SARClust—A New Tool to Analyze InSAR Displacement Time Series for Structure Monitoring
Abstract
1. Introduction
2. Materials and Methods
2.1. Study Area
2.2. Data Sources
2.3. Methods for Data Processing and Displacement Detection
2.3.1. PSI Analysis
2.3.2. Selection of PSs on Buildings
2.3.3. SARClust Rationale
2.3.4. Displacement Time Series Error Mitigation
2.3.5. Merging of Ascending and Descending Data
2.3.6. Dissimilarity Matrix
2.3.7. Number of Clusters Selection
3. Results and Discussion
3.1. Displacement Maps
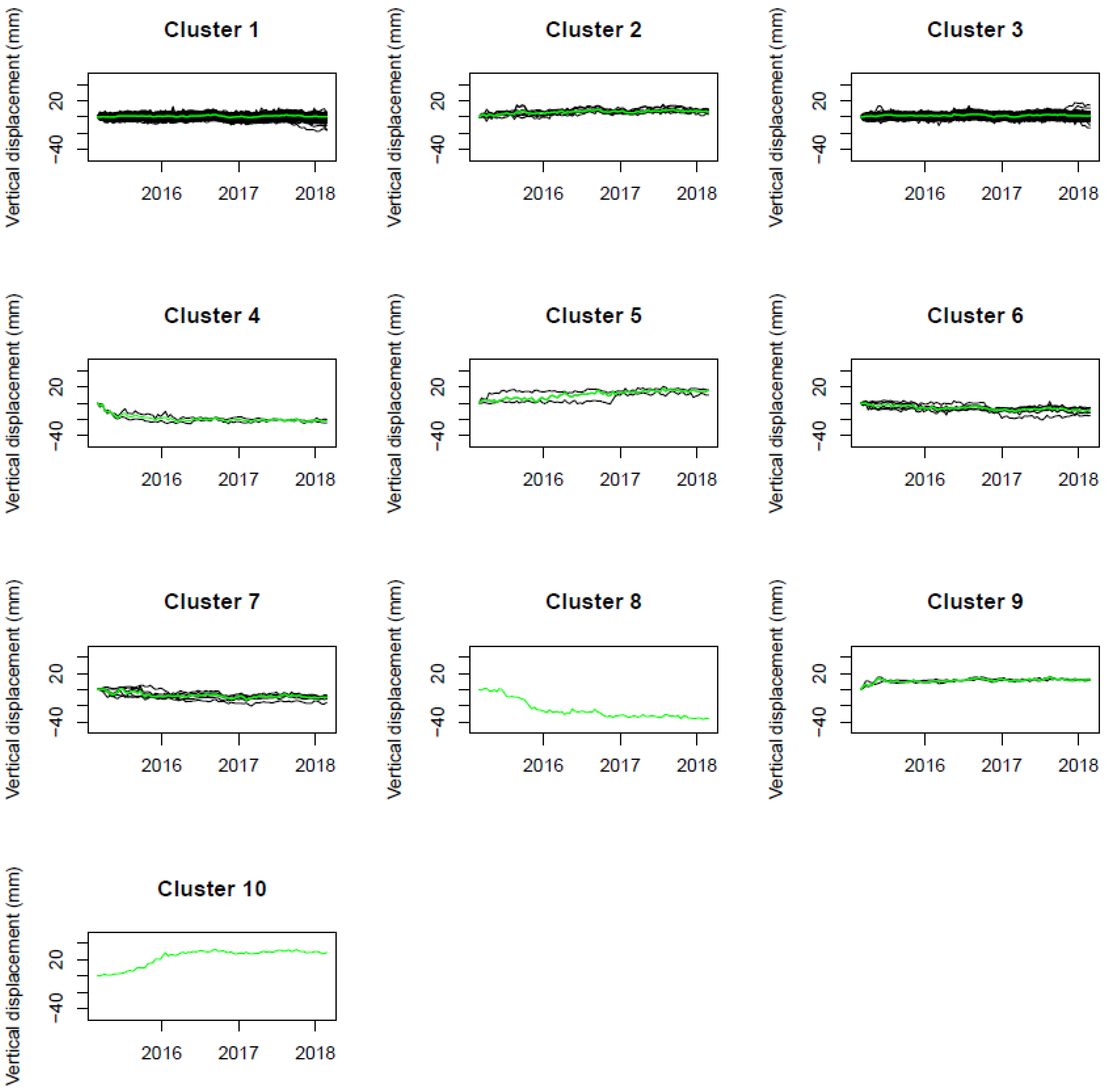
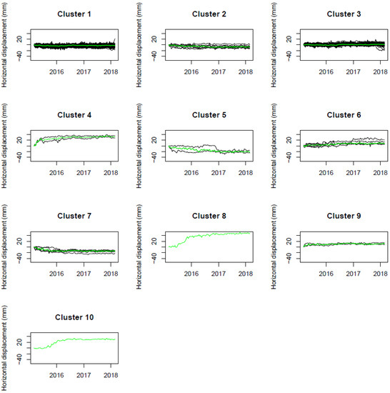
3.2. Cluster Analysis
3.3. Visual Inspection
3.4. Comparison to Other Radar Interpretation Tools
3.5. Computational Performance
4. Conclusions
Author Contributions
Funding
Institutional Review Board Statement
Informed Consent Statement
Data Availability Statement
Acknowledgments
Conflicts of Interest
References
- Aslan, G.; Cakir, Z.; Ergintav, S.; Lasserre, C.; Renard, F. Analysis of Secular Ground Motions in Istanbul from a Long-Term InSAR Time-Series (1992–2017). Remote Sens. 2018, 10, 408. [Google Scholar] [CrossRef]
- Heleno, S.I.N.; Oliveira, L.G.S.; Henriques, M.J.; Falcão, A.P.; Lima, J.N.P.; Cooksley, G.; Ferretti, A.; Fonseca, A.M.; Lobo-Ferreira, J.P.; Fonseca, J.F.B.D. Persistent Scatterers Interferometry Detects and Measures Ground Subsidence in Lisbon. Remote Sens. Environ. 2011, 115, 2152–2167. [Google Scholar] [CrossRef]
- Osmanoğlu, B.; Dixon, T.H.; Wdowinski, S.; Cabral-Cano, E.; Jiang, Y. Mexico City Subsidence Observed with Persistent Scatterer InSAR. Int. J. Appl. Earth Obs. Geoinf. 2011, 13, 1–12. [Google Scholar] [CrossRef]
- Yao, G.; Ke, C.Q.; Zhang, J.; Lu, Y.; Zhao, J.; Lee, H. Surface Deformation Monitoring of Shanghai Based on ENVISAT ASAR and Sentinel-1A Data. Environ. Earth Sci. 2019, 78, 225. [Google Scholar] [CrossRef]
- Qin, Y.; Perissin, D. Monitoring Ground Subsidence in Hong Kong via Spaceborne Radar: Experiments and Validation. Remote Sens. 2015, 7, 10715–10736. [Google Scholar] [CrossRef]
- Lanari, R.; Lundgren, P.; Manzo, M.; Casu, F. Satellite Radar Interferometry Time Series Analysis of Surface Deformation for Los Angeles, California. Geophys. Res. Lett. 2004, 31, L23613. [Google Scholar] [CrossRef]
