Quadripartite Evolutionary Game of Sustainable Development of Supply Chain Finance with Government Participation
Abstract
1. Introduction
2. Literature Review
2.1. EG
2.2. SCF
2.3. GSCF
3. EG Method and Model Construction
3.1. EG Theory
3.2. Game Players and Their Strategy Choices
3.2.1. Government
3.2.2. FIs
3.2.3. CEs
3.2.4. SMEs
3.3. Model Hypothesis and Parameter Description
4. Replicator Dynamic Equation and Evolutionary Stable Strategy
4.1. Stable Strategy Analysis of Government
4.2. Stable Strategy Analysis of FIs
4.3. Stable Strategy Analysis of CEs
4.4. Stable Strategy Analysis of SMEs
5. Stability Analysis of Strategy Combination
6. Numerical Simulations
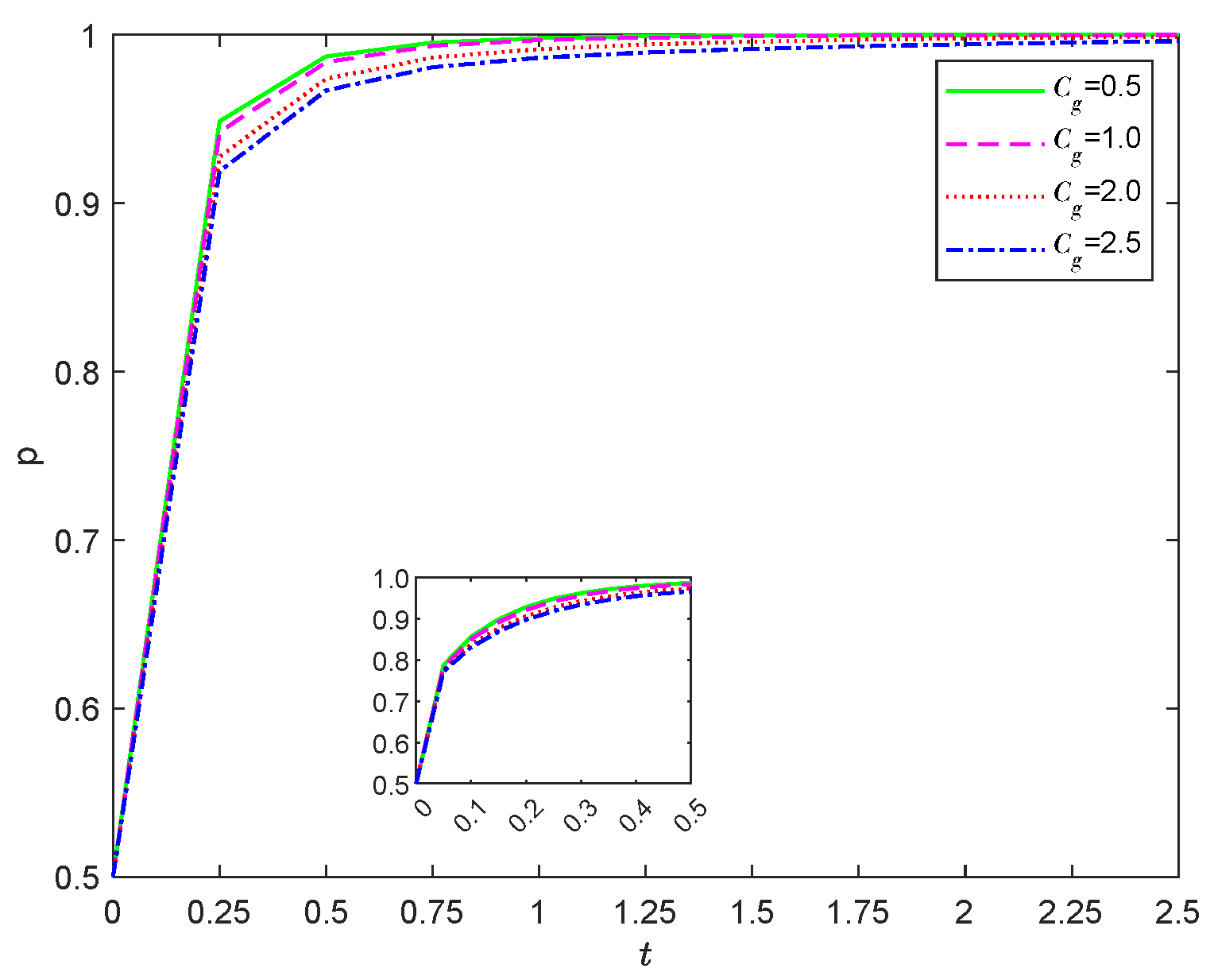
6.1. Impact of Strict Supervision Costs on Government
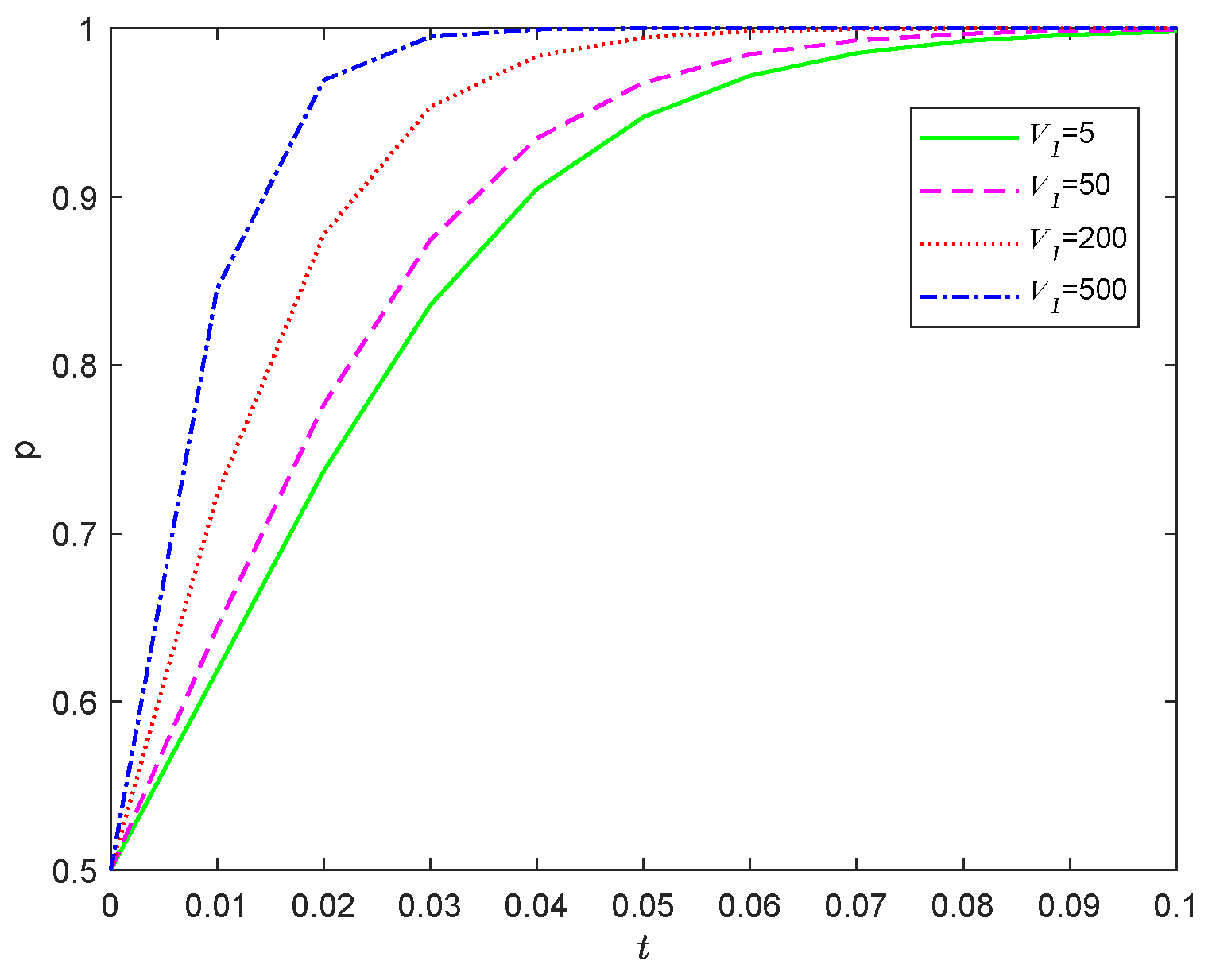
6.2. Impact of Future Expected Benefits on CEs and SMEs
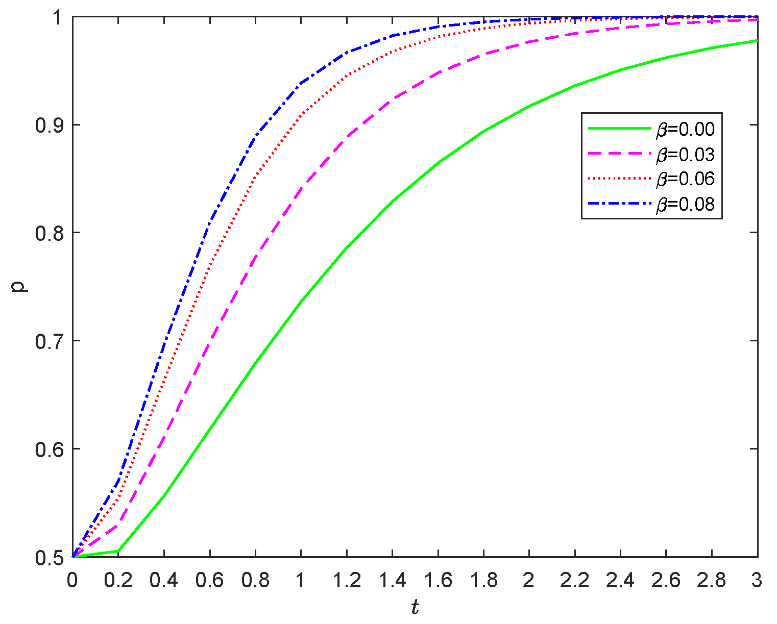
6.3. Impact of Loan Compensation and No Loan Penalty on FIs
6.4. Impact of Positive Industry Benefits on SMEs
7. Conclusions
7.1. Results
7.2. Suggestions
7.3. Limitation of Research
Author Contributions
Funding
Institutional Review Board Statement
Informed Consent Statement
Data Availability Statement
Conflicts of Interest
Appendix A
References
- Zhang, W.; Liu, K. Does the Development of Supply Chain Finance Can Alleviate the Financing Constraints of SMEs —Based on the Empirical Analysis of Listed SMEs. Econ. Sci. 2012, 108–118. [Google Scholar]
- Piao, G.; Xiao, B. Analyzing the Effectiveness of Finance in Supply Chain in Solving the Financing Difficulties of SMEs Based on Grey Theory Model. Comput. Intell. Neurosci. 2022, 2022, 7608937. [Google Scholar] [CrossRef]
- Wang, T.; Han, L.; Liu, J. Suggestions on Perfecting the System of Environmental Pollution Damages. China Popul. Resour. Environ. 2010, 20, 455–458. [Google Scholar]
- Gao, W. Analysis on Small and Medium-sized Enterprises Pollution Control and Investment and Financing. Environ. Sci. Manag. 2015, 40, 27–29. [Google Scholar]
