Deep Churn Prediction Method for Telecommunication Industry
Abstract
1. Introduction
- Recommending a prediction model for churn with a high precision and accuracy.
- The proposed model is able to conquer the complication of lower quantity of churn in the datasets in comparison to the non-churn customers.
- The proposed model has been thoroughly evaluated using diverse performance metrics using two public datasets. These include accuracy, recall, precision, F1 score, and AUC- (Area Under the ROC Curve) ROC (Receiver Operating Characteristic). Also, the model was compared with different related works on churn prediction rate, which showed that our model outperforms all of them.
- Further, the statistical analysis using ANOVA and Wilcoxon showed that the proposed models are statistically significant compared to other models.
2. Literature Survey
3. Proposed Methodology
3.1. Techniques Used
3.1.1. Ensemble Learning
3.1.2. Artificial Neural Network (ANN)
3.1.3. Decision Tree (DT)
3.1.4. k Nearest Neighbor
3.1.5. Logistic Regression (LR)
3.1.6. Convolutional Neural Network (CNN)
3.2. Dataset Used
3.3. Research Model
3.4. Performance Measures
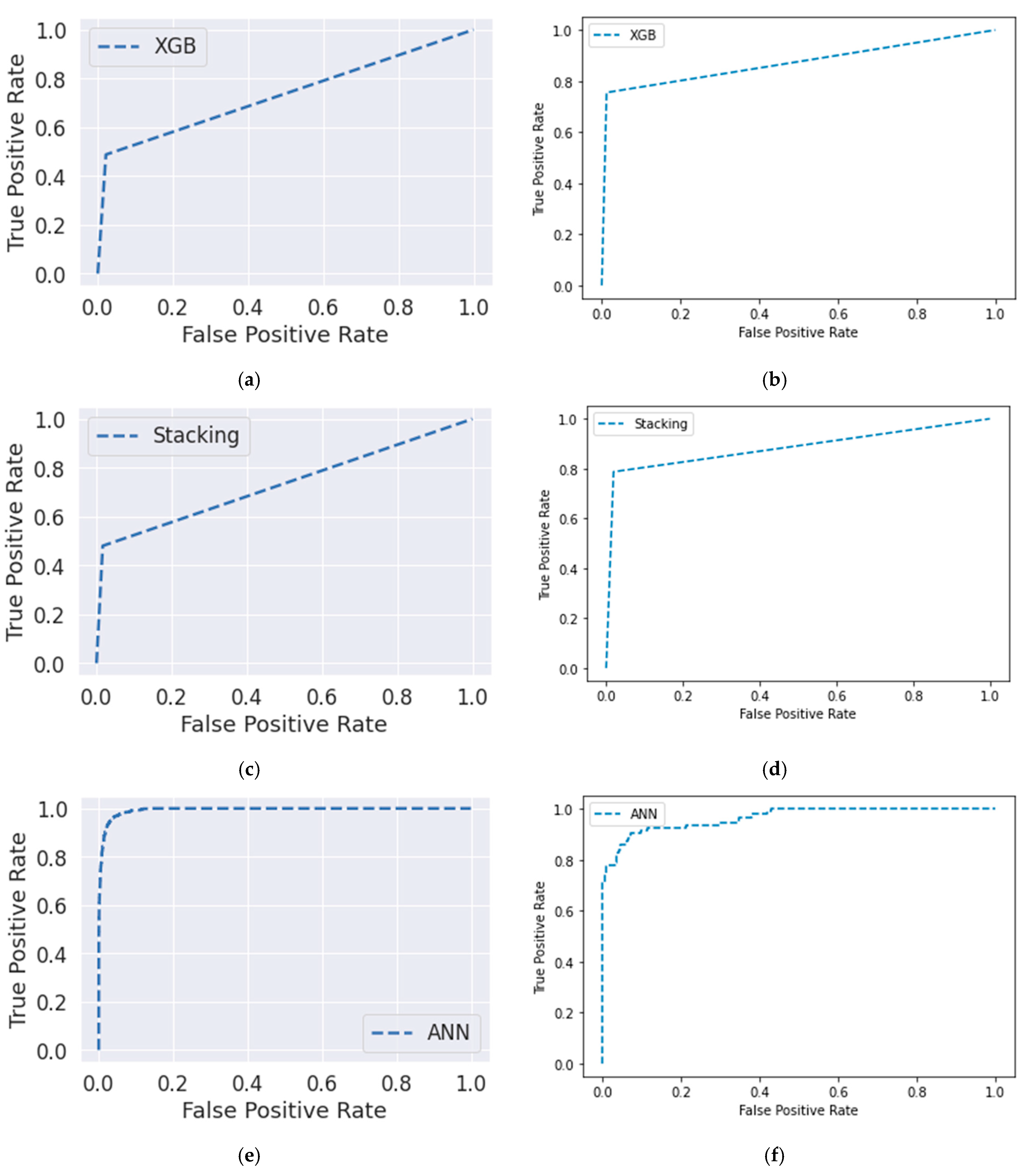
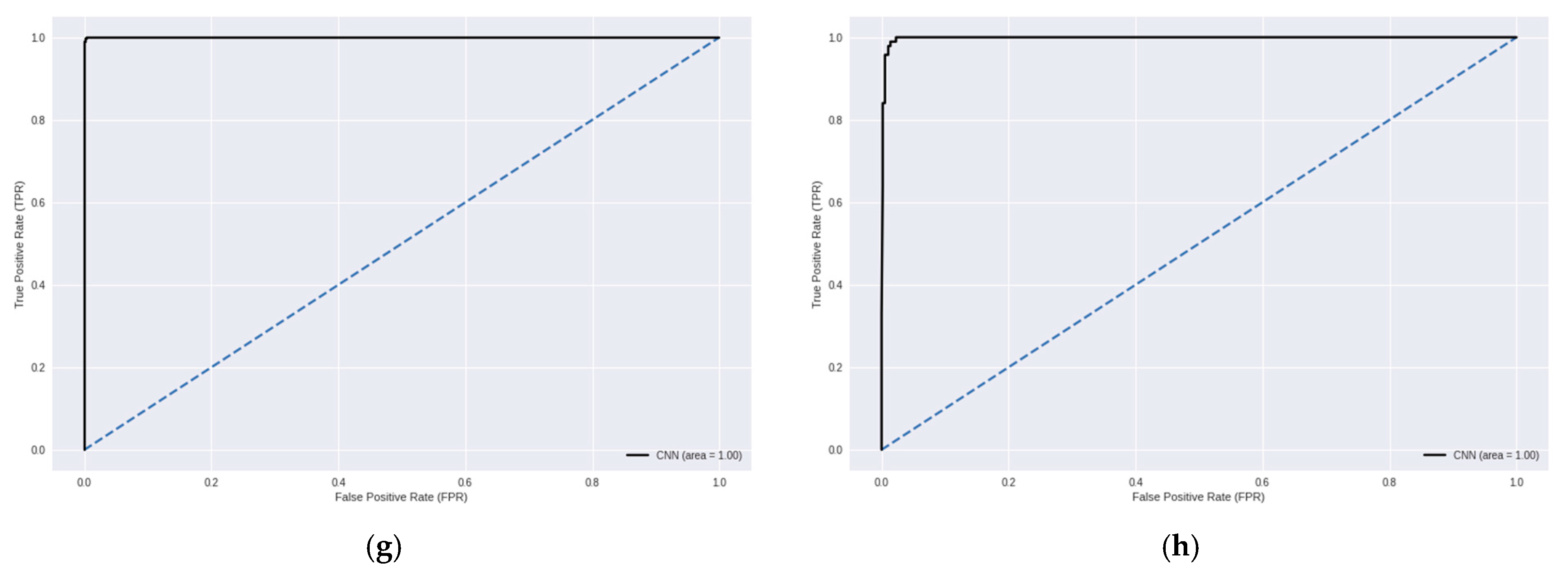
4. Results and Discussion
- -
- Targeted Advertising: machine learning models can analyze customer data such as demographics, interests, and online behavior to identify potential target audiences for specific products and services. This allows for more effective and efficient targeting, leading to higher conversion rates.
- -
- Content Optimization: machine learning algorithms can help businesses determine the best times to post content and the types of content that perform best, leading to increased customers engagement and reach.
- -
- Advertising Optimization: machine learning models can be used to automate and optimize advert placement and bid prices, saving time and resources while improving overall campaign performance.
- -
- Sentiment Analysis: machine learning models can be used to analyze customer sentiment and feedback, providing valuable insights into customer opinions and preferences. Such information can then be used to improve the company marketing strategies and campaigns.
