The “I” and the “We” in Nature Conservation—Investigating Personal and Collective Motives to Protect One’s Regional and Global Nature
Abstract
1. Introduction
1.1. Personal Determinants of Environmental Behavior
1.2. The Role of Social Identity for Pro-Environmental Action
1.2.1. Group-Based Emotions
1.2.2. Ingroup Norms
1.2.3. Collective Efficacy
1.3. The Present Research
2. Method
2.1. Participants and Design
2.2. Procedure and Materials
3. Results
3.1. Confirmatory Factor Analyses
3.2. Personal and Collective Predictors of Personal Norms, Intentions, and Behavior
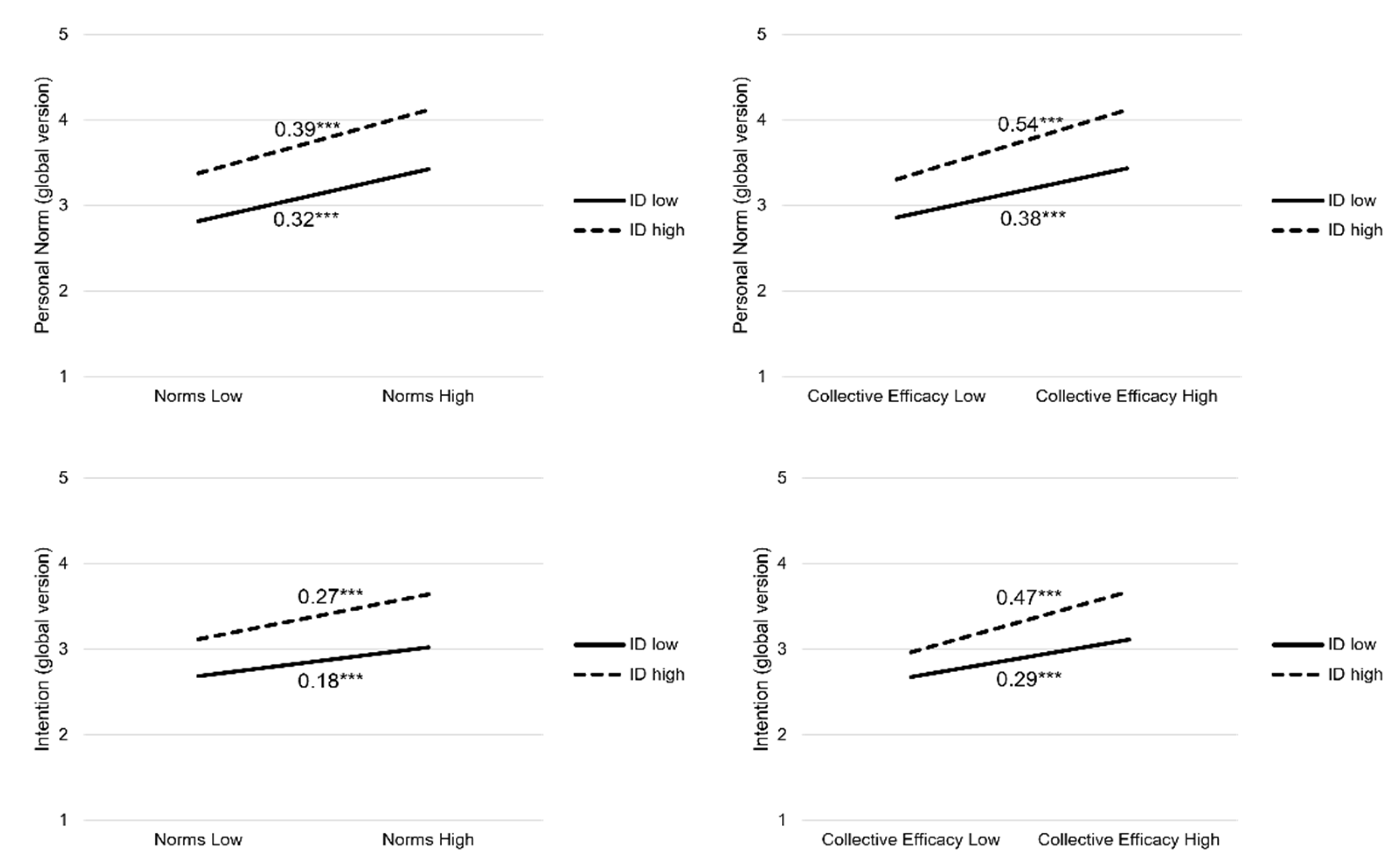
3.3. Ingroup Identification as a Moderator
4. Discussion
4.1. The Role of Ingroup Identification
4.2. Conclusions
Author Contributions
Funding
Institutional Review Board Statement
Informed Consent Statement
Data Availability Statement
Conflicts of Interest
References
- Intergovernmental Science-Policy Platform on Biodiversity and Ecosystem Services. Summary for Policymakers of the Global Assessment Report on Biodiversity and Ecosystem Services; Zenodo: Geneva, Switzerland, 2019. [Google Scholar] [CrossRef]
- Rockström, J.; Steffen, W.; Noone, K.; Persson, A.; Chapin, F.S.; Lambin, E.F.; Lenton, T.M.; Scheffer, M.; Folke, C.; Schellnhuber, H.J.; et al. A safe operating space for humanity. Nature 2009, 461, 472–475. [Google Scholar] [CrossRef] [PubMed]
- United Nations. UN Climate Change Annual Report 2017. Available online: https://unfccc.int/resource/annualreport/ (accessed on 21 February 2023).