- Gu, J. Game Model Study of Green Supply Chain Finance. Master’s Thesis, Dalian University of Technology, Dalian, China, 2017. [Google Scholar]
- Wang, X. Research on Supply Chain Financing Strategy Considering Consumers’ Low Carbon Preference. Master’s Thesis, University of Electronic Science and Technology of China, Chengdu, China, 2022. [Google Scholar]
- Fazel Zarandi, M.H.; Soltanzadeh, S.; Mohammadi, A.; Castillo, O. Designing a general type-2 fuzzy expert system for diagnosis of depression. Appl. Soft Comput. 2019, 80, 329–341. [Google Scholar] [CrossRef]
- Kalinowski, W.C.; Simon, H.A. Models of Man: Social and Rational. Am. Cathol. Sociol. Rev. 1957, 18, 236. [Google Scholar] [CrossRef]
- Hofbauer, J.; Sigmund, K. Evolutionary game dynamics. Bull. Am. Math. Soc. 2003, 40, 479–519. [Google Scholar] [CrossRef]
- Neumann, J.V.; Morgenstern, O. The Theory of Games and Economic Behaviour; Princeton University Press: Princeton, NJ, USA, 1944. [Google Scholar]
- Nash, J.F. The Bargaining Problem. Econometrica 1950, 18, 155–162. [Google Scholar] [CrossRef]
- Lewontin, R.C. Evolution and the theory of games. J. Theor. Biol. 1961, 1, 382–403. [Google Scholar] [CrossRef]
- Smith, J.M.; Price, G.R. The Logic of Animal Conflict. Nature 1973, 246, 15–18. [Google Scholar] [CrossRef]
- Foster, D.; Young, P. Stochastic evolutionary game dynamics. Theor. Popul. Biol. 1990, 38, 219–232. [Google Scholar] [CrossRef]
- Schmidt, C. Are evolutionary games another way of thinking about game theory?: Some historical considerations. J. Evol. Econ. 2004, 14, 249–262. [Google Scholar] [CrossRef]
- Delaram, J.; Houshamand, M.; Ashtiani, F.; Fatahi Valilai, O. A utility-based matching mechanism for stable and optimal resource allocation in cloud manufacturing platforms using deferred acceptance algorithm. J. Manuf. Syst. 2021, 60, 569–584. [Google Scholar] [CrossRef]
