Next Article in Journal
The Influence of Outdoor Activities and Campus Landscape on University Students’ Subjective Well-Being during the COVID-19 Pandemic
Next Article in Special Issue
Analysts’ Green Coverage and Corporate Green Innovation in China: The Moderating Effect of Corporate Environmental Information Disclosure
Previous Article in Journal
Effects of Green Human Resource Management on Innovation Performance through Green Innovation: Evidence from Northern Cyprus on Small Island Universities
Previous Article in Special Issue
Can Local Government’s Attention Allocated to Green Innovation Improve the Green Innovation Efficiency?—Evidence from China
 
 
Font Type:
Arial Georgia Verdana
Font Size:
Aa Aa Aa
Line Spacing:
Column Width:
Background:
Article

The Crossover Cooperation Mode and Mechanism of Green Innovation between Manufacturing and Internet Enterprises in Digital Economy

1
School of Economics, Wuhan University of Technology, Wuhan 430070, China
2
School of Entrepreneurship, Wuhan University of Technology, Wuhan 430070, China
*
Author to whom correspondence should be addressed.
Sustainability 2023, 15(5), 4156; https://doi.org/10.3390/su15054156
Submission received: 13 January 2023 / Revised: 15 February 2023 / Accepted: 20 February 2023 / Published: 24 February 2023

Abstract

Under the background of the digital economy, manufacturing seeks to improve green manufacturing and the level of greenness of products through digital empowerment. However, there exists a certain degree of technical difficulty and cost pressures for independent transformation to enhance green innovation performance through digitalization. How to conduct crossover cooperation with Internet enterprises needs to be explored. Taking automobile manufacturing enterprises as the case background, this paper constructs an evolutionary game model of green innovation crossover cooperation between traditional automobile manufacturing and Internet enterprises in the context of carbon credit policy. From the perspective of the extra effort cost of manufacturing enterprises and the excess income of Internet enterprises, this paper analyzes the mode selection strategy of green innovation crossover cooperation between the two types of subjects, and also analyzes the crossover cooperation mechanism of green innovation from three aspects: income distribution mechanism, carbon credit trading mechanism, and R&D subsidy mechanism. The results show that (1) Reducing the cost of digital green innovation transformation in manufacturing and the excess returns obtained under the free-riding behavior of Internet enterprises will help promote in-depth cooperation among crossover entities. (2) The benefit distribution dominated by manufacturing enterprises is helpful to evolve toward the direction of the alliance cooperative innovation mode and improve the benefits of green innovation cooperation. (3) Under the government’s single weak intervention management mechanism, optimizing carbon credit accounting and assessment standards can effectively guide manufacturers and Internet companies to conduct alliance green innovation cooperation, but they still need to be matched with appropriate R&D subsidies to form a compound strong intervention guidance mechanism to obtain higher social and ecological benefits.

1. Introduction

Carbon emissions management is an important measure to deal with global warming. Manufacturing is both an important engine of modern economic growth and a major area of current carbon emissions management [1]. According to the data of BP’s Statistical Review of World Energy, China’s carbon emissions will be 10.523 billion tons in 2021, with manufacturing accounting for as much as 36% of total carbon emissions based on the report of CEADs. Therefore, a green low-carbon transformation of the manufacturing industry is urgent. The International Energy Agency (IEA) points out that green technology innovation can theoretically achieve 60% of the target carbon reduction, which is expected to be the dominant factor in achieving carbon reductions in manufacturing and in mitigating climate change [2,3]. Particularly in the digital economy, the role of digital technology should be enabled through intelligent manufacturing and intelligent system optimization of product components, to improve the green manufacturing level and product green degree of the traditional manufacturing industry. However, the traditional manufacturing industry as a whole has some problems, such as a low level of digital green innovation, wide gap between digital industries, and lack of digital systems to control energy consumption, which seriously hinder the transformation of digital green innovation in the manufacturing industry. The key to solving these problems is to cooperate with enterprises with digital technology advantages to further improve green energy savings and emissions reduction levels of products through digital empowerment. Under the guidance of the government [4], manufacturers actively explore green innovation partnerships with Internet companies to form green innovation cooperation ecosystems [5], so as to effectively improve digital green innovation capabilities, accelerate the green and low-carbon transformation of the manufacturing industry, and take the road of sustainable development.
However, there are still many practical problems in the crossover cooperation of green innovation between manufacturing and Internet enterprises. First, in the green innovation cooperation model. In the face of technological change pressures in the digital economy, manufacturers and Internet companies face more uncertainty in their decision making regarding the direction of green technology innovation, input costs, etc., and should adopt more flexible and open distributed innovation cooperation, resulting in mixed and mixed green products on the market. It is difficult to make substantive breakthroughs in green technology innovation for energy conservation and emissions reduction, so a more in-depth and effective cooperation model is needed. Secondly, in terms of the green innovation cooperation mechanism, due to loose cooperation, there will be free-rider behavior, such as arbitrage points over policy barriers, or taking the policy dividend in the name of green innovation to grab excess profits through innovation spillover. Therefore, how to optimize the green innovation cooperation model and cooperation mechanism of crossover entities, and effectively establish a green innovation partnership between the manufacturing industry and Internet enterprises, needs further research and exploration.
On the other hand, there are some problems in the government’s management of green innovation for various enterprises. For example, due to the short implementation period of the carbon emissions management policy, the point accounting standard is not reasonable, and the market income brought by the green product sales and point trading after the cooperative innovation of the enterprise cannot be guaranteed. It is not enough to balance the cost pressure of green R&D investment, and the market mechanism guided by the carbon credit policy makes it difficult to achieve the original intention. In the context of the continuous decline in market integral prices and the continuous depreciation caused by excess points, the enthusiasm of enterprises to carry out green innovation cooperation faces challenges. Therefore, how the government can form a composite management mechanism through the market mechanism with other financial subsidies and incentives to guide manufacturers and Internet enterprises to carry out cross-industry green innovation cooperation is also a theoretical and practical problem that needs to be studied urgently.
Scholars have laid a certain theoretical foundation for the green innovation transformation and development of the manufacturing industry, but there are still the following limitations: (1) At present, the main subjects of green cooperative innovation mainly select the upstream and downstream enterprises of the government, industry–university research, or supply chain. However, the research seldom pays attention to the collaborative innovation of green low-carbon technology between the manufacturing industry and Internet enterprises in the process of digital development. (2) The existing research mostly studies the influence mechanism of single policy measures, but in the post-subsidy era, manufacturers’ green development focuses on the analysis and comparison under the market mechanism, which needs to make up for the problem of insufficient effectiveness of subsidy or integral single policy in reality. (3) The existing research on low-carbon green innovation based on classical game focuses on static analysis and discussion of countermeasures and suggestions, ignores the dynamic evolution process of behavior adaptation of green innovation theme, and does not make an in-depth discussion on the collaborative innovation cooperation mode and mechanism of multiple subjects in the process of digital transformation.
Considering the above research gap, this paper constructs a tripartite evolutionary game model of manufacturing, Internet enterprises, and government on the basis of considering the digital economy enabling green innovation cooperation ecology. The model selection strategy of green innovation crossover cooperation of two types of subjects is analyzed from the perspective of extra effort cost of manufacturing enterprises and excess benefit of Internet enterprises, and the crossover cooperation mechanism of green innovation is analyzed from three aspects of benefit distribution mechanism, carbon credit trading mechanism, and R&D subsidy mechanism in the context of carbon credit policy implementation. To explore how manufacturers can use external resources more effectively to achieve more effective digital green technology innovation under the dual pressures of green energy conservation and digital technology change. The possible theoretical and practical contributions of this paper are as follows: (1) Based on the background of the digital economy and the perspective of the innovation cooperation ecosystem, this paper explores the digital green innovation of cross-industry innovation cooperation subjects. It has further improved the construction and analysis of the theoretical model of the cooperation model, and promoted the sharing of technical resources among enterprises in the system through a more effective cooperation model, in order to achieve a win-win situation through value co-creation and collaborative innovation, and make breakthroughs in green technology innovation research and development. (2) Considering the condition of interest balance among collaborative innovators, theoretical model construction and in-depth analysis of cooperation mechanisms are improved. Through the comparative analysis of manufacturers’ extra effort cost and Internet enterprises’ excess income, it is of great significance to provide deeper optimization countermeasures for the cooperative innovation mechanism between manufacturers and Internet enterprises, which is of great significance to promote the deep cooperation between the two sides. (3) The theoretical model and analysis of the management mechanism of government comprehensive measures are improved. As an external supervisor and guide, the government optimizes the effectiveness of a carbon credits trading mechanism to promote high-level cooperative innovation between manufacturers and Internet companies. In addition, this paper also considers the need to design a compound traction mechanism of government subsidies and incentives for digital green innovation cooperation to enhance the effectiveness of the integrated policies in conjunction with each other, given the insufficient traction of carbon credit policy on the market.
The rest of this article is structured as follows: In Section 2, previous related studies are reviewed. Section 3 presents the research design of this paper, constructing an evolutionary game model and its payoff matrix. Section 4 analyzes the evolutionary stability of the three subjects in the green innovation cooperation ecosystem and explains the ESS solution set under different constraints. Section 5 discusses the influence of different factors on the green innovation cooperation mode and cooperation mechanism based on actual cases of automobile manufacturing enterprises. The sixth section is the conclusion and enlightenment, which summarizes the research results of this paper. The last part provides some future research directions.

2. Literature Review

2.1. Research on Green Innovation in the Manufacturing Industry

In recent years, green innovation in the manufacturing industry has attracted extensive research from scholars. Firstly, some scholars start from the perspective of coping with the challenges of the new industrial revolution and the new situation of manufacturing competition. Wang et al. [6] analyzed the basic situation of green innovation and the driving factors of green innovation in the manufacturing industry, and believed that the green transformation and innovation of the industry are the endogenous driving force for the low-carbon development of the manufacturing industry. Based on the structure of China’s green manufacturing development and operation mode, Li et al. [7] analyzed the gap between China’s manufacturing industry and the world’s leading level. Li et al. [8] evaluated the static and dynamic aspects of green economic development efficiency through panel data.
Secondly, some scholars discuss the green innovation of the manufacturing industry from the development path of the manufacturing industry. Liu et al. [9] conducted green innovation research from the strategic operation level of manufacturing enterprises, guided enterprises to carry out green value chain innovation, and built a sustainable development system. The process of implementing green innovation in the manufacturing industry is full of high uncertainty and risk. Sun et al. [10] established a management standard system for green innovation risk identification in the manufacturing industry under the global value chain (GVC), and put forward countermeasures for green innovation risk in the manufacturing industry under the GVC. From the perspective of niche theory, Peng [11] constructed the manufacturing green innovation trend index to promote the sustainable development of the manufacturing industry in an innovative way.
Most of this literature analyzes how manufacturers achieve sustainable development through green innovation in the context of increasingly serious environmental problems. However, most of the existing research is based on the traditional industry background of manufacturers. In the context of the integration of digital and intelligent industries, it fails to conduct in-depth research on the collaborative innovation of enterprises in the Internet IT field, and does not consider the impact of heterogeneous entities such as Internet enterprises on the collaborative green innovation of the manufacturing industry and how to carry out effective cooperation.