Statistical Analysis
5. Conclusions
Author Contributions
Funding
Institutional Review Board Statement
Informed Consent Statement
Data Availability Statement
Conflicts of Interest
References
- Mishra, A.; Reddy, U.S. A comparative study of customer churn prediction in telecom industry using ensemble-based classifiers. In Proceedings of the 2017 International Conference on Inventive Computing and Informatics (ICICI), Coimbatore, India, 23–24 November 2017; IEEE: Piscataway, NJ, USA, 2017; pp. 721–725. [Google Scholar]
- Shirazi, F.; Mohammadi, M. A big data analytics model for customer churn prediction in the retiree segment. Int. J. Inf. Manag. 2019, 48, 238–253. [Google Scholar] [CrossRef]
- Bhattacharyya, J.; Dash, M.K. Investigation of customer churn insights and intelligence from social media: A netnographic research. Online Inf. Rev. 2020, 45, 174–206. [Google Scholar] [CrossRef]
- Ahmad, A.K.; Jafar, A.; Aljoumaa, K. Customer churn prediction in telecom using machine learning in big data platform. J. Big Data 2019, 6, 28. [Google Scholar] [CrossRef]
- Coussement, K.; Lessmann, S.; Verstraeten, G. A comparative analysis of data preparation algorithms for customer churn prediction: A case study in the telecommunication industry. Decis. Support Syst. 2017, 95, 27–36. [Google Scholar] [CrossRef]
- Ly, T.V.; Son, D.V.T. Churn prediction in telecommunication industry using kernel Support Vector Machines. PLoS ONE 2022, 17, e0267935. [Google Scholar]
- De Caigny, A.; Coussement, K.; De Bock, K.W. A new hybrid classification algorithm for customer churn prediction based on logistic regression and decision trees. Eur. J. Oper. Res. 2018, 269, 760–772. [Google Scholar] [CrossRef]
- El-Gohary, H.; Trueman, M.; Fukukawa, K. Understanding the factors affecting the adoption of E-Marketing by small business enterprises. In E-Commerce Adoption and Small Business in the Global Marketplace; Thomas, B., Simmons, G., Eds.; IGI Global: Hershey, PA, USA, 2009; pp. 237–258. [Google Scholar]
- El-Gohary, H. E-Marketing: Towards a conceptualization of a new marketing philosophy e book chapter. In E-Business Issues, Challenges and Opportunities for SMEs: Driving Competitiveness; IGI Global: Hershey, PA, USA, 2010. [Google Scholar]
- Jain, N.; Tomar, A.; Jana, P.K. A novel scheme for employee churn problem using multi-attribute decision making approach and machine learning. J. Intell. Inf. Syst. 2021, 56, 279–302. [Google Scholar] [CrossRef]
- Indian and Southeast Asian Telecom Industry Dataset Which Is. Available online: https://www.kaggle.com/datasets/priyankanavgire/telecom-churn (accessed on 22 March 2021).
- American Telecom Market Dataset. Available online: https://www.kaggle.com/datasets/mnassrib/telecom-churn-datasets (accessed on 18 February 2020).
- Zdravevski, E.; Lameski, P.; Apanowicz, C.; Ślȩzak, D. From Big Data to business analytics: The case study of churn prediction. Appl. Soft Comput. 2020, 90, 106164. [Google Scholar] [CrossRef]
- Vo, N.N.; Liu, S.; Li, X.; Xu, G. Leveraging unstructured call log data for customer churn prediction. Knowl.-Based Syst. 2021, 212, 106586. [Google Scholar] [CrossRef]
- Höppner, S.; Stripling, E.; Baesens, B.; vanden Broucke, S.; Verdonck, T. Profit driven decision trees for churn prediction. Eur. J. Oper. Res. 2020, 284, 920–933. [Google Scholar] [CrossRef]
