The Effect of Physicochemical Properties and Surface Chemistry on CO2 Adsorption Capacity of Potassium Acetate-Treated Carbon Pellets
Abstract
1. Introduction
2. Experimental Section
2.1. Materials
2.2. Preparation of Carbon Pellet
2.3. CO2 Adsorption Experiment
2.4. Characterization of the Carbon Pellet
2.5. Adsorption Isotherms
3. Results
3.1. Performance Comparison of Carbon-Based Pellets
3.2. Surface Morphology of Carbon-Based Pellets
3.3. Elemental Analysis of Carbon-Based Pellets
3.4. Surface Area of Carbon-Based Pellets
3.5. CO2 Adsorption Performance of CAC-PA 2M
3.5.1. Effect of Adsorption Temperature
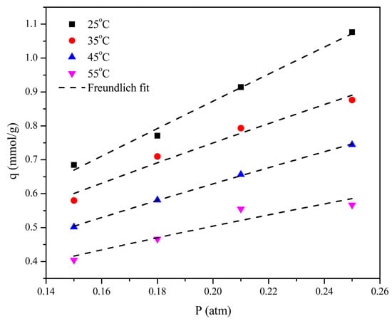
3.5.2. Adsorption Isotherm Study
3.5.3. Regeneration Study
3.5.4. Surface Chemistry (Functional Groups)
3.5.5. Surface Chemistry (XPS Analysis)
4. Conclusions
Author Contributions
Funding
Institutional Review Board Statement
Informed Consent Statement
Data Availability Statement
Acknowledgments
Conflicts of Interest
References
- Cassia, R.; Nocioni, M.; Correa-Aragunde, N.; Lamattina, L. Climate change and the impact of greenhouse gasses: CO2 and NO, friends and foes of plant oxidative stress. Front. Plant Sci. 2018, 9, 273. [Google Scholar] [CrossRef] [PubMed]
- Daily CO2. Available online: https://www.co2.earth/daily-co2 (accessed on 10 February 2023).
- Trends in Atmospheric Carbon Dioxide, NOAA. Available online: https://gml.noaa.gov/ccgg/trends/ (accessed on 16 February 2023).
- Gani, A. Fossil fuel energy and environmental performance in an extended STIRPAT model. J. Clean. Prod. 2021, 297, 126526. [Google Scholar] [CrossRef]
- Odunlami, O.A.; Vershima, D.A.; Oladimeji, T.E.; Nkongho, S.; Ogunlade, S.K.; Fakinle, B.S. Advanced techniques for the capturing and separation of CO2—A review. Results Eng. 2022, 15, 100512. [Google Scholar] [CrossRef]
- Fletcher, W.D.; Smith, C.B. Chapter 1—Introduction. In Reaching Net Zero, 1st ed.; Fletcher, W.D., Smith, C.B., Eds.; Elsevier: Amsterdam, The Netherlands, 2020; pp. 1–8. [Google Scholar] [CrossRef]
- Aghel, B.; Behaein, S.; Alobaid, F. CO2 capture from biogas by biomass-based adsorbents: A review. Fuel 2022, 328, 125276. [Google Scholar] [CrossRef]
- Stéphenne, K. Start-up of world’s first commercial post-combustion coal fired CCS project: Contribution of Shell Cansolv to SaskPower boundary dam ICCS project. Energy Procedia 2014, 63, 6106–6110. [Google Scholar] [CrossRef]
- Gomes, J.; Santos, S.; Bordado, J. Choosing amine-based absorbents for CO2 capture. Environ. Technol. 2015, 36, 19–25. [Google Scholar] [CrossRef]
- Anselmi, H.; Mirgaux, O.; Bounaceur, R.; Patisson, F. Simulation of post-combustion CO2 capture, a comparison among absorption, adsorption and membranes. Chem. Eng. Technol. 2019, 42, 797–804. [Google Scholar] [CrossRef]
- Tiwari, D.; Bhunia, H.; Bajpai, P.K. Development of chemically activated N-enriched carbon adsorbents from urea-formaldehyde resin for CO2 adsorption: Kinetics, isotherm, and thermodynamics. J. Environ. Manag. 2018, 218, 579–592. [Google Scholar] [CrossRef]
- Yuan, X.; Li, S.; Jeon, S.; Deng, S.; Zhao, L.; Lee, K.B. Valorization of waste polyethylene terephthalate plastic into N-doped microporous carbon for CO2 capture through a one-pot synthesis. J. Hazard. Mater. 2020, 399, 123010. [Google Scholar] [CrossRef]