2.2. Research on the Influence of Government on Green Innovation

The green innovation of the manufacturing industry needs the support of a national strategic system. Government policies have a significant direct role in promoting green technology innovation. According to Wu et al.’s research [12], it is found that the government still needs to adjust measures to local conditions, coordinate the number of policies, policy effects, and execution, and accelerate the establishment of a market-oriented green technology innovation environment.
Firstly, in terms of government subsidies, Li et al. [13] studied the effects of three subsidy schemes: green non-subsidy (GNS), green product subsidy (GPS), and green innovation subsidy (GIS). They believe that GIS is always better than GPS from the perspective of maximizing subsidy efficiency. Ma et al. [14] considered the increase in production costs caused by green innovation of enterprises, and suggested that the government should subsidize retailers and manufacturers at the same time to improve the level of green innovation. Hu [15] explored in depth how government green subsidies affect corporate financial performance through green innovation, revealing the impact mechanism of green innovation subsidies on financial performance under different internal and external leverage levels. Sun et al. [16] empirically examined the mechanism of government subsidies, R&D investment, and public participatory environmental supervision on green innovation of manufacturing enterprises, and found that government subsidies have a more significant effect on the green innovation of private manufacturing enterprises. Lewis [17] conducted an empirical study on the relationship between government subsidy policies and rapid green innovation of enterprises through data panels, and imposed penalties on manufacturers who did not comply with regulations [18]. Some scholars [19] found through research that the government is more inclined to subsidize core manufacturers, rather than subsidizing upstream suppliers at the same time.
Secondly, carbon trading is one of the most effective market tools for carbon emission reduction policies. In the aspect of government management of carbon emissions, Li et al. [20] analyzed the evolution and development law of the government’s carbon emission reductions, and found that if a dynamic reward and punishment mechanism is introduced and the carbon emission penalty is increased, it will be beneficial for highly polluting enterprises to actively reduce emissions without additional subsidies. Xu et al. [21] discussed the pricing impact of the two-echelon supply chain of automobiles under the double-integral policy, and found that increasing the integral calculation coefficient and integral price can increase the demand and profit for new energy vehicles. Burak [22] and other agent-based models concluded that if CAFÉ regulations are implemented together with effective government incentives, they can accelerate the market penetration and technological innovation efficiency of new energy vehicles and reduce dependence on fossil fuels. Qu et al. [23] studied the influence mechanism of government carbon tax pricing strategy on the decision making of heterogeneous enterprises under heterogeneous targets; that is, a unified carbon tax pricing strategy or differentiated pricing strategy should be adopted according to different government objectives.
From the above discussion, we can see that a large number of studies have shown that active support policies can promote rapid green development in manufacturing, but the existing research mainly focuses on the design and effect of subsidy policies. According to the government’s latest industrial R&D policy, application promotion policy, and carbon quota management policy, the manufacturing market has entered the ‘post-subsidy’ era, and there are few studies on the stability and traction mechanism of the government’s multi-agent collaborative green innovation in the post-subsidy era.

2.3. Multi-Agent Green Innovation Cooperation Ecosystem

Regarding green innovation cooperation ecosystems as a new paradigm of current and future innovation [24,25], scholars have carried out extensive research and discussion on multi-agent collaborative innovation. In terms of a multi-agent green innovation cooperation model, Meng et al. [26], based on the grounded theory, studied the alliance innovation formed by enterprises, external groups, and crowdsourcing platforms, and constructed a cooperative model of multi-agent participation in value co-creation in crowdsourcing innovation. Li et al. [27] studied the co-evolution mechanism of the technological innovation ecosystem of civil–military integration enterprises from the perspective of symbiosis. From low to high order, there are three operating mechanisms: independent survival cooperation, collaborative innovation cooperation, and alliance coexistence cooperation. Han et al. [28] studied four cooperation modes between automobile manufacturers and battery suppliers in the supply chain of new energy vehicles. Some scholars have also discussed the cooperation mode of government–industry–university research. For example, Suh et al. [29] think that the government carries out various activities to promote the establishment of alliances between universities and industries, and achieve major technological breakthroughs through industry–university–research cooperation. Liu et al. [30] analyzed the role of related industries, universities and research institutions in the new manufacturing innovation strategy, and the impact of industry–university–research cooperation on business model innovation and technological innovation.
In terms of multi-agent green innovation cooperation mechanism, Yang et al. [31] found that in the market mechanism of green collaborative innovation activities of the political industry alliance, higher default costs and the distribution ratio of R&D costs and green innovation benefits are the key factors affecting the stability of the green innovation ecosystem. Huang et al. [32] studied the multi-agent cooperative innovation alliance in asymmetric enterprises and proved the negative effects of the technology forced transfer coefficient, technology absorptive capacity, and risk coefficient. The opportunistic behavior of member enterprises will weaken the incentive effect of government incentives and aggravate the negative impact of risk factors. Starting from the government’s green development behavior mechanism of multi-agent interaction, Li et al. [33] found that corporate economic behavior, corporate environmental behavior, corporate social behavior, and public participation are significantly positively affected by the government’s green development behavior. In the multi-agent enterprise R&D innovation system composed of core enterprises and satellite enterprises, Qin et al. [34] proposed that if the core enterprises share a certain proportion of the cost with the satellite enterprises, the overall income of the multi-agent enterprise collaborative innovation system can be improved. However, the excessive support of core enterprises will directly lead to the ‘free rider’ behavior of satellite enterprises.
In summary, multi-agent green innovation has received extensive attention from academia, but there is still a lack of research on its stability and heterogeneous subject collaborative innovation. Building an effective innovation ecosystem is of great significance to green innovation and environmentally sustainable development. An ecological and organic innovation cooperation ecosystem provides new ideas and methods for manufacturers’ green innovation. Therefore, under the innovation ecosystem, this paper explores the crossover cooperation mode and cooperation mechanism of green innovation in the manufacturing industry from the perspectives of two types of enterprise subjects, as well as a government subject.

3. Model Construction

3.1. Problem Description

This paper selects three subjects, namely, the government, manufacturers, and Internet enterprises, and focuses on the green innovation of digitally enabled products to further improve the green level of products. Based on practical considerations, this paper only considers the behavioral strategies of all subjects in the crossover cooperation between manufacturers and Internet enterprises under the intervention of the government, and assumes that the cooperation between the two sides will certainly increase the benefits of green innovation to a certain extent. Therefore, an evolutionary game model of crossover green innovation cooperation between manufacturers and Internet enterprises under the management mechanism of multiple policies is established.
There are two strategies for the subject of government, one strong intervention strategy and the other, a weak intervention strategy. Regarding the low-carbon green transformation of the manufacturing industry, the government has the motivation to boost manufacturers to adopt low-carbon green technologies, adopt certain green supervision on enterprises, achieve carbon emission reductions, and maintain the sustainable development of the ecological environment. However, in the innovation and promotion of green technology, the government needs to pay subsidy incentives and corresponding regulatory costs. Based on this, strong intervention means that the government adopts a composite management mechanism combining carbon credits, R&D subsidies, and penalties, and weak intervention means that the government only adopts the management mechanism of carbon credits.
There are two kinds of cooperation mode strategy choices for manufacturing entities and Internet enterprises entities: alliance innovation cooperation (AC Mode) and distributed innovation cooperation (DC Mode). The green transformation of the manufacturing industry is produced at various stages. Through cooperation with Internet enterprises for green technology research and innovation, good economic and environmental benefits can be obtained. In this paper, the alliance innovation cooperation mode refers to the deep integration of manufacturers and Internet enterprises through contract or equity cooperation, which can produce better green innovation performance and obtain higher social–ecological welfare. Distributed innovation cooperation mode refers to the green collaborative innovation between the manufacturing industry and Internet enterprises through a more flexible way of cooperation. The cooperation between the two is relatively loose, so there will be a phenomenon of free riding.
According to the problem description above, the strategic relationships among the three subjects are shown in Figure 1:

3.2. Model Assumption

In order to construct a reasonable game model, the study made the following assumptions:
Assumption 1.
In green innovation activities, both government and enterprises are vulnerable to the influence of internal and external environments. In the choice of strategy, they will produce decision-making results through mutual observation and mutual learning. We assume that the participants possess bounded rationality and strive to maximize their own self-interests.
Assumption 2.
The government, manufacturers, and Internet enterprises all have two kinds of strategy choices, and x, y, and z represent the selection probability of the corresponding strategy. When the government chooses strong intervention or weak intervention, the probability is x and 1 − x. When the manufacturer chooses AC Mode or DC Mode, the probability is y and 1 − y. When the Internet enterprise chooses AC Mode or DC Mode, the probability is z and 1 − z. The above x, y, z ∈ [0, 1].
Assumption 3.
By guiding and coordinating multi-subjects to carry out green innovation cooperation, the government reduces the social positive externality to a (a ≥ 1), which helps to further improve the social–ecological welfare to obtain the basic benefit S. When the government chooses a strong intervention strategy, if the manufacturer and the Internet enterprise jointly choose the AC cooperation Mode strategy, the government gives the innovation cooperation incentive L. At the same time, the government has also increased social credibility and government reputation, and the new economic development has a positive effect. If manufacturers and Internet enterprises choose the DC cooperation Mode strategy, cooperation efficiency is reduced, so the social–ecological welfare will reduce G. In this scenario, the government needs to carry out more control over the innovation subject, and the probability of finding the enterprise ‘free rider’ is b, and the control benefit is F.
Assumption 4.
Under the traction of the carbon integral transaction price P, the cross-border subject jointly creates the enterprise green income R1 through collaborative innovation, resulting in a running-in cost of C1. The income R1 is distributed between two enterprises, where the manufacturer’s income distribution coefficient is m, and the Internet company’s income distribution coefficient is (1 − m).
Assumption 5.
As the core enterprise in collaborative innovation, when the manufacturer chooses the AC Mode, the green product sales volume is Q1, otherwise, it is Q2, and if Q1 > Q2, additional effort cost C2 is required; when it chooses the DC Mode, the potential benefit will be R2; when it chooses AC Mode, the Internet enterprise chooses DC Mode, and the manufacturer needs to invest additional effort cost C2.
Assumption 6.
Internet enterprises have a technological leadership advantage in collaborative innovation. When they have egoism, that is, when they choose the DC model, they will receive additional benefits K (K > 0).
The parameters set in Assumptions 1 through 6 are shown in Table 1 for symbols and meanings.