- Delaram, J.; Houshamand, M.; Ashtiani, F.; Valilai, O.F. Development of public cloud manufacturing markets: A mechanism design approach. Int. J. Syst. Sci. -Oper. Logist. 2022, 1–27. [Google Scholar] [CrossRef]
- Zohreh, L.; Alireza, B.; Madjid, E.G. A New Credit and Loan Lending Strategy and Credit in Banking Systems: An Evolutionary Game Theory Approach. J. Appl. Math. 2022, 2022, 3400319. [Google Scholar]
- Kim, H.; Choi, H.; Hong, T.; Ji, C.; Lee, J. Evolutionary Game Analysis of Green Loans Program to Achieve the National Carbon Emissions Reduction Target in South Korea. J. Manag. Eng. 2022, 38, 04022018. [Google Scholar] [CrossRef]
- Hu, Y. Supply Chain Finance—A New Field with Great Potential. China Financ. 2007, 25, 38–39. [Google Scholar]
- Yan, J.; Xu, X. Analysis of SMEs Financing Mode Based on Supply Chain Finance. Shanghai Financ. 2007, 2, 14–16. [Google Scholar]
- Huang, M.; Chu, X. Study on Operational Mode of Chinese Supply Chain Finance and Development Suggestions. Financ. Theory Pract. 2019, 25–34. [Google Scholar]
- Lin, J.; Yueliang, S. Research on the Evaluation of Supply Chain Finance Credit Risk of Small and Medium-Sized Enterprise Based on System Dynamics. In Proceedings of the First International Conference Economic and Business Management 2016, Qingdao, China, 15–17 October 2016. [Google Scholar]
- Zhang, C. A Study of Supply Chain Finance Risks of Small and Medium Enterprises—Based on Dynamic Simulation of System. J. Syst. Sci. 2018, 26, 76–80. [Google Scholar]
- Liang, X.; Zhao, X.; Wang, M.; Li, Z. Small and Medium-Sized Enterprises Sustainable Supply Chain Financing Decision Based on Triple Bottom Line Theory. Sustainability 2018, 10, 4242. [Google Scholar] [CrossRef]
- Guangrong, L.; Jinxiu, Y.; Ying, H. Supply chain finance credit risk evolving intelligent analysis system based on system dynamic model. J. Intell. Fuzzy Syst. 2020, 38, 7837–7847. [Google Scholar]