- Rouzitalab, Z.; Maklavany, D.M.; Jafarinejad, S.; Rashidi, A. Lignocellulose-based adsorbents: A spotlight review of the effective parameters on carbon dioxide capture process. Chemosphere 2020, 246, 125746. [Google Scholar] [CrossRef]
- Conte, G.; Stelitano, S.; Policicchio, A.; Minuto, F.D.; Lazzaroli, V.; Galiano, F.; Agostino, R.G. Assessment of activated carbon fibers from commercial Kevlar® as nanostructured material for gas storage: Effect of activation procedure and adsorption of CO2 and CH4. J. Anal. Appl. Pyrolysis 2020, 152, 104974. [Google Scholar] [CrossRef]
- Abuelnoor, N.; AlHajaj, A.; Khaleel, M.; Vega, L.F.; Abu-Zahra, M.R.M. Activated carbons from biomass-based sources for CO2 capture applications. Chemosphere 2021, 282, 131111. [Google Scholar] [CrossRef] [PubMed]
- dos Santos, T.C.; Mancera, R.C.; Rocha, M.V.J.; da Silva, A.F.M.; Furtado, I.O.; Barreto, J.; Stavale, F.; Archanjo, B.S.; de, M. Carneiro, J.W.; Costa, L.T.; et al. CO2 and H2 adsorption on 3D nitrogen-doped porous graphene: Experimental and theoretical studies. J. CO2 Util. 2021, 48, 101517. [Google Scholar] [CrossRef]
- Song, X.; Wang, L.; Ma, X.; Zeng, Y. Adsorption equilibrium and thermodynamics of CO2 and CH4 on carbon molecular sieves. Appl. Surf. Sci. 2017, 396, 870–878. [Google Scholar] [CrossRef]
- Wadi, B.; Mahomed, A.; Bai, Y.; Osatiashtiani, A.; Manovic, V.; Nabavi, S.A. Formulation, adsorption performance, and mechanical integrity of triamine grafted binder-based mesoporous silica pellets for CO2 capture. Powder Technol. 2021, 393, 257–264. [Google Scholar] [CrossRef]
- Edubilli, S.; Gumma, S. A systematic evaluation of UiO-66 metal organic framework for CO2/N2 separation. Sep. Purif. Technol. 2019, 224, 85–94. [Google Scholar] [CrossRef]
- Zhou, C.; Wang, Y. Recent progress in the conversion of biomass wastes into functional materials for value-added applications. Sci. Technol. Adv. Mater. 2020, 21, 787–804. [Google Scholar] [CrossRef]
- Ma, Z.; Liu, X.; Li, G.; Qiu, X.; Yao, D.; Zhu, Z.; Wang, Y.; Gao, J.; Cui, P. Energy consumption, environmental performance, and techno-economic feasibility analysis of the biomass-to-hydrogen process with and without carbon capture and storage. J. Environ. Chem. Eng. 2021, 9, 106752. [Google Scholar] [CrossRef]
- Saha, D.; Kienbaum, M.J. Role of oxygen, nitrogen and sulfur functionalities on the surface of nanoporous carbons in CO2 adsorption: A critical review. Mesopor. Mat. 2019, 287, 29–55. [Google Scholar] [CrossRef]
- Mohd Azmi, N.Z.; Buthiyappan, A.; Abdul Raman, A.A.; Abdul Patah, M.F.; Sufian, S. Recent advances in biomass based activated carbon for carbon dioxide capture—A review. J Ind Eng Chem. 2022, 116, 1–20. [Google Scholar] [CrossRef]
- Zulkania, A.; Hanum, G.F.; Sri Rezki, A. The potential of activated carbon derived from bio-char waste of bio-oil pyrolysis as adsorbent. MATEC Web Conf. 2018, 154, 01029. [Google Scholar] [CrossRef]
- Jafri, N.H.S.; Jimat, D.N.; Azmin, N.F.M.; Sulaiman, S.; Nor, Y.A. The potential of biomass waste in Malaysian palm oil industry: A case study of Boustead Plantation Berhad. IOP Conf. Ser. Mater. Sci. Eng. 2021, 1192, 012028. [Google Scholar] [CrossRef]