- World Meteorological Organization (WMO). United In Science 2020: A Multi-Organization High-Level Compilation of the Latest Climate Science Information; WMO: Geneva, Switzerland, 2020. [Google Scholar]
- Salomon, E.; Preston, J.L.; Tannenbaum, M.B. Climate change helplessness and the (de)moralization of individual energy behavior. J. Exp. Psychol. Appl. 2017, 23, 15–28. [Google Scholar] [CrossRef] [PubMed]
- Hardin, G. The tragedy of the commons. Science 1968, 162, 1243–1248. [Google Scholar] [CrossRef] [PubMed]
- Bamberg, S.; Möser, G. Twenty years after Hines, Hungerford, and Tomera: A new meta-analysis of psycho-social determinants of pro-environmental behaviour. J. Environ. Psychol. 2007, 27, 14–25. [Google Scholar] [CrossRef]
- Klöckner, C.A.; Blöbaum, A. A comprehensive action determination model: Toward a broader understanding of ecological behaviour using the example of travel mode choice. J. Environ. Psychol. 2010, 30, 574–586. [Google Scholar] [CrossRef]
- Fritsche, I.; Barth, M.; Jugert, P.; Masson, T.; Reese, G. A social identity model of pro-environmental action (SIMPEA). Psychol. Rev. 2018, 125, 245–269. [Google Scholar] [CrossRef]
- Bundesamt für Naturschutz. 2017 Nature Awareness Study. 2018. Available online: https://www.bmu.de/fileadmin/Daten_BMU/Pools/Broschueren/naturbewusstseinsstudie_2017_en_bf.pdf (accessed on 21 February 2023).
- Klöckner, C.A. A comprehensive model of the psychology of environmental behaviour—A meta-analysis. Glob. Environ. Chang. 2013, 23, 1028–1038. [Google Scholar] [CrossRef]
- Ajzen, I. The theory of planned behavior. Organ. Behav. Hum. Decis. Process. 1991, 50, 179–211. [Google Scholar] [CrossRef]
- Schwartz, S.H. Normative Influences on Altruism. In Advances in Experimental Social Psychology; Berkowitz, L., Ed.; Academic Press: Cambridge, MA, USA, 1977; Volume 10, pp. 221–279. [Google Scholar] [CrossRef]
- Schwartz, S.H.; Howard, J.A. A normative decision-making model of altruism. In Altruism and Helping Behavior: Social, Personality, and Developmental Perspectives; Rushton, J.P., Sorrentino, R.M., Eds.; Lawrence Erlbaum Associates: Mahwah, NJ, USA, 1981; pp. 189–211. [Google Scholar]
- Stern, P.C. New Environmental Theories: Toward a Coherent Theory of Environmentally Significant Behavior. J. Soc. Issues 2000, 56, 407–424. [Google Scholar] [CrossRef]
- Triandis, H.C. Interpersonal Behavior; Brooks/Cole: Monterey, CA, USA, 1977. [Google Scholar]
- Klöckner, C.A.; Matthies, E. Two Pieces of the Same Puzzle? Script-Based Car Choice Habits Between the Influence of Socialization and Past Behavior. J. Appl. Soc. Psychol. 2012, 42, 793–821. [Google Scholar] [CrossRef]
- Bamberg, S.; Rees, J.; Seebauer, S. Collective climate action: Determinants of participation intention in community-based pro-environmental initiatives. J. Environ. Psychol. 2015, 43, 155–165. [Google Scholar] [CrossRef]
- Fielding, K.S.; Hornsey, M.J. A Social Identity Analysis of Climate Change and Environmental Attitudes and Behaviors: Insights and Opportunities. Front. Psychol. 2016, 7, 121. [Google Scholar] [CrossRef]