- Stramondo, S.; Bozzano, F.; Marra, F.; Wegmuller, U.; Cinti, F.R.; Moro, M.; Saroli, M. Subsidence Induced by Urbanisation in the City of Rome Detected by Advanced InSAR Technique and Geotechnical Investigations. Remote Sens. Environ. 2008, 112, 3160–3172. [Google Scholar] [CrossRef]
- Lanari, R.; Berardino, P.; Bonano, M.; Casu, F.; Manconi, A.; Manunta, M.; Manzo, M.; Pepe, A.; Pepe, S.; Sansosti, E.; et al. Surface Displacements Associated with the L’Aquila 2009 Mw 6.3 Earthquake (Central Italy): New Evidence from SBAS-DInSAR Time Series Analysis. Geophys. Res. Lett. 2010, 37, L20309. [Google Scholar] [CrossRef]
- Cigna, F.; Tapete, D.; Casagli, N. Semi-Automated Extraction of Deviation Indexes (DI) from Satellite Persistent Scatterers Time Series: Tests on Sedimentary Volcanism and Tectonically-Induced Motions. Nonlinear Process. Geophys. 2012, 19, 643–655. [Google Scholar] [CrossRef]
- Cigna, F.; del Ventisette, C.; Liguori, V.; Casagli, N. Advanced Radar-Interpretation of InSAR Time Series for Mapping and Characterization of Geological Processes. Nat. Hazards Earth Syst. Sci. 2011, 11, 865–881. [Google Scholar] [CrossRef]
- Milone, G.; Scepi, G. A Clustering Approach for Studying Ground Deformation Trends in Campania Region through PS-InSARTM Time Series Analysis. J. Appl. Sci. 2011, 11, 610–620. [Google Scholar] [CrossRef]
- Bakon, M.; Oliveira, I.; Perissin, D.; Sousa, J.J.; Papco, J. A Data Mining Approach for Multivariate Outlier Detection in Postprocessing of Multitemporal InSAR Results. IEEE J. Sel. Top. Appl. Earth Obs. Remote. Sens. 2017, 10, 2791–2798. [Google Scholar] [CrossRef]
- Berti, M.; Corsini, A.; Franceschini, S.; Iannacone, J.P. Automated Classification of Persistent Scatterers Interferometry Time Series. Nat. Hazards Earth Syst. Sci. 2013, 13, 1945–1958. [Google Scholar] [CrossRef]
- Chang, L.; Hanssen, R.F. A Probabilistic Approach for InSAR Time-Series Postprocessing. IEEE Trans. Geosci. Remote Sens. 2016, 54, 421–430. [Google Scholar] [CrossRef]
- Notti, D.; Calò, F.; Cigna, F.; Manunta, M.; Herrera, G.; Berti, M.; Meisina, C.; Tapete, D.; Zucca, F. A User-Oriented Methodology for DInSAR Time Series Analysis and Interpretation: Landslides and Subsidence Case Studies. Pure Appl. Geophys. 2015, 172, 3081–3105. [Google Scholar] [CrossRef]
