High-Efficiency Microplastic Sampling Device Improved Using CFD Analysis
Abstract
1. Introduction
2. Materials and Methods
2.1. Reagents
2.2. Analytical Devices
2.3. Sampling and Pretreatment Device Development
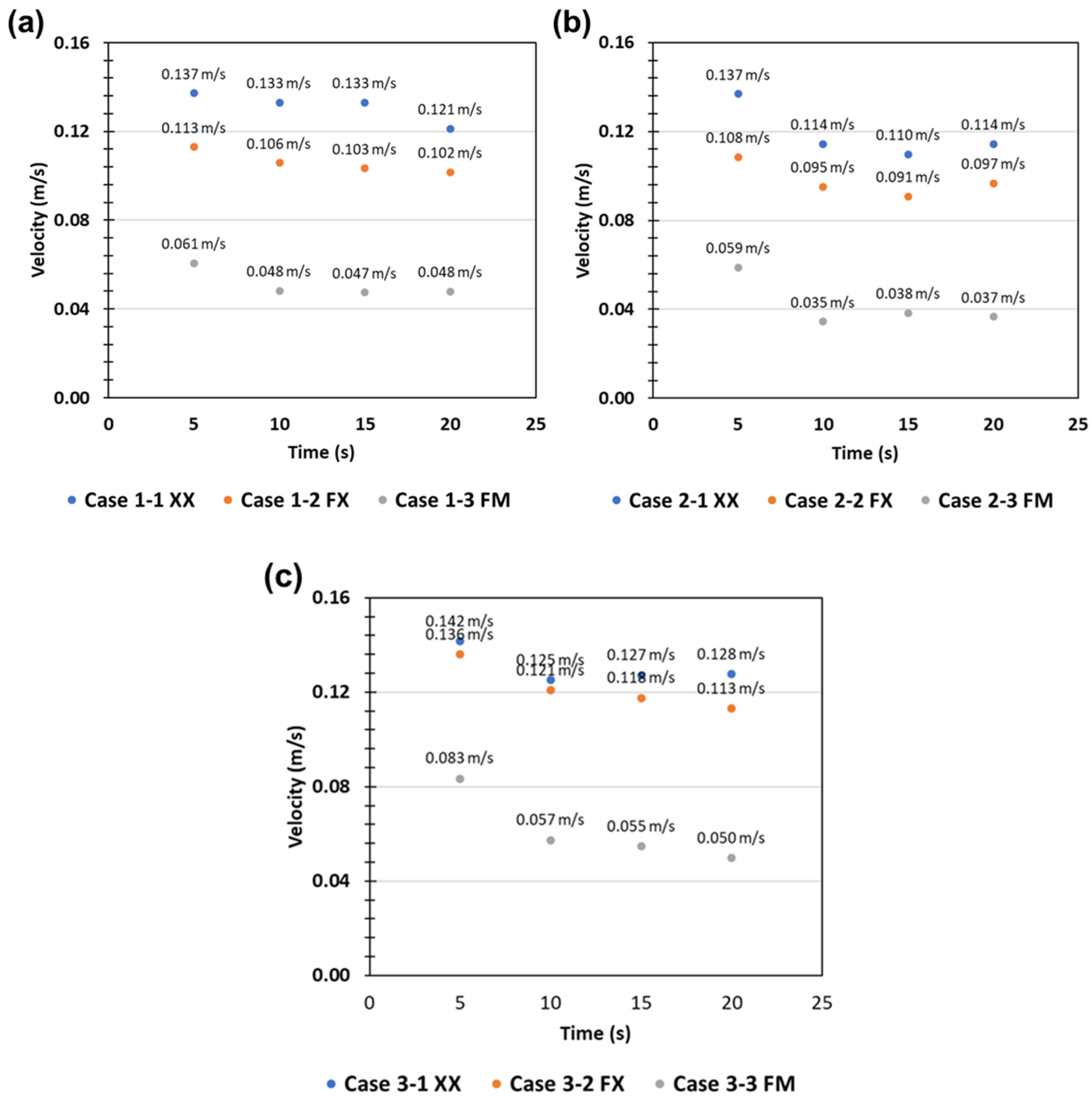
2.4. Computational Fluid Dynamics (CFD) Analysis
- Case 1 (XX): Filtration without filters and microplastics.
- Case 2 (FX): Filtration with an STS filter inside the device without microplastics.
