Correlation between Distribution of Rural Settlements and Topography in Plateau-Mountain Area: A Study of Yunnan Province, China
Abstract
:1. Introduction
2. Study Area, Data Sources and Methodology
2.1. Overview of the Study Area
2.2. Data Sources
- (1)
- Vector data of the spatial distribution of village settlements in Yunnan Province (2020) came from the Geographic Information Network (bbs.3s001.com). The information released by the official websites of the Ministry of Civil Affairs, National Bureau of Statistics, and Yunnan Provincial Bureau of Statistics were collated into text format, and their latitude and longitude data were obtained through geographic information processing and transformed into shape vector data.
- (2)
- Vector data of the provincial administrative boundary of Yunnan are from the National Basic Geographic Information Centre in shape format.
- (3)
- Yunnan DEM data (30 m resolution) are from NASA’s ASTER GDEM 30 m, obtained by cropping and extracting Yunnan administrative boundary vector shape data using the Gee platform.
2.3. Research Methodology
2.3.1. Analysis of the Distribution Characteristics of Rural Settlements
2.3.2. Selection of Topographic Factors
2.3.3. Distribution Index Method
3. Results and Analysis
3.1. Rural Settlements and Topographical Distribution Features in Yunnan Province
3.1.1. Characteristics of the Distribution of Rural Settlements
- (1)
- The distribution of rural settlements in Yunnan Province shows a typical clustering-distribution pattern. The average nearest neighbor index (ANN) of rural settlements in Yunnan Province was 0.65, and the normalized z-value was −255.23. This indicates that the overall clustering pattern of rural settlements in Yunnan Province is very obvious due to the fact that the mountainous terrain in Yunnan accounts for 94% of the area and the dam area for 6%. People tend to choose the flat dam areas when selecting sites for settlements, so the settlements are more densely distributed in the dam areas with less area.
- (2)
- Rural settlements in Yunnan Province are distributed throughout the country as shown in Figure 2a, generally in a northeast–southwest direction, forming a dense belt of rural settlements across Yunnan Province. The area covered by this dense belt is the economically well-off cities of Yunnan Province, which are also more suitable for human habitation, the main cities being Kunming, Zhaotong, Chuxiong, and Baoshan.
- (3)
- From the distribution density of rural settlements in Figure 2b, the distribution density of rural settlements in Yunnan Province is dense in the northeast, sparse in the northwest, dense in the middle, and sparse in the south. The overall low density, fragmentation, and dotted distribution of high-value areas show three typical core areas, and the spatial differentiation is very obvious. The Yunnan plateau-mountain environment has an impact on rural settlement densities, which are generally low in Yunnan Province, with most places having a density value of 0. The high-density-value distribution is primarily observed in three core regions, one is the northwest Yunnan region with Zhenxiong as the core, one is the western Yunnan region with Baoshan, Dali, and Chuxiong as the core, and one is the southeast Yunnan region with Wenshan as the core. Regarding Zhenxiong in particular, Zhenxiong is located at the border of three provinces and has been a transportation hub since ancient times, which has led to the formation of a large number of rural settlements. Taking 50 km as the search radius, the highest density value in the core area of Yunnan Province is only 1.2/km2, which is obviously low compared to the density of rural settlements in the plain area, which can be as high as 10/km2. The distribution pattern of rural settlements is very fragmented due to the undulating topography and high fragmentation of the terrain in Yunnan. The distribution of rural settlements shows two main distribution patterns, one in the form of clusters in dam areas with good terrain and good topographical conditions for human habitation. Another one is that, given the limited area of the dam area, people choose areas with suitable altitudes and close to water sources where the soil and water conditions are favorable and the terrain is relatively flat, and the distribution of settlements is scattered, banded, or radial, such as the Lancang River basin, the Nu River basin, and the Red River. For example, the rural settlements in the Lancang, Nujiang, and Red River valleys all have a large number of settlements along the banks of the river valleys.
