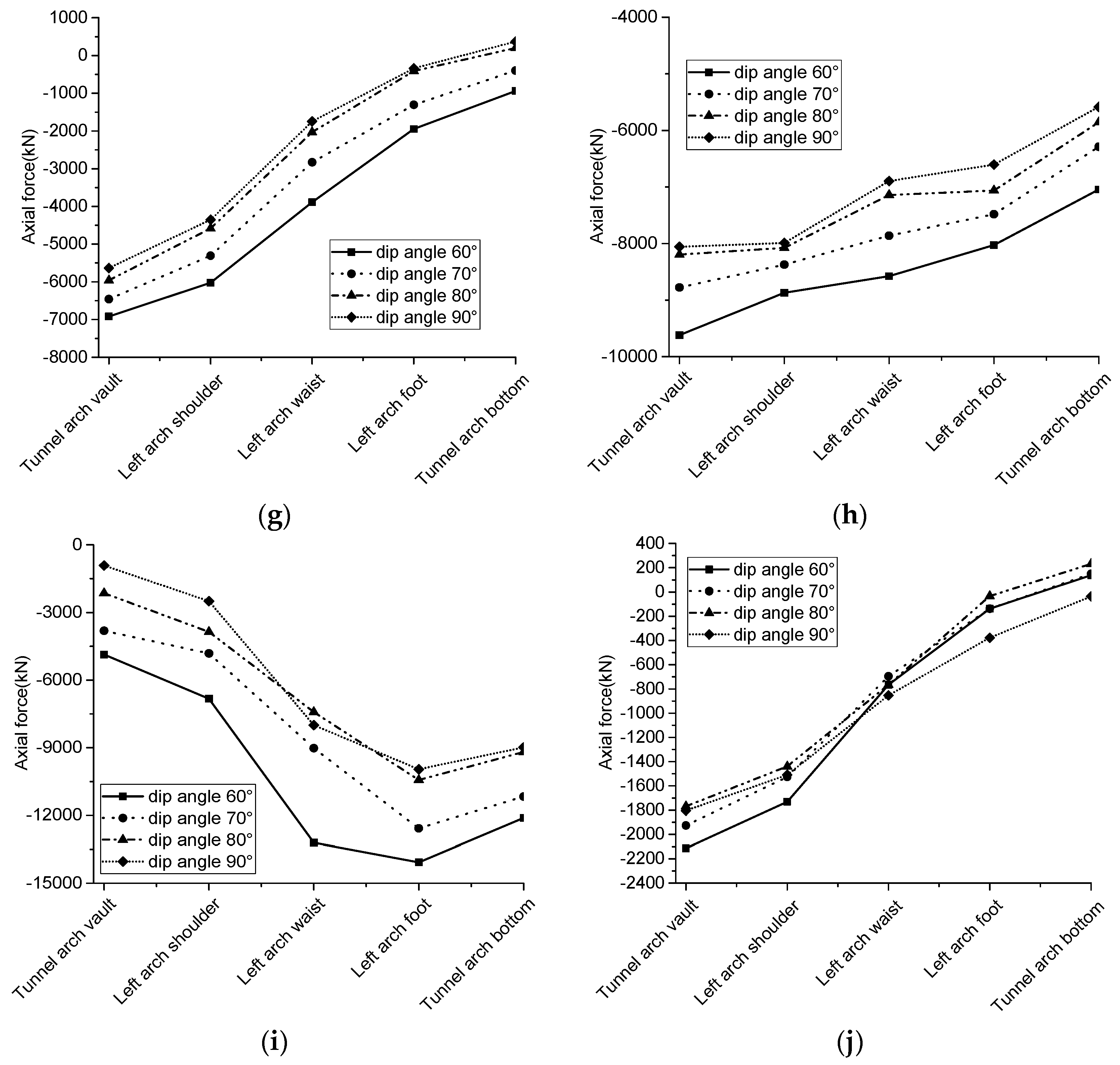
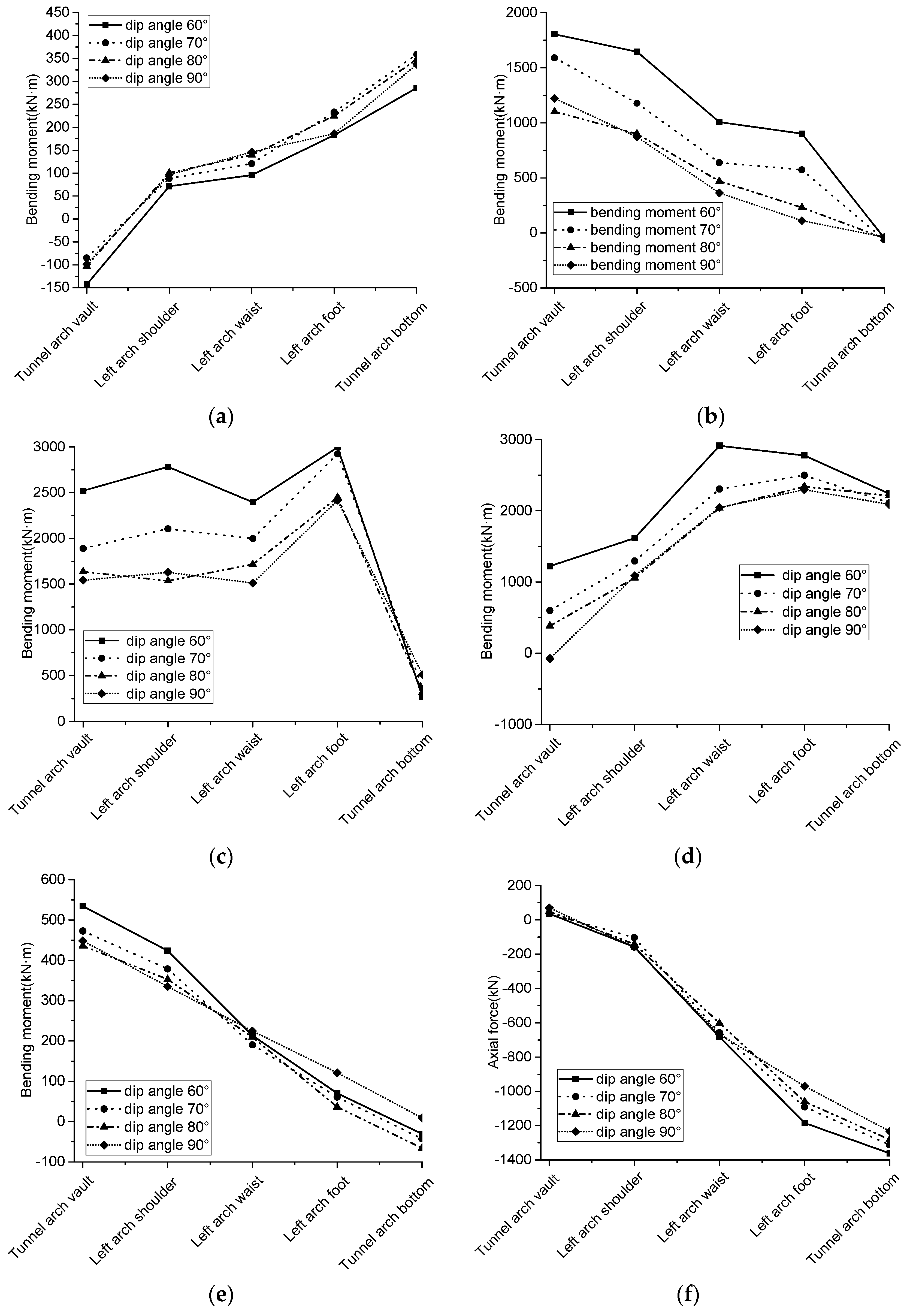
4.2. Analysis of the Effect of Fault Dip Angle on Tunnel Lining Response
4.2.1. Analysis of Lining Deformation
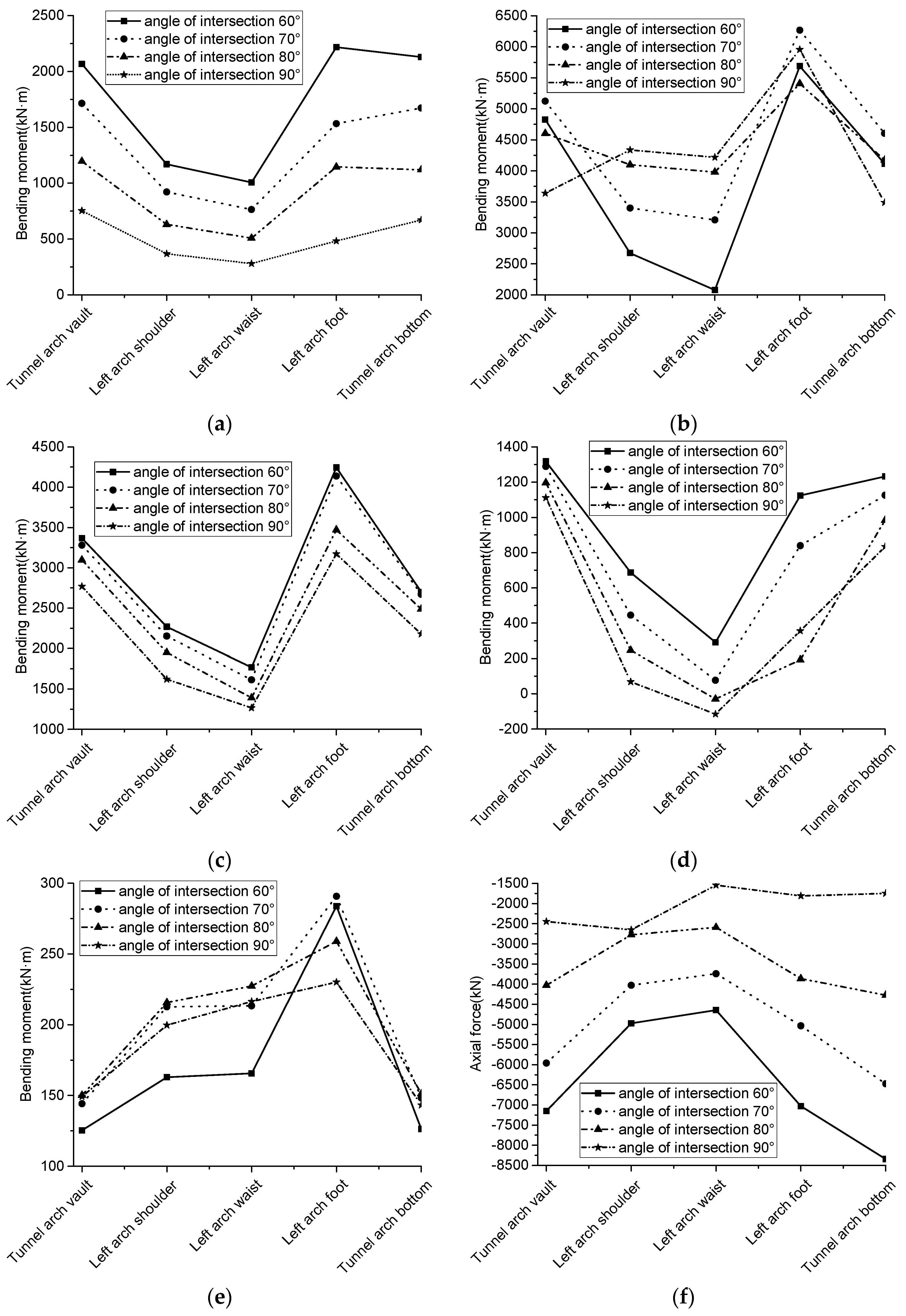
4.2.2. Analysis of Internal Force of the Lining along Axial Section
4.2.3. Internal Force Analysis of Typical Section
4.3. Analysis of the Effect of Fault Width on Tunnel Lining Response
4.3.1. Analysis of Lining Deformation