- Masson, T.; Fritsche, I. We need climate change mitigation and climate change mitigation needs the ‘We’: A state-of-the-art review of social identity effects motivating climate change action. Curr. Opin. Behav. Sci. 2021, 42, 89–96. [Google Scholar] [CrossRef]
- Postmes, T.; Rabinovich, A.; Morton, T.A.; van Zomeren, M. Toward sustainable social identities: Including our collective future into the self-concept. In Encouraging Sustainable Behavior: Psychology and the Environment; Van Trijp, H.C.M., Ed.; Psychology Press: London, UK, 2014; pp. 185–202. [Google Scholar]
- Tajfel, H.; Turner, J.C. An integrative theory of intergroup conflict. In The Social Psychology of Intergroup Relations; Austin, W.G., Worchel, S., Eds.; Brooks/Cole: Monterey, CA, USA, 1979; pp. 33–47. [Google Scholar]
- Turner, J.C.; Hogg, M.A.; Oakes, P.J.; Reicher, S.D.; Wetherell, M.S. Rediscovering the Social Group: A Self-Categorization Theory; Basil Blackwell: Oxford, UK, 1987. [Google Scholar]
- Tajfel, H. Differentiation between Social Groups: Studies in the Social Psychology of Intergroup Relations; Academic Press: Cambridge, MA, USA, 1978; Volume 14. [Google Scholar]
- Smith, E.R.; Mackie, D.M. Dynamics of Group-Based Emotions: Insights from Intergroup Emotions Theory. Emot. Rev. 2015, 7, 349–354. [Google Scholar] [CrossRef]
- Landmann, H.; Rohmann, A. Being moved by protest: Collective efficacy beliefs and injustice appraisals enhance collective action intentions for forest protection via positive and negative emotions. J. Environ. Psychol. 2020, 71, 101491. [Google Scholar] [CrossRef]
- Smith, H.J.; Cronin, T.; Kessler, T. Anger, Fear, or Sadness: Faculty Members’ Emotional Reactions to Collective Pay Disadvantage. Political Psychol. 2008, 29, 221–246. [Google Scholar] [CrossRef]
- Van Zomeren, M.; Spears, R.; Leach, C.W. Experimental evidence for a dual pathway model analysis of coping with the climate crisis. J. Environ. Psychol. 2010, 30, 339–346. [Google Scholar] [CrossRef]
- Harth, N.S.; Leach, C.W.; Kessler, T. Guilt, anger, and pride about in-group environmental behaviour: Different emotions predict distinct intentions. J. Environ. Psychol. 2013, 34, 18–26. [Google Scholar] [CrossRef]
- Adams, I.; Hurst, K.; Sintov, N.D. Experienced guilt, but not pride, mediates the effect of feedback on pro-environmental behavior. J. Environ. Psychol. 2020, 71, 101476. [Google Scholar] [CrossRef]
- Mallett, R.K.; Melchiori, K.J.; Strickroth, T. Self-confrontation via a carbon footprint calculator increases guilt and support for a proenvironmental group. Ecopsychology 2013, 5, 9–16. [Google Scholar] [CrossRef]
- Cialdini, R.B. Crafting Normative Messages to Protect the Environment. Curr. Dir. Psychol. Sci. 2003, 12, 105–109. [Google Scholar] [CrossRef]
- Fornara, F.; Carrus, G.; Passafaro, P.; Bonnes, M. Distinguishing the sources of normative influence on proenvironmental behaviors. Group Process. Intergroup Relat. 2011, 14, 623–635. [Google Scholar] [CrossRef]
- Nigbur, D.; Lyons, E.; Uzzell, D. Attitudes, norms, identity and environmental behaviour: Using an expanded theory of planned behaviour to predict participation in a kerbside recycling programme. Br. J. Soc. Psychol. 2010, 49, 259–284. [Google Scholar] [CrossRef] [PubMed]