3.3. Profit Matrix Construction

According to the above assumptions and the corresponding behavior of the subjects, the income matrix between the government, manufacturers, and Internet enterprises is shown in Table 2.
Strategy Profile 1–4.: Enterprises’ strategy choice under strong government intervention.
Strategy Profile 1. Under strong government intervention, both manufacturers and Internet enterprises choose AC mode. The alliance between the manufacturer and the Internet enterprise produces the running-in cost C1, creates the green innovation income R1, and increases the market share due to the cooperation between the two subjects. The green product sales brought by the alliance are Q1, and the carbon trading income can be obtained.
Strategy Profile 2. When the government intervenes strongly, manufacturers choose AC Mode, and Internet enterprises choose DC Mode. Manufacturers need to invest more green innovation resources and increase the extra effort cost C2. Because the manufacturer has a more dominant position in this strategy scenario, the manufacturer can obtain additional revenue R2 compared with the strategy scenario of Strategy Profile 1. On the other hand, because Internet enterprises are prone to free-rider behavior under the DC Mode, they are allocated after deducting the possible government control cost b·F based on the overall green income R1.
Strategy Profile 3. When the government intervenes strongly, manufacturers choose DC Mode, and Internet enterprises choose AC Mode. Because the manufacturer may have a free ride, the sales of green products are reduced to Q2. At the same time, b·F is also deducted on the basis of the overall green income R1, which is distributed by multiplying the income distribution coefficient of the manufacturer and the Internet enterprise.
Strategy Profile 4. When the government intervenes, both manufacturers and Internet enterprises choose the DC Mode. Internet enterprises cooperate with manufacturers through open innovation and share innovations in different ways, so Internet enterprises have excess returns K, and manufacturers have additional returns R2. In this strategy scenario, free riding may also occur, so the sales volume of green products is Q2, and the overall revenue needs to be deducted from the government’s control cost b·F.
Strategy Profile 5–8: Enterprises’ strategy choice under weak government intervention.
Strategy Profile 5. Under weak government intervention, both manufacturers and Internet enterprises choose AC Mode. Since the government is a weak intervention strategy at this time, the government’s R&D subsidy incentive is deducted on the basis of Strategy Profile 1.
Strategy Profile 6. When the government intervenes weakly, manufacturers choose AC Mode, and Internet enterprises choose DC Mode, with no government control cost to be deducted as in Strategy Profile 2.
Strategy Profile 7. When the government intervenes weakly, the manufacturers choose DC Mode and the Internet enterprises choose AC Mode. Compared with Strategy Profile 3, there is no government control cost to be deducted.
Strategy Profile 8. When the government intervenes weakly, both manufacturers and Internet enterprises choose the DC Mode. Compared with Strategy Profile 4, there is no government control cost to be deducted.
(1)
Expected revenue of the government. The expected return under a strong government intervention strategy is U11, the expected revenue of weak government intervention is U11, the average expected revenue of government is U1, then U1 = xU11 + (1 − x) U12, where:
U11 = yz(a·S + f − L) + (1 − y) z(a·S) + y(1 − z) (a·S) + (1 − y) (1 − z) (a·S − G + b·F)
U12 = yz(S + f) + (1 − y) z(S − G) + y(1 − z) S + (1 − y) (1 − z) (S − G),
(2)
Expected earnings of manufacturers. Assume the manufacturer’s expected revenue in AC collaboration mode to be U21, the expected revenue of the manufacturer when choosing the DC collaboration mode is U22, and the average expected revenue of the manufacturer is U2, then U2 = yU21 + (1 − y)U22, where:
U21 = xzm(R1 − C1 + PQ1 + L) + x(1 − z) m(R1 − C1 + PQ1 − Fb) − C2 + R2) + (1 − x) zm(R1 − C1 + PQ1) + (1 − x) (1 − z) (m(R1 − C1 + PQ1) − C2 + R2)
U22 = xzm(R1 − C1 + PQ2 − Fb) + x(1 − z) [m(R1 − C1 + PQ2 − Fb) + R2] + (1 − x) zm(R1 − C1 + PQ2) + (1 − x) (1 − z) [m(R1 − C1 + PQ2) + R2]
(3)
Expected earnings of Internet enterprises. Assuming that the expected revenue of the Internet enterprises is U31 when it cooperates positively, the expected revenue is U31 when it cooperates alienatedly, and the average expected revenue of the new energy vehicle manufacturer is U32, then U3 = zU31 + (1 −z)U32, where:
U31 = xy(1 − m) (R1 − C1 + PQ1 + L) + x(1 − y) (1 − m) (R1 − C1 + PQ2 − Fb) + (1 − x) y(1 − m) (R1 − C1 + PQ1) + (1 − x) (1 − y) (1 − m) (R1 − C1 + PQ2)
U32 = xy(1 − m) (R1 − C1 + PQ1 − bF) + x(1 − y) [(1 − m) (R1 − C1 + PQ2 − Fb) + K] + (1 − x) y(1 − m) (R1 − C1 + PQ1) + (1 − x) (1 − y) [(1 − m) (R1 − C1 + PQ2) + K]
Based on Hessani’s transformation and applying mathematical induction, the replicator dynamic equations of government, manufacturers, and Internet enterprises that choose strong intervention, the alliance restructuring innovation cooperation mode, and the alliance restructuring cooperation mode are:
F ( x ) = x t = x ( U 11 U ¯ 1 ) =   x ( x   1 )   ( S     F · b     a · S     G · z   +   F · b   +   F · b · z   +   G · y · z   +   L · y · z     F · b · y · z )
F ( y ) = y t = y ( U 21 U ¯ 2 ) = y ( y   1 )   ( C 2 · z     C 2 +   P · Q 1 · m     P · Q 2 · m   +   L · m · x · z   +   F · b · m · x · z )
F ( z ) = z t = z ( U 31 U ¯ 3 ) =   z ( z   1 )   ( K     K · y     L · x · y   +   L · m · x · y     F · b · x · y   +   F · b · m · x · y )

4. Model Analysis

According to the evolutionary game theory, the equilibrium point of the evolutionary game of the subjects is obtained when the replication dynamic equation is zero and its first-order reciprocal is less than zero. It is expressed by the mathematical method: f ( i ) = 0     and   d f ( i ) d i < 0 . The following will discuss the stability strategy of the government, new energy vehicle manufacturers, Internet enterprises, and their tripartite evolutionary game system.

4.1. An Analysis of the Stability of Government Strategy

The first-order reciprocal of the government’s replication dynamic equation F(x) is:
d ( F ( X ) ) dx = ( 2 x   1 )   ( S     F · b   S · a   G · z   +   F · b   · y   +   F · b · z   +   G · y · z   +   L · y · z     F · b · y · z )
Let G(y) = S − F·b − S·a − G·z + F·b·y + F·b·z + G·y·z + L·y·z − F·b·y·z
According to the stability theorem of a differential equation, the probability of strong government intervention must satisfy:   F ( x ) = 0 and d ( F ( x ) ) dx < 0 . Since d ( G ( y ) ) dy > 0 , G(y) is an increasing function with respect to y. Thus, when y = S F · b S · a + z · ( F · b G ) z · ( F · b G L ) F · b = y * , G(y) = 0, and d ( F ( x ) ) dx = 0 , All x is in an evolutionarily stable state; when y S F · b S · a + z · ( F · b G ) z · ( F · b G L ) F · b , from F(x) = 0, the stable points are x = 0 and x = 1:
(1)
When y < y*, G(y) < 0, such that d ( F ( x ) ) dx | x = 1 < 0 , where x = 1 is the evolutionary stable point, the government’s choice is a strong intervention strategy.
(2)
When y > y*, G(y) > 0, such that d ( F ( x ) ) dx | x = 1 > 0 , where x = 0 is the evolutionary stable point, the government’s choice is weak intervention strategy.
According to the above results, the government’s strategy evolution phase diagram is shown in Figure 2.
Figure 2 shows that the volume VA1 of A1 is the probability that the government chooses a weak intervention strategy, and the volume VA2 of A2 is the probability that the government chooses a strong intervention strategy, calculated:
V A 1 = 0 1 0 F · b + S · a S F · b G y * dzdx ( ESS : x 0 )
V A 2 = 1 V A 1
Hypothesis 1.
The probability of the government choosing a strong intervention strategy is positively correlated with the basic benefits and potential control benefits, but negatively correlated with the loss of social–ecological benefits, as well as positive externalities for society.
Proof. 
According to the expression of the probability VA2 of the government’s choice of a strong intervention strategy, the first-order partial derivative of each factor is obtained: V A 1 S > 0 , V A 1 F · b > 0 , V A 1 G < 0 , V A 1 a < 0 . □
Therefore, with the improvement in the green innovation degree of inter-enterprise cooperation, the greater the basic benefits obtained by the government, and the control benefits obtained through strict supervision, the more the government tends to choose strong intervention strategies; on the contrary, if too much social–ecological welfare is lost and too little social positive externalities are reduced, it will affect the government’s enthusiasm for market management.

4.2. Strategic Stability Analysis of Manufacturers

The first-order reciprocal of the replication dynamic equation F(y) for manufacturers is:
d ( F ( y ) ) dy = ( 2 y 1 )   ( C 2 C 2 · z P · Q 1 · m + P · Q 2 · m L · m · x · z F · b · m · x · z )
Let I(z) = C2 − C2·z − P·Q1·m + P·Q2·m − L·m·x·z − F·b·m·x·z
According to the stability theorem of a differential equation, the probability that the manufacturer chooses the cooperative mode of alliance innovation is stable must satisfy: F ( y ) = 0 and d ( F ( y ) ) dy < 0 . Since d ( I ( z ) ) dz < 0 , I(z) is a decreasing function with respect to z. Thus, when z = C 2 P · Q 1 · m + P · Q 2 · m C 2 + L · m · x + F · b · m · x = z * , I(z) = 0, and d ( F ( y ) ) dy = 0 , all y are in an evolutionarily stable state; when z C 2 P · Q 1 · m + P · Q 2 · m C 2 + L · m · x + F · b · m · x , from F(y) = 0, the stable points are x = 0 and x = 1:
(1)
When z > z*, I(z) < 0, such that d ( F ( y ) ) dy | y = 1 > 0 , at this time, y = 1 is the evolutionary stable point, and the choice of manufacturers is to break through the restructuring innovation strategy.
(2)
When z < z*, I(z) > 0, such that d ( F ( y ) ) dy | y = 1 < 0 , at this time, y = 0 is the evolutionary stable point, and the choice of manufacturers is a gradual distributed innovation strategy.
According to the above results, the strategy evolution phase diagram of manufacturers is shown in Figure 3.
It can be seen from Figure 3 that the volume VB1 of B1 represents the probability that the manufacturer chooses the AC Mode, and the volume VB2 of B2 represents the probability that the manufacturer chooses the DC Mode, calculated:
V B 2 = 0 C 2 P · Q 1 · m + P · Q 2 · m C 2 0 1 z * dxdy ( ESS : y 0 )
V B 1 = 1 V B 2
Hypothesis 2.
The manufacturer’s choice of AC Mode is positively correlated with the income distribution coefficient and sales volume of the product under this mode, while it is negatively correlated with the transaction price and additional effort costs.
Proof. 
According to the expression of the probability VB1 of the manufacturer choosing AC mode, the first-order partial derivative of each factor is obtained: V B 1 Q 1 > 0 , V B 1 m > 0 , V B 1 P < 0 , V B 1 C 2 < 0 . □
Therefore, in order to avoid the manufacturer’s choice of DC Mode, the manufacturer’s income distribution coefficient should be increased, the extra effort cost should be reduced, and the sales of products in AC Mode should be increased. In addition, a reasonable integral price can also guarantee the manufacturer’s choice of AC Mode.