4.3.2. Analysis of Internal Force of Lining along Axial Section
4.3.3. Internal Force Analysis of Typical Section
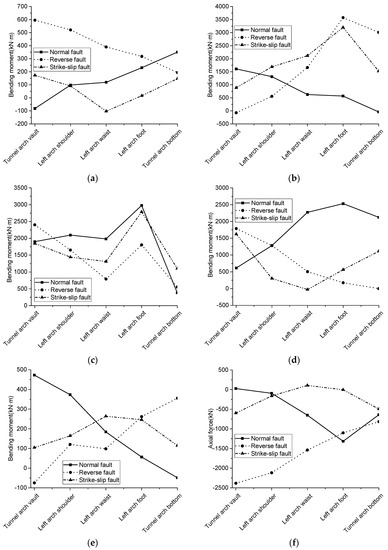
4.4. Analysis of the Effect of Fault Dislocation Form on Tunnel Lining Response
4.4.1. Analysis of Lining Deformation
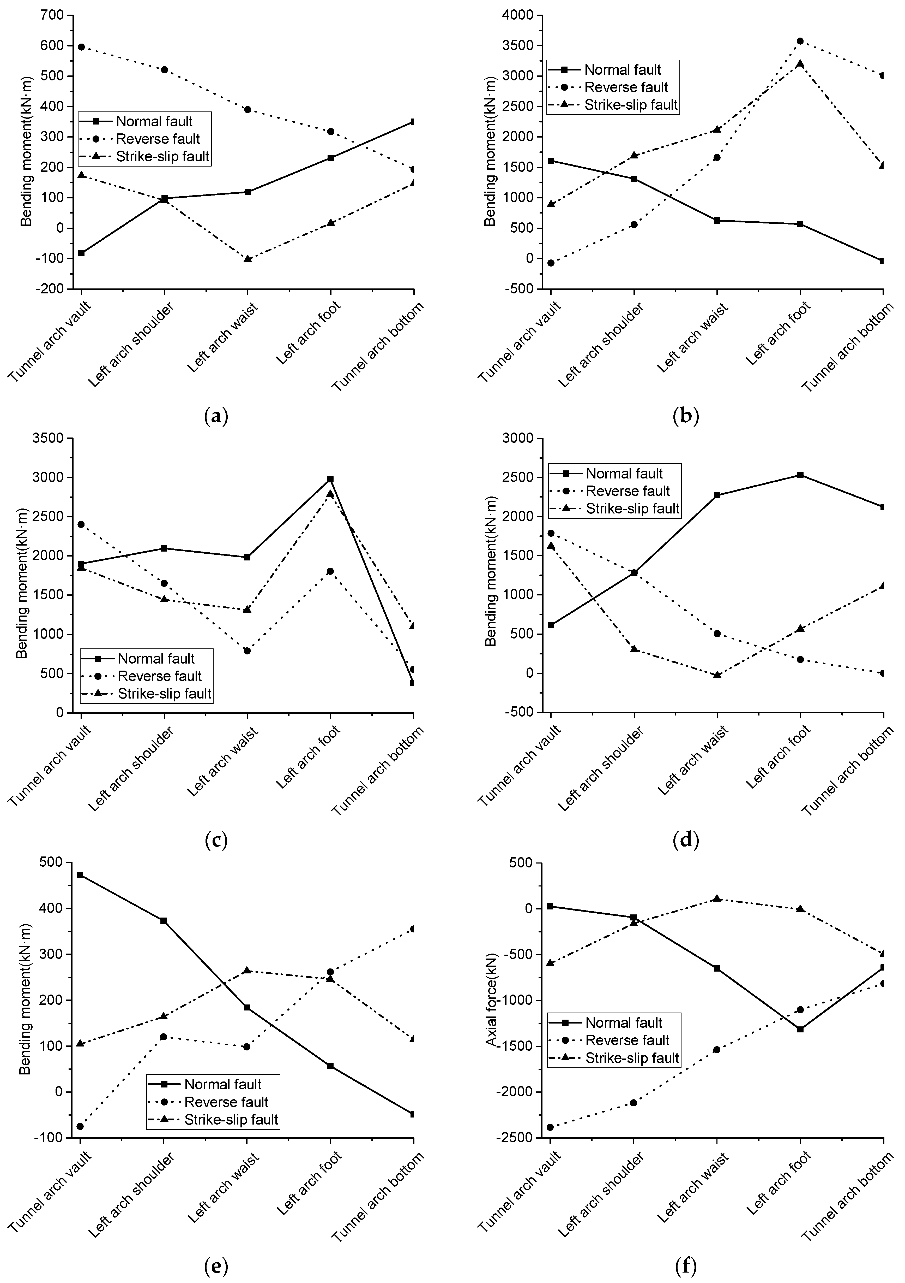
4.4.2. Analysis of Internal Force of Lining along Axial Section
4.4.3. Internal Force Analysis of Typical Section
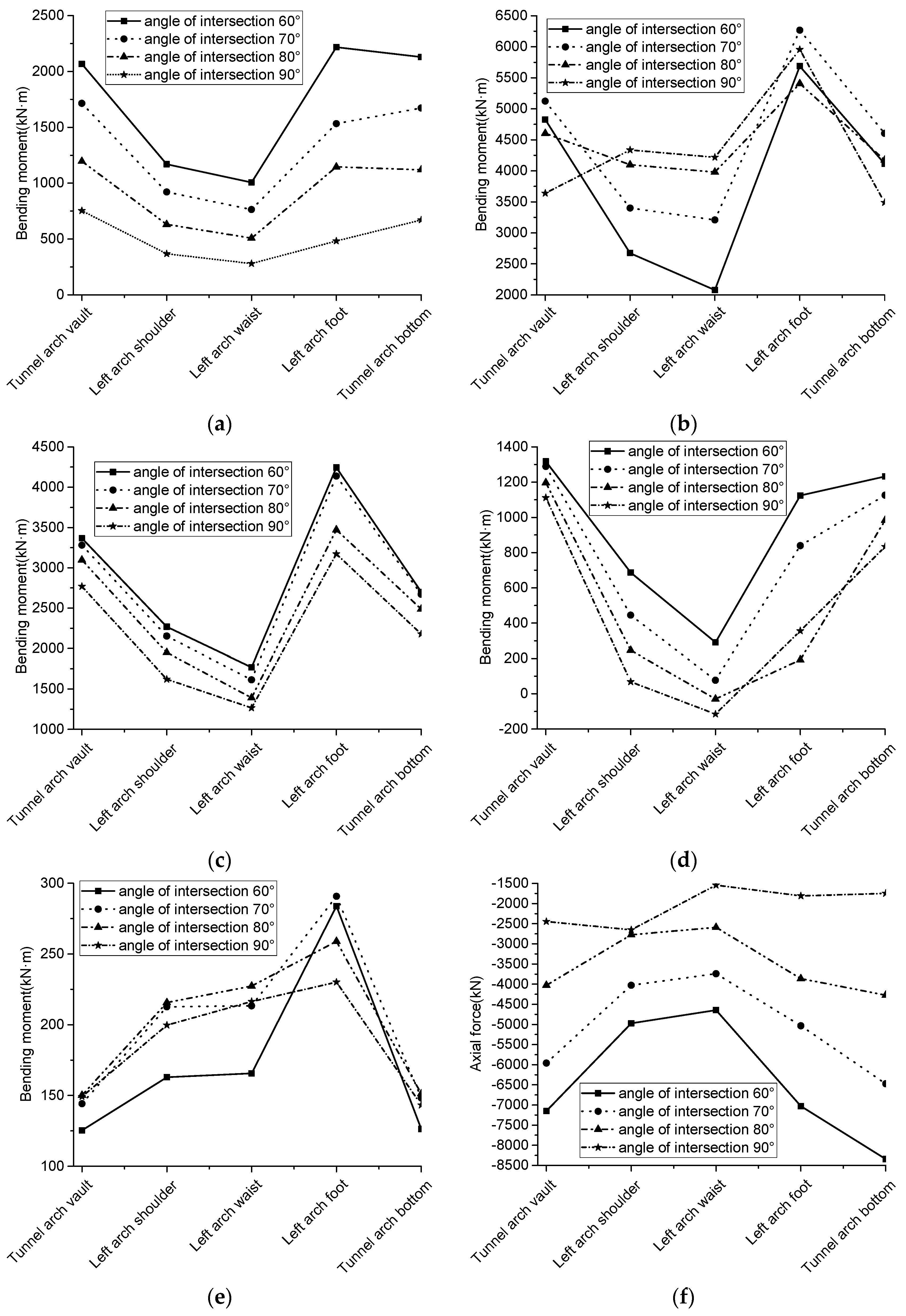