- Tomás, R.; Pagán, J.I.; Navarro, J.A.; Cano, M.; Pastor, J.L.; Riquelme, A.; Cuevas-González, M.; Crosetto, M.; Barra, A.; Monserrat, O.; et al. Semi-Automatic Identification and Pre-Screening of Geological–Geotechnical Deformational Processes Using Persistent Scatterer Interferometry Datasets. Remote Sens. 2019, 11, 1675. [Google Scholar] [CrossRef]
- van de Kerkhof, B.; Pankratius, V.; Chang, L.; van Swol, R.; Hanssen, R.F. Individual Scatterer Model Learning for Satellite Interferometry. IEEE Trans. Geosci. Remote Sens. 2020, 58, 1273–1280. [Google Scholar] [CrossRef]
- Fadhillah, M.F.; Achmad, A.R.; Lee, C.W. Integration of InSAR Time-Series Data and GIS to Assess Land Subsidence along Subway Lines in the Seoul Metropolitan Area, South Korea. Remote Sens. 2020, 12, 3505. [Google Scholar] [CrossRef]
- Mirmazloumi, S.M.; Gambin, A.F.; Wassie, Y.; Barra, A.; Palamà, R.; Crosetto, M.; Monserrat, O.; Crippa, B. InSAR Deformation Time Series Classification Using a Convolutional Neural Network. Int. Arch. Photogramm. Remote Sens. Spat. Inf. Sci. 2022, 43, 307–312. [Google Scholar] [CrossRef]
- Wang, L.; Li, S.; Teng, C.; Jiang, C.; Li, J.; Li, Z.; Huang, J. Automatic-Detection Method for Mining Subsidence Basins Based on InSAR and CNN-AFSA-SVM. Sustainability 2022, 14, 13898. [Google Scholar] [CrossRef]
- Anantrasirichai, N.; Biggs, J.; Albino, F.; Hill, P.; Bull, D. Application of Machine Learning to Classification of Volcanic Deformation in Routinely Generated InSAR Data. J. Geophys. Res. Solid Earth 2018, 123, 6592–6606. [Google Scholar] [CrossRef]
- Brengman, C.M.J.; Barnhart, W.D. Identification of Surface Deformation in InSAR Using Machine Learning. Geochem. Geophys. Geosystems 2021, 22, e2020GC009204. [Google Scholar] [CrossRef]
- Maubant, L.; Pathier, E.; Daout, S.; Radiguet, M.; Doin, M.P.; Kazachkina, E.; Kostoglodov, V.; Cotte, N.; Walpersdorf, A. Independent Component Analysis and Parametric Approach for Source Separation in InSAR Time Series at Regional Scale: Application to the 2017–2018 Slow Slip Event in Guerrero (Mexico). J. Geophys. Res. Solid Earth 2020, 125, e2019JB018187. [Google Scholar] [CrossRef]
- Rouet-Leduc, B.; Jolivet, R.; Dalaison, M.; Johnson, P.A.; Hulbert, C. Autonomous Extraction of Millimeter-Scale Deformation in InSAR Time Series Using Deep Learning. Nat. Commun. 2021, 12, 6480. [Google Scholar] [CrossRef]