- Stripling, E.; vanden Broucke, S.; Antonio, K.; Baesens, B.; Snoeck, M. Profit maximizing logistic regression modeling for customer churn prediction. In Proceedings of the 2015 IEEE International Conference on Data Science and Advanced Analytics (DSAA), Paris, France, 19–21 October 2015; IEEE: Piscataway, NJ, USA, 2015; pp. 1–10. [Google Scholar]
- Arifin, S.; Samopa, F. Analysis of Churn Rate Significantly Factors in Telecommunication Industry Using Support Vector Machines Method. In Journal of Physics: Conference Series; IOP Publishing: Bristol, UK, 2018; Volume 1108, p. 012018. [Google Scholar]
- Jain, H.; Khunteta, A.; Srivastava, S. Churn prediction in telecommunication using logistic regression and logit boost. Procedia Comput. Sci. 2020, 167, 101–112. [Google Scholar] [CrossRef]
- Amin, A.; Shah, B.; Khattak, A.M.; Moreira, F.J.L.; Ali, G.; Rocha, Á.; Anwar, S. Cross-company customer churn prediction in telecommunication: A comparison of data transformation methods. Int. J. Inf. Manag. 2019, 46, 304–319. [Google Scholar] [CrossRef]
- Amin, A.; Al-Obeidat, F.; Shah, B.; Adnan, A.; Loo, J.; Anwar, S. Customer churn prediction in telecommunication industry using data certainty. J. Bus. Res. 2019, 94, 290–301. [Google Scholar] [CrossRef]
- Amin, A.; Anwar, S.; Adnan, A.; Nawaz, M.; Alawfi, K.; Hussain, A.; Huang, K. Customer churn prediction in the telecommunication sector using a rough set approach. Neurocomputing 2017, 237, 242–254. [Google Scholar] [CrossRef]
- Alboukaey, N.; Joukhadar, A.; Ghneim, N. Dynamic behavior based churn prediction in mobile telecom. Expert Syst. Appl. 2020, 162, 113779. [Google Scholar] [CrossRef]
- Karuppaiah, K.S.; Palanisamy, N.G. Heterogeneous ensemble stacking with minority upliftment (HESMU) for churn prediction on imbalanced telecom data. In Materials Today: Proceedings; Elsevier: London, UK, 2021. [Google Scholar]
- De Caigny, A.; Coussement, K.; De Bock, K.W.; Lessmann, S. Incorporating textual information in customer churn prediction models based on a convolutional neural network. Int. J. Forecast. 2020, 36, 1563–1578. [Google Scholar] [CrossRef]
- Mitrović, S.; Baesens, B.; Lemahieu, W.; De Weerdt, J. On the operational efficiency of different feature types for telco Churn prediction. Eur. J. Oper. Res. 2018, 267, 1141–1155. [Google Scholar] [CrossRef]
- De Bock, K.W.; De Caigny, A. Spline-rule ensemble classifiers with structured sparsity regularization for interpretable customer churn modeling. Decis. Support Syst. 2021, 150, 113523. [Google Scholar] [CrossRef]
- Xu, T.; Ma, Y.; Kim, K. Telecom Churn Prediction System Based on Ensemble Learning Using Feature Grouping. Appl. Sci. 2021, 11, 4742. [Google Scholar] [CrossRef]
- Óskarsdóttir, M.; Van Calster, T.; Baesens, B.; Lemahieu, W.; Vanthienen, J. Time series for early churn detection: Using similarity based classification for dynamic networks. Expert Syst. Appl. 2018, 106, 55–65. [Google Scholar] [CrossRef]
- Chakrabarti, S.; Swetapadma, A.; Pattnaik, P.K. A channel independent generalized seizure detection method for pediatric epileptic seizures. Comput. Methods Programs Biomed. 2021, 209, 106335. [Google Scholar] [CrossRef] [PubMed]
- Alsouda, Y.; Pllana, S.; Kurti, A. Iot-based urban noise identification using machine learning: Performance of SVM, KNN, bagging, and random forest. In Proceedings of the International Conference on Omni-Layer Intelligent Systems, Heraklion, Crete, Greece, 5–7 May 2019; pp. 62–67. [Google Scholar]
- Geurts, P.; Ernst, D.; Wehenkel, L. Extremely randomized trees. Mach. Learn. 2006, 63, 3–42. [Google Scholar] [CrossRef]