3.1.2. Terrain Distribution Characteristics
3.2. Correlation Analysis of the Distribution of Rural Settlements and Topography in Yunnan Province
3.2.1. Correlation Analysis of the Distribution of Rural Settlements with Elevation, Slope, and Aspect
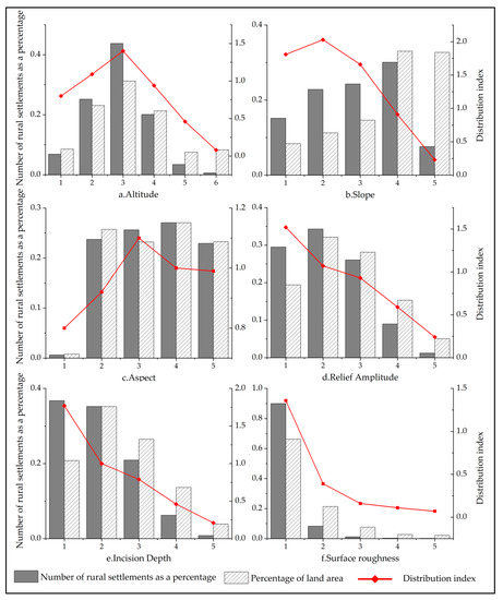
- (1)
- The altitude distribution of rural settlements is shown in Figure 4a. The distribution of rural settlements in Yunnan Province presents a normal distribution, with 50% of rural settlements distributed below 1600 m above sea level and 30% of rural settlements distributed in the range of 1600 m to 2000 m. The vertical gradient of the distribution of village settlements shows a diamond shape with a narrow top and a wide bottom. According to the visualization of rural settlements in Yunnan Province classified according to the interval of 200 m in height difference shown in Figure 4a, it can be found that the rural settlements distributed in the interval of 1800 m to 2000 m are the largest. Altitude is an important factor affecting the distribution of rural settlements. The number of village settlements gradually increases as the altitude rises and then decreases after reaching a certain altitude. The higher the altitude, the lower the air pressure, and therefore, the less suitable the human living environment. According to Yang Haiyan [42], an area with an altitude greater than 2800 m is no longer suitable for ordinary people. Combined with the actual situation of the mountainous terrain of the Yunnan Plateau, 3000 m is the threshold of the rural settlement layout in Yunnan Province. However, there are still some rural settlements in Yunnan Province distributed below 500 m above sea level and above 3000 m, primarily in the northern part of Kunming, the southern mountains of Zhaotong, and northwestern Yunnan, where the environment is harsh, the air is thin, the ecology is fragile, the water and soil conditions are poor, and the transportation infrastructure is poor. Therefore, the development and construction of such areas are difficult and unsuitable for human habitation, and settlements under such conditions should receive more attention.
- (2)
- The distribution of the rural settlement slope is shown in Figure 4b. There are 50% of the rural settlements distributed within the interval of 0°–11.39°. Approximately 35% of rural settlements are between 15° and 25°, and 5% of settlements are larger than 25°. In the plains, most rural settlements are distributed in the 0–8° range, but in Yunnan, the largest number of rural settlements are distributed in the 8–15° range, which is determined by the natural geographical conditions of the mountainous areas. According to the National Standard Classification of Arable Land Slopes [43] (the standard classification of arable land slopes includes five grades, namely 0°–2°, 2°–6°, 6°–15°, 15°–25°, and above 25°, which are considered flat, small, medium, large, and very large slopes, respectively), slopes greater than 25° are seriously unsuitable for agricultural production and it is extremely difficult to build infrastructure and public services on such land. The slope value of 25° is a critical value for the distribution of rural settlements in Yunnan Province. This part of Yunnan has far worse land conditions than other regions, and the author’s field research in some of the more steeply sloping rural settlements revealed that residents are constantly adapting to such slope conditions when creating settlements.