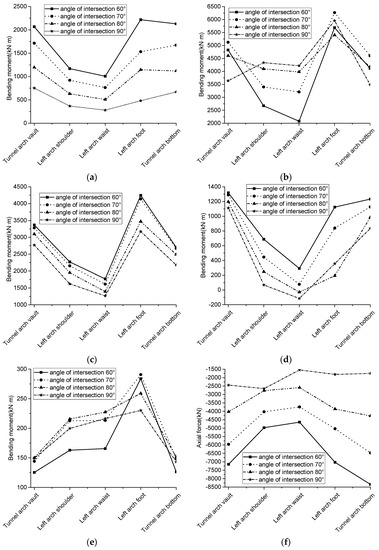
4.5. Analysis of the Effect of Fault Alignment and Tunnel Axis Intersection Angle on Tunnel Lining Response
4.5.1. Analysis of Lining Deformation
4.5.2. Analysis of Internal Forces along the Axial Section of the Lining
4.5.3. Internal Force Analysis of Typical Section
5. Investigation of the Length of Tunnel Lining against Dislocation
6. Engineering Application
7. Conclusions
- (1)
- The maximum displacement of the lining is essentially consistent with the amount of dislocation, indicating that the lining deformation is controlled by the surrounding rock deformation. The lining structure is constrained by the surrounding rock along the longitudinal “S” shaped bending, and the tunnel structure deformation in the fault and its vicinity is the largest. With the increase of the fault dislocation, the peak bending moment and the axial force of the lining section essentially increase linearly. The fault dip angle mainly affects the force range of the lining, where, as the fault dip angle decreases, the maximum main stress and the maximum main strain distribution range increases, and the axial force of the section gradually increases. This indicates that a dip angle of the fault that is smaller than the tunnel is unfavorable, so the tunnel through the fault should have a larger dip angle.