- Zaini, M.S.M.; Arshad, M.; Syed-Hassan, S.S.A. Adsorption isotherm and kinetic study of methane on palm kernel shell-derived activated carbon. J. Bioresour. Bioprod. 2023, 8, 66–77. [Google Scholar] [CrossRef]
- Muttil, N.; Jagadeesan, S.; Chanda, A.; Duke, M.; Singh, S.K. Production, types, and applications of activated carbon derived from waste tyres: An overview. Appl. Sci. 2023, 13, 257. [Google Scholar] [CrossRef]
- Kishibayev, K.K.; Serafin, J.; Tokpayev, R.R.; Khavaza, T.N.; Atchabarova, A.A.; Abduakhytova, D.A.; Ibraimov, Z.T.; Sreńscek-Nazzal, J. Physical and chemical properties of activated carbon synthesized from plant wastes and shungite for CO2 capture. J. Environ. Chem. Eng. 2021, 9, 106798. [Google Scholar] [CrossRef]
- Li, J.; Bao, A.; Chen, J.; Bao, Y. A green route to CO2 adsorption on biomass chitosan derived nitrogen-doped micropore-dominated carbon nanosheets by different activators. J. Environ. Chem. Eng. 2022, 10, 107021. [Google Scholar] [CrossRef]
- Yeskendir, B.; Dacquin, J.-P.; Lorgouilloux, Y.; Courtois, C.; Royer, S.; Dhainaut, J. From metal–organic framework powders to shaped solids: Recent developments and challenges. Mater. Adv. 2021, 2, 7139–7186. [Google Scholar] [CrossRef]
- Nielsen, S.K.; Mandø, M.; Rosenørn, A.B. Review of die design and process parameters in the biomass pelleting process. Powder Technol. 2020, 364, 971–985. [Google Scholar] [CrossRef]
- Gou, J.; Liu, C.; Lin, J.; Yu, C.; Fang, Y.; Liu, Z.; Guo, Z.; Tang, C.; Huang, Y. Densification and pelletization of porous boron nitride fibers for effective CO2 adsorption. Ceram. Int. 2022, 48, 11636–11643. [Google Scholar] [CrossRef]
- Tumuluru, J.S.; Conner, C.C.; Hoover, A.N. Method to produce durable pellets at lower energy consumption using high moisture corn stover and a corn starch binder in a flat die pellet mill. J. Vis. Exp. 2016, 112, 54092. [Google Scholar] [CrossRef]
- Fan, X.-H.; Yang, G.-M.; Chen, X.-L.; He, X.-N.; Huang, X.-X.; Gao, L. Effect of carboxymethyl cellulose on the drying dynamics and thermal cracking performance of iron ore green pellets. Powder Technol. 2014, 267, 11–17. [Google Scholar] [CrossRef]
- Zhu, Y.; Yang, W.; Fan, J.; Kan, T.; Zhang, W.; Liu, H.; Cheng, W.; Yang, H.; Wu, X.; Chen, H. Effect of sodium carboxymethyl cellulose addition on particulate matter emissions during biomass pellet combustion. Appl. Energy 2018, 230, 925–934. [Google Scholar] [CrossRef]
- Si, Y.; Hu, J.; Wang, X.; Yang, H.; Chen, Y.; Shao, J.; Chen, H. Effect of carboxymethyl cellulose binder on the quality of biomass pellets. Energy Fuels 2016, 30, 5799–5808. [Google Scholar] [CrossRef]
- Nguyen, H.N.; Nguyen, P.L.T.; Tran, V.B. Zero-waste biomass gasification: Use of residues after gasification of bagasse pellets as CO2 adsorbents. Therm. Sci. Eng. Prog. 2021, 26, 101080. [Google Scholar] [CrossRef]
- Oliveira, H.S.; Araújo, L.M.; Pinto, P.C.C.; Pereira, G.V.; de Souza, P.P.; Belchior, J.C.; Oliveira, L.C.A. Improvement on CO2 capture by CaO pellet modified with carbon nanotubes. Int. Nano Lett. 2020, 10, 141–149. [Google Scholar] [CrossRef]