- Yi-ning, S. The Impact of Supply Chain Finance on SME Financing. DEStech Trans. Soc. Sci. Educ. Hum. Sci. 2018. [Google Scholar] [CrossRef]
- Liu, J.; Yang, M.; Guo, J. Does Supply chain Finance Can alleviate the financing constraints of technology SMEs?—Based on the empirical data of listed SMEs. Friends Account. 2019, 116–121. [Google Scholar]
- Xun, L.; Xia, P.; Martin, S. Multiparty game research and example analysis in supply chain finance system based on MPDE theory. Alex. Eng. J. 2020, 59, 2315–2321. [Google Scholar]
- Zhu, L.; Ou, Y. Enhance financing for small- and medium-sized suppliers with reverse factoring: A game theoretical analysis. Ann. Oper. Res. 2021, 1–29. [Google Scholar] [CrossRef]
- Wang, X.; Gu, C.; He, Q.; Zhao, J. Evolutionary Game Analysis on Credit Market of Supply Chain Finance. Oper. Res. Manag. Sci. 2022, 31, 30–37. [Google Scholar]
- Feng, B. Research on Behavior Strategy of Supply Chain Finance Credit Market: Based on an Evolutionary Game Analysis under Government Intervention. J. Technol. Econ. Manag. 2022, 10, 73–79. [Google Scholar]
- Jing, Q.; Kun, Q.; Yuxiang, C.; Desheng, W. Trade Credit Insurance for the Capital-Constrained Supplier. Sustainability 2022, 14, 13812. [Google Scholar]
- Song, H. The Development Trend of Supply Chain Finance in China. China Bus. Mark. 2019, 33, 3–9. [Google Scholar]
- Li, J.; Wang, Y.; Feng, G.; Wang, S.; Song, Y. Supply chain finance review: Current situation and future trend. Syst. Eng. Theory Pract. 2020, 40, 1977–1995. [Google Scholar]
- Fan, H.; Peng, Y.; Wang, H.; Xu, Z. Greening through finance? J. Dev. Econ. 2021, 152, 102683. [Google Scholar] [CrossRef]
- Wang, H.; Cao, W.; Wang, Y. Green Finance Policy and Risk Taking of Commercial Banks: Mechanism, Characteristics and Empirical Study. Financ. Econ. Res. 2022, 37, 143–160. [Google Scholar]