- (2)
- The influence of the fault width on the tunnel lining mainly depends on its influence range. The wider the fault fracture zone, the larger the deformation range of the fracture zone and the footwall area caused by the hanging wall dislocation. The lining internal force caused by the same dislocation displacement will be distributed in a larger range, which can effectively avoid excessive stress concentration. According to the minimum safety factor of the section, the range of the fault-resistant fortification on both sides of the fault, with different fault widths, can be determined. The results show that with the increase of the fault width, the overall fortification range of the tunnel increases, but the anti-staggered fortification length of the upper and lower wall lining decreases slightly.
- (3)
- The form of the fault dislocation has a decisive influence on the stress state of the tunnel structure. For the lining deformation, the three forms of dislocation cause different directions of lining displacement, resulting in differences in the location of the maximum stress on the tunnel lining. The displacements caused by the normal fault dislocation and reverse fault dislocation are mainly in the vertical direction, and the maximum stresses are on the top and bottom of the arches, respectively; the displacements caused by the strike-slip fault dislocation are mainly in the horizontal direction, resulting in the maximum stresses on the left arch waist of the strike-slip fault. Among the three fault dislocation forms, the axial force generated by the reverse fault dislocation is the largest, followed by the normal fault, and the strike-slip fault is the smallest.
- (4)
- The intersection angle of the fault strike and the tunnel axis has a great influence on the axial force of each section. As the intersection angle increases, the axial force of each section decreases significantly. It can be judged that the lining gradually changes from tensile shear failure to shear failure. Therefore, if it is unavoidable to cross the fault during the tunnel lining selection in the project, the axis should be selected as perpendicular to the strike of the fault as possible.
Author Contributions
Funding
Data Availability Statement
Conflicts of Interest
References
- Wang, W.; Wang, T.; Su, J.; Lin, C.; Seng, C.; Huang, T. Assessment of damage in mountain tunnels due to the Taiwan Chi-Chi Earthquake. Tunn. Undergr. Space Technol. 2001, 16, 133–150. [Google Scholar] [CrossRef]
- Huo, H.; Bobet, A.; Fernández, G.; Ramírez, J. Load transfer mechanisms between underground structure and surrounding ground: Evaluation of the failure of the Daikai station. J. Geotech. Geoenviron. Eng. 2005, 131, 1522–1533. [Google Scholar] [CrossRef]
- Corigliano, M. Seismic Response of Deep Tunnels in Near-Fault Conditions; Politecnico di Torino: Roma, Italy, 2007; pp. 2–22. [Google Scholar]
- Kontogianni, V.A.; Stiros, S.C. Earthquakes and seismic faulting: Effects on tunnels. Turk. J. Earth Sci. 2014, 12, 153–156. [Google Scholar]
- Lin, M.-L.; Chung, C.-F.; Jeng, F.-S.; Yao, T.-C. The deformation of overburden soil induced by thrust faulting and its impact on underground tunnels. Eng. Geol. 2007, 92, 110–132. [Google Scholar] [CrossRef]
- Fang, L.; Jiang, S.P.; Lin, Z.; Wang, F.Q. Shaking table model test study of tunnel through fault. Rock Soil Mech. 2011, 32, 2709–2713 + 2820. [Google Scholar]