4.3. Strategic Stability Analysis of Internet Enterprises

The first-order reciprocal of the replication dynamic equation F(z) of the Internet enterprises is:
d ( F ( z ) ) dz = ( 2 z 1 )   ( K     K · y     L · x · y   +   L · m · x · y     F · b · x · y   +   F · b · m · x · y )
Let H(x) = K − K·y − L·x·y + L·m·x·y − F·b·x·y + F·b·m·x·y
According to the stability theorem of a differential equation, the probability that Internet enterprises choose the mode of alliance cooperative innovation is in a stable state must be enough: F ( z ) = 0 and d ( F ( z ) ) dz < 0 , since d ( H ( x ) ) dx < 0 , H(x)is a decreasing function with respect to x. Thus, when x = K K · y L · y L · m · y + F · b · y F · b · m · y = x * , H(x) = 0 and d ( F ( z ) ) dz = 0 , all z are in evolutionarily stable; when K K · y L · y L · m · y + F · b · y F · b · m · y , the stable points are z = 0 and z = 1 according to F(z) = 0:
(1)
When x > x*, H(x) < 0, such that d ( F ( z ) ) dz | z = 1 > 0 , at this time, z = 1 is the evolutionary stable point. The choice of Internet enterprises is a positive cooperation strategy.
(2)
When x < x*, H(x) > 0, such that d ( F ( z ) ) dz | z = 1 < 0 , then z = 0 is the evolutionarily stable point, the choice of Internet enterprises is the alienation cooperation strategy.
According to the above results, the strategy evolution phase diagram of Internet enterprises is shown in Figure 4.
It can be seen from Figure 4 that the volume VC1 of C1 represents the probability that Internet companies choose DC Mode, and the volume VC2 of C2 represents the probability that Internet companies choose AC Mode, calculated:
V C 1 = 0 1 0 1 x * dydz ( ESS : x 0 )
V C 2 = 1 V C 1
Hypothesis 3.
The choice of AC Mode by Internet enterprises is inversely proportional to their excess returns.
Proof. 
According to the expression of the probability VC1 of Internet enterprises choosing AC Mode, the first-order partial derivative of each factor is obtained: V C 1 K < 0 . □

4.4. Equilibrium Point Analysis of Tripartite Evolutionary Game System

Decision making is a process of continuously collecting and strengthening information. Governments, manufacturers, and Internet enterprises are actors with bounded rationality. The probability of their strategic choices is affected by the size of the benefits obtained under the established strategy, so the decision-making process also shows obvious uncertainty. Through the above discussion and analysis of evolutionary stability, it can be seen that the final strategy choice of the government, manufacturers, and Internet enterprises will change according to the change in the initial state of the system. Therefore, when the government and the two types of innovation subjects choose to implement a stable equilibrium strategy set (strong intervention, AC mode, and AC mode), they need to pay attention to the initial state of the innovation cooperation ecosystem and adopt corresponding strategies according to different initial states.
In order to solve the equilibrium point of the game, let the replication dynamic equation be zero, then the optimal strategy combination (x*, y*, z*) of the government, manufacturers, and Internet enterprises constitutes the boundary {(x, y, z)|x = 0, 1; y = 0, 1; z = 0, 1} of the game. Considering the local stability of the equilibrium point of the system, it can be obtained from the analysis of the Jacobian matrix:
J = [ F ( x ) x F ( x ) y F ( x ) z F ( y ) x F ( y ) y F ( y ) z F ( z ) x F ( z ) y F ( z ) z ]
There are eight special equilibrium points in the system, which are E1(0,0,0) E2(0,0,1) E3(0,1,0) E4(1,0,0) E5(1,1,0) E6(1,0,1) E7(0,1,1) E8(1,1,1). In Addition, there are six equilibrium points in the system, and E9~E14 is meaningless because x, y, z ∈ [0, 1].
Hypothesis 4.
The government’s incentive for alliance innovation cooperation between manufacturers and Internet enterprises can reduce social externalities. When it exceeds the government’s subsidy incentives for innovators, the equilibrium solution of the strategy portfolio will evolve and stabilize at (strong intervention, AC Mode, and AC Mode).
Proof. 
When (x*, y*, z*) = (1,1,1), the Jacobian matrix of the system is:
J = [ L + S S · a 0 0 0 P · Q 2 · m P · Q 1 · m L · m F · b · m 0 0 0 L · m F · b L + F · b · m ]
The eigenvalue at this time is:
λ = [ L + S S · a L · m F · b L + F · b · m P · Q 2 · m P · Q 1 · m L · m F · b · m ]
When S(a − 1) > L, the three eigenvalues are negative, then (1,1,1) is the asymptotically stable point.
Therefore, it is necessary to improve the government’s innovation coordination performance through an integrated management mechanism. When the increased social–ecological benefits are higher than the government’s financial costs, it can effectively promote the innovators to adopt a higher-order alliance cooperation model. □
Hypothesis 5.
In the innovation cooperation ecosystem, only when the difference between the carbon integral gains obtained by the manufacturer choosing the alliance innovation cooperation mode and the distributed innovation cooperation mode is greater than the extra effort cost, can the stable equilibrium strategy solution (Government intervention, DC Mode, and DC Mode) be effectively prevented.
Proof. 
When (x*, y*, z*) = (1,0,0), the Jacobian matrix of the system is:
J = [ S S · a 0 0 0 P · Q 2 · m P · Q 1 · m + C 2 0 0 0 L · m + F · b + L F · b · m ]
The eigenvalue at this time is:
λ = [ S S · a C 2 P · Q 1 · m + P · Q 2 · m L F · b L · m F · b · m ]
When P·m(Q1 − Q2) < C2, the three eigenvalues are negative, then (1,0,0) is the asymptotically stable point. Similarly, the asymptotic stability at the other seven equilibrium points can be obtained, as shown in Table 3.
Therefore, on the one hand, the design of the benefit distribution mechanism of crossover cooperation needs to be dominated by entity manufacturing. On the other hand, the government should improve the carbon trading market mechanism, guide the formation of a reasonable point price, promote the innovation subject to choose a better cooperation model, and increase social–ecological welfare. □

5. Case Study and Simulation Analysis

5.1. Case Background and Parameter Setting

According to the above five hypotheses, the case study is carried out to explore the green innovation of crossover entities from two aspects of cooperation mode and cooperation mechanism. Among them, Study 1 and 3 were conducted to confirm Hypotheses 2 and Hypotheses 5, while Study 2 was conducted to confirm Hypotheses 3 and Hypotheses 4. Study 4 was designed to verify Hypotheses 1 and Hypotheses 5, and Study 5 was conducted to confirm Hypotheses 1 and Hypotheses 4.
This paper takes the crossover cooperation between the automobile manufacturing industry and Internet enterprises as the case background. With the rise of new energy and smart cars, higher requirements are put forward for the green manufacturing of automobiles and green standards of products. It is necessary to further empower green innovation through digital technological change to improve the level of green energy saving and emissions reduction in product manufacturing. For example, optimizing intelligent manufacturing systems to reduce carbon emissions and energy consumption in manufacturing links; optimizing the battery thermal management system (BMS) to improve battery efficiency; optimizing the electric drive system to reduce the energy consumption level of the whole vehicle; and optimizing intelligent driving systems and driving systems to reduce driving emissions and energy consumption. However, traditional automobile manufacturing enterprises still have limitations in digital technology, and there are bottlenecks in the digital intelligent systems of batteries, motors, and electronic controls. It is necessary to actively explore the establishment of digital green innovation partnerships with Internet enterprises. On the other hand, Internet companies are also actively expanding the application scenarios of digital technology in automobile product manufacturing, developing cross-border cooperation with automobile manufacturers, and improving the low-carbon energy-saving level of products through the green innovation of automobile manufacturing and parts digital intelligence systems.
First of all, there are two main types of crossover innovation cooperation strategies, one is the alliance cooperation innovation model. For example, BMW Group and Amazon Cloud technology signed an alliance strategic cooperation agreement in September 2018. The two sides will jointly innovate cloud technology, build a high-performance data-driven development platform, analyze and process complex and changeable driving scenarios, and improve server utilization. According to BMW Group’s official statistics, European market sales in the first three quarters of 2022 were 617,048 vehicles, an increase of 57.5% year-on-year, so let Q1 = 60. In addition, considering that BMW has also previously conducted distributed innovation cooperation with Alibaba Group, its market sales in the first three-quarters of the European market in 2021 were 391,776, so the Q2 = 40. Considering the cost factors and the financial data disclosed by the automobile enterprises, the research shows that R1 = 200, R2 = 20.
Secondly, in terms of the government’s management mechanism, on the one hand, it is the carbon credit management mechanism. Enterprises carry out credit transfers or transactions through the credit management platform, and their prices are affected by market conditions. In recent years, the credit price has been around CNY 1000 to 3000. Combined with the annual report of credit management issued by the Ministry of Industry and Information Technology and IHS Markit forecast data, the credit price P ∈ (1, 4). On the other hand, it is the government’s comprehensive mechanism of subsidy incentives and control. According to Chinese statistics, the total retail sales of the automobile industry in 2021 will be CNY 4.3 trillion, and the revenue of the top 100 Internet enterprises in 2021 will reach CNY 4.1 trillion, combined with a value-added tax rate of 17%, S = 150. According to the documents issued by the Ministry of Industry and Information Technology of China on the liquidation of subsidy funds for the promotion and application of new energy vehicles each year, the government subsidy L = 25, the reduced social–ecological welfare G = 20, and the regulatory income F = 30 under the strong intervention strategy are set.
Considering the green innovation of the innovation subject in the innovation cooperation ecosystem from the practical significance, a fairer income distribution coefficient is more conducive to promoting the willingness of both subjects to actively cooperate. Therefore, the initial income distribution coefficient m = 0.5 (adjustment will be made during discussion). According to the research of Wang et al. [35], the positive externality coefficient of social reduction is set as a = 1.3, and the social credibility and government reputation increase f = 25. According to Gui et al. [36], we set K = 15. The relevant parameter assignment is shown in Appendix A.
In order to verify the effectiveness of evolutionary stability analysis, used Matlab2021a for numerical simulation. The results of 100 times evolution through simulation are shown in Figure 5. Figure 5 shows that the simulation results have a stable equilibrium point (1,1,1), and there is only one evolutionary stable strategy combination (strong government intervention, alliance innovation cooperation mode, or alliance innovation cooperation mode). The simulation results are consistent with the stability analysis conclusion of the equilibrium point of the three-subjects evolutionary game system and are effective, which has practical guiding significance for the three subjects.
Next, on the basis of this set of data, the cooperation mode is analyzed from the manufacturer’s extra effort cost C2 and the Internet enterprise’s excess return K; the cooperation mechanism is analyzed from the income distribution coefficient m, the carbon trading price P, and the government R&D subsidy L.

