Potential of Eight Species of Legumes for Heavy Fuel Oil-Contaminated Soil Phytoremediation
Abstract
1. Introduction
2. Materials and Methods
Experimental Design
3. Results
3.1. Plant Growth Dynamics
3.2. Plant Biomass Production
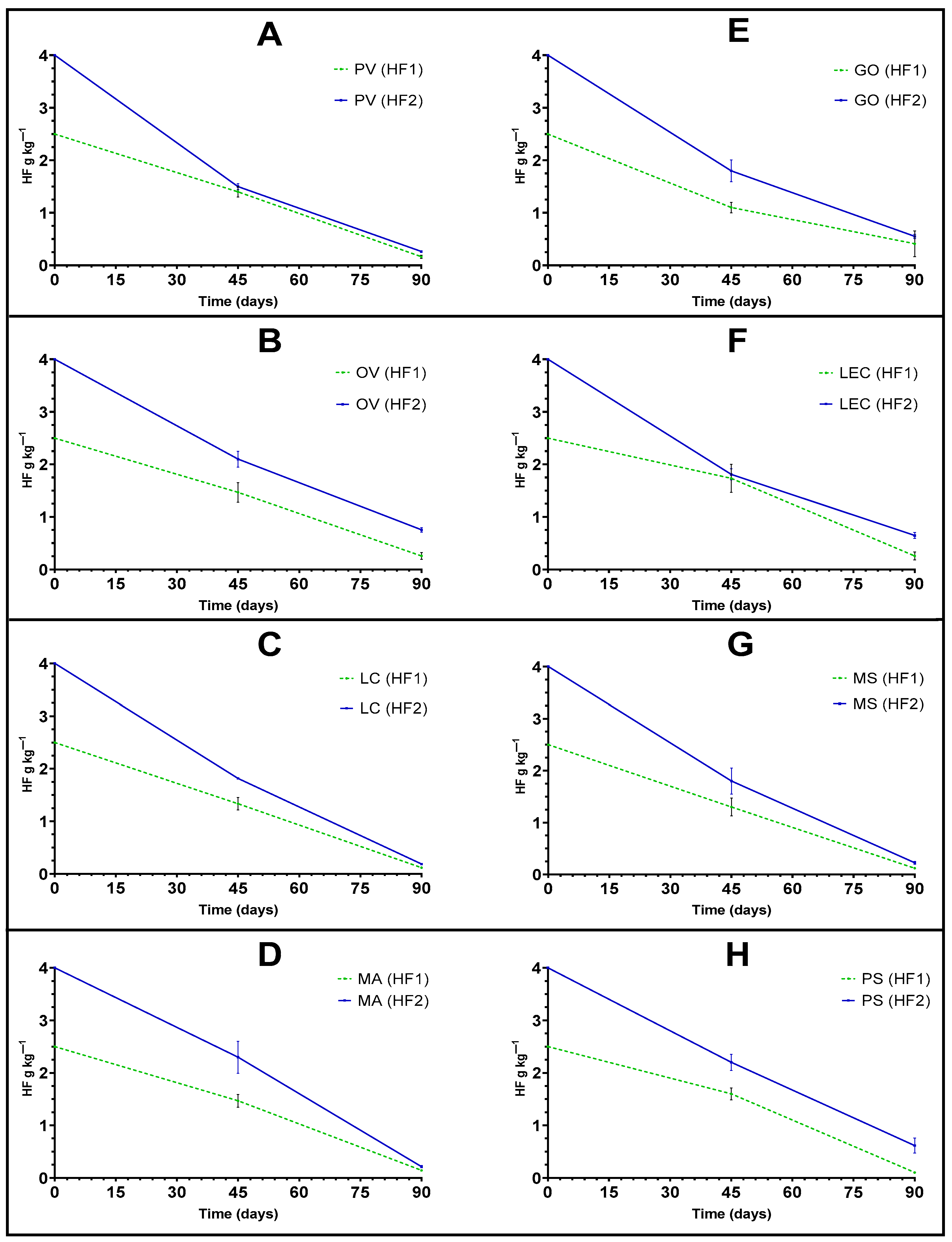
3.3. The Removal Efficiency of Heavy Fuel Oil
3.4. The Changes in Soil Nutrient Concentrations
4. Discussion
5. Conclusions
Author Contributions
Funding
Institutional Review Board Statement
Informed Consent Statement
Data Availability Statement
Acknowledgments
Conflicts of Interest
References
- Pinedo, J.; Ibáñez, R.; Lijzen, J.P.; Irabien, Á. Human risk assessment of contaminated soils by oil products: Total TPH content versus fraction approach. Hum. Ecol. Risk Assess. 2014, 20, 1231–1248. [Google Scholar] [CrossRef]
- Khan, M.A.I.; Biswas, B.; Smith, E.; Naidu, R.; Megharaj, M. Toxicity assessment of fresh and weathered petroleum hydrocarbons in contaminated soil-a review. Chemosphere 2018, 212, 755–767. [Google Scholar] [CrossRef]
- Adelana, S.O.; Adeosun, T.A.; Adesina, A.O.; Ojuroye, M.O. Environmental pollution and remediation: Challenges and management of oil spillage in the Nigerian coastal areas. Amer. J. Sci. Ind. Res. 2011, 2, 834–845. [Google Scholar] [CrossRef]
- ATSDR (Agency for Toxic Substance and Disease Registry). Toxicological profile for polycyclic aromatic hydrocarbons (PAHs). 1995. Available online: https://www.atsdr.cdc.gov/ToxProfiles/tp69.pdf (accessed on 19 December 2022).
- Pérez, A.P.; Eugenio, N.R. Status of Local Soil Contamination in Europe: Revision of the Indicator ‘Progress in the Management Contaminated Sites in EUROPE’. JRC. 2018. Available online: https://data.europa.eu/doi/10.2760/093804 (accessed on 19 December 2022).
- EC—European Commission. The Implementation of the Soil Thematic Strategy and Ongoing Activities. COM/2012/046 Final 2012. Available online: https://eur-lex.europa.eu/legal-content/EN/TXT/PDF/?uri=CELEX:52012DC0046&from=EN (accessed on 12 December 2022).
- Panagos, P.; Van Liedekerke, M.; Yigini, Y.; Montanarella, L. Contaminated sites in Europe: Review of the current situation based on data collected through a European network. J. Environ. Public Health 2013, 2013, 158764. [Google Scholar] [CrossRef] [PubMed]
- Das, N.; Chandran, P. Microbial degradation of petroleum hydrocarbon contaminants: An overview. Biotechnol. Res. Int. 2011. [CrossRef]
- Riskuwa-Shehu, M.L.; Ijah, U.J.J.; Manga, S.B.; Bilbis, L.S. Evaluation of the use of legumes for biodegradation of petroleum hydrocarbons in soil. Int. J. Environ. Sci. Technol. 2017, 14, 2205–2214. [Google Scholar] [CrossRef]