- Liu, X.Z.; Lin, L.L. Research on model experiment of effect of thrust with 75° dip angle stick-slip dislocation on highway tunnel. Chin. J. Rock Mech. Eng. 2011, 30, 2523–2530. [Google Scholar]
- Liu, X.; Li, X.; Sang, Y.; Lin, L. Experimental study on normal fault rupture propagation in loose strata and its impact on mountain tunnels. Tunn. Undergr. Space Technol. 2015, 49, 417–425. [Google Scholar] [CrossRef]
- Geng, P.; Wu, C.; Tang, J.L.; Li, L. Analysis of dynamic response properties for tunnel through fault fracture zone. Chin. J. Rock Mech. Eng. 2012, 31, 1406–1413. [Google Scholar]
- Xu, Q.W.; Cheng, P.P.; Zhu, H.H.; Ding, W.Q.; Li, Y.H.; Wang, W.T.; Luo, Y. Model tests and numerical simulations of progressive failure of cross-fault tunnel envelopes. Chin. J. Rock Mech. Eng. 2016, 35, 433–445. [Google Scholar]
- Baziar, M.H.; Nabizadeh, A.; Lee, C.J.; Hung, W.Y. Centrifuge modeling of interaction between reverse faulting and tunnel. Soil Dyn. Earthq. Eng. 2014, 65, 151–164. [Google Scholar] [CrossRef]
- Liu, X.; Zhang, C.; Xiao, H.; Zhou, H.; Chi, F. Deformation and failure characteristics of a deeply buried tunnel subjected to creep slip fault movement: Based on the engineering conditions of Yunnan water intake project. Bull. Eng. Geol. Environ. 2022, 81, 1–16. [Google Scholar] [CrossRef]
- Wang, T.; Geng, P.; Li, P.; Wang, Q.; Wang, L. Deformation and failure of overburden soil subjected to normal fault dislocation and its impact on tunnel. Eng. Fail. Anal. 2022, 142, 106747. [Google Scholar] [CrossRef]
- Wang, Q.; Geng, P.; Li, P.; Wang, T.; Sun, W. Failure analysis and dislocation-resistant design parameters of mining tunnel under normal faulting. Eng. Fail. Anal. 2022, 143, 106902. [Google Scholar] [CrossRef]
- Anastasopoulos, I.; Gerolymos, N.; Drosos, V.; Georgarakos, T.; Kourkoulis, R.; Gazetas, G. Behaviour of deep immersed tunnel under combined normal fault rupture deformation and subsequent seismic shaking. Bull Earthq. Eng. 2008, 6, 213–239. [Google Scholar] [CrossRef]
- Yang, C.W.; Su, T.B.; Zhang, J.J. New Developments in Geotechnical Earthquake Engineering. Adv. Mater. Sci. Eng. 2014, 2014, 1–7. [Google Scholar]
- Zhang, W.Q. Research on seismic damage mechanism and anti-vibration technology of tunnel crossing fault. Master’s Thesis, Southwest Jiaotong University, Chengdu, China, 2012. (In Chinese). [Google Scholar]
- Liu, K. Research on the mechanism of dislocation failure and seismic dynamic response analysis of cross-fault tunnels on Chengdu-Lanzhou Line. Master’s Thesis, Beijing Jiaotong University, Beijing, China, 2011. (In Chinese). [Google Scholar]
- Pellet, F.; Benoit, O. 3-D Numerical simulation of the behaviour of underground structures crossing faulted zone. In Proceedings of the 9th International Congress on Rock Mechanics, Rotterdam, The Netherlands, 4 February 1999. [Google Scholar]
- Xiong, W.; Fan, W.; Peng, J.B.; Deng, L.S.; Yan, F.R. Numerical analysis of the impact of positive fault activity on road ridge tunneling. Chin. J. Rock Mech. Eng. 2010, 29, 2845–2852. [Google Scholar]
- Jeon, S.; Kim, J.; Seo, Y.; Hong, C. Effect of a fault and weak plane on the stability of a tunnel in rock—A scaled model test and numerical analysis. Int. J. Rock Mech. Min. Sci. 2004, 41, 658–663. [Google Scholar] [CrossRef]
- Jiao, H.; Du, X.; Zhao, M.; Huang, J.; Zhao, X.; Ouyang, W. Nonlinear Seismic Response of Rock Tunnels Crossing Inactive Fault under Obliquely Inci-dent Seismic P Waves. J. Earth Sci. 2021, 32, 1174–1189. [Google Scholar] [CrossRef]