- Zhao, Z.; Wu, Z.; Zheng, Y.; Ma, P. Recurrent Neural Networks for Atmospheric Noise Removal from InSAR Time Series with Missing Values. ISPRS J. Photogramm. Remote Sens. 2021, 180, 227–237. [Google Scholar] [CrossRef]
- Sorkhabi, O.M.; Nejad, A.S.; Khajehzadeh, M. Evaluation of Isfahan City Subsidence Rate Using InSAR and Artificial Intelligence. KSCE J. Civ. Eng. 2022, 26, 2901–2908. [Google Scholar] [CrossRef]
- Martin, G.; Hooper, A.; Wright, T.J.; Selvakumaran, S. Blind Source Separation for MT-InSAR Analysis with Structural Health Monitoring Applications. IEEE J. Sel. Top. Appl. Earth Obs. Remote. Sens. 2022, 15, 7605–7618. [Google Scholar] [CrossRef]
- Gualandi, A.; Liu, Z. Variational Bayesian Independent Component Analysis for InSAR Displacement Time-Series with Application to Central California, USA. J. Geophys. Res. Solid Earth 2021, 126, e2020JB020845. [Google Scholar] [CrossRef]
- Chen, Y.; He, Y.; Zhang, L.; Chen, Y.; Pu, H.; Chen, B.; Gao, L. Prediction of InSAR Deformation Time-Series Using a Long Short-Term Memory Neural Network. Int. J. Remote Sens. 2021, 42, 6921–6944. [Google Scholar] [CrossRef]
- Radman, A.; Akhoondzadeh, M.; Hosseiny, B. Integrating InSAR and Deep-Learning for Modeling and Predicting Subsidence over the Adjacent Area of Lake Urmia, Iran. GIScience Remote Sens. 2021, 58, 1413–1433. [Google Scholar] [CrossRef]
- Hair, J.F.; Black, W.C.; Babin, B.J.; Anderson, R.E. Multivariate Data Analysis, 7th ed.; Prentice Hall: Upper Saddle River, NJ, USA, 2009. [Google Scholar]
- Berndt, D.; Clifford, J. Using Dynamic Time Warping to Find Patterns in Time Series. In Workshop on Knowledge Discovery in Databases; KDD Workshop: Seattle, WA, USA, 1994; Volume 10, pp. 359–370. [Google Scholar]
- Perissin, D.; Wang, Z.; Wang, T. The SARPROZ InSAR Tool for Urban Subsidence/Manmade Structure Stability Monitoring in China. In Proceedings of the 34th International Symposium for Remote Sensing of the Environment (ISRSE), Sydney, Australia, 10–15 April 2011; p. 4. [Google Scholar]
- Milillo, P.; Perissin, D.; Salzer, J.T.; Lundgren, P.; Lacava, G.; Milillo, G.; Serio, C. Monitoring Dam Structural Health from Space: Insights from Novel InSAR Techniques and Multi-Parametric Modeling Applied to the Pertusillo Dam Basilicata, Italy. Int. J. Appl. Earth Obs. Geoinf. 2016, 52, 221–229. [Google Scholar] [CrossRef]
- CNES. Orfeo ToolBox. Available online: https://www.orfeo-toolbox.org/ (accessed on 29 September 2020).