- Hong, S.-H.; Chung, K.; Bang, G.; Kim, K.-M.; Lee, C.-H. Adsorption equilibria and kinetics of CO2, CH4, CO, N2, and H2 on KOH-treated activated carbon pellets up to 1000 kPa. Chem. Eng. J. 2022, 431, 133396. [Google Scholar] [CrossRef]
- Auta, M.; Hameed, B.H. Preparation of waste tea activated carbon using potassium acetate as an activating agent for adsorption of Acid Blue 25 dye. Chem. Eng. J. 2011, 171, 502–509. [Google Scholar] [CrossRef]
- Patel, H.; Patel, H.; Gohel, M.; Tiwari, S. Dissolution rate improvement of telmisartan through modified MCC pellets using 32 full factorial design. Saudi Pharm. J. 2016, 24, 579–587. [Google Scholar] [CrossRef]
- Chopra, R.; Podczeck, F.; Newton, J.M.; Alderborn, G. The influence of pellet shape and film coating on the filling of pellets into hard shell capsules. Eur. J. Pharm. Biopharm. 2002, 53, 327–333. [Google Scholar] [CrossRef]
- Hussin, F.; Aroua, M.K.; Yusoff, R. Adsorption of CO2 on palm shell based activated carbon modified by deep eutectic solvent: Breakthrough adsorption study. J. Env. Chem. Eng. 2021, 9, 105333. [Google Scholar] [CrossRef]
- Yoro, K.O.; Singo, M.; Mulopo, J.L.; Daramola, M.O. Modelling and experimental study of the CO2 adsorption behaviour of polyaspartamide as an adsorbent during post-combustion CO2 capture. Energy Procedia 2017, 114, 1643–1664. [Google Scholar] [CrossRef]
- Rashidi, N.A.; Yusup, S. Potential of palm kernel shell as activated carbon precursors through single stage activation technique for carbon dioxide adsorption. J. Clean. Prod. 2017, 168, 474–486. [Google Scholar] [CrossRef]
- Singh, J.; Bhunia, H.; Basu, S. Adsorption of CO2 on KOH activated carbon adsorbents: Effect of different mass ratios. J. Environ. Manag. 2019, 250, 109457. [Google Scholar] [CrossRef] [PubMed]
- Ghosh, S.; Barron, A.R. The effect of KOH concentration on chemical activation of porous carbon sorbents for carbon dioxide uptake and carbon dioxide–methane selectivity: The relative formation of micro-(<2 nm) versus meso-(>2 nm) porosity. Sustain. Energy Fuels 2017, 1, 806–813. [Google Scholar] [CrossRef]
- Dehkordi, S.S.R.; Delavar, Q.; Ebrahim, H.A.; Partash, S.S. CO2 adsorption by coal-based activated carbon modified with sodium hydroxide. Mater. Today Commun. 2022, 33, 104776. [Google Scholar] [CrossRef]
- Singh, J.; Basu, S.; Bhunia, H. CO2 capture by modified porous carbon adsorbents: Effect of various activating agents. J. Taiwan Inst. Chem. Eng. 2019, 102, 438–447. [Google Scholar] [CrossRef]
- Li, K.; Zhang, D.; Niu, X.; Guo, H.; Yu, Y.; Tang, Z.; Lin, Z.; Fu, M. Insights into CO2 adsorption on KOH-activated biochars derived from the mixed sewage sludge and pine sawdust. Sci. Total Environ. 2022, 826, 154133. [Google Scholar] [CrossRef] [PubMed]
- Khalid, B.; Meng, Q.; Akram, R.; Cao, B. Effects of KOH activation on surface area, porosity and desalination performance of coconut carbon electrodes. Desalination Water Treat. 2016, 57, 2195–2202. [Google Scholar] [CrossRef]
- Maulina, S.; Iriansyah, M. Characteristics of activated carbon resulted from pyrolysis of the oil palm fronds powder. IOP Conf. Ser. Mater. Sci. Eng. 2018, 309, 012072. [Google Scholar] [CrossRef]