- Zhou, G.; Sheng, Q.; Cui, Z.; Wang, T.; Ma, Y. Investigating the Deformation and Failure Mechanism of a Submarine Tunnel with Flexible Joints Subjected to Strike-Slip Faults. J. Mar. Sci. Eng. 2021, 9, 1412. [Google Scholar] [CrossRef]
- Chen, P.; Geng, P.; Chen, J.; Gu, W. The seismic damage mechanism of Daliang tunnel by fault dislocation during the 2022 Menyuan Ms6.9 earthquake based on unidirectional velocity pulse input. Eng. Fail. Anal. 2023, 145, 107047. [Google Scholar] [CrossRef]
- Huang, J.; Chen, X.; Zhao, X.; Zhao, M. Nonlinear Response of Tunnels under Coseismic Displacement Induced by Strike-Slip Fault. Int. J. Géoméch. 2022, 22, 04022177. [Google Scholar] [CrossRef]
- Wu, X.; Nie, C.; Li, D.; Qiu, F.; Tang, Y. Structural Response of a Prefabricated Utility Tunnel Subject to a Reverse Fault. Buildings 2022, 12, 1086. [Google Scholar] [CrossRef]
- Yan, G.; Zhao, B.; Wang, Z.; Gao, B. Simplified analytical solution for responses of fault-crossing tunnels with flexible joints under fault movement. Structures 2022, 45, 984–998. [Google Scholar] [CrossRef]

































| Material | Density (kg/m3) | Elastic Modulus (GPa) | Poisson’s Ratio | Cohesion (MPa) | Internal Friction Angle (°) | Dilatancy Angle (°) |
|---|---|---|---|---|---|---|
| Surrounding rock | 2250 | 6.0 | 0.28 | 0.8 | 36 | 3.6 |
| Broken band | 2000 | 1.5 | 0.35 | 0.2 | 25 | 2.5 |
| Initial lining | 2500 | 28 | 0.20 | - | - | - |
| Secondary lining | 2500 | 30 | 0.20 | - | - | - |
| Group Number | Dislocation Momentum (m) | Inclination (°) | Fault Width (m) | Axial Intersection Angle with Tunnel Axis (°) | Dislocation Movement Mode |
|---|---|---|---|---|---|
| 1 | 0.1/0.2/0.3/ 0.4 | 75 | 30 | 90 | Normal fault |
| 2 | 0.2 | 60/70/80/90 | 30 | 90 | Normal fault |
| 3 | 0.2 | 75 | 10/20/30/40/50 | 90 | Normal fault |
| 4 | 0.2 | 75 | 30 | 60/70/80/90 | Strike-slip fault |
| 5 | 0.2 | 75 | 30 | 90 | Strike-slip fault/Normal fault/Reverse fault |
| Fault Width (m) | The y-Coordinate of the Hanging Wall (m) | The y-Coordinate of the Fault Fracture Zone (m) | The y-Coordinate of the Footwall (m) |
|---|---|---|---|
| 10 | 0–120 | 120–130 | 130–300 |
| 20 | 0–120 | 120–140 | 140–300 |
| 30 | 0–120 | 120–150 | 150–300 |
| 40 | 0–120 | 120–160 | 160–300 |
| 50 | 0–120 | 120–170 | 170–300 |
Disclaimer/Publisher’s Note: The statements, opinions and data contained in all publications are solely those of the individual author(s) and contributor(s) and not of MDPI and/or the editor(s). MDPI and/or the editor(s) disclaim responsibility for any injury to people or property resulting from any ideas, methods, instructions or products referred to in the content. |
© 2023 by the authors. Licensee MDPI, Basel, Switzerland. This article is an open access article distributed under the terms and conditions of the Creative Commons Attribution (CC BY) license (https://creativecommons.org/licenses/by/4.0/).
Share and Cite
Bao, L.; Wei, F. Study on the Response of Tunnel Lining under Fault Dislocation. Sustainability 2023, 15, 5150. https://doi.org/10.3390/su15065150
Bao L, Wei F. Study on the Response of Tunnel Lining under Fault Dislocation. Sustainability. 2023; 15(6):5150. https://doi.org/10.3390/su15065150
Chicago/Turabian StyleBao, Liangliang, and Feng Wei. 2023. "Study on the Response of Tunnel Lining under Fault Dislocation" Sustainability 15, no. 6: 5150. https://doi.org/10.3390/su15065150
APA StyleBao, L., & Wei, F. (2023). Study on the Response of Tunnel Lining under Fault Dislocation. Sustainability, 15(6), 5150. https://doi.org/10.3390/su15065150