- Hoang, S.A.; Lamb, D.; Seshadri, B.; Sarkar, B.; Choppala, G.; Kirkham, M.B.; Bolan, N.S. Rhizoremediation as a green technology for the remediation of petroleum hydrocarbon-contaminated soils. J. Hazard. Mater. 2021, 401, 123282. [Google Scholar] [CrossRef]
- Cook, R.L.; Hesterberg, D. Comparison of trees and grasses for rhizoremediation of petroleum hydrocarbons. Int. J. Phytoremediation 2013, 15, 844–860. [Google Scholar] [CrossRef]
- Ismaila, H.Y.; Ijahb, U.J.J.; Riskuwac, M.L.; Allamina, I.A.; Isaha, M.A. Assessment of phytoremediation potentials of legumes in spent engine oil contaminated soil. Eur. J. Environ. Saf. Sci. 2014, 2, 59–64. [Google Scholar]
- Hall, J.; Soole, K.; Bentham, R. Hydrocarbon phytoremediation in the family Fabacea—A review. Int. J. Phytoremediation 2011, 13, 317–332. [Google Scholar] [CrossRef]
- Cheng, L.; Zhou, Q.; Yu, B. Responses and roles of roots, microbes, and degrading genes in rhizosphere during phytoremediation of petroleum hydrocarbons contaminated soil. Int. J. Phytoremediation 2019, 21, 1161–1169. [Google Scholar] [CrossRef]
- Potashev, K.; Sharonova, N.; Breus, I. The use of cluster analysis for plant grouping by their tolerance to soil contamination with hydrocarbons at the germination stage. Sci. Total Environ. 2014, 485, 71–82. [Google Scholar] [CrossRef] [PubMed]
- Yousaf, U.; Khan, A.H.A.; Farooqi, A.; Muhammad, Y.S.; Barros, R.; Tamayo-Ramos, J.A.; Yousaf, S. Interactive effect of biochar and compost with Poaceae and Fabaceae plants on remediation of total petroleum hydrocarbons in crude oil contaminated soil. Chemosphere 2022, 286, 131782. [Google Scholar] [CrossRef] [PubMed]
- Sheoran, V.; Sheoran, A.S.; Poonia, P. Factors affecting phytoextraction: A review. Pedosphere 2016, 26, 148–166. [Google Scholar] [CrossRef]
- Hajabbasi, M.A. Importance of soil physical characteristics for petroleum hydrocarbons phytoremediation: A review. Afr. J. Environ. Sci. Technol. 2016, 10, 394–405. [Google Scholar] [CrossRef]
- Osam, M.U.; Wegwu, M.O.; Ayalogu, E.O. Soil pH, moisture content and some macro non-metallic elements in crude oil contaminated soils remediated by some wild-type legumes. Int. J. Eng. Sc. Invention Res. 2013, 2, 54–59. [Google Scholar]
- ISO 16703:2004; ISO 2004 Soil Quality–Determination of Content of in the Range C10–C40 by Gas Chromatography 2004. International Organization for Standardization: Geneva, Switzerland, 2004.