- Terry, D.J.; Hogg, M.A.; White, K.M. The theory of planned behaviour: Self-identity, social identity and group norms. Br. J. Soc. Psychol. 1999, 38, 225–244. [Google Scholar] [CrossRef]
- White, K.M.; Smith, J.R.; Terry, D.J.; Greenslade, J.H.; McKimmie, B.M. Social influence in the theory of planned behaviour: The role of descriptive, injunctive, and in-group norms. Br. J. Soc. Psychol. 2009, 48 Pt 1, 135–158. [Google Scholar] [CrossRef]
- Barth, M.; Jugert, P.; Fritsche, I. Still underdetected—Social norms and collective efficacy predict the acceptance of electric vehicles in Germany. Transp. Res. Part F Traffic Psychol. Behav. 2016, 37, 64–77. [Google Scholar] [CrossRef]
- Fielding, K.S.; Terry, D.J.; Masser, B.M.; Hogg, M.A. Integrating social identity theory and the theory of planned behaviour to explain decisions to engage in sustainable agricultural practices. Br. J. Soc. Psychol. 2008, 47, 23–48. [Google Scholar] [CrossRef]
- Masson, T.; Fritsche, I. Adherence to climate change-related ingroup norms: Do dimensions of group identification matter? Eur. J. Soc. Psychol. 2014, 44, 455–465. [Google Scholar] [CrossRef]
- Reese, G.; Loew, K.; Steffgen, G. A towel less: Social norms enhance pro-environmental behavior in hotels. J. Soc. Psychol. 2014, 154, 97–100. [Google Scholar] [CrossRef]
- Nolan, J.M.; Schultz, P.W.; Cialdini, R.B.; Goldstein, N.J.; Griskevicius, V. Normative social influence is underdetected. Personal. Soc. Psychol. Bull. 2008, 34, 913–923. [Google Scholar] [CrossRef]
- Van Zomeren, M.; Postmes, T.; Spears, R. Toward an integrative social identity model of collective action: A quantitative research synthesis of three socio-psychological perspectives. Psychol. Bull. 2008, 134, 504–535. [Google Scholar] [CrossRef]
- Morton, T.A.; Rabinovich, A.; Marshall, D.; Bretschneider, P. The future that may (or may not) come: How framing changes responses to uncertainty in climate change communications. Glob. Environ. Chang. 2011, 21, 103–109. [Google Scholar] [CrossRef]
- Wang, X. The role of attitudinal motivations and collective efficacy on Chinese consumers’ intentions to engage in personal behaviors to mitigate climate change. J. Soc. Psychol. 2018, 158, 51–63. [Google Scholar] [CrossRef]
- Homburg, A.; Stolberg, A. Explaining pro-environmental behavior with a cognitive theory of stress. J. Environ. Psychol. 2006, 26, 1–14. [Google Scholar] [CrossRef]
- Schultz, P.W.; Kaiser, F.G. Promoting pro-environmental behavior. In The Oxford Handbook of Environmental and Conservation Psychology; Oxford University Press: Oxford, UK, 2012; pp. 556–580. [Google Scholar] [CrossRef]
- Jugert, P.; Greenaway, K.H.; Barth, M.; Büchner, R.; Eisentraut, S.; Fritsche, I. Collective efficacy increases pro-environmental intentions through increasing self-efficacy. J. Environ. Psychol. 2016, 48, 12–23. [Google Scholar] [CrossRef]
- Hayes, A.F. Introduction to Mediation, Moderation, and Conditional Process Analysis: Third Edition: A Regression-Based Approach, 3rd ed.; Guilford Press: New York City, NY, USA, 2022; Available online: https://www.guilford.com/books/Introduction-to-Mediation-Moderation-and-Conditional-Process-Analysis/Andrew-Hayes/9781462549030 (accessed on 21 February 2023).