- Fang, L.; Xu, S. Financing equilibrium in a green supply chain with capital constraint. Comput. Ind. Eng. 2020, 143, 106390–106391. [Google Scholar] [CrossRef]
- Yang, G.; Xie, J. Research on Supply Chain Finance Model of New Energy Vehicles. Mod. Manag. 2016, 36, 21–23. [Google Scholar]
- Lian, Y.; Gao, J.; Ye, T. How does green credit affect the financial performance of commercial banks?—Evidence from China. J. Clean. Prod. 2022, 344, 131069. [Google Scholar] [CrossRef]
- Wang, X.H.; Berman, E. Financing conservation: Some empirical evidence from Florida local governments. J. Environ. Plan. Manag. 2014, 57, 733–750. [Google Scholar] [CrossRef]
- Zhu, H.; Qiang, S. Practices and Thoughts of Promoting Green Development of Small and Medium-sized Enterprises. J. Financ. Dev. Res. 2022, 46–50. [Google Scholar]
- Wang, Y. A Research on the Risk Control of Green Supply Chain Finance under Government Subsidies. Master’s Thesis, Southwestern University of Finance and Economics, Chengdu, China, 2021. [Google Scholar]
- Ji, J.; Tang, D.; Huang, J. Green Credit Financing and Emission Reduction Decisions in a Retailer-Dominated Supply Chain with Capital Constraint. Sustainability 2022, 14, 10553. [Google Scholar] [CrossRef]
- Soltanzadeh, S.; Zarandi, M.H.F.; Astanjin, M.B. A hybrid fuzzy clustering approach for fertile and unfertile analysis. In Proceedings of the 2016 Annual Conference of the North American Fuzzy Information Processing Society (NAFIPS), El Paso, TX, USA, 31 October–4 November 2016; pp. 1–6. [Google Scholar]
- Mou, W. Research on Green Supply Chain Finance and Risk Control for SMEs. Friends Account. 2016, 14, 94–98. [Google Scholar]
- He, Q.; Tang, J.; Luo, X. Evolutionary Game Analysis of Pollution Governance Strategy of Small and Medium-sized Manufacturing Enterprises with Multi-agent Participation. Oper. Res. Manag. Sci. 2022, 1–9. Available online: https://kns.cnki.net/kcms/detail/34.1133.g3.20220422.1509.002.html (accessed on 20 November 2022).