- Case 3 (FM): Filtration with an STS filter inside the device and 30 mg of microplastic solution dispersed in 30 mL of ethanol.
2.5. Reference Material Recovery of the Sampling Device
3. Result and Discussion
3.1. Sampling Device Modifications
3.2. Changes in Flow Velocity and Turbulence in the Device
3.3. Size Distribution of Filtered Reference Microplastics with Device
3.4. Microplastic Recovery Results of the Sampling Device
4. Conclusions
Supplementary Materials
Author Contributions
Funding
Institutional Review Board Statement
Informed Consent Statement
Data Availability Statement
Acknowledgments
Conflicts of Interest
References
- Ma, Y.; Huang, A.; Cao, S.; Sun, F.; Wang, L.; Guo, H.; Ji, R. Effects of nanoplastics and microplastics on toxicity, bioaccumulation, and environmental fate of phenanthrene in fresh water. Environ. Pollut. 2016, 219, 166–173. [Google Scholar] [CrossRef] [PubMed]
- Ziccardi, L.M.; Edgington, A.; Hentz, K.; Kulacki, K.J.; Kane Driscoll, S. Microplastics as vectors for bioaccumulation of hydrophobic organic chemicals in the marine environment: A state-of-the-science review. Environ. Toxicol. Chem. 2016, 35, 1667–1676. [Google Scholar] [CrossRef] [PubMed]
- Dawson, A.; Huston, W.; Kawaguchi, S.; King, C.; Cropp, R.; Wild, S.; Eisenmann, P.; Townsend, K.; Bengtson Nash, S. Uptake and Depuration Kinetics Influence Microplastic Bioaccumulation and Toxicity in Antarctic Krill ( Euphausia superba). Environ. Sci. Technol. 2018, 52, 3195–3201. [Google Scholar] [CrossRef] [PubMed]
- Miller, M.E.; Hamann, M.; Kroon, F.J. Bioaccumulation and biomagnification of microplastics in marine organisms: A review and meta-analysis of current data. PLoS ONE 2020, 15, e0240792. [Google Scholar] [CrossRef]
- Lohmann, R. Microplastics are not important for the cycling and bioaccumulation of organic pollutants in the oceans-but should microplastics be considered POPs themselves? Integr. Environ. Assess Manag. 2017, 13, 460–465. [Google Scholar] [CrossRef]
- Zhang, Q.; Xu, E.G.; Li, J.; Chen, Q.; Ma, L.; Zeng, E.Y.; Shi, H. A Review of Microplastics in Table Salt, Drinking Water, and Air: Direct Human Exposure. Environ. Sci. Technol. 2020, 54, 3740–3751. [Google Scholar] [CrossRef] [PubMed]
- Gasperi, J.; Wright, S.L.; Dris, R.; Collard, F.; Mandin, C.; Guerrouache, M.; Langlois, V.; Kelly, F.J.; Tassin, B. Microplastics in air: Are we breathing it in? Curr. Opin. Environ. Sci. Health 2018, 1, 1–5. [Google Scholar] [CrossRef]
- Castañeda, R.A.; Avlijas, S.; Simard, M.A.; Ricciardi, A.; Smith, R. Microplastic pollution in St. Lawrence River sediments. Can. J. Fish. Aquat. Sci. 2014, 71, 1767–1771. [Google Scholar] [CrossRef]
- Guo, J.J.; Huang, X.P.; Xiang, L.; Wang, Y.Z.; Li, Y.W.; Li, H.; Cai, Q.Y.; Mo, C.H.; Wong, M.H. Source, migration and toxicology of microplastics in soil. Environ. Int. 2020, 137, 105263. [Google Scholar] [CrossRef]
- McCormick, A.; Hoellein, T.J.; Mason, S.A.; Schluep, J.; Kelly, J.J. Microplastic is an abundant and distinct microbial habitat in an urban river. Environ. Sci. Technol. 2014, 48, 11863–11871. [Google Scholar] [CrossRef]
- Baldwin, A.K.; Spanjer, A.R.; Rosen, M.R.; Thom, T. Microplastics in Lake Mead National Recreation Area, USA: Occurrence and biological uptake. PLoS ONE 2020, 15, e0228896. [Google Scholar] [CrossRef] [PubMed]