- Fritsche, I.; Masson, T. Collective climate action: When do people turn into collective environmental agents? Curr. Opin. Psychol. 2021, 42, 114–119. [Google Scholar] [CrossRef]
- McFarland, S.; Hackett, J.; Hamer, K.; Katzarska-Miller, I.; Malsch, A.; Reese, G.; Reysen, S. Global Human Identification and Citizenship: A Review of Psychological Studies. Political Psychol. 2019, 40, 141–171. [Google Scholar] [CrossRef]
- Leung, A.K.-Y.; Koh, K.; Tam, K.-P. Being environmentally responsible: Cosmopolitan orientation predicts pro-environmental behaviors. J. Environ. Psychol. 2015, 43, 79–94. [Google Scholar] [CrossRef]
- Renger, D.; Reese, G. From Equality-Based Respect to Environmental Activism: Antecedents and Consequences of Global Identity. Political Psychol. 2017, 38, 867–879. [Google Scholar] [CrossRef]
- Reysen, S.; Katzarska-Miller, I. A model of global citizenship: Antecedents and outcomes. Int. J. Psychol. 2013, 48, 858–870. [Google Scholar] [CrossRef]
- Römpke, A.-K.; Fritsche, I.; Reese, G. Get together, feel together, act together: International personal contact increases identification with humanity and global collective action. J. Theor. Soc. Psychol. 2019, 3, 35–48. [Google Scholar] [CrossRef]
- Vesely, S.; Masson, T.; Chokrai, P.; Becker, A.M.; Fritsche, I.; Klöckner, C.A.; Tiberio, L.; Carrus, G.; Panno, A. Climate change action as a project of identity: Eight meta-analyses. Glob. Environ. Chang. 2021, 70, 102322. [Google Scholar] [CrossRef]
- Jans, L. Changing environmental behaviour from the bottom up: The formation of pro-environmental social identities. J. Environ. Psychol. 2021, 73, 101531. [Google Scholar] [CrossRef]
- Lede, E.; Meleady, R.; Seger, C.R. Optimizing the influence of social norms interventions: Applying social identity insights to motivate residential water conservation. J. Environ. Psychol. 2019, 62, 105–114. [Google Scholar] [CrossRef]
- Sarrasin, O.; Henry, J.L.; Masserey, C.; Graff, F. The Relationships between Adolescents’ Climate Anxiety, Efficacy Beliefs, Group Dynamics, and Pro-Environmental Behavioral Intentions after a Group-Based Environmental Education Intervention. Youth 2022, 2, 422–440. [Google Scholar] [CrossRef]


| Factor | Item | Estimate | SE | p |
|---|---|---|---|---|
| Global Identification | The fact that I am part of humanity is an important part of my identity. | 0.823 | 0.029 | <0.001 |
| I feel a bond with humanity. | 0.945 | 0.029 | <0.001 | |
| Being a part of humanity gives me a good feeling. | 0.808 | 0.028 | <0.001 | |
| Identification with Environmentalists | I identify with the group of nature conservationists. | 1.171 | 0.026 | <0.001 |
| Collective Efficacy | We as humanity are able to collectively engage in the protection of nature on Earth. | 0.645 | 0.025 | <0.001 |
| I believe that we as humanity are collectively able to succeed in protecting the nature on Earth. | 0.687 | 0.026 | <0.001 | |
| Ingroup Norms | In my opinion, a clear majority of humanity finds it important to do something for the protection of nature on Earth. | 0.780 | 0.037 | <0.001 |
| In my opinion, a clear majority of humanity engages in the protection of the nature on Earth. | 0.846 | 0.039 | <0.001 | |
| Group-based Guilt | I feel guilty when I think about how we as humanity treat nature on Earth. | 1.107 | 0.025 | <0.001 |
| Personal Efficacy | I am personally able to engage in the protection of nature on Earth. | 0.848 | 0.032 | <0.001 |
| I believe that I am personally able to succeed in protecting the nature on Earth. | 0.930 | 0.032 | <0.001 | |