- Hood-Nowotny, R.; Umana, N.H.N.; Inselbacher, E.; Oswald-Lachouani, P.; Wanek, W. Alternative methods for measuring inorganic, organic, and total dissolved nitrogen in soil. Soil Sci. Soc. Am. J. 2010, 74, 1018–1027. [Google Scholar] [CrossRef]
- Kandeler, E.; Gerber, H. Short-term assay of soil urease activity using colorimetric determination of ammonium. Biol. Fertil. Soils 1988, 6, 68–72. [Google Scholar] [CrossRef]
- Fernández, J.A.; Niell, F.X.; Lucena, J. A rapid and sensitive automated determination of phosphate in natural waters. Limnol. Oceanogr. 1985, 30, 227–230. [Google Scholar] [CrossRef]
- Dhaliwal, S.S.; Sharma, V.; Kaur, J.; Shukla, A.K.; Singh, J.; Singh, P. Cadmium phytoremediation potential of Brassica genotypes grown in Cd spiked loamy sand soils: Accumulation and tolerance. Chemosphere 2022, 302, 134842. [Google Scholar] [CrossRef]
- Clogg, C.C.; Petkova, E.; Haritou, A. Statistical methods for comparing regression coefficients between models. Am. J. Sociol. 1995, 100, 1261–1293. [Google Scholar] [CrossRef]
- Lim, M.W.; Lau, E.; Poh, P.E. A comprehensive guide of remediation technologies for oil contaminated soil-present works and future directions. Mar. Pollut. Bull. 2016, 109, 14–45. [Google Scholar] [CrossRef] [PubMed]
- Khatoon, H.; Pant, A.; Rai, J.P.N. Plant adaptation to recalcitrant chemicals. In Plant Adaptation Strategies in Changing Environment; Springer: Berlin/Heidelberg, Germany, 2017; pp. 269–290. [Google Scholar] [CrossRef]
- Pardo, T.; Clemente, R.; Epelde, L.; Garbisu, C.; Bernal, M.P. Evaluation of the phytostabilisation efficiency in a trace elements contaminated soil using soil health indicators. J. Hazard. Mater. 2014, 268, 68–76. [Google Scholar] [CrossRef] [PubMed]
- Hussain, I.; Puschenreiter, M.; Gerhard, S.; Schöftner, P.; Yousaf, S.; Wang, A.; Reichenauer, T.G. Rhizoremediation of petroleum hydrocarbon-contaminated soils: Improvement opportunities and field applications. Environ. Exp. Bot. 2018, 147, 202–219. [Google Scholar] [CrossRef]
- Merkl, N.; Schultze-Kraft, R.; Infante, C. Assessment of tropical grasses and legumes for phytoremediation of petroleum contaminated soils. Water Air Soil Pollut. 2004, 165, 195–209. [Google Scholar] [CrossRef]
- Robson, D.B.; Germida, J.J.; Farell, R.E.; Knight, J.D. Hydrocarbon tolerance correlates with seed mass and relative growth rate. Bioremediat. J. 2004, 8, 185–199. [Google Scholar] [CrossRef]
- Marques, M.; Rosa, G.S.; Aguiar, C.R.C.; Correia, S.M.; Carvalho, E.M. Seedling emergence and biomass growth of oleaginous and other tropical species in oil contaminated soil. Waste Manag. Res. 2010, 3, 26–32. [Google Scholar] [CrossRef]