- Weinstein, J.E.; Crocker, B.K.; Gray, A.D. From macroplastic to microplastic: Degradation of high-density polyethylene, polypropylene, and polystyrene in a salt marsh habitat. Environ. Toxicol. Chem. 2016, 35, 1632–1640. [Google Scholar] [CrossRef] [PubMed]
- El Hadri, H.; Gigault, J.; Maxit, B.; Grassl, B.; Reynaud, S. Nanoplastic from mechanically degraded primary and secondary microplastics for environmental assessments. NanoImpact 2020, 17, 100206. [Google Scholar] [CrossRef]
- Wang, C.; Xian, Z.; Jin, X.; Liang, S.; Chen, Z.; Pan, B.; Wu, B.; Ok, Y.S.; Gu, C. Photo-aging of polyvinyl chloride microplastic in the presence of natural organic acids. Water Res. 2020, 183, 116082. [Google Scholar] [CrossRef] [PubMed]
- Yang, H.; Xiong, H.; Mi, K.; Xue, W.; Wei, W.; Zhang, Y. Toxicity comparison of nano-sized and micron-sized microplastics to Goldfish Carassius auratus Larvae. J. Hazard Mater. 2020, 388, 122058. [Google Scholar] [CrossRef] [PubMed]
- Filella, M. Questions of size and numbers in environmental research on microplastics: Methodological and conceptual aspects. Environ. Chem. 2015, 12, 5. [Google Scholar] [CrossRef]
- Prata, J.C.; da Costa, J.P.; Duarte, A.C.; Rocha-Santos, T. Methods for sampling and detection of microplastics in water and sediment: A critical review. TrAC Trends Anal. Chem. 2019, 110, 150–159. [Google Scholar] [CrossRef]
- Lenz, R.; Labrenz, M. Small Microplastic Sampling in Water: Development of an Encapsulated Filtration Device. Water 2018, 10, 1055. [Google Scholar] [CrossRef]
- Wang, W.; Wang, J. Investigation of microplastics in aquatic environments: An overview of the methods used, from field sampling to laboratory analysis. TrAC Trends Anal. Chem. 2018, 108, 195–202. [Google Scholar] [CrossRef]
- Tamminga, M.; Stoewer, S.C.; Fischer, E.K. On the representativeness of pump water samples versus manta sampling in microplastic analysis. Environ. Pollut. 2019, 254 Pt A, 112970. [Google Scholar] [CrossRef]
- Mu, J.; Zhang, S.; Qu, L.; Jin, F.; Fang, C.; Ma, X.; Zhang, W.; Wang, J. Microplastics abundance and characteristics in surface waters from the Northwest Pacific, the Bering Sea, and the Chukchi Sea. Mar. Pollut. Bull. 2019, 143, 58–65. [Google Scholar] [CrossRef] [PubMed]
- Liu, K.; Zhao, Y.; Jia, L.; Hao, R.; Fu, D. A novel CFD-based method for predicting pressure drop and dust cake distribution of ceramic filter during filtration process at macro-scale. Powder Technol. 2019, 353, 27–40. [Google Scholar] [CrossRef]
- Wang, Q.; Liu, Y.; Huang, A.; Yan, W.; Gu, H.; Li, G. CFD investigation on influence of orifice geometry on micro-scale inclusion movement. Powder Technol. 2020, 367, 358–375. [Google Scholar] [CrossRef]
- Gwinnett, C.; Miller, R.Z. Are we contaminating our samples? A preliminary study to investigate procedural contamination during field sampling and processing for microplastic and anthropogenic microparticles. Mar. Pollut. Bull. 2021, 173 Pt B, 113095. [Google Scholar] [CrossRef]
- Woodall, L.C.; Gwinnett, C.; Packer, M.; Thompson, R.C.; Robinson, L.F.; Paterson, G.L. Using a forensic science approach to minimize environmental contamination and to identify microfibres in marine sediments. Mar. Pollut. Bull. 2015, 95, 40–46. [Google Scholar] [CrossRef]
- Prata, J.C.; Reis, V.; da Costa, J.P.; Mouneyrac, C.; Duarte, A.C.; Rocha-Santos, T. Contamination issues as a challenge in quality control and quality assurance in microplastics analytics. J. Hazard Mater. 2021, 403, 123660. [Google Scholar] [CrossRef]