- Zouhal, L.M.; Denoeux, T. An Evidence-Theoretic k-NN Rule with Parameter Optimization. IEEE Trans. Syst. Man Cybern. Part C 1998, 28, 263–271. [Google Scholar] [CrossRef]
- R Core Team. R: A Language and Environment for Statistical Computing; R Foundation for Statistical Computing: Vienna, Austria, 2018; Available online: http://www.r-project.org/ (accessed on 29 August 2019).
- Bartier, P.M.; Keller, C.P. Multivariate Interpolation to Incorporate Thematic Surface Data Using Inverse Distance Weighting (IDW). Comput. Geosci. 1996, 22, 795–799. [Google Scholar] [CrossRef]
- Dentz, F.; van Halderen, L.; Boudewijn, P.; Esfahany, S.S.; Slobbe, C.; Wortel, T. “POSEIDON” on the Potential of Satellite Radar Interferometry for Monitoring Dikes of the Netherlands—A Technical Feasibility Study; Delft University of Technology: Delft, The Netherlands, 2006. [Google Scholar]
- Sakoe, H.; Chiba, S. Dynamic Programming Algorithm Optimization for Spoken Word Recognition. IEEE Trans. Acoust. 1978, 26, 43–49. [Google Scholar] [CrossRef]
- Romano, E.; Scepi, G. Integrating Time Alignment and Self-Organizing Maps for Classifying Curves. In Proceedings of the Knowledge Extraction and Modeling Workshop, Capri, Italy, 4–6 September 2006; pp. 1–5. [Google Scholar]
- TWC Product and Technology LLC. Lisbon, Lisbon, Portugal Weather History. Available online: https://www.wunderground.com/ (accessed on 12 February 2023).
- Rosi, A.; Tofani, V.; Tanteri, L.; Tacconi Stefanelli, C.; Agostini, A.; Catani, F.; Casagli, N. The New Landslide Inventory of Tuscany (Italy) Updated with PS-InSAR: Geomorphological Features and Landslide Distribution. Landslides 2018, 15, 5–19. [Google Scholar] [CrossRef]
- LNEC. Estudo Sobre a Fissuração Em Revestimentos de Paredes No Edifício Ivens Arte; Laboratório Nacional de Engenharia Civil, Proc. 0803/121/22265. Report No. 162/2020–DED/NRI; Portuguese National Laboratory for Civil Engineering: Lisbon, Portugal, 2020. [Google Scholar]
- Aghabozorgi, S.; Shirkhorshidi, A.S.; Wah, T.Y. Time-Series Clustering—A Decade Review. Inf. Syst. 2015, 53, 16–38. [Google Scholar] [CrossRef]














| Cluster | Percentage of PSs (%) | Altitude (m) | Vertical Displacement (mm) | Horizontal Displacement (mm) | Slope (°) | Curvature (m−1) | Distance to | ||
|---|---|---|---|---|---|---|---|---|---|
| Faults (m) | Subway (m) | River (m) | |||||||
| 1 | 71.0 | 19 | 0.2 | −2.8 | 6 | −0.042 | 674 | 132 | 588 |
| 2 | 0.9 | 6 | 6.9 | −7.5 | 6 | −0.137 | 630 | 73 | 382 |