- Touzani, S.; Granderson, J.; Fernandes, S. Gradient boosting machine for modeling the energy consumption of commercial buildings. Energy Build. 2018, 158, 1533–1543. [Google Scholar] [CrossRef]
- Beygelzimer, A.; Hazan, E.; Kale, S.; Luo, H. Online gradient boosting. arXiv 2015, arXiv:1506.04820. [Google Scholar]
- Ma, B.; Meng, F.; Yan, G.; Yan, H.; Chai, B.; Song, F. Diagnostic classification of cancers using extreme gradient boosting algorithm and multi-omics data. Comput. Biol. Med. 2020, 121, 103761. [Google Scholar] [CrossRef]
- Sheridan, R.P.; Wang, W.M.; Liaw, A.; Ma, J.; Gifford, E.M. Extreme gradient boosting as a method for quantitative structure–activity relationships. J. Chem. Inf. Model. 2016, 56, 2353–2360. [Google Scholar] [CrossRef]
- Wang, F.; Jiang, D.; Wen, H.; Song, H. Adaboost-based security level classification of mobile intelligent terminals. J. Supercomput. 2019, 75, 7460–7478. [Google Scholar] [CrossRef]
- Freund, Y.; Schapire, R.E. Experiments with a new boosting algorithm. In ICML; ACM Digital Library: New York City, NY, USA, 1996; Volume 96, pp. 148–156. [Google Scholar]
- Drucker, H.; Schapire, R.; Simard, P. Improving performance in neural networks using a boosting algorithm. Adv. Neural Inf. Process. Syst. 1993, 5, 42–49. [Google Scholar]
- Sreng, S.; Maneerat, N.; Hamamoto, K.; Panjaphongse, R. Automated diabetic retinopathy screening system using hybrid simulated annealing and ensemble bagging classifier. Appl. Sci. 2018, 8, 1198. [Google Scholar] [CrossRef]
- Savkovic, B.; Kovac, P.; Dudic, B.; Gregus, M.; Rodic, D.; Strbac, B.; Ducic, N. Comparative Characteristics of Ductile Iron and Austempered Ductile Iron Modeled by Neural Network. Materials 2019, 12, 2864. [Google Scholar] [CrossRef]
- Chakrabarti, S.; Swetapadma, A.; Ranjan, A.; Pattnaik, P.K. Time domain implementation of pediatric epileptic seizure detection system for enhancing the performance of detection and easy monitoring of pediatric patients. Biomed. Signal Process. Control 2020, 59, 101930. [Google Scholar] [CrossRef]
- Liao, Y.; Vemuri, V.R. Use of k-nearest neighbor classifier for intrusion detection. Comput. Secur. 2002, 21, 439–448. [Google Scholar] [CrossRef]
- Saha, L.; Tripathy, H.K.; Nayak, S.R.; Bhoi, A.K.; Barsocchi, P. Amalgamation of Customer Relationship Management and Data Analytics in Different Business Sectors—A Systematic Literature Review. Sustainability 2021, 13, 5279. [Google Scholar] [CrossRef]
- Ghasemi Darehnaei, Z.; Shokouhifar, M.; Yazdanjouei, H.; Rastegar Fatemi, S.M.J. SI-EDTL: Swarm intelligence ensemble deep transfer learning for multiple vehicle detection in UAV images. Concurr. Comput. Pract. Exp. 2022, 34, e6726. [Google Scholar] [CrossRef]
- Saha, L.; Tripathy, H.K.; Sahoo, L. Business Intelligence Influenced Customer Relationship Management in Telecommunication Industry and Its Security Challenges. In Privacy and Security Issues in Big Data; Springer: Singapore, 2021; pp. 175–188. [Google Scholar]
- Abiyev, R.; Arslan, M.; Bush Idoko, J.; Sekeroglu, B.; Ilhan, A. Identification of epileptic EEG signals using convolutional neural networks. Appl. Sci. 2020, 10, 4089. [Google Scholar] [CrossRef]
- Fujo, S.W.; Subramanian, S.; Khder, M.A. Customer Churn Prediction in Telecommunication Industry Using Deep Learning. Inf. Sci. Lett. 2022, 11, 24. [Google Scholar]
- Sudharsan, R.; Ganesh, E.N. A Swish RNN based customer churn prediction for the telecom industry with a novel feature selection strategy. Connect. Sci. 2022, 34, 1855–1876. [Google Scholar] [CrossRef]