| Attitudes | For me, only few things are more important than protecting the nature on Earth. | 1.097 | 0.025 | <0.001 |
| Problem Awareness | For me, the manner in which people deal with nature on Earth is extremely problematic. | 0.862 | 0.019 | <0.001 |
| Factor | Item | Estimate | SE | p |
|---|---|---|---|---|
| Regional Identification | The fact that I am part of the people in my region is an important part of my identity. | 0.781 | 0.027 | <0.001 |
| I feel a bond with the people in my region. | 0.900 | 0.027 | <0.001 | |
| Being a part of the people in my region gives me a good feeling. | 0.787 | 0.026 | <0.001 | |
| Identification with Environmentalists | I identify with the group of nature conservationists. | 1.194 | 0.026 | <0.001 |
| Collective Efficacy | We as people in our region are able to collectively engage in the protection of our regional nature. | 0.742 | 0.027 | <0.001 |
| I believe that we as the people in our region are collectively able to succeed in protecting our regional nature. | 0.782 | 0.028 | <0.001 | |
| Ingroup Norms | In my opinion, a clear majority of the people in our region finds it important to do something for the protection of our regional nature. | 0.816 | 0.031 | <0.001 |
| In my opinion, a clear majority of the people in our region engages in the protection of our regional nature. | 0.824 | 0.033 | <0.001 | |
| Group-based guilt | I feel guilty when I think about how we treat nature in our region. | 1.126 | 0.025 | <0.001 |
| Personal Efficacy | I am personally able to engage in the protection of nature in my region. | 0.907 | 0.031 | <0.001 |
| I believe that I am personally able to succeed in protecting the nature in my region. | 0.933 | 0.031 | <0.001 | |
| Attitudes | For me, only a few things are more important than protecting nature in my region. | 1.172 | 0.026 | <0.001 |
| Problem Awareness | For me, the manner in which people deal with nature in my region is extremely problematic. | 1.032 | 0.023 | <0.001 |
| 1 | 2 | 3 | 4 | 5 | 6 | 7 | 8 | 9 | 10 | 11 | |||||||||||
|---|---|---|---|---|---|---|---|---|---|---|---|---|---|---|---|---|---|---|---|---|---|
| 1 Ingroup identification | — | ||||||||||||||||||||
| 2 Identification with nature conservationists | 0.379 | *** | — | ||||||||||||||||||
| 3 Collective efficacy | 0.408 | *** | 0.372 | *** | — | ||||||||||||||||
| 4 Ingroup norms | 0.313 | *** | 0.363 | *** | 0.332 | *** | — | ||||||||||||||
| 5 Group-based guilt | 0.331 | *** | 0.468 | *** | 0.308 | *** | 0.327 | *** | — | ||||||||||||
| 6 Personal efficacy | 0.385 | *** | 0.503 | *** | 0.423 | *** | 0.414 | *** | 0.443 | *** | — | ||||||||||
| 7 Attitudes | 0.312 | *** | 0.432 | *** | 0.248 | *** | 0.384 | *** | 0.400 | *** | 0.438 | *** | — | ||||||||
| 8 Problem awareness | 0.178 | *** | 0.275 | *** | 0.409 | *** | 0.192 | *** | 0.267 | *** | 0.315 | *** | 0.251 | *** | — | ||||||
| 9 Personal norm | 0.411 | *** | 0.554 | *** | 0.441 | *** | 0.431 | *** | 0.483 | *** | 0.654 | *** | 0.517 | *** | 0.389 | *** | — | ||||
| 10 Intentions | 0.353 | *** | 0.588 | *** | 0.392 | *** | 0.321 | *** | 0.520 | *** | 0.607 | *** | 0.426 | *** | 0.341 | *** | 0.616 | *** | — | ||
| 11 Behavior | 0.233 | *** | 0.403 | *** | 0.268 | *** | 0.151 | *** | 0.365 | *** | 0.286 | *** | 0.273 | *** | 0.215 | *** | 0.328 | *** | 0.482 | *** | — |
| Mean | 3.80 | 2.93 | 4.17 | 3.37 | 3.22 | 3.34 | 2.99 | 4.13 | 3.45 | 3.13 | 2.55 | ||||||||||
| N | 1005 | 1004 | 1007 | 997 | 1003 | 1006 | 1003 | 1008 | 1004 | 1009 | 1009 | ||||||||||