- (3)
- The distribution of the rural settlement aspect is shown in Figure 4c. Rural settlements in Yunnan province account for approximately 24% of the north-facing rural settlements, 27% of the south-facing rural settlements, 25% of the east-facing rural settlements, and 23% of the west-facing rural settlements, which means that rural settlements in Yunnan province are evenly distributed in all directions and do not differ much, with the south-facing rural settlements accounting for approximately 3% more than the north-facing rural settlements. This suggests that slope orientation has little influence on the distribution of settlements in Yunnan.
3.2.2. Correlation Analysis of the Distribution of Rural Settlements with the Relief Amplitude, Incision Depth, and Surface Roughness
- (1)
- The distribution of rural settlement relief amplitude and incision depth is shown in Figure 4d,e. Under the effect of two topographic parameters, topographic relief and the depth of surface cut, the distribution of rural villages is comparable at the regional level. The number of rural settlements has a trend of first increasing and then rapidly decreasing as the values of the topographic relief and surface cut depth increase. Furthermore, 50% of rural settlements are located below 112 m in terms of the topographic element of relief amplitude and 50% of rural villages are located below 49 m, according to the topographic factor of incision depth. This suggests that people choose to settle in lower elevations when living in hilly areas. However, some rural settlements still opt to reside at high altitudes with significant undulations and deep cuts due to the conditions of surrounding land use. Two examples are Tangdui Village and Tongle Village, which have been studied by the author in the field.
- (2)
- The surface roughness can reflect the local topographic features. From Figure 4f, we can see that 50% of the village settlements are distributed in the range of 1–1.0159, and almost all of the village settlements are distributed in the surface roughness value of 1.2 or below. When the surface roughness value is greater than 1.2, there are few rural settlements. The surface roughness reflects the local surface flatness, and a flat surface is more conducive to the daily production work of residents and the construction of dwellings, which is an important consideration in the site selection of settlements.
3.2.3. Distribution Index
3.3. Coupling Mechanisms
4. Discussion
5. Conclusions
- (1)
- The distribution pattern of rural settlements in Yunnan Province is dense in the northeast, sparse in the northwest, dense in the middle, and sparse in the south; the overall pattern shows low density, fragmentation, and a dotted distribution of high-value areas, showing three typical core areas with very obvious spatial differentiation. The site distribution of rural settlements is obviously different from that of the plain area settlements, with regional characteristics of plateau-mountain terrain.
- (2)
- In Yunnan Province, the distribution of rural settlements is influenced by three key topographic factors: Relief amplitude, incision depth, and surface roughness. The dispersion index of rural settlements drastically declines as the value rises. There are still settlements distributed in the terrain with an elevation greater than 3000 m and a slope greater than 25° in the study area. The layout of this part of the rural settlement should be further optimized.
- (3)
- Different topographic factors affect the production and living conditions of residents by influencing temperature, air pressure, arable area, land leveling degree, etc. By coupling these factors with the psychological needs of villagers, the inner mechanism of the plateau mountainous terrain affecting the distribution of rural settlements is formed.