- Hewelke, E.; Gozdowski, D. Hydrophysical properties of sandy clay contaminated by petroleum hydrocarbon. Environ. Sci. Pollut. Res. Int. 2020, 27, 9697–9706. [Google Scholar] [CrossRef]
- Allamin, I.A.; Yasid, N.A.; Abdullah, S.R.S.; Halmi, M.I.E.; Shukor, M.Y. Phyto-tolerance degradation of hydrocarbons and accumulation of heavy metals by of Cajanus cajan (Pigeon pea) in petroleum-oily-sludge-contaminated soil. Agronomy. 2021, 11, 1138. [Google Scholar] [CrossRef]
- Ahmad, A. Phytoremediation of heavy metals and total petroleum hydrocarbon and nutrients enhancement of Typha latifolia in petroleum secondary effluent for biomass growth. Environ. Sci. Pollut. Res. 2022, 29, 5777–5786. [Google Scholar] [CrossRef]
- Ollivier, B.; Magot, M. Petroleum Microbiology; ASM Press: Washington, DC, USA, 2005; p. 365. [Google Scholar]
- Baker, J.M. The effects of oils on plants. Environ. Pollut. 1970, 1, 27–44. [Google Scholar] [CrossRef]
- Muratova, A.Y.; Turkovskaya, O.V.; Hübner, T.; Kuschk, P. Studies of the efficacy of alfalfa and reed in the phytoremediation of hydrocarbon-polluted soil. Appl. Biochem. Microbiol. 2003, 39, 599–605. [Google Scholar] [CrossRef]
- Panchenko, L.; Muratova, A.; Turkovskaya, O. Use of Medicago sativa in phytoremediation of polluted soils. Adv. Environ. Res. 2021, 80, 1–53. [Google Scholar]
- Rafique, H.M.; Khan, M.Y.; Asghar, H.N.; Ahmad Zahir, Z.; Nadeem, S.M.; Sohaib, M.; Al-Barakah, F.N. Converging alfalfa (Medicago sativa L.) and petroleum hydrocarbon acclimated ACC-deaminase containing bacteria for phytoremediation of petroleum hydrocarbon contaminated soil. Int. J. Phytoremediation 2022, 1–11. [Google Scholar] [CrossRef]
- Chen, L.; Beiyuan, J.; Hu, W.; Zhang, Z.; Duan, C.; Cui, Q.; Fang, L. Phytoremediation of potentially toxic elements (PTEs) contaminated soils using alfalfa (Medicago sativa L.): A comprehensive review. Chemosphere 2022, 293, 133577. [Google Scholar] [CrossRef] [PubMed]
- Panchenko, L.; Muratova, A.; Turkovskaya, O. Comparison of the phytoremediation potentials of Medicago falcata L. and Medicago sativa L. in aged oil-sludge-contaminated soil. Environ. Sci. Pollut. Res. Int. 2017, 24, 3117–3130. [Google Scholar] [CrossRef]
- Zuzolo, D.; Guarino, C.; Tartaglia, M.; Sciarrillo, R. Plant-soil-microbiota combination for the removal of total petroleum hydrocarbons (TPH): An in-field experiment. Front. Microbiol. 2021, 11, 621581. [Google Scholar] [CrossRef]
- Dike, C.C.; Hakeem, I.G.; Rani, A.; Surapaneni, A.; Khudur, L.; Shah, K.; Ball, A.S. The co-application of biochar with bioremediation for the removal of petroleum hydrocarbons from contaminated soil. Sci. Total Environ. 2022, 849, 157753. [Google Scholar] [CrossRef]