- Saha, L.; Tripathy, H.K.; Masmoudi, F.; Gaber, T. A Machine Learning Model for Personalized Tariff Plan based on Customer’s Behavior in the Telecom Industry. Int. J. Adv. Comput. Sci. Appl. (IJACSA) 2022, 13, 2022. [Google Scholar] [CrossRef]
- Sana, J.K.; Abedin, M.Z.; Rahman, M.S.; Rahman, M.S. A novel customer churn prediction model for the telecommunication industry using data transformation methods and feature selection. PLoS ONE 2022, 17, e0278095. [Google Scholar] [CrossRef]
- Adhikary, D.D.; Gupta, D. Applying over 100 classifiers for churn prediction in telecom companies. Multimed. Tools Appl. 2021, 80, 35123–35144. [Google Scholar] [CrossRef]














| Author Name | Technique Used | Dataset Used | Accuracy (%) |
|---|---|---|---|
| Coussement et al. [5] | LR | A significant European mobile telecommunications provider’s home database. | - |
| Mishra and Reddy [1] | Bagging, Boosting and RF | UCI Repository. | 91.66 |
| Caigny et al. [7] | Logit leaf model (Level 1: DT; Level 2: LR) | 14 different churn datasets. | - |
| Arifin and Samopa [17] | SVM | Dataset from an Indonesian telecom company | - |
| Jain et al. [18] | LR and Logit boost | Dataset from an American telecom company named Orange | 85.23 |
| Amin et al. [19] | Naive Bayes, kNN, GBM, Single Rule Induction and Deep learner Neural network | 2 publicly available dataset. | - |
| Ahmad et al. [4] | DT, RF, GBM, XGB | SyriaTel dataset | - |
| Amin et al. [20] | Naïve Bayes | 2 open-source datasets | 89.01 |
| Amin et al. [21] | Rough Set Theory (RST) and Rule-based Decision-making. | Open-source dataset | 98.1 |
| Alboukaey et al. [22] | Long Short-Term Memory (LSTM) and CNN | Real customer data by MTN Operator | - |
| Karuppaiah and Palanisamy [23] | Heterogeneous ensemble stacking (Initial level: GBM and Naïve Bayes Secondary level: SVM) | UCI repository | 89.0 |
| Caigny et al. [24] | CNN | Data from a European financial services provider | - |
| Mitrovi’c et al. [25] | LR and RF | 2 real life datasets | - |
| Bock and Caigny [26] | 14 real life datasets | Sparse-group lasso (SGL) regularized regression | - |
| Xu et al. [27] | Stacking Ensemble using Extreme gradient boosting, Logistic regression, Decision tree, and Naïve Bayes | Publicly available dataset | 98.09 |
| Óskarsdóttir et al. [28] | Similarity forests | 3 distinct CDR datasets from European telcos | - |
| Technique Used | Specifications |
|---|---|
| Random Forest | Estimators = 8000, Max Depth = 30, Min Samples Split = 10, Criterion = Entropy |
| ERT | Criterion = Gini, Min Samples Split = 10, Estimators = 5000 |
| AdaBoost | Estimators = 1000, Learning-Rate = 0.1, Random State = 10 |
| XGM | Random State = 10, Learning-Rate = 0.1, Estimators = 5000, Max-Depth = 3 |
| GBM | Learning Rate = 0.01, Random State = 1, Estimators = 6000 |
| Bagging | Estimators = 8000, Random State = 10 |
| Stacking | Cv = 10, Estimators = [LR, K NN, DT, RF, SVC], Final Estimator = LR |
| DT | Max Depth = 2, Criterion = Gini, Random State = 99 |
| kNN | Neighbors = 38 |
| LR | Solver = Liblinear, Max Iter = 10,000 |
| ANN | Dense_Layer = 32, Trans_Function = ReLU Dense_Layer = 16, Trans_Function = ReLU Dense_Layer = 8, Trans_Function = ReLU Dense_Layer = 1, Trans_Function = Sigmoid Optimizers = Adam, Learning Rate = 0.001 Loss = Binary Crossentropy |
| CNN | Conv1d = 128, Activation = ReLU Conv1d = 128, Activation = ReLU Dense_Layer = 64, Trans_Function = Tanh Dense_Layer = 32, Trans_Function = Tanh Dense_Layer = 16, Trans_Function = ReLU Dense_Layer = 1, Trans_Function = Sigmoid |