Author Contributions
Funding
Institutional Review Board Statement
Informed Consent Statement
Data Availability Statement
Conflicts of Interest
References
- Wu, C.J. On the territorial system of human-land relations, the core of geography. Econ. Geogr. 1991, 3, 1–6. (In Chinese) [Google Scholar]
- Qu, Y.B.; Wei, S.W.; Shang, R.; Zheng, J. Spatial pattern identification of rural settlements based on “point-surface” characteristics. Resour. Sci. 2019, 41, 1035–1047. (In Chinese) [Google Scholar]
- Zhang, T.Z.; Zhang, F.R.; Xie, Z.; Huang, J.W. Spatial pattern evolution of rural settlements in Yunnan minority mountainous areas in the context of precise poverty alleviation. Trans. Chin. Soc. Agric. Eng. 2019, 35, 246–254. (In Chinese) [Google Scholar]
- Mao, Q.H. Study on the spatial characteristics and pattern optimization of rural settlements in Zhejiang Province in the context of beautiful countryside—Taking Zhejiang Province as an example. J. China Agric. Resour. Reg. Plan. 2021, 42, 150–157. (In Chinese) [Google Scholar]
- Li, S.J.; Xu, J.W.; Hai, B.B. Analysis of the evolution of the distribution pattern of county settlements--an empirical study based on Gongyi, Henan, 1929–2013. Acta Geogr. Sin. 2015, 70, 1870–1883. [Google Scholar]
- Hu, Z.; Chen, K.X.; Xie, X.F. A Graph Neural Network (GNN) Algorithm for Constructing the Evolution Process of Rural Settlement Morphology. Secur. Commun. Netw. 2022, 2022, 7517347. [Google Scholar] [CrossRef]
- Nandi, S.; Mistri, T. Transformation of rural settlement in Salanpur community development block, West Bengal, India. GeoJournal 2022, 88, 291–318. [Google Scholar] [CrossRef]
- Zhou, J.Z.; Hou, Q.H. Resilience assessment and planning of suburban rural settlements based on complex network. Sustain. Prod. Consump. 2021, 28, 1645–1662. [Google Scholar] [CrossRef]
- Yue, Q.B.; He, J.H.; Liu, D.F. Identifying Restructuring Types of Rural Settlement Using Social Network Analysis: A Case Study of Ezhou City in Hubei Province of China. Chin. Geogr. Sci. 2021, 31, 1011–1028. [Google Scholar] [CrossRef]
- Heng, J.Y.; Wang, H.W.; Fan, Y.; Wang, Z.W.; Gao., Y.B. Simulation and Optimization of Urban–Rural Settlement Development from the Perspective of Production–Life–Ecology Space: A Case Study for Aksu City. Sustainability 2021, 13, 7452. [Google Scholar] [CrossRef]
- Whatmore, S. Sustainable rural geographies. Prog. Hum. Geogr. 1993, 17, 538–547. [Google Scholar] [CrossRef]
- Yu, X.; Zhao, Z. Fractal Characteristic Evolution of Coastal Settlement Land Use: A Case of Xiamen, China. Land 2022, 11, 50. [Google Scholar] [CrossRef]
- Li, X.; Li, H.; Zhang, Y.; Yang, L. Spatial Patterns and the Regional Differences of Rural Settlements in Jilin Province, China. Sustainability 2017, 9, 2170. [Google Scholar] [CrossRef]
- Zhang, Y.; Wang, P.; Wang, T.; Cai, C.; Li, Z.; Teng, M. Scenarios Simulation of Spatio-Temporal Land Use Changes for Exploring Sustainable Management Strategies. Sustainability 2018, 10, 1013. [Google Scholar] [CrossRef]
- Shao, N. Analysis of spatial distribution characteristics and driving forces of rural settlements in Nanyang City. J. China Agric. Resour. Reg. Plan. 2020, 41, 220–225. [Google Scholar]
- Zhang, J.; Gu, P. Analysis of spatial distribution characteristics and influencing factors of rural settlements in Northeast China. J. China Agric. Resour. Reg. Plan. 2019, 40, 110–115. [Google Scholar]
- Song, W.; Li, H.H. Spatial pattern evolution of rural settlements from 1961 to 2030 in Tongzhou District, China. Land Use Pol. 2020, 99, 105044. [Google Scholar] [CrossRef]