5.2. Green Innovation Cooperation Model

5.2.1. Impact of Manufacturers’ Extra Effort Cost

Firstly, Study 1 was designed to test Hypotheses 2 and Hypothesis 5. The influences of strategy selection on cooperation mode are analyzed from the perspective of additional effort cost of automobile manufacturers. In the process of automobile manufacturers wanting to further reduce manufacturing carbon emissions and improve product greenness through digital empowerment, if the investment level of Internet enterprises is not high, whether or not the manufacturing industry chooses to continue to invest additional effort costs as the dominant force is an important issue. In the early stage of development, Tesla cooperated with Mobileye, the leader in autonomous driving, adopted a distributed innovative cooperation model to optimize the autonomous driving system of Tesla Autopilot, and the R&D cost of Tesla was relatively low. However, in 2016, a serious accident occurred in a Model S vehicle using the Autopilot system. It was found that there were still some defects in the assisted driving technology provided by Autopilot and that the distributed innovation cooperation was relatively open and decentralized. There was a lack of quality control in product development. In the end, Mobileye was marginalized by Tesla as a supplier of Autopilot. Since then, as Tesla continues to mature, they have acquired more comprehensive resource strengths, focused on vertical integration, invested in high R&D costs, and adopted a more dominant AC innovative cooperation mode for digital development.
Therefore, when observing the change in the evolution results of the innovation mode selection strategy game when C2 is adjusted, C2 is assigned to three levels of low, medium, and high, C2 = 8, 20, 45, respectively, and the simulation results of the replication dynamic equations evolving 100 times over time are shown in Figure 6.
According to Study 1, when C2 is at a high level (C2 = 45), the strategy converges to (1,0,0). According to the comparison of Figure 6c C2 = 8 and C2 = 20, it is found that the lower the extra effort cost of the automobile manufacturer, the faster the convergence to the (strong intervention, AC Mode, and AC Mode) equilibrium strategy set.
Result 1. If the automobile manufacturer’s extra effort cost C2 is high, when it reaches a certain zero point, it will tend to give up the AC Mode and choose the DC Mode under the cost pressure. Therefore, in the process of digitally empowering green innovation transformation and development of automobile manufacturing enterprises, if they need to pay too high R&D costs, manufacturing enterprises will choose more open, flexible, and loose cooperation methods, such as strengthening industry–university-research cooperation and joining public collaborative innovation platforms such as industry associations.

5.2.2. The Impact of Excess Return K on Internet Enterprises

Then, Study 2 is designed based on Hypothesis 3 and Hypothesis 4. The influence of the additional excess return K obtained by Internet enterprises on the choice of green innovation cooperation mode strategy is analyzed. In the early years, Qualcomm Technologies reached chip supply agreements with Volvo and Honda, successfully entering the automotive industry. As an ordinary supplier of digital product lines to traditional auto enterprises, Qualcomm is not satisfied with having lower returns. This year, Qualcomm Technology and Ferrari announced that they had reached a strategic and technical cooperation, using Snapdragon Digital Chassis to bring the latest automotive technology to Ferrari, expanding its knowledge reserve in the field of digital technology and Web 3.0. At the same time, Qualcomm’s market value also rose, further expanding its territory in the automotive sector, and giving it more market recognition.
Other parameters remain unchanged, K = 10, 15, 30 are adjusted, respectively. Figure 7 shows the influence of the change in variable K on the tripartite strategy of automobile manufacturers, Internet enterprises, and government.
According to Study 2, regardless of whether K takes the high and low three values, it will eventually converge to (strong intervention, AC Mode, and AC Mode). However, according to the comparison of the three lines in Figure 7b, it is found that when the K value is lower, the Internet enterprise will evolve to the AC mode at a faster speed, and finally, the innovative cooperation ecosystem will obtain the equilibrium strategy set (strong intervention, AC Mode, and AC Mode).
Result 2. The smaller the excess return K of Internet enterprises in DC mode, the more inclined they are to choose AC. On the other hand, if K is higher, the enthusiasm of automobile manufacturers to choose alliance innovation cooperation mode will decline. Therefore, it is necessary to reduce the excess return K brought by free riding through various comprehensive means, so as to promote manufacturing and Internet enterprises to choose more active cooperation modes to participate in green innovation.

5.3. Green Innovation Cooperation Mechanism

5.3.1. The Influence of Enterprise Income Distribution Mechanism

Study 3 was designed to test Hypotheses 2 and Hypothesis 5, the green innovation cooperation mechanism is explored from the perspective of the income distribution coefficient. Huawei has launched a layout in the automotive field by forming a 5G automotive alliance. According to its crossover cooperation with a number of automotive manufacturers, there are three modes of vehicle construction. The first is Huawei’s smart car model. Throughout its research and development, Huawei has been deeply involved in product definition, vehicle design, and provides store sales channels; the second is the solution integration mode, namely, HI mode. Huawei provides full-stack intelligent solutions for automobile enterprises, including intelligent cockpits, intelligent driving, etc. The third is the component supplier model. Huawei provides the Hong Meng vehicle system, domain controller, and motor and other hardware and software for vehicle enterprises. With the deepening of intelligence, the profit structure of the automobile industry has also changed. From the perspective of automobile manufacturers, it is hoped that the intelligent electric platform brought by Internet enterprises will always be vigilant to become an OEM of technology giants.
Therefore, from the perspective of the income distribution coefficient, according to the high, medium, and low-income distribution mechanisms of Internet enterprises, this study analyzes the influence of m change on the process and result of evolutionary game, and assigns m to m = 0.37, 0.5, 0.68, respectively. The simulation results of replicator dynamic equations evolving 100 times over time are shown in Figure 8.
According to Experiment 3, when m takes a lower value, the manufacturer tends to choose the DC mode. Comparing m = 0.37 and m = 0.5 in Figure 8c, it is found that the larger m is, the faster the automobile manufacturer evolves to AC mode. According to the strategy choice of Internet enterprises in Figure 8d, the size of m has no great influence on the choice of cooperation mode strategy of Internet enterprises.
Result 3. This is because in the green innovation cooperation between the two crossover subjects, although Internet enterprises have the advantages of digital key technology research and development, the final output of green products still relies mainly on car manufacturers. Therefore, in terms of benefit distribution, it is necessary to properly coordinate the distribution led by automobile manufacturers.

5.3.2. The Impact of Government Carbon Trading Mechanism

Study 4 is designed based on Hypothesis 1 and Hypothesis 5, the green innovation management mechanism of government is analyzed from the perspective of carbon trading price. Taking China as an example, under the government’s new energy vehicle points policy, it has vigorously promoted the research and development and production of automobile manufacturers in the field of new energy vehicles. For example, BYD Auto’s revenue for the first three quarters of 2022 was CNY 117.081 billion, a year-on-year increase of 115.59%. It sold more than 1.18 million vehicles, a year-on-year increase of 249.59%, overtaking Tesla in the U.S. up 17.1% of China’s new energy vehicle market share. According to the latest results of the Chinese government, Toyota, Audi, Volvo, Volkswagen, BMW, and other mainstream car enterprises have completed the annual carbon emission points assessment in 2021.
In order to analyze the influence of P change on the process and result of evolutionary game, P is assigned to P = 1.4, 2.3, 3, respectively, and the simulation results of replicated dynamic equations evolving with time for 100 times are shown in Figure 9.
According to Study 4, when P is small, automobile manufacturers will tend to choose DC mode. In addition, comparing the strategy choices of manufacturers and Internet enterprises under the two values of P = 1.4 and P = 2.3 in Figure 9c,d, with the increase in P, the evolution of automobile manufacturers to AC Mode is significantly faster than that of Internet enterprises, and automobile manufacturers are more sensitive to the change in carbon credit price P.
Result 4. Under the appropriate point transaction price, the manufacturer will respond quickly to the market to make up for part of the green technology R&D investment. Too low an integral transaction price reduces the income of green cooperative innovation enterprises and will induce automobile manufacturers to meet the integral assessment requirements by simply purchasing positive points, thus reducing the positive behavior in the process of collaborative innovation.