| Technique Used | Specifications |
|---|---|
| Random Forest | Estimators = 5000, Max Depth = 25, Min Samples Split = 5, Criterion = Entropy |
| ERT | Criterion = Gini, Min Samples Split = 10, Estimators = 5000 |
| AdaBoost | Estimators = 2000, Learning-Rate = 0.01, Random State = 10 |
| XGM | Random State = 1, Learning-Rate = 0.01, Estimators = 6000, Max-Depth = 15 |
| GBM | Learning Rate = 0.001, Random State = 1, Estimators = 7000 |
| Bagging | Estimators = 500, Random State = 10 |
| Stacking | Cv = 10, Estimators = [LR, KNN, DT, RF, SVC], Final Estimator = LR |
| DT | Max Depth = 2, Criterion = Gini, Random State = 99 |
| kNN | Neighbors = 38 |
| LR | Solver = Liblinear, Max Iter = 10,000 |
| ANN | Dense_Layer = 32, Trans_Function = ReLU Dense_Layer = 16, Trans_Function = ReLU Dense_Layer = 8, Trans_Function = ReLU Dense_Layer = 1, Trans_Function = Sigmoid Optimizers = Adam, Learning rate = 0.001 Loss = Binary Crossentropy |
| CNN | Conv1d = 128, Activation = ReLU Conv1d = 128, Activation = ReLU Dense_Layer = 64, Trans_Function = Tanh Dense_Layer = 32, Trans_Function = Tanh Dense_Layer = 16, Trans_Function = ReLU Dense_Layer = 1, Trans_Function = Sigmoid |
| Classifiers | Accuracy (%) | Precision | Sensitivity | Specificity | F1-Score | AUC | |
|---|---|---|---|---|---|---|---|
| ELT | RF | 94 | 0.98 | 0.95 | 0.74 | 0.97 | 0.72 |
| ERT | 94 | 0.93 | 0.94 | 0.76 | 0.93 | 0.70 | |
| AdaBoost | 94 | 0.98 | 0.96 | 0.72 | 0.97 | 0.75 | |
| XGM | 94 | 0.98 | 0.95 | 0.67 | 0.97 | 0.73 | |
| GBM | 94 | 0.98 | 0.96 | 0.70 | 0.97 | 0.74 | |
| Bagging | 94 | 0.98 | 0.95 | 0.71 | 0.97 | 0.74 | |
| Stacking | 95 | 0.98 | 0.95 | 0.71 | 0.97 | 0.73 | |
| TC | DT | 94 | 0.98 | 0.95 | 0.75 | 0.97 | 0.70 |
| k-NN | 92 | 0.99 | 0.93 | 0.60 | 0.96 | 0.60 | |
| LR | 93 | 0.97 | 0.93 | 0.67 | 0.96 | 0.61 | |
| ANN | 98 | 0.92 | 0.92 | 0.86 | 0.92 | 0.99 | |
| DLT | CNN | 99 | 0.99 | 0.99 | 0.99 | 0.99 | 0.99 |
| Classifiers | Accuracy (%) | Precision | Sensitivity | Specificity | F1-Score | AUC | |
|---|---|---|---|---|---|---|---|
| ELT | RF | 95 | 0.99 | 0.95 | 0.93 | 0.97 | 0.84 |
| ERT | 95 | 0.95 | 0.95 | 0.86 | 0.95 | 0.87 | |
| AdaBoost | 88 | 0.98 | 0.89 | 0.66 | 0.93 | 0.61 | |
| XGM | 96 | 0.99 | 0.96 | 0.91 | 0.97 | 0.87 | |
| GBM | 95 | 0.99 | 0.95 | 0.94 | 0.97 | 0.84 | |
| Bagging | 94 | 0.98 | 0.95 | 0.86 | 0.96 | 0.85 | |
| Stacking | 95 | 0.97 | 0.96 | 0.84 | 0.97 | 0.88 | |
| TC | DT | 87 | 0.93 | 0.91 | 0.53 | 0.92 | 0.70 |
| k-NN | 86 | 0.91 | 0.86 | 0.71 | 0.93 | 0.52 | |
| LR | 85 | 0.96 | 0.87 | 0.45 | 0.91 | 0.58 | |
| ANN | 99 | 0.98 | 0.96 | 0.98 | 0.97 | 0.96 | |
| DLT | CNN | 98 | 0.99 | 0.99 | 0.97 | 0.99 | 0.99 |
| ANOVA Table | SS | DF | MS | F (DFn, DFd) | p Value |
|---|---|---|---|---|---|
| Treatment (between columns) | 0.04342 | 11 | 0.003947 | F (11, 108) = 424.4 | p < 0.0001 |
| Residual (within columns) | 0.001004 | 108 | 9.3 × 10−6 | ||
| Total | 0.04442 | 119 |
| ANOVA Table | SS | DF | MS | F (DFn, DFd) | p Value |
|---|---|---|---|---|---|
| Treatment (between columns) | 0.2648 | 11 | 0.02407 | F (11, 108) = 700.7 | p < 0.0001 |
| Residual (within columns) | 0.00371 | 108 | 3.44 × 10−5 | ||
| Total | 0.2685 | 119 |
| RF | ERT | AdaBoost | XGM | GBM | Bagging | Stacking | DT | k-NN | LR | ANN | CNN | |
|---|---|---|---|---|---|---|---|---|---|---|---|---|
| Theoretical median | 0 | 0 | 0 | 0 | 0 | 0 | 0 | 0 | 0 | 0 | 0 | 0 |