- Kaur, B.; Gupta, R.K.; Bhunia, H. Chemically activated nanoporous carbon adsorbents from waste plastic for CO2 capture: Breakthrough adsorption study. Microporous Mesoporous Mater. 2019, 282, 146–158. [Google Scholar] [CrossRef]
- Guo, B.; Zhang, J.; Wang, Y.; Qiao, X.; Xiang, J.; Jin, Y. Study on CO2 adsorption capacity and kinetic mechanism of CO2 adsorbent prepared from fly ash. Energy 2023, 263, 125764. [Google Scholar] [CrossRef]
- Borhan, A.; Yusup, S.; Lim, J.W.; Show, P.L. Characterization and modelling studies of activated carbon produced from rubber-seed shell using KOH for CO2 adsorption. Processes 2019, 7, 855. [Google Scholar] [CrossRef]
- Rashidi, N.A.; Yusup, S.; Borhan, A. Isotherm and thermodynamic analysis of carbon dioxide on activated carbon. Procedia Eng. 2016, 148, 630–637. [Google Scholar] [CrossRef]
- Ayawei, N.; Ebelegi, A.N.; Wankasi, D. Modelling and interpretation of adsorption isotherms. J. Chem. 2017, 2017, 3039817. [Google Scholar] [CrossRef]
- Kumar Singh, V.; Anil Kumar, E. Comparative studies on CO2 adsorption isotherms by solid adsorbents. Mater. Today Proc. 2018, 5, 23033–23042. [Google Scholar] [CrossRef]
- Singh, J.; Basu, S.; Bhunia, H. Dynamic CO2 adsorption on activated carbon adsorbents synthesized from polyacrylonitrile (PAN): Kinetic and isotherm studies. Mesopor. Mat. 2019, 280, 357–366. [Google Scholar] [CrossRef]
- Chowdhury, S.; Mishra, R.; Saha, P.; Kushwaha, P. Adsorption thermodynamics, kinetics and isosteric heat of adsorption of malachite green onto chemically modified rice husk. Desalination 2011, 265, 159–168. [Google Scholar] [CrossRef]
- Gkika, D.A.; Mitropoulos, A.C.; Kyzas, G.Z. Why reuse spent adsorbents? The latest challenges and limitations. Sci. Total Environ. 2022, 822, 153612. [Google Scholar] [CrossRef]
- Ghazali, Z.; Yarmo, M.A.; Hassan, N.H.; Teh, L.P.; Othaman, R. New green adsorbent for capturing carbon dioxide by choline chloride:urea-confined nanoporous silica. Arab J. Sci. Eng. 2020, 45, 4621–4634. [Google Scholar] [CrossRef]
- Yuan, X.; Lee, J.G.; Yun, H.; Deng, S.; Kim, Y.J.; Lee, J.E.; Kwak, S.K.; Lee, K.B. Solving two environmental issues simultaneously: Waste polyethylene terephthalate plastic bottle-derived microporous carbons for capturing CO2. Chem. Eng. J. 2020, 397, 125350. [Google Scholar] [CrossRef]
- Yu, Y.; Lee, D.; Jeong, B. The dependence of the work function of Pt(111) on surface carbon investigated with near ambient pressure X-ray photoelectron spectroscopy. Appl. Surf. Sci. 2023, 607, 155005. [Google Scholar] [CrossRef]
- Ayiania, M.; Smith, M.; Hensley, A.J.R.; Scudiero, L.; McEwen, J.-S.; Garcia-Perez, M. Deconvoluting the XPS spectra for nitrogen-doped chars: An analysis from first principles. Carbon 2020, 162, 528–544. [Google Scholar] [CrossRef]
- Bhatta, L.K.G.; Venkatesh, K.; N, K.; Gundanna, S.K.; Bhatta, U.M. Synthesis and characterization of activated carbon from Delonix regia seeds for CO2 adsorption. Energ. Clim. Chang. 2021, 2, 100064. [Google Scholar] [CrossRef]














| Samples | BET Surface Area, (m2/g) | Micropore Volume, (cm3/g) | Elemental Composition (%) | ||
|---|---|---|---|---|---|
| C | H | O | |||
| CAC-water | 843.92 | 0.27 | 73.98 | 1.78 | 6.65 |
| CAC-PA 1M | 856.44 | 0.31 | 69.92 | 1.65 | 10.52 |