5.3.3. The Impact of Government Subsidy Incentive Mechanism

In Study 5, based on Hypothesis 1 and Hypothesis 4, the government’s fiscal policy is an important tool for the country to carry out macro-control, and constantly optimize the allocation of resources through various subsidy incentives. The EU proposes to incorporate new energy vehicles into the green economic recovery plan and establish a clean energy vehicle investment fund of EUR 40–60 billion. These government subsidies further reduce the R&D costs of new energy vehicles. However, with the increasing dependence of new energy vehicle enterprises on government subsidies, it is not only easy to generate fraudulent subsidies, but also increases the financial pressure on the country. Accordingly, the state will gradually increase the threshold of subsidies to cancel large-scale subsidies, focusing on R&D, production, and other more accurate links.
This experiment assumes that under the strong intervention strategy, in order to promote the collaborative innovation of automobile manufacturers and Internet enterprises, the government sets a certain subsidy incentive, and the R&D subsidy L has three states of low (5), medium (30), and high (200).
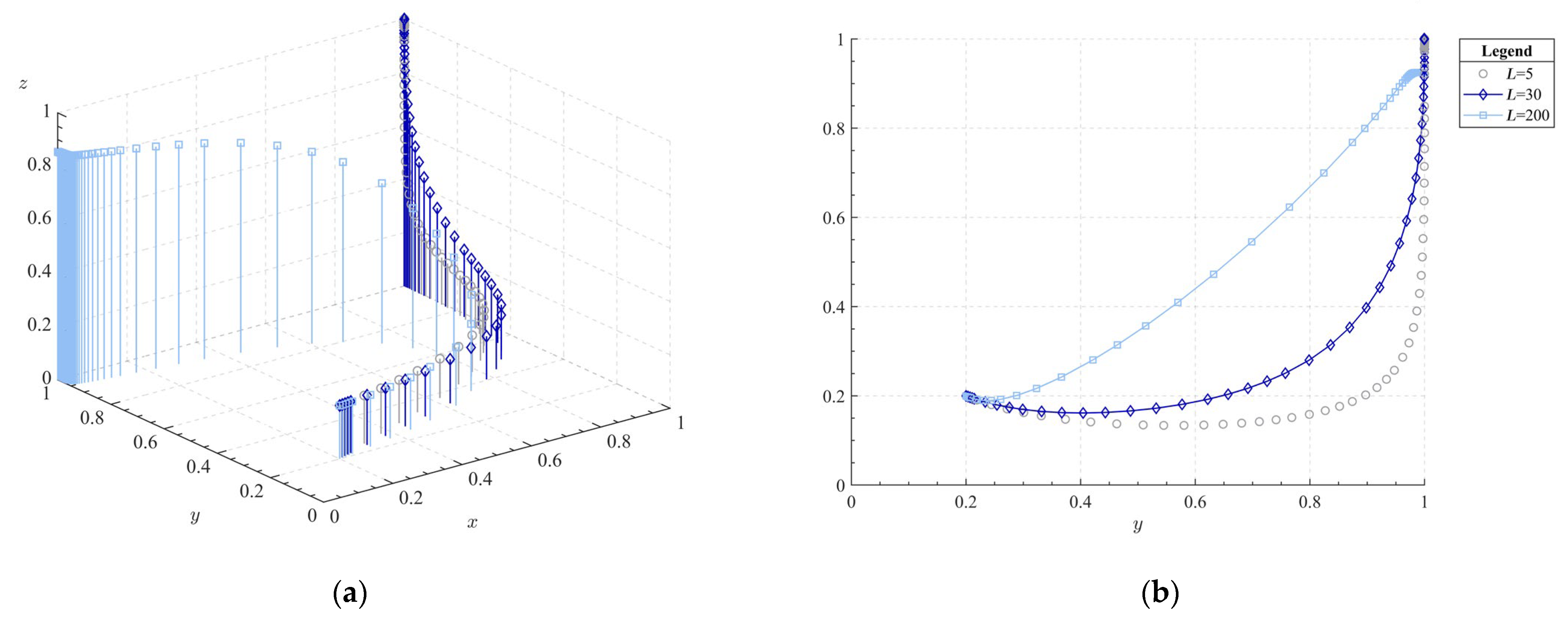
According to Study 5, with the increase in government subsidy L, the evolution of automobile manufacturers and Internet enterprises to AC mode is accelerated. However, according to the evolution path of the subsidy incentive L in Figure 10c,d, it is found that when the government subsidy L is too large, the government’s choice will appear as a U-shaped path.
Result 5. For enterprises, the increase in R&D subsidies offsets the cost pressure of green innovation. The higher the subsidy is, the greater the investment in green innovation of enterprises will be. Automobile manufacturers and Internet enterprises will adopt a deeply related AC cooperative innovation model. However, the government may face significant financial pressure when subsidies are smaller than the benefits received. Therefore, the government should adopt a comprehensive policy, through the non-financial effectiveness of timely supplementary coordination.
In summary, all hypotheses are further verified by case analysis, and the results are shown in Table 4.

6. Conclusions and Implications

6.1. Conclusions

On the basis of combing the multi-agent collaborative green innovation of automobile manufacturers, this paper constructs a three-subjects evolutionary game model, reveals the behavior decisions of automobile manufacturers and Internet enterprises in collaborative green innovation under the innovation cooperation ecosystem, and analyzes how to influence the green cooperation mode and cooperation mechanism of innovation subjects under different policies, which provides some decision support for the cooperation mechanism of collaborative innovation between automobile manufacturers and Internet enterprises.
Conclusion 1. Reducing the cost of digital green innovation transformation in manufacturing will help promote deep cooperation among crossover subjects. According to Study 1, automobile manufacturers tend to choose DC Mode if there is too much extra effort cost. The manufacturing industry’s digital transformation has overall had a late start, the technology is not mature, there is little industrial commonality, key green technology research and development costs are high, and enterprises need to pay high R&D costs. If we can further reduce the cost of green innovation transformation of the manufacturing industry and give full play to the advantages of the complete supply chain of the manufacturing industry, the value of the innovation cooperation ecosystem will be improved.
Conclusion 2. Reducing the excess returns under the free-riding behavior of Internet enterprises helps to promote deep cooperation among crossover subjects. According to Study 2, as excess revenues decrease, Internet enterprises will be more inclined to pursue the overall profit maximization of the innovation collaboration ecosystem, moving from DC Mode to AC Mode, with closer ties to manufacturing. Increased investment in green technology, through the new development of data, will help manufacturers optimize operational efficiency and improve the quality of green products, to achieve a breakthrough in core technology.
Conclusion 3. Profit distribution dominated by the manufacturing industry helps to promote in-depth cooperation among crossover subjects. According to Study 3, manufacturing still belongs to the real economy and is the actual producer of final green products in the innovation cooperation ecosystem. If the income distribution is biased towards Internet enterprises, it is difficult for manufacturers to balance the high cost of green technology innovation and the advantages of overall manufacturing. In the case of being unwilling to be at the end of the distribution of benefits, manufacturers have a strong incentive to choose loose cooperation.
Conclusion 4. The government’s adoption of a non-fiscal and fiscal composite management mechanism helps to promote in-depth cooperation among crossover subjects. According to Study 4 and 5, further optimization of non-financial effectiveness such as carbon credit management is conducive to maintaining the innovation vitality of the manufacturing market. On the other hand, the use of financial mechanisms such as subsidies can create a compound traction, which efficiently promotes positive collaborative innovation among green innovation entities. This results in greater overall benefits for the innovation cooperation ecosystem, which raises the level of low-carbon society.

6.2. Implications

(1) Reduce the cost of digital green innovation in the manufacturing industry. For the additional effort cost C2, manufacturers should continuously improve their overall strength, extend the industrial chain, reduce the proportion of green technology research and development in the capital chain, and reduce the pressure on green innovation by expanding total revenue. In addition, governments need to provide better resource services and reduce the cost pressures of additional efforts in the development of digital transformation in manufacturing.
(2) Reduce the excess income obtained by free-riding in the crossover green innovation of Internet enterprises. For Internet enterprises, clarify the strategic positioning of enterprises, make good use of the value co-creation under the innovation cooperation ecology, increase the investment in green technology, and realize the income expansion of enterprises by expanding the overall income of alliance innovation. At the same time, the government should also expand its review efforts to identify and judge the free-riding behavior of enterprises through external supervision, and create a good external environment for crossover green cooperative innovation.
(3) It is appropriate to make the manufacturing industry the main driver and to promote the formation of alliance-based innovation partnerships across different industries. Scientifically and rationally set the income distribution structure between innovation subjects. At present, crossover cooperation mostly adopts the distributed cooperative innovation mode, which has some shortcomings in innovation efficiency and low green income. To promote a new round of cooperative innovation alliances, manufacturers and Internet enterprises can achieve deep alliances through cross-shareholding.
(4) Under the premise of a healthy market, the government needs to grasp the law of supply and demand in the points trading market, and consider adopting more reasonable points accounting and assessment standards. Increase the points trading adjustment mechanism and establish the points pool system. By distinguishing the types and grades of technology and broadening the requirements of technical indicators, we will improve the supply and demand of the points market and stimulate the effective demand for positive points.
(5) The compound management system of market mechanisms and financial subsidies should be improved. By adopting appropriate subsidies and adopting a combination of various incentives, we try to formulate R&D subsidies and promotion policies for low-carbon technologies based on commonality, importance, and fundamentality. Manufacturers and Internet enterprises should be guided to timely and efficient alliance innovation, accelerating the industry toward the direction of low-carbon energy conservation.
Through the above measures, we will finally realize the in-depth cooperation of crossover subjects and promote the transformation of innovation subjects to the alliance innovation cooperation mode. The synergy effect should be deepened, reducing the cost of repeated innovation, improving market efficiency, and achieving multi-level and multi-field low-carbon technology breakthroughs in the industrial chain. Under the sustainable development transformation route of high standard, high technology, and high quality, we will promote the deep integration of the low-carbon industrial chain and innovation chain of the manufacturing industry, and form a new manufacturing system with low manufacturing cost, high energy utilization rate, low carbon dioxide emission, and leading core technology.

7. Limitations and Prospects

Considering only the collaborative innovation of manufacturers and Internet enterprises, the future can utilize more heterogeneous subject cooperation thinking, such as universities and research institutions. Secondly, other government measures need to be further explored, and the impact of government policies on the collaborative green innovation behavior of manufacturers and Internet enterprises should be analyzed more comprehensively. Finally, there are many factors that can affect the decision-making behavior of innovation subjects in reality. This paper can further enrich the parameter discussion on the extended income matrix.

Author Contributions

Conceptualization, Q.L. and Z.H.; methodology, Z.H.; validation, Z.H.; formal analysis, Z.H. and Q.L.; investigation, Z.H.; writing—original draft preparation, Z.H.; writing—review and editing, Q.L.; supervision, Q.L. All authors have read and agreed to the published version of the manuscript.

Funding

This research was funded by the National Social Science Foundation of China: 19BSH105.

Institutional Review Board Statement

Not applicable.

Informed Consent Statement

Informed consent was obtained from all subjects involved in the study.

Data Availability Statement

Not applicable.

Acknowledgments

Special thanks to Shujie Wang and Guoxiao Chen for their valuable discussions during this study.

Conflicts of Interest

The authors declare no conflict of interest.