| SD | 0.92 | 1.17 | 0.75 | 0.96 | 1.11 | 0.99 | 1.10 | 0.86 | 1.02 | 0.92 | 1.86 |
| 1 | 2 | 3 | 4 | 5 | 6 | 7 | 8 | 9 | 10 | 11 | |||||||||||
|---|---|---|---|---|---|---|---|---|---|---|---|---|---|---|---|---|---|---|---|---|---|
| 1 Ingroup identification | — | ||||||||||||||||||||
| 2 Identification with nature conservationists | 0.324 | *** | — | ||||||||||||||||||
| 3 Collective efficacy | 0.411 | *** | 0.438 | *** | — | ||||||||||||||||
| 4 Ingroup norms | 0.384 | *** | 0.394 | *** | 0.513 | *** | — | ||||||||||||||
| 5 Group-based guilt | 0.240 | *** | 0.412 | *** | 0.256 | *** | 0.282 | *** | — | ||||||||||||
| 6 Personal efficacy | 0.304 | *** | 0.562 | *** | 0.543 | *** | 0.515 | *** | 0.430 | *** | — | ||||||||||
| 7 Attitudes | 0.260 | *** | 0.438 | *** | 0.275 | *** | 0.375 | *** | 0.417 | *** | 0.499 | *** | — | ||||||||
| 8 Problem awareness | 0.152 | *** | 0.230 | *** | 0.185 | *** | 0.126 | *** | 0.365 | *** | 0.312 | *** | 0.282 | *** | — | ||||||
| 9 Personal norm | 0.332 | *** | 0.565 | *** | 0.469 | *** | 0.514 | *** | 0.469 | *** | 0.681 | *** | 0.549 | *** | 0.313 | *** | — | ||||
| 10 Intentions | 0.258 | *** | 0.559 | *** | 0.461 | *** | 0.379 | *** | 0.479 | *** | 0.695 | *** | 0.487 | *** | 0.365 | *** | 0.661 | *** | — | ||
| 11 Behavior | 0.195 | *** | 0.322 | *** | 0.270 | *** | 0.165 | *** | 0.317 | *** | 0.344 | *** | 0.194 | *** | 0.232 | *** | 0.342 | *** | 0.471 | *** | — |
| Mean | 3.88 | 2.83 | 3.79 | 3.36 | 2.78 | 3.15 | 2.74 | 3.30 | 3.16 | 3.03 | 2.58 | ||||||||||
| N | 1056 | 1050 | 1051 | 1041 | 1048 | 1056 | 1043 | 1040 | 1053 | 1056 | 1056 | ||||||||||
| SD | 0.88 | 1.19 | 0.86 | 0.95 | 1.13 | 1.03 | 1.17 | 1.03 | 1.12 | 0.99 | 1.84 |
| Personal Norm | Intention | Behavior | ||||||||
|---|---|---|---|---|---|---|---|---|---|---|
| Beta | p | R2 | Beta | p | R2 | Beta | p | R2 | ||
| Block 1 (Personal) | Personal efficacy | 0.499 | <0.001 | 0.522 | 0.454 | <0.001 | 0.422 | 0.321 | <0.001 | 0.117 |
| Attitudes | 0.246 | <0.001 | 0.147 | <0.001 | 0.263 | <0.001 | ||||
| Problem Awareness | 0.204 | <0.001 | 0.159 | <0.001 | 0.278 | <0.001 | ||||
| Block 1 (Collective) | Collective efficacy | 0.231 | <0.001 | 0.442 | 0.164 | <0.001 | 0.450 | 0.273 | <0.001 | 0.204 |
| Ingroup norms | 0.182 | <0.001 | 0.037 | 0.152 | −0.016 | 0.011 | ||||
| Global Identification | 0.129 | <0.001 | 0.054 | 0.050 | 0.054 | 0.421 | ||||
| Identification with Environmentalists | 0.246 | <0.001 | 0.300 | <0.001 | 0.425 | <0.001 | ||||
| Group-based guilt | 0.182 | <0.001 | 0.228 | <0.001 | 0.359 | <0.001 | ||||
| Block 2 (Personal, Collective) | Personal efficacy | 0.354 | <0.001 | 0.574 | 0.298 | <0.001 | 0.530 | 0.057 | 0.416 | 0.212 |
| Attitudes | 0.166 | <0.001 | 0.054 | 0.016 | 0.118 | 0.042 | ||||
| Problem Awareness | 0.142 | <0.001 | 0.092 | <0.001 | 0.136 | 0.050 | ||||
| Collective efficacy | 0.105 | 0.003 | 0.060 | 0.070 | 0.209 | 0.017 | ||||
| Ingroup norms | 0.066 | 0.014 | −0.037 | 0.145 | −0.205 | 0.002 | ||||
| Global Identification | 0.077 | 0.005 | 0.017 | 0.517 | 0.042 | 0.537 | ||||
| Identification with Environmentalists | 0.129 | <0.001 | 0.221 | <0.001 | 0.378 | <0.001 | ||||
| Group-based guilt | 0.079 | <0.001 | 0.162 | <0.001 | 0.314 | <0.001 | ||||
| Personal Norm | Intention | Behavior | ||||||||
|---|---|---|---|---|---|---|---|---|---|---|
| Beta | p | R2 | Beta | p | R2 | Beta | p | R2 | ||
| Block 1 (Personal) | Personal efficacy | 0.584 | <0.001 | 0.532 | 0.541 | <0.001 | 0.520 | 0.534 | <0.001 | 0.130 |