- De Frond, H.; Thornton Hampton, L.; Kotar, S.; Gesulga, K.; Matuch, C.; Lao, W.; Weisberg, S.B.; Wong, C.S.; Rochman, C.M. Monitoring microplastics in drinking water: An interlaboratory study to inform effective methods for quantifying and characterizing microplastics. Chemosphere 2022, 298, 134282. [Google Scholar] [CrossRef] [PubMed]
- Hermsen, E.; Mintenig, S.M.; Besseling, E.; Koelmans, A.A. Quality Criteria for the Analysis of Microplastic in Biota Samples: A Critical Review. Environ. Sci. Technol. 2018, 52, 10230–10240. [Google Scholar] [CrossRef]
- Koelmans, A.A.; Mohamed Nor, N.H.; Hermsen, E.; Kooi, M.; Mintenig, S.M.; De France, J. Microplastics in freshwaters and drinking water: Critical review and assessment of data quality. Water Res. 2019, 155, 410–422. [Google Scholar] [CrossRef]
- Coppock, R.L.; Cole, M.; Lindeque, P.K.; Queiros, A.M.; Galloway, T.S. A small-scale, portable method for extracting microplastics from marine sediments. Environ. Pollut. 2017, 230, 829–837. [Google Scholar] [CrossRef]
- Zhu, J.; Wang, C. Recent advances in the analysis methodologies for microplastics in aquatic organisms: Current knowledge and research challenges. Anal. Methods 2020, 12, 2944–2957. [Google Scholar] [CrossRef] [PubMed]
- Plee, T.A.; Pomory, C.M. Microplastics in sandy environments in the Florida Keys and the panhandle of Florida, and the ingestion by sea cucumbers (Echinodermata: Holothuroidea) and sand dollars (Echinodermata: Echinoidea). Mar. Pollut. Bull. 2020, 158, 111437. [Google Scholar] [CrossRef] [PubMed]
- Akanyange, S.N.; Lyu, X.; Zhao, X.; Li, X.; Zhang, Y.; Crittenden, J.C.; Anning, C.; Chen, T.; Jiang, T.; Zhao, H. Does microplastic really represent a threat? A review of the atmospheric contamination sources and potential impacts. Sci. Total Environ. 2021, 777, 146020. [Google Scholar] [CrossRef] [PubMed]
- Li, J.; Liu, H.; Paul Chen, J. Microplastics in freshwater systems: A review on occurrence, environmental effects, and methods for microplastics detection. Water Res. 2018, 137, 362–374. [Google Scholar] [CrossRef] [PubMed]
- Hale, R.C.; Seeley, M.E.; La Guardia, M.J.; Mai, L.; Zeng, E.Y. A Global Perspective on Microplastics. J. Geophys. Res. Ocean. 2020, 125, e2018JC014719. [Google Scholar] [CrossRef]
- Yuan, C.; Almuhtaram, H.; McKie, M.J.; Andrews, R.C. Assessment of microplastic sampling and extraction methods for drinking waters. Chemosphere 2022, 286 Pt 3, 131881. [Google Scholar] [CrossRef]
- Harrold, Z.; Arienzo, M.M.; Collins, M.; Davidson, J.M.; Bai, X.; Sukumaran, S.; Umek, J. A Peristaltic Pump and Filter-Based Method for Aqueous Microplastic Sampling and Analysis. ACS EST Water 2022, 2, 268–277. [Google Scholar] [CrossRef]
- Wright, S.L.; Kelly, F.J. Plastic and Human Health: A Micro Issue? Environ. Sci. Technol. 2017, 51, 6634–6647. [Google Scholar] [CrossRef]
- Tirkey, A.; Upadhyay, L.S.B. Microplastics: An overview on separation, identification and characterization of microplastics. Mar. Pollut. Bull. 2021, 170, 112604. [Google Scholar] [CrossRef]










| Cassette Material | Sample | PET | PS | PVC | PE | PP | POM |
|---|---|---|---|---|---|---|---|
| (#/m3) | |||||||
| POM | Passive sample | 0 | 0.209 | 0 | 1.044 | 0.209 | 0.209 |
| Active sample | 0.417 | 0.417 | 0 | 4.174 | 2.087 | 0.209 | |