- Ji, H.W.; Cha, X.C. A study on the spatial evolution characteristics of rural settlements in the eastern Qinling Mountains and their influencing factors: An example from Danfeng County, Shangluo City. J. Ecol. Rural. Environ. 2022, 38, 32–42. [Google Scholar]
- Huang, D.K.; Sun, W.; Chen, W.; Zhang, Y.Z. Study on the evolution and mechanism of village and town settlement patterns based on multi-temporal remote sensing data--Jiangsu Province as an example. Resour. Environ. Yangtze Basin 2021, 30, 2405–2416. [Google Scholar]
- Luo, G.; Wang, B.; Luo, D.; Wei, C. Spatial Agglomeration Characteristics of Rural Settlements in Poor Mountainous Areas of Southwest China. Sustainability 2020, 12, 1818. [Google Scholar] [CrossRef]
- Tan, S.K.; Zhang, M.M.; Wang, A.; Ni, Q.L. Spatio-Temporal Evolution and Driving Factors of Rural Settlements in Low Hilly Region—A Case Study of 17 Cities in Hubei Province, China. Int. J. Environ. Res. Public Health 2021, 99, 2387. [Google Scholar] [CrossRef] [PubMed]
- Ma, L.; Guo, X.; Tian, Y.; Wang, Y.; Chen, M. Micro-Study of the Evolution of Rural Settlement Patterns and Their Spatial Association with Water and Land Resources: A Case Study of Shandan County, China. Sustainability 2017, 9, 2277. [Google Scholar] [CrossRef]
- Yin, J.B.; Li, H.; Wang, D.Y.; Liu, S.H. Optimization of Rural Settlement Distributions Based On the Ecological Security Pattern: A Case Study of Da’an City in Jilin Province of China. Chin. Geogr. Sci. 2020, 30, 824–838. [Google Scholar] [CrossRef]
- He, R.W. Urban-rural integration and rural revitalization: Theoretical discussion, mechanism interpretation and realization path. Geogr. Res. 2018, 37, 2127–2140. [Google Scholar]
- Gong, J.Z.; Jian, Y.Q.; Chen, W.L.; Liu, Y.; Hu, Y. Transitions in rural settlements and implications for rural revitalization in Guangdong Province. Rural Stud. 2019, 93, 359–366. [Google Scholar] [CrossRef]
- Yang, R.; Liu, Y.S.; Long, H.L.; Chen, C.G. Geographical element identification of spatial and temporal characteristics and spatial directionality of rural settlement sites based on a grid—Taking the Bohai Sea Rim region as an example. Geogr. Res. 2015, 34, 1077–1087. [Google Scholar]
- Long, H.L.; Liu, Y.S.; Zou, J. Rural development types and their rurality evaluation in eastern coastal areas of China. Acta Geogr. Sin. 2009, 64, 426–434. [Google Scholar]
- Wu, Y.K.; Luo, J.; Luo, M.H.; Tian, L.L.; Jiang, L.; Chen, S.Y. A study on the spatial pattern of rural settlements around metropolitan areas: Wuhan City as an example. Resour. Environ. Yangtze Basin 2022, 31, 37–48. [Google Scholar]
- Zhu, S.Y.; Kong, X.S.; Jiang, P. Identification of the human-land relationship involved in the urbanization of rural settlements in Wuhan city circle. China J. Rural Stud. 2020, 77, 75–83. [Google Scholar] [CrossRef]
- Lin, J.P.; Lei, J.; Wu, S.X.; Yang, Z.; Li, J.G. Spatial distribution characteristics of rural settlements in Xinjiang Oasis and its influencing factors. Geogr. Res. 2020, 39, 1182–1199. [Google Scholar]
- Tian, D.R.; Tang, H.; Tan, J.B. Study on the suitable spatial pattern of settlements in the hilly and ravine areas of the Loess Plateau in northern Shaanxi Province: The case of Donggou, Mili County. Arid. Land Geogr. 2022, 45, 263–276. [Google Scholar]
- Chen, S.; Mehmood, M.S.; Liu, S.; Gao, Y. Spatial Pattern and Influencing Factors of Rural Settlements in Qinba Mountains, Shaanxi Province, China. Sustainability 2022, 14, 10095. [Google Scholar] [CrossRef]
- Fan, X.; Luo, W.X.; Yu, H.R.; Rong, Y.; Gu, X.; Zheng, Y.; Ou, S.; Tiando, D.S.; Zhang, Q.; Tang, G.; et al. Landscape Evolution and Simulation of Rural Settlements around Wetland Park Based on MCCA Model and Landscape Theory: A Case Study of Chaohu Peninsula, China. Int. J. Environ. Res. Public Health 2021, 18, 13285. [Google Scholar] [CrossRef]