| CAC-PA 2M | 883.76 | 0.36 | 66.36 | 1.95 | 14.72 |
| CAC-PA 3M | 825.08 | 0.21 | 67.53 | 2.62 | 12.04 |
| Isotherm Models | |||
|---|---|---|---|
| Freundlich | n | KF* | R2 |
| 1.38 | 3.84 | 0.988 | |
| Langmuir | qe* | KL* | R2 |
| 11.65 | 0.405 | 0.987 | |
| Temkin | B* | KT* | R2 |
| 0.779 | 15.577 | 0.966 |
| Temperatures (°C) | n | KF | R2 |
|---|---|---|---|
| 25 | 1.38 | 3.81 | 0.989 |
| 35 | 1.29 | 2.59 | 0.963 |
| 45 | 1.26 | 2.17 | 0.998 |
| 55 | 1.19 | 1.48 | 0.861 |
| Name | Position | FWHM a | R.S.F b | Area | %Concentration |
|---|---|---|---|---|---|
| C1s | 284.54 | 5.103 | 1 | 15,418.11 | 71.84 |
| O1s | 532.54 | 3.526 | 2.93 | 17,708.09 | 28.16 |
| Name | Bond | Functional Group | Position | FWHM a | R.S.F b | Area | %Concentration |
|---|---|---|---|---|---|---|---|
| C1 | C-C | Aromatic carbon | 283.15 | 0.915 | 1 | 4260.82 | 41.28 |
| C2 | C-C/C-H | Alkane | 285.52 | 1.085 | 1 | 3052.69 | 29.58 |
| C3 | C=C | Aromatic π-π* | 284.77 | 0.941 | 1 | 1026.28 | 9.94 |
| C4 | C-OH/C-O-C | Hydroxyl | 286.46 | 1.291 | 1 | 1156.67 | 11.21 |
| C5 | C=O O-C=O | Carbonyl/Carboxyl/Ester | 287.32 | 1.171 | 1 | 824.96 | 7.99 |
| Name | Bond | Functional Group | Position | FWHM a | R.S.F b | Area | %Concentration |
|---|---|---|---|---|---|---|---|
| O1 | O-C=O | Ester | 533.45 | 1.365 | 2.93 | 6821.00 | 57.65 |
| O2 | C-OH/C-O-C | Hydroxyl/ether | 531.91 | 1.574 | 2.93 | 4253.39 | 35.95 |
| O3 | C(=O)-OH | Carboxyl | 534.23 | 0.849 | 2.93 | 454.45 | 3.84 |
| O4 | C=O | Carbonyl | 530.37 | 1.096 | 2.93 | 302.68 | 2.56 |
Disclaimer/Publisher’s Note: The statements, opinions and data contained in all publications are solely those of the individual author(s) and contributor(s) and not of MDPI and/or the editor(s). MDPI and/or the editor(s) disclaim responsibility for any injury to people or property resulting from any ideas, methods, instructions or products referred to in the content. |
© 2023 by the authors. Licensee MDPI, Basel, Switzerland. This article is an open access article distributed under the terms and conditions of the Creative Commons Attribution (CC BY) license (https://creativecommons.org/licenses/by/4.0/).
Share and Cite
Hussin, F.; Hazani, N.N.; Aroua, M.K. The Effect of Physicochemical Properties and Surface Chemistry on CO2 Adsorption Capacity of Potassium Acetate-Treated Carbon Pellets. Sustainability 2023, 15, 4903. https://doi.org/10.3390/su15064903
Hussin F, Hazani NN, Aroua MK. The Effect of Physicochemical Properties and Surface Chemistry on CO2 Adsorption Capacity of Potassium Acetate-Treated Carbon Pellets. Sustainability. 2023; 15(6):4903. https://doi.org/10.3390/su15064903
Chicago/Turabian StyleHussin, Farihahusnah, Nur Nadira Hazani, and Mohamed Kheireddine Aroua. 2023. "The Effect of Physicochemical Properties and Surface Chemistry on CO2 Adsorption Capacity of Potassium Acetate-Treated Carbon Pellets" Sustainability 15, no. 6: 4903. https://doi.org/10.3390/su15064903
APA StyleHussin, F., Hazani, N. N., & Aroua, M. K. (2023). The Effect of Physicochemical Properties and Surface Chemistry on CO2 Adsorption Capacity of Potassium Acetate-Treated Carbon Pellets. Sustainability, 15(6), 4903. https://doi.org/10.3390/su15064903