- Wiszniewska, A.; Hanus-Fajerska, E.; Muszynska, E.; Ciarkowska, K. Natural organic amendments for improved phytoremediation of polluted soils: A review of recent progress. Pedosphere 2016, 26, 1–12. [Google Scholar] [CrossRef]
- Pypers, P.; Huybrighs, M.; Diels, J.; Abaidoo, R.; Smolders, E.; Merckx, R. Does the enhanced P acquisition by maize following legumes in a rotation result from improved soil P availability? Soil Biol. Biochem. 2007, 39, 2555–2566. [Google Scholar] [CrossRef]
- Lazali, M.; Drevon, J.J. Mechanisms and adaptation strategies of tolerance to phosphorus deficiency in legumes. Commun. Soil Sci. Plant Anal. 2021, 52, 1469–1483. [Google Scholar] [CrossRef]
- Neumann, G.; Massonneau, A.; Langlade, N.; Dinkelaker, B.; Hengeler, C.; Römheld, V.; Martinoia, E. Physiological aspects of cluster root function and development in phosphorus-deficient white lupin (Lupinus albus L.). Ann. Bot. 2000, 85, 909–919. [Google Scholar] [CrossRef]
- Corbeels, M.; O’Connell, A.M.; Grove, T.S.; Mendham, D.S.; Rance, S.J. Nitrogen release from eucalypt leaves and legume residues as influenced by their biochemical quality and degree of contact with soil. Plant Soil 2003, 250, 15–28. [Google Scholar] [CrossRef]
- Veneklaas, E.J.; Stevens, J.; Cawthray, G.R.; Turner, S.; Grigg, A.M.; Lambers, H. Chickpea and white lupin rhizosphere carboxylates vary with soil properties and enhance phosphorus uptake. Plant Soil 2003, 248, 187–197. [Google Scholar] [CrossRef]




| The Scientific Name of the Plant | Species Abbreviation | The Scientific Name of the Plant | Species Abbreviation |
|---|---|---|---|
| Phaseolus vulgaris L. | PV | Lotus corniculatus L. | LC |
| Galega orientalis L. | GO | Medicago sativa L. | MS |
| Onobrychis viicifolia L. | OV | Melilotus albus L. | MA |
| Lens culinaris L. | LEC | Pisum sativum L. | PS |
| Treatment | |||
|---|---|---|---|
| Plant Species | C | HF1 | HF2 |
| PV | 2.019 a | 1.962 a | 1.356 b |
| GO | 5.678 a | 5.455 a | 4.293 b |
| OV | 3.133 a | 2.965 a | 2.025 b |
| LEC | 7.647 a | 7.285 ab | 6.203 b |
| LC | 6.893 a | 6.950 a | 6.204 a |
| MS | 9.603 a | 9.928 a | 10.854 a |
| MA | 8.209 a | 8.196 a | 8.696 a |
| PS | 6.103 a | 7.068 a | 6.273 a |
| Plant species | Treatment | |
|---|---|---|
| HF1 | HF2 | |
| PV | 0.581 ± 0.016 a | 0.334 ± 0.092 b |
| GO | 1.161 ± 0.066 a | 0.568 ± 0.035 b |
| OV | 0.857 ± 0.018 a | 0.533 ± 0.037 b |
| LEC | 0.540 ± 0.006 a | 0.298 ± 0.014 b |