Appendix A

Table A1. Parameter assignment.
Table A1. Parameter assignment.
AssignmentParametersImplication
R1200Manufacturers and Internet enterprises Co-create When Choosing Alliance Innovation Cooperation Mode
C110Running-in Costs in Cooperation between Manufacturers and Internet enterprises
Q160Product Sales When Manufacturers Choose Alliance Innovation Cooperation Mode
R218Internet enterprises choose distributed innovation cooperation model, regardless of the manufacturer’s strategy to choose its potential benefits
C220Additional effort costs for manufacturers when Internet enterprises choose distributed innovation collaboration
K15Additional excess revenue from actual control when Internet enterprises choose to hitchhike, where k > 0
Q240Product Sales When Manufacturers Choose Distributed Innovation Collaboration
m0.5Profit distribution factor for manufacturers, 1 − m for Internet enterprises
S150The basic benefits obtained by the government through steady economic growth and easing environmental pollution pressure
a1.3Government Reduces Social Positive Externalities by Guiding and Coordinating Multi-Subjects to Carry out Green Innovation Cooperation
L30Government intervention, if manufacturers and Internet enterprises choose alliance-style innovation cooperation model, the innovation given financial support
f25The Positive Effect of Government Obtaining Social Credibility, Government Reputation, and New Economic Development
G20Social Ecological Welfare Lost by Governments When Manufacturers and Internet enterprises Choose Distributed Innovation Cooperation
F30The Control Fees May Be Charged by the Government for Innovators Choosing Distributed Innovation Cooperation Mode under Strong Intervention
b0.7Government Approval Finds Probability of Free Riding in Distributed Innovation Collaboration
P2.3Trading price of carbon credits

References

  1. Liu, M.; Wen, J.; Meng, Y.; Yang, X.; Wang, J.; Wu, J.; Chen, H. Carbon emission structure decomposition analysis of manufacturing industry from the perspective of input-output subsystem: A case study of China. Environ. Sci. Pollut. Res. 2022, 30, 19012–19029. [Google Scholar] [CrossRef] [PubMed]
  2. Hickel, J.; Kallis, G. Is Green Growth Possible? New Polit. Econ. 2020, 25, 469–486. [Google Scholar] [CrossRef]
  3. Li, Y.; Shi, Y. Dynamic Game Analysis of Enterprise Green Technology Innovation Ecosystem under Double Environmental Regulation. Int. J. Environ. Res. Public Health 2022, 19, 11047. [Google Scholar] [CrossRef] [PubMed]
  4. Chen, Z.G.; Zhang, Y.Q.; Wang, H.S.; Ouyang, X.; Xie, Y.X. Can green credit policy promote low-carbon technology innovation? J. Clean. Prod. 2022, 359, 132061. [Google Scholar] [CrossRef]
  5. Xie, X.; Fang, L.; Zeng, S. Collaborative innovation network and knowledge transfer performance: A fsQCA approach. J. Bus. Res. 2016, 69, 5210–5215. [Google Scholar] [CrossRef]
  6. Xiong, X.; Ma, Q.; Yuan, Y.; Wu, Z.; Zhang, M. Current situation and key manufacturing considerations of green furniture in China: A review. J. Clean. Prod. 2020, 267, 121957. [Google Scholar] [CrossRef]
  7. Li, F.; Zhang, T.; Sha, Q.; Pei, X.; Song, Y.; Li, C. Green Reformation of Chinese Traditional Manufacturing Industry: Approach and Potential for Cooperation. In Proceedings of the 17th Global Conference on Sustainable Manufacturing (GCSM), Shanghai, China, 9–11 October 2020; pp. 285–292. [Google Scholar]
  8. Li, W.; Ouyang, X. Investigating the development efficiency of the green economy in China’s equipment manufacturing industry. Environ. Sci. Pollut. Res. 2020, 27, 24070–24080. [Google Scholar] [CrossRef]
  9. Liu, H.; Ling, D. Value chain reconstruction and sustainable development of green manufacturing industry. Sustain. Comput. Inform. Syst. 2020, 28, 100418. [Google Scholar] [CrossRef]
  10. Sun, Y.; Bi, K.; Yin, S. Measuring and Integrating Risk Management into Green Innovation Practices for Green Manufacturing under the Global Value Chain. Sustainability 2020, 12, 545. [Google Scholar] [CrossRef]
  11. Peng, B.; Zheng, C.; Wei, G.; Elahi, E. The cultivation mechanism of green technology innovation in manufacturing industry: From the perspective of ecological niche. J. Clean. Prod. 2020, 252, 119711. [Google Scholar] [CrossRef]
  12. Wu, G.; Xu, Q.; Niu, X.; Tao, L. How Does Government Policy Improve Green Technology Innovation: An Empirical Study in China. Front. Environ. Sci. 2022, 9, 723. [Google Scholar] [CrossRef]
  13. Li, Y.; Tong, Y.; Ye, F.; Song, J. The choice of the government green subsidy scheme: Innovation subsidy vs. product subsidy. Int. J. Prod. Res. 2020, 58, 4932–4946. [Google Scholar] [CrossRef]
  14. Ma, W.; Zhang, R.; Chai, S. What Drives Green Innovation? A Game Theoretic Analysis of Government Subsidy and Cooperation Contract. Sustainability 2019, 11, 5584. [Google Scholar] [CrossRef]
  15. Hu, D.; Qiu, L.; She, M.; Wang, Y. Sustaining the sustainable development: How do firms turn government green subsidies into financial performance through green innovation? Bus. Strategy Environ. 2021, 30, 2271–2292. [Google Scholar] [CrossRef]
  16. Sun, X.; Tang, J.; Li, S. Promote Green Innovation in Manufacturing Enterprises in the Aspect of Government Subsidies in China. Int. J. Environ. Res. Public Health 2022, 19, 7864. [Google Scholar] [CrossRef]
  17. Lewis, J.I.; Wiser, R.H. Fostering a renewable energy technology industry: An international comparison of wind industry policy support mechanisms. Energy Policy 2007, 35, 1844–1857. [Google Scholar] [CrossRef]
  18. Liu, C.; Huang, W.; Yang, C. The evolutionary dynamics of China’s electric vehicle industry—Taxes vs. subsidies. Comput. Ind. Eng. 2017, 113, 103–122. [Google Scholar] [CrossRef]
  19. Meng, Q.; Wang, Y.; Zhang, Z.; He, Y. Supply chain green innovation subsidy strategy considering consumer heterogeneity. J. Clean. Prod. 2021, 281, 125199. [Google Scholar] [CrossRef]
  20. Li, S.; Dong, C.; Yang, L.; Gao, X.; Wei, W.; Zhao, M.; Xia, W. Research on Evolutionary Game Strategy Selection and Simulation Research of Carbon Emission Reduction of Government and Enterprises under the “Dual Carbon” Goal. Sustainability 2022, 14, 12647. [Google Scholar] [CrossRef]
  21. Xu, Y.; Ma, X.; Zhou, G. Coordination of Automobile Supply Chain Considering Relative Endurance Level under the Dual-Credit Policy. Sustainability 2022, 14, 13704. [Google Scholar] [CrossRef]
  22. Sen, B.; Noori, M.; Tatari, O. Will Corporate Average Fuel Economy (CAFE) Standard help? Modeling CAFE’s impact on market share of electric vehicles. Energy Policy 2017, 109, 279–287. [Google Scholar] [CrossRef]
  23. Qu, X.; Sun, X. How to improve the function of government carbon tax in promoting enterprise carbon emission reduction: From the perspective of three-stage dynamic game. Environ. Sci. Pollut. Res. 2022, 29, 31348–31362. [Google Scholar] [CrossRef]
  24. Leten, B.; Vanhaverbeke, W.; Roijakkers, N.; Clerix, A.; Van Helleputte, J. IP Models to Orchestrate Innovation Ecosystems: IMEC, A public research institute in nano-electronics. Calif. Manag. Rev. 2013, 55, 51–64. [Google Scholar] [CrossRef]
  25. de Vasconcelos Gomes, L.A.; Figueiredo Facin, A.L.; Salerno, M.S.; Ikenami, R.K. Unpacking the innovation ecosystem construct: Evolution, gaps and trends. Technol. Forecast. Soc. Change 2018, 136, 30–48. [Google Scholar] [CrossRef]
  26. Meng, Q.; Hang, Y.; Chen, X.; Cao, Q. Value co-creation mechanisms of multi-agent participation in crowdsourcing innovation: A grounded theory study. J. Intell. Fuzzy Syst. 2021, 41, 4995–5006. [Google Scholar] [CrossRef]
  27. Xiang-long, L.; Qing-jin, W.; ShuaX, H. The Synergy Mechanism of the Technological lnnovation Ecosystem of Military-Civilian Integration Enterprises. Res. Financ. Econ. Issues 2021, 457, 133–143. [Google Scholar] [CrossRef]
  28. Han, X.; Han, Y.; Ke, R.; Zhao, J. Research on the Cooperation Model of New Energy Vehicle Supply Chain under the Background of Government Subsidies Declining. Sustainability 2022, 14, 12731. [Google Scholar] [CrossRef]
  29. Suh, Y.; Woo, C.; Koh, J.; Jeon, J. Analysing the satisfaction of university-industry cooperation efforts based on the Kano model: A Korean case. Technol. Forecast. Soc. Change 2019, 148, 119740. [Google Scholar] [CrossRef]
  30. Liu, S.; Zhang, X.; Chen, W.; Zhang, W. The Path of University Collaborative Innovation Mechanism Based on the Triple-Helix Model. In Proceedings of the 10th International Conference on Educational and Information Technology (ICEIT), Chengdu, China, 18–20 January 2021; pp. 185–189. [Google Scholar]
  31. Yang, Z.; Chen, H.; Du, L.; Lin, C.; Lu, W. How does alliance-based government-university-industry foster cleantech innovation in a green innovation ecosystem? J. Clean. Prod. 2021, 283, 124559. [Google Scholar] [CrossRef]
  32. Huang, X.X.; Guo, P.; Wang, X.N.; Wang, D. Analysis on the Cooperative Innovation Behavior and Stability of Inter-organizational R&D Project Based on Evolutionary Game. In Proceedings of the IEEE International Conference on Industrial Engineering and Engineering Management (IEEM), Singapore, 13–16 December 2021; pp. 942–946. [Google Scholar]
  33. Li, X.; Dai, J.; Zhu, X.; He, J.; Li, J.; Liu, X.; Huang, Y.; Shen, Q. What Is the Mechanism of Government Green Development Behavior Considering Multi-Agent Interaction? A Meta-Analysis. Int. J. Environ. Res. Public Health 2022, 19, 8263. [Google Scholar] [CrossRef]
  34. Qin, H.; Zou, H.; Ji, H.; Sun, J.; Cui, Z. Research on Cooperative Innovation Strategy of Multi-Agent Enterprises Considering Knowledge Innovation and Environmental Social Responsibility. IEEE Access 2022, 10, 40197–40213. [Google Scholar] [CrossRef]
  35. Wang, W.; Wang, Y.; Zhang, X.; Zhang, D. Effects of Government Subsidies on Production and Emissions Reduction Decisions under Carbon Tax Regulation and Consumer Low-Carbon Awareness. Int. J. Environ. Res. Public Health 2021, 18, 10959. [Google Scholar] [CrossRef] [PubMed]
  36. Gui, H.; Xue, J.; Li, Y.; Chen, L. Research on Carbon Emissions Reduction Strategy Considering Government Subsidy and Free Riding Behavior. Environ. Eng. Sci. 2022, 39, 329–341. [Google Scholar] [CrossRef] [PubMed]
Figure 1. Game strategies of government, manufacturers, and Internet enterprises.
Figure 1. Game strategies of government, manufacturers, and Internet enterprises.
Sustainability 15 04156 g001