| Actual median | 0.94 | 0.94 | 0.94 | 0.94 | 0.94 | 0.94 | 0.95 | 0.94 | 0.92 | 0.93 | 0.98 | 0.99 |
| Number of values | 10 | 10 | 10 | 10 | 10 | 10 | 10 | 10 | 10 | 10 | 10 | 10 |
| Wilcoxon Signed Rank Test | ||||||||||||
| Sum of signed ranks (W) | 55 | 55 | 55 | 55 | 55 | 55 | 55 | 55 | 55 | 55 | 55 | 55 |
| Sum of positive ranks | 55 | 55 | 55 | 55 | 55 | 55 | 55 | 55 | 55 | 55 | 55 | 55 |
| Sum of negative ranks | 0 | 0 | 0 | 0 | 0 | 0 | 0 | 0 | 0 | 0 | 0 | 0 |
| p value (two tailed) | 0.002 | 0.002 | 0.002 | 0.002 | 0.002 | 0.002 | 0.002 | 0.002 | 0.002 | 0.002 | 0.002 | 0.002 |
| Exact or estimate? | Exact | Exact | Exact | Exact | Exact | Exact | Exact | Exact | Exact | Exact | Exact | Exact |
| p value summary | - | - | - | - | - | - | - | - | - | - | - | - |
| Significant (alpha = 0.05)? | Yes | Yes | Yes | Yes | Yes | Yes | Yes | Yes | Yes | Yes | Yes | Yes |
| RF | ERT | AdaBoost | XGM | GBM | Bagging | Stacking | DT | k-NN | LR | ANN | CNN | |
|---|---|---|---|---|---|---|---|---|---|---|---|---|
| Theoretical median | 0 | 0 | 0 | 0 | 0 | 0 | 0 | 0 | 0 | 0 | 0 | 0 |
| Actual median | 0.95 | 0.95 | 0.88 | 0.96 | 0.95 | 0.94 | 0.95 | 0.87 | 0.86 | 0.85 | 0.99 | 0.98 |
| Number of values | 10 | 10 | 10 | 10 | 10 | 10 | 10 | 10 | 10 | 10 | 10 | 10 |
| Wilcoxon Signed Rank Test | ||||||||||||
| Sum of signed ranks (W) | 55 | 55 | 55 | 55 | 55 | 55 | 55 | 55 | 55 | 55 | 55 | 55 |
| Sum of positive ranks | 55 | 55 | 55 | 55 | 55 | 55 | 55 | 55 | 55 | 55 | 55 | 55 |
| Sum of negative ranks | 0 | 0 | 0 | 0 | 0 | 0 | 0 | 0 | 0 | 0 | 0 | 0 |
| p value (two tailed) | 0.002 | 0.002 | 0.002 | 0.002 | 0.002 | 0.002 | 0.002 | 0.002 | 0.002 | 0.002 | 0.002 | 0.002 |
| Exact or estimate? | Exact | Exact | Exact | Exact | Exact | Exact | Exact | Exact | Exact | Exact | Exact | Exact |
| p value summary | - | - | - | - | - | - | - | - | - | - | - | - |
| Significant (alpha = 0.05)? | Yes | Yes | Yes | Yes | Yes | Yes | Yes | Yes | Yes | Yes | Yes | Yes |
Disclaimer/Publisher’s Note: The statements, opinions and data contained in all publications are solely those of the individual author(s) and contributor(s) and not of MDPI and/or the editor(s). MDPI and/or the editor(s) disclaim responsibility for any injury to people or property resulting from any ideas, methods, instructions or products referred to in the content. |
© 2023 by the authors. Licensee MDPI, Basel, Switzerland. This article is an open access article distributed under the terms and conditions of the Creative Commons Attribution (CC BY) license (https://creativecommons.org/licenses/by/4.0/).
Share and Cite
Saha, L.; Tripathy, H.K.; Gaber, T.; El-Gohary, H.; El-kenawy, E.-S.M. Deep Churn Prediction Method for Telecommunication Industry. Sustainability 2023, 15, 4543. https://doi.org/10.3390/su15054543
Saha L, Tripathy HK, Gaber T, El-Gohary H, El-kenawy E-SM. Deep Churn Prediction Method for Telecommunication Industry. Sustainability. 2023; 15(5):4543. https://doi.org/10.3390/su15054543
Chicago/Turabian StyleSaha, Lewlisa, Hrudaya Kumar Tripathy, Tarek Gaber, Hatem El-Gohary, and El-Sayed M. El-kenawy. 2023. "Deep Churn Prediction Method for Telecommunication Industry" Sustainability 15, no. 5: 4543. https://doi.org/10.3390/su15054543
APA StyleSaha, L., Tripathy, H. K., Gaber, T., El-Gohary, H., & El-kenawy, E.-S. M. (2023). Deep Churn Prediction Method for Telecommunication Industry. Sustainability, 15(5), 4543. https://doi.org/10.3390/su15054543