| 3 | 25.7 | 22 | 1.2 | 0.7 | 6 | −0.023 | 810 | 104 | 737 |
| 4 | 0.2 | 16 | −21.9 | 31.6 | 10 | 0.811 | 723 | 30 | 469 |
| 5 | 0.3 | 13 | 14.2 | −21.2 | 6 | 1.045 | 772 | 47 | 635 |
| 6 | 0.6 | 22 | −9.2 | 10.5 | 5 | −0.628 | 687 | 157 | 656 |
| 7 | 0.7 | 24 | −10.2 | −16.0 | 8 | 0.289 | 685 | 127 | 565 |
| 8 | 0.1 | 6 | −35.6 | 46.9 | 13 | 2.119 | 768 | 40 | 885 |
| 9 | 0.3 | 9 | 12.1 | 10.8 | 9 | 0.249 | 601 | 92 | 526 |
| 10 | 0.1 | 46 | 28.9 | 31.1 | 7 | 0.182 | 684 | 20 | 337 |
| PS-Time Classes | SARClust Clusters | |||||||||
|---|---|---|---|---|---|---|---|---|---|---|
| 1 | 2 | 3 | 4 | 5 | 6 | 7 | 8 | 9 | 10 | |
| 0 | 447 | 1 | 141 | 0 | 0 | 2 | 1 | 0 | 0 | 0 |
| 1 | 159 | 1 | 57 | 0 | 0 | 0 | 1 | 0 | 0 | 0 |
| 2 | 14 | 2 | 11 | 0 | 0 | 0 | 1 | 0 | 0 | 0 |
| 3 | 70 | 4 | 38 | 2 | 2 | 2 | 1 | 0 | 3 | 0 |
| 4 | 0 | 1 | 1 | 0 | 0 | 1 | 3 | 0 | 0 | 0 |
| 5 | 2 | 0 | 2 | 0 | 1 | 1 | 0 | 1 | 0 | 1 |
Disclaimer/Publisher’s Note: The statements, opinions and data contained in all publications are solely those of the individual author(s) and contributor(s) and not of MDPI and/or the editor(s). MDPI and/or the editor(s) disclaim responsibility for any injury to people or property resulting from any ideas, methods, instructions or products referred to in the content. |
© 2023 by the authors. Licensee MDPI, Basel, Switzerland. This article is an open access article distributed under the terms and conditions of the Creative Commons Attribution (CC BY) license (https://creativecommons.org/licenses/by/4.0/).
Share and Cite
Roque, D.; Falcão, A.P.; Perissin, D.; Amado, C.; Lemos, J.V.; Fonseca, A. SARClust—A New Tool to Analyze InSAR Displacement Time Series for Structure Monitoring. Sustainability 2023, 15, 3728. https://doi.org/10.3390/su15043728
Roque D, Falcão AP, Perissin D, Amado C, Lemos JV, Fonseca A. SARClust—A New Tool to Analyze InSAR Displacement Time Series for Structure Monitoring. Sustainability. 2023; 15(4):3728. https://doi.org/10.3390/su15043728
Chicago/Turabian StyleRoque, Dora, Ana Paula Falcão, Daniele Perissin, Conceição Amado, José V. Lemos, and Ana Fonseca. 2023. "SARClust—A New Tool to Analyze InSAR Displacement Time Series for Structure Monitoring" Sustainability 15, no. 4: 3728. https://doi.org/10.3390/su15043728
APA StyleRoque, D., Falcão, A. P., Perissin, D., Amado, C., Lemos, J. V., & Fonseca, A. (2023). SARClust—A New Tool to Analyze InSAR Displacement Time Series for Structure Monitoring. Sustainability, 15(4), 3728. https://doi.org/10.3390/su15043728