| Attitudes | 0.253 | <0.001 | 0.142 | <0.001 | 0.004 | 0.947 | ||||
| Problem Awareness | 0.073 | 0.004 | 0.134 | <0.001 | 0.241 | <0.001 | ||||
| Block 1 (Collective) | Collective efficacy | 0.176 | <0.001 | 0.485 | 0.262 | <0.001 | 0.426 | 0.330 | <0.001 | 0.156 |
| Ingroup norms | 0.310 | <0.001 | 0.080 | 0.009 | −0.121 | 0.083 | ||||
| Regional Identification | 0.027 | 0.422 | −0.050 | 0.101 | 0.100 | 0.152 | ||||
| Identification with Environmentalists | 0.287 | <0.001 | 0.271 | <0.001 | 0.274 | <0.001 | ||||
| Group-based guilt | 0.235 | <0.001 | 0.236 | <0.001 | 0.336 | <0.002 | ||||
| Block 2 (Personal, Collective) | Personal efficacy | 0.382 | <0.001 | 0.593 | 0.414 | <0.001 | 0.566 | 0.328 | <0.001 | 0.180 |
| Attitudes | 0.166 | <0.001 | 0.096 | <0.001 | −0.090 | 0.113 | ||||
| Problem Awareness | 0.042 | 0.081 | 0.096 | <0.001 | 0.147 | 0.010 | ||||
| Collective efficacy | 0.059 | 0.090 | 0.126 | <0.001 | 0.209 | 0.010 | ||||
| Ingroup norms | 0.172 | <0.001 | −0.044 | 0.111 | −0.171 | 0.017 | ||||
| Regional Identification | 0.027 | 0.364 | −0.047 | 0.081 | 0.112 | 0.108 | ||||
| Identification with Environmentalists | 0.148 | <0.001 | 0.138 | <0.001 | 0.204 | <0.001 | ||||
| Group-based guilt | 0.118 | <0.001 | 0.116 | <0.001 | 0.265 | <0.001 | ||||
| Ingroup Norms × Ingroup Identification | Collective Efficacy × Ingroup Identification | ||||||
|---|---|---|---|---|---|---|---|
| Estimate | SE | p | Estimate | SE | p | ||
| Global | Personal Norm | 0.038 | 0.029 | 0.192 | 0.084 | 0.037 | 0.024 |
| Intention | 0.053 | 0.028 | 0.056 | 0.098 | 0.034 | 0.004 | |
| Behavior | −0.148 | 0.059 | 0.012 | 0.113 | 0.074 | 0.127 | |
| Regional | Personal Norm | 0.054 | 0.030 | 0.074 | 0.030 | 0.034 | 0.376 |
| Intention | −0.019 | 0.029 | 0.504 | −0.006 | 0.031 | 0.843 | |
| Behavior | −0.086 | 0.058 | 0.138 | −0.092 | 0.062 | 0.138 | |
Disclaimer/Publisher’s Note: The statements, opinions and data contained in all publications are solely those of the individual author(s) and contributor(s) and not of MDPI and/or the editor(s). MDPI and/or the editor(s) disclaim responsibility for any injury to people or property resulting from any ideas, methods, instructions or products referred to in the content. |
© 2023 by the authors. Licensee MDPI, Basel, Switzerland. This article is an open access article distributed under the terms and conditions of the Creative Commons Attribution (CC BY) license (https://creativecommons.org/licenses/by/4.0/).
Share and Cite
Hoppe, A.; Fritsche, I.; Chokrai, P. The “I” and the “We” in Nature Conservation—Investigating Personal and Collective Motives to Protect One’s Regional and Global Nature. Sustainability 2023, 15, 4694. https://doi.org/10.3390/su15054694
Hoppe A, Fritsche I, Chokrai P. The “I” and the “We” in Nature Conservation—Investigating Personal and Collective Motives to Protect One’s Regional and Global Nature. Sustainability. 2023; 15(5):4694. https://doi.org/10.3390/su15054694
Chicago/Turabian StyleHoppe, Annedore, Immo Fritsche, and Parissa Chokrai. 2023. "The “I” and the “We” in Nature Conservation—Investigating Personal and Collective Motives to Protect One’s Regional and Global Nature" Sustainability 15, no. 5: 4694. https://doi.org/10.3390/su15054694
APA StyleHoppe, A., Fritsche, I., & Chokrai, P. (2023). The “I” and the “We” in Nature Conservation—Investigating Personal and Collective Motives to Protect One’s Regional and Global Nature. Sustainability, 15(5), 4694. https://doi.org/10.3390/su15054694