- Liu, B. Research on Green Enterprise Supply Chain Finance in Our Country. Master’s Thesis, Tianjin University of Finance and Economics, Tianjin, China, 2020. [Google Scholar]
- He, Q.; Tang, J.; Luo, X. Evolutionary Game Analysis of Pollution Governance of Small and Medium-sized Manufacturing Enterprises from the Perspective of “Government Market Regulation + Core Enterprises’Green Procurement”. Oper. Res. Manag. Sci. 2022, 1–8. Available online: https://kns.cnki.net/kcms/detail/34.1133.G3.20220920.1630.004.html (accessed on 20 November 2022).
- Zhou, Y.; Liang, S.; Liu, S.; Wang, J. The game study of establishing green supply chain from the perspective of green credit. J. Manag. Sci. China 2017, 20, 87–98. [Google Scholar]
- SHAN, M. Research on Green Supply Chain Finance Model with Multiparty Participation. Environ. Sustain. Dev. 2019, 44, 64–67. [Google Scholar]
- XU, R.; WANG, S.; HE, T. Research on Dynamic Mechanism of Sustainable Development of Small and Medium-sized Enterprises from the Perspective of Green Supply Chain Finance. Financ. Theory Pract. 2022, 76–86. [Google Scholar]
- Selten, R. A note on evolutionarily stable strategies in asymmetric animal conflicts. J. Theor. Biol. 1980, 84, 93–101. [Google Scholar] [CrossRef]








| Variable | Explanation |
|---|---|
| The interest rate of GL. | |
| The interest rate of traditional commercial loan. | |
| The own capital of SMEs. | |
| The GL scale of FIs with the guarantee of CEs. | |
| The GL scale of FIs without the guarantee of CEs. | |
| The evaluation cost of FIs to evaluate SMEs without the guarantee of CEs. | |
| The extra green cost SMEs need to pay to adopt GM. | |
| The benefits of SMEs that do not adopt GM with their own funds. | |
| The new benefits of SMEs that do not adopt GM with the loan scale of . | |
| The new benefits of SMEs that do not adopt GM with the loan scale of . | |
| The benefits of CEs when SMEs do not adopt GM with their own funds. | |
| The new benefits of CEs when SMEs do not adopt GM with the loan scale of . | |
| The new benefits of CEs when SMEs do not adopt GM with the loan scale of . | |
| The benefits of SMEs that adopt GM with the loan scale of . | |
| The benefits of SMEs that adopt GM with the loan scale of . | |
| The benefits of CEs when SMEs adopt GM with the loan scale of . | |
| The benefits of CEs when SMEs adopt GM with the loan scale of . | |
| The emission right valuation fee of SMEs. | |
| The positive industry effects of SMEs adopt GM. | |
| The negative industry losses of SMEs do not adopt GM. | |
| The supervision cost of guarantee of CEs. | |
| The amount of penalty of SMEs when CEs repay the loans for it. | |
| The future expected benefits SMEs will lose when CEs repay the loans for it. | |
| The reputational losses of SMEs when they cannot repay the loan to FIs. | |
| The environmental losses of government when SMEs do not adopt GM with their own funds. | |
| The new environmental losses of government when SMEs do not adopt GM with the loan scale of . | |
| The new environmental losses of government when SMEs do not adopt GM with the loan scale of . | |
| The losses of SC disruption of CEs. | |