Figure 2. Phase diagram of government strategy evolution.
Figure 2. Phase diagram of government strategy evolution.
Sustainability 15 04156 g002
Figure 3. Phase diagram of strategy evolution of manufacturers.
Figure 3. Phase diagram of strategy evolution of manufacturers.
Sustainability 15 04156 g003
Figure 4. Phase diagram of strategy evolution of Internet enterprises.
Figure 4. Phase diagram of strategy evolution of Internet enterprises.
Sustainability 15 04156 g004
Figure 5. Array Evolution 100 results.
Figure 5. Array Evolution 100 results.
Sustainability 15 04156 g005
Figure 6. The impact of changes in the manufacturer’s additional effort cost C2 on the green innovation collaboration model. (a) Tripartite evolution stereogram (b) Sensitivity comparison of manufacturers and Internet enterprises to C2 changes. (c) Manufacturers’ strategic choices. (d) Strategy Choice of Internet Enterprises.
Figure 6. The impact of changes in the manufacturer’s additional effort cost C2 on the green innovation collaboration model. (a) Tripartite evolution stereogram (b) Sensitivity comparison of manufacturers and Internet enterprises to C2 changes. (c) Manufacturers’ strategic choices. (d) Strategy Choice of Internet Enterprises.
Sustainability 15 04156 g006
Figure 7. The Influence of the Change in Additional Profit K of Internet Enterprises on Green Innovation Cooperation Mode. (a) Tripartite evolution stereogram (b) Comparison of Sensitivity to K Change between Manufacturers and Internet Enterprises. (c) Manufacturers’ strategic choices. (d) Strategy Choice of Internet Enterprises.
Figure 7. The Influence of the Change in Additional Profit K of Internet Enterprises on Green Innovation Cooperation Mode. (a) Tripartite evolution stereogram (b) Comparison of Sensitivity to K Change between Manufacturers and Internet Enterprises. (c) Manufacturers’ strategic choices. (d) Strategy Choice of Internet Enterprises.
Sustainability 15 04156 g007
Figure 8. The influence of the change in income distribution coefficient m on the green innovation cooperation mechanism of enterprises. (a) Tripartite evolution stereogram (b) Comparison of Sensitivity to m Change between Manufacturers and Internet Enterprises. (c) Manufacturers’ strategic choices. (d) Strategy Choice of Internet Enterprises.
Figure 8. The influence of the change in income distribution coefficient m on the green innovation cooperation mechanism of enterprises. (a) Tripartite evolution stereogram (b) Comparison of Sensitivity to m Change between Manufacturers and Internet Enterprises. (c) Manufacturers’ strategic choices. (d) Strategy Choice of Internet Enterprises.
Sustainability 15 04156 g008
Figure 9. Impact of Carbon Trading Price P on Green Innovation Management Mechanism. (a) Tripartite evolution stereogram (b) Comparison of Sensitivity to P Change between Manufacturers and Internet Enterprises. (c) Manufacturers’ strategic choices. (d) Strategy Choice of Internet Enterprises.
Figure 9. Impact of Carbon Trading Price P on Green Innovation Management Mechanism. (a) Tripartite evolution stereogram (b) Comparison of Sensitivity to P Change between Manufacturers and Internet Enterprises. (c) Manufacturers’ strategic choices. (d) Strategy Choice of Internet Enterprises.
Sustainability 15 04156 g009
Figure 10. The Impact of Government Subsidy Incentive L on Green Innovation Management Mechanism. (a) Tripartite evolution stereogram (b) Comparison of sensitivity of manufacturers and Internet enterprises to L changes. (c) Government strategic choices from the perspective of manufacturers. (d) Government strategic choices from the perspective of Internet enterprises.
Figure 10. The Impact of Government Subsidy Incentive L on Green Innovation Management Mechanism. (a) Tripartite evolution stereogram (b) Comparison of sensitivity of manufacturers and Internet enterprises to L changes. (c) Government strategic choices from the perspective of manufacturers. (d) Government strategic choices from the perspective of Internet enterprises.
Sustainability 15 04156 g010aSustainability 15 04156 g010b
Table 1. Parameter symbols and meanings.
Table 1. Parameter symbols and meanings.
Problem ElementsParametersMeaning
strategy selection probabilityxThe probability of government choosing strong intervention
yThe probability of manufacturers choosing alliance innovation cooperation mode
zThe probability of Internet enterprises choosing alliance innovation cooperation mode
AC cooperation modeR1Manufacturers and Internet enterprises Co-create When Choosing Alliance Innovation Cooperation Mode
C1Running-in Costs in Cooperation between Manufacturers and Internet enterprises
Q1Product Sales When Manufacturers Choose Alliance Innovation Cooperation Mode
DC cooperation modeR2Internet enterprises choose distributed innovation cooperation model, regardless of the manufacturer’s strategy to choose its potential benefits
C2Additional effort costs for manufacturers when Internet enterprises choose distributed innovation collaboration
KAdditional excess revenue from actual control when Internet enterprises choose to hitchhike, where k > 0
Q2Product Sales When Manufacturers Choose Distributed Innovation Collaboration
cooperation mechanismmProfit distribution factor for manufacturers, 1 − m for internet enterprises
administrative mechanismSThe basic benefits obtained by the government through steady economic growth and easing environmental pollution pressure
aGovernment Reduces Social Positive Externalities by Guiding and Coordinating Multi-Subjects to Carry out Green Innovation Cooperation
LGovernment intervention, if manufacturers and Internet enterprises choose alliance-style innovation cooperation model, the innovation given financial support
fThe Positive Effect of Government Obtaining Social Credibility, Government Reputation, and New Economic Development
GSocial–Ecological Welfare Lost by Governments When Manufacturers and Internet enterprises Choose Distributed Innovation Cooperation
FThe Control Fees May Be Charged by the Government for Innovators Choosing Distributed Innovation Cooperation Mode under Strong Intervention
bGovernment Approval Finds Probability of Free Riding in Distributed Innovation Collaboration
PTrading price of carbon credits
Table 2. Income Matrix of Government, New Energy Vehicle Manufacturers, and Internet Enterprises.
Table 2. Income Matrix of Government, New Energy Vehicle Manufacturers, and Internet Enterprises.
Manufacturer
AC ModeDC Mode
Government’s strong interferenceInternet enterpriseAC Modea·S − L + f
m(R1 − C1 + L + PQ1)
(1 − m) (R1 − C1 + L + PQ1)
a·S
m(R1 − C1 + PQ2 − b·F)
(1 − m)(R1 − C1 + PQ2 − b·F)
DC Modea·S
m(R1 − C1 + PQ1 − bF) − C2 + R2
(1 − m)(R1 − C1 + PQ1 − b·F)
a·S − G + b·F
m(R1 − C1 + PQ2 − b·F) + R2
(1 − m)(R1 − C1 + PQ2 − b·F) + K
Government’s weak interference Internet enterpriseAC ModeS + f
m(R1 − C1 + PQ1)
(1 − m)(R1 − C1 + PQ1)
S
m(R1 − C1 + PQ2)
(1 − m)(R1 − C1 + PQ2)
DC ModeS
m(R1 − C1 + PQ1) − C2 + R2
(1 − m) (R1 − C1 + PQ1)
S − G
m(R1 − C1 + PQ2) + R2
(1 − m)(R1 − C1 + PQ2) + K
Table 3. Stability Analysis of Special Equilibrium Point of Tripartite Evolutionary Game in Innovation Cooperation Ecosystem.
Table 3. Stability Analysis of Special Equilibrium Point of Tripartite Evolutionary Game in Innovation Cooperation Ecosystem.
Serial NumberPoint of EquilibriumEigenvalue SymbolStability
E1(0,0,0)+unstable point
E2(0,0,1)+unstable point
E3(0,1,0)+unstable point
E4(1,0,0)When P·m(Q1 − Q2) < C2, both are negative ESS
E5(1,1,0)+unstable point
E6(1,0,1)+unstable point
E7(0,1,1)+unstable point
E8(1,1,1)When S·(a − 1) > L, both are negative ESS
Table 4. Hypothesis results.
Table 4. Hypothesis results.
HypothesisContentResult
Hypothesis 1The probability of the government choosing a strong intervention strategy is positively correlated with the basic benefits and potential control benefits, but negatively correlated with the loss of social–ecological benefits, as well as positive externalities for society.Supported
Hypothesis 2The manufacturer’s choice of AC Mode is positively correlated with the income distribution coefficient and sales volume of the product under this mode, while it is negatively correlated with the transaction price and additional effort costs.Supported
Hypothesis 3The choice of AC Mode by Internet enterprises is inversely proportional to their excess returns.Supported
Hypothesis 4The government’s incentive for alliance innovation cooperation between manufacturers and Internet enterprises can reduce social externalities. When it exceeds the government’s subsidy incentives for innovators, the equilibrium solution of the strategy portfolio will evolve and stabilize at (strong intervention, AC Mode, and AC Mode).Supported
Hypothesis 5The difference between the carbon integral benefits of the manufacturer’s choice of AC Mode and DC Mode should exceed its additional effort cost.Supported
Disclaimer/Publisher’s Note: The statements, opinions and data contained in all publications are solely those of the individual author(s) and contributor(s) and not of MDPI and/or the editor(s). MDPI and/or the editor(s) disclaim responsibility for any injury to people or property resulting from any ideas, methods, instructions or products referred to in the content.

Share and Cite

MDPI and ACS Style

He, Z.; Liu, Q. The Crossover Cooperation Mode and Mechanism of Green Innovation between Manufacturing and Internet Enterprises in Digital Economy. Sustainability 2023, 15, 4156. https://doi.org/10.3390/su15054156

AMA Style

He Z, Liu Q. The Crossover Cooperation Mode and Mechanism of Green Innovation between Manufacturing and Internet Enterprises in Digital Economy. Sustainability. 2023; 15(5):4156. https://doi.org/10.3390/su15054156

Chicago/Turabian Style

He, Ziqing, and Qin Liu. 2023. "The Crossover Cooperation Mode and Mechanism of Green Innovation between Manufacturing and Internet Enterprises in Digital Economy" Sustainability 15, no. 5: 4156. https://doi.org/10.3390/su15054156

APA Style

He, Z., & Liu, Q. (2023). The Crossover Cooperation Mode and Mechanism of Green Innovation between Manufacturing and Internet Enterprises in Digital Economy. Sustainability, 15(5), 4156. https://doi.org/10.3390/su15054156

Note that from the first issue of 2016, this journal uses article numbers instead of page numbers. See further details here.

Article Metrics

Back to TopTop