| STS | Active sample | 2.805 | 0.301 | 0 | 41.675 | 0 | 0 |
| Cumulative Diameter | d (10%) | d (50%) | d (90%) | |
|---|---|---|---|---|
| Cumulative diameter (µm) | PE | 11.0 | 18.0 | 29.7 |
| PET | 9.8 | 15.8 | 25.0 | |
| PS | 9.0 | 14.1 | 21.5 | |
| PP | 10.0 | 16.4 | 29.3 | |
| PVC | 10.6 | 16.7 | 25.2 | |
| Cumulative Diameter | d (10%) | d (50%) | d (90%) | |
|---|---|---|---|---|
| Cumulative diameter (µm) | PE | 102.1 | 203.3 | 331.1 |
| PET | 108.4 | 165.4 | 235.5 | |
| PS | 70.4 | 140.1 | 218.0 | |
| PP | 120.1 | 170.0 | 253.7 | |
| PVC | 109.8 | 160.3 | 233.3 | |
| Device 1 | Device 2 | Device 3 | |
|---|---|---|---|
| Filter height (mm) | 0.30 ± 0.14 | 0.13 ± 0.05 | 0.00 ± 0.00 |
| 3rd Stage | 2nd Stage | 1st Stage | |
|---|---|---|---|
| STS filter pore size | 5 µm | 20 µm | 45 µm |
| PE | 19.2 | 28.3 | 61.0 |
| PET | 12.0 | 14.8 | 77.8 |
| PS | 14.9 | 23.9 | 105.9 |
| PP | 13.8 | 16.1 | 24.1 |
| PVC | 14.8 | 17.6 | 60.0 |
| Yuan et al. [35] | Harrold et al. [36] | This Study | |
|---|---|---|---|
| Recovery rate (%) | 80.2 | 88 | 94.2 |
| Size range of references materials (µm) | 125–150 | 5–296 | 5–30 |
| No. | Species | Recovery Rate of WPO (%) | Recovery Rate of Density Separation (%) |
|---|---|---|---|
| 1 | PP | 91.4 | 98.8 |
| 2 | PS | 94.3 | 98.0 |
| 3 | PET | 99.5 | 89.5 |
| 4 | PVC | 97.0 | 99.7 |
| 5 | PE | 92.9 | 98.1 |
| No. | Concentration of MPs | Phase | Control | Method | Ref. |
|---|---|---|---|---|---|
| 1 | 0.172 particles/L | Water | X | Encapsuled | [37] |
| 2 | 91–141 particles | Procedure blank | X | [26] | |
| 3 | * 5–9 particles | Air | O | Passive air | [38] |
| 4 | 31 particles | Water | O | Manta net | [20] |
| 5 | ** 4–7 particles | Air and water | O | Encapsuled | The current study |
| 6 | ** 0–6 particles | Pretreatment | O | Encapsuled |
Disclaimer/Publisher’s Note: The statements, opinions and data contained in all publications are solely those of the individual author(s) and contributor(s) and not of MDPI and/or the editor(s). MDPI and/or the editor(s) disclaim responsibility for any injury to people or property resulting from any ideas, methods, instructions or products referred to in the content. |
© 2023 by the authors. Licensee MDPI, Basel, Switzerland. This article is an open access article distributed under the terms and conditions of the Creative Commons Attribution (CC BY) license (https://creativecommons.org/licenses/by/4.0/).
Share and Cite
Ju, S.; Yi, J.; Lee, J.; Kim, J.; Lim, C.; Lee, J.; Kim, K.; Yoon, Y. High-Efficiency Microplastic Sampling Device Improved Using CFD Analysis. Sustainability 2023, 15, 3907. https://doi.org/10.3390/su15053907
Ju S, Yi J, Lee J, Kim J, Lim C, Lee J, Kim K, Yoon Y. High-Efficiency Microplastic Sampling Device Improved Using CFD Analysis. Sustainability. 2023; 15(5):3907. https://doi.org/10.3390/su15053907
Chicago/Turabian StyleJu, Seonghyeon, Jongchan Yi, Junho Lee, Jiyoon Kim, Chaehwi Lim, Jihoon Lee, Kyungtae Kim, and Yeojoon Yoon. 2023. "High-Efficiency Microplastic Sampling Device Improved Using CFD Analysis" Sustainability 15, no. 5: 3907. https://doi.org/10.3390/su15053907
APA StyleJu, S., Yi, J., Lee, J., Kim, J., Lim, C., Lee, J., Kim, K., & Yoon, Y. (2023). High-Efficiency Microplastic Sampling Device Improved Using CFD Analysis. Sustainability, 15(5), 3907. https://doi.org/10.3390/su15053907