| The policy benefits of government when it adopts strict supervision. | |
| The strict supervision cost of government. | |
| The subsidy coefficient of FIs that provide green loans. | |
| The penalty coefficient of FIs that do not provide green loans. | |
| The compensation coefficient of CEs that provide guarantee. | |
| The fine of SMEs that do not adopt GM. | |
| The probability of government choosing strict supervision. | |
| The probability of FIs choosing loan. | |
| The probability of CEs choosing guarantee. | |
| The probability of SMEs choosing GM. |
| CEs | |||||||
|---|---|---|---|---|---|---|---|
| Guarantee | No Guarantee | ||||||
| SMEs | SMEs | ||||||
| Adopt GM | Not Adopt GM | Adopt GM | Not Adopt GM | ||||
| Government | Strict supervision | FIs | Loan | | |||
| No loan | |||||||
| Loose supervision | FIs | Loan | |||||
| No loan | |||||||
| Pure Strategy Combination | Plus and Minus Sign | Stability | |
|---|---|---|---|
| (0,0,0,0) | (0,−,X,X) | uncertainty | |
| (1,0,0,0) | (+,X,X,X) | unstable | |
| (0,1,0,0) | (+,X,X,X) | unstable | |
| (0,0,1,0) | (0,−,X,X) | uncertainty | |
| (1,1,0,0) | (X,+,X,X) | unstable | |
| (1,0,1,0) | (−,−,X,X) | uncertainty | |
| (0,1,1,0) | (+,X,X,X) | unstable | |
| (1,1,1,0) | (X,X,X,X) | ESS (satisfy condition 1) | |
| (0,0,0,1) | (0,−,X,X) | uncertainty | |
| (1,0,0,1) | (0,X,X,X) | uncertainty | |
| (0,1,0,1) | (X,+,X,X) | unstable | |
| (0,0,1,1) | (0,−,X,X) | uncertainty | |
| (1,1,0,1) | (X,X,X,X) | ESS (satisfy condition 2) | |
| (1,0,1,1) | (0,X,X,X,) | uncertainty | |
| (0,1,1,1) | (+,−,X,X) | unstable | |
| (1,1,1,1) | (X,X,X,X) | ESS (satisfy condition 3) |
Disclaimer/Publisher’s Note: The statements, opinions and data contained in all publications are solely those of the individual author(s) and contributor(s) and not of MDPI and/or the editor(s). MDPI and/or the editor(s) disclaim responsibility for any injury to people or property resulting from any ideas, methods, instructions or products referred to in the content. |
© 2023 by the authors. Licensee MDPI, Basel, Switzerland. This article is an open access article distributed under the terms and conditions of the Creative Commons Attribution (CC BY) license (https://creativecommons.org/licenses/by/4.0/).
Share and Cite
Qin, C.; Hong, Y.-T. Quadripartite Evolutionary Game of Sustainable Development of Supply Chain Finance with Government Participation. Sustainability 2023, 15, 3788. https://doi.org/10.3390/su15043788
Qin C, Hong Y-T. Quadripartite Evolutionary Game of Sustainable Development of Supply Chain Finance with Government Participation. Sustainability. 2023; 15(4):3788. https://doi.org/10.3390/su15043788
Chicago/Turabian StyleQin, Chuan, and Yi-Tian Hong. 2023. "Quadripartite Evolutionary Game of Sustainable Development of Supply Chain Finance with Government Participation" Sustainability 15, no. 4: 3788. https://doi.org/10.3390/su15043788
APA StyleQin, C., & Hong, Y.-T. (2023). Quadripartite Evolutionary Game of Sustainable Development of Supply Chain Finance with Government Participation. Sustainability, 15(4), 3788. https://doi.org/10.3390/su15043788