| LC | 0.992 ± 0.011 a | 0.817 ± 0.026 b |
| MS | 1.073 ± 0.022 a | 0.981 ± 0.018 a |
| MA | 0.834 ± 0.012 a | 0.866 ± 0.031 a |
| PS | 1.139 ± 0.003 a | 0.796 ± 0.053 b |
| Treatment | ||||
|---|---|---|---|---|
| HF1 | HF2 | |||
| Plant Species | After 45 Days | After 90 Days | After 45 Days | After 90 Days |
| PV | 45.33 ± 3.53 a | 93.20 ± 1.06 * | 62.50 ± 1.44 b | 93.42 ± 0.22 * |
| GO | 52.00 ± 6.93 a | 84.93 ± 10.47 * | 55.00 ± 5.20 a | 86.25 ± 1.04 * |
| OV | 40.00 ± 6.11 a | 91.87 ± 1.16 * | 47.50 ± 3.82 a | 81.17 ± 1.12 ** |
| LEC | 42.67 ± 11.39 a | 86.53 ± 1.75 * | 54.75 ± 2.63 a | 83.83 ± 1.42 * |
| LC | 40.00 ± 10.58 a | 95.60 ± 0.46 * | 54.58 ± 0.42 a | 95.33 ± 0.22 * |
| MS | 41.33 ± 3.53 a | 94.80 ± 0.46 * | 55.00 ± 6.29 a | 94.42 ± 0.65 * |
| MA | 46.67 ± 8.11 a | 94.27 ± 0.74 * | 42.50 ± 7.64 a | 94.67 ± 0.51 * |
| PS | 36.00 ± 4.62 a | 95.87 ± 0.35 * | 45.00 ± 3.82 a | 84.58 ± 3.61 ** |
Disclaimer/Publisher’s Note: The statements, opinions and data contained in all publications are solely those of the individual author(s) and contributor(s) and not of MDPI and/or the editor(s). MDPI and/or the editor(s) disclaim responsibility for any injury to people or property resulting from any ideas, methods, instructions or products referred to in the content. |
© 2023 by the authors. Licensee MDPI, Basel, Switzerland. This article is an open access article distributed under the terms and conditions of the Creative Commons Attribution (CC BY) license (https://creativecommons.org/licenses/by/4.0/).
Share and Cite
Meištininkas, R.; Vaškevičienė, I.; Dikšaitytė, A.; Pedišius, N.; Žaltauskaitė, J. Potential of Eight Species of Legumes for Heavy Fuel Oil-Contaminated Soil Phytoremediation. Sustainability 2023, 15, 4281. https://doi.org/10.3390/su15054281
Meištininkas R, Vaškevičienė I, Dikšaitytė A, Pedišius N, Žaltauskaitė J. Potential of Eight Species of Legumes for Heavy Fuel Oil-Contaminated Soil Phytoremediation. Sustainability. 2023; 15(5):4281. https://doi.org/10.3390/su15054281
Chicago/Turabian StyleMeištininkas, Rimas, Irena Vaškevičienė, Austra Dikšaitytė, Nerijus Pedišius, and Jūratė Žaltauskaitė. 2023. "Potential of Eight Species of Legumes for Heavy Fuel Oil-Contaminated Soil Phytoremediation" Sustainability 15, no. 5: 4281. https://doi.org/10.3390/su15054281
APA StyleMeištininkas, R., Vaškevičienė, I., Dikšaitytė, A., Pedišius, N., & Žaltauskaitė, J. (2023). Potential of Eight Species of Legumes for Heavy Fuel Oil-Contaminated Soil Phytoremediation. Sustainability, 15(5), 4281. https://doi.org/10.3390/su15054281