- Shahi, D.K. Distribution of rural settlements in the high himalayan region: A case study of har ki dun. ACADEMICIA Int. Multidiscip. Res. J. 2021, 11, 285–294. [Google Scholar] [CrossRef]
- Li, Y.Q.; Qi, W.; Wang, D.; Yan, Y.; Lu, C.; Wang, N.N.; Qin, T. A study on the distribution characteristics of rural settlements in mountainous counties with the support of GIS--Qixia City as an example. Geogr. Geogr. Inf. Sci. 2011, 27, 73–77. [Google Scholar]
- Xu, J. Adaptive Conservation and Construction of Habitat in Plateau-Mountain Areas; Science Press: Beijing, China, 2021. (In Chinese) [Google Scholar]
- Zhao, L.; Zhao, Z.Q. A study on the spatial differentiation of China’s economy based on characteristic ellipses. Sci. Geogr. Sin. 2014, 34, 979–986. [Google Scholar]
- Ren, P.; Hong, B.T.; Liu, Y.; Zhou, J.M. Study on Spatial Change Characteristics and Landscape Pattern of rural Settlements Based on RS and GIS. Acta Ecol. Sin. 2014, 34, 3331–3340. [Google Scholar]
- Xi, C.B.; Qian, T.L.; Chi, Y.; Chen, J.; Wang, J.C. Relationship between settlements and topographical factors: An example from Sichuan Province, China. J. Mt. Sci. 2018, 15, 2043–2054. [Google Scholar] [CrossRef]
- Wang, J.; Zhang, J.; Dai, W.; Zhang, H.P.; Zhou, L. Study on the spatial pattern of poverty and topographic influencing factors in counties on the Loess Plateau. Areal Res. Dev. 2020, 39, 30–35+52. [Google Scholar]
- Liu, Y.; Deng, W.; Song, X.Q. Relief Degree of Land Surface and Population Distribution of Mountainous Areas in China. J. Mt. Sci. 2015, 12, 518–532. [Google Scholar] [CrossRef]
- Yang, H.Y. Study on the Altitude Classification of Habitat Suitability in China. Master’s Thesis, Nanjing Normal University, Nanjing China, 2013. (In Chinese). [Google Scholar]
- TD/T 1014-2007; Technical Regulations for the Second National Land Survey. China Standard Press: Beijing, China, 2007.
- Yang, X.; Pu, F. Spatial Cognitive Modeling of the Site Selection for Traditional Rural Settlements: A Case Study of Kengzi Village, Southern China. J. Urban Plan. Dev. 2020, 146, 05020026. [Google Scholar] [CrossRef]
- Yang, G.Q. Characteristics of Spatial Wholeness of Traditional Settlements in China and Their Sociological Significance. J. Tongji Univ. 2014, 25, 60–68. [Google Scholar]
- Ying, L.; Wei, D.; Li, P. The coupling mechanism between the suitable space and rural settlements considering the effect of mountain hazards in the upper Minjiang River basin. J. Mt. Sci. 2020, 17, 2774–2783. [Google Scholar]






| Method Name | Formula | Meaning |
|---|---|---|
| Average Nearest Neighbour Index (ANN) | Where: is the observed value of the mean distance between the nearest neighbors of the cluster. is the expected value assuming a random distribution? is the distance to the nearest neighbor of the ith rural settlement, m; A is the total area of the settlement, and m²; n is the total number of settlements [38]. | |
| Kernel Density Estimation (KDE) | where: f(x, y) is the density estimate located at position (x, y); n is the observed value; h is the bandwidth or smoothing parameter; k is the kernel function; and di is the distance of position (x, y) from the ith observed position. |
| Terrain Factor | Classifying | Quantity | Land Area Percentage |
|---|---|---|---|
| Altitude | <1000 m | 9993 | 8.56% |
| 1000~1500 m | 36,676 | 23.07% | |
| 1500~2000 m | 63,692 | 31.22% | |
| 2000~2500 m | 29,255 | 21.30% | |
| 2500~3000 m | 5011 | 7.55% | |
| >3000 m | 925 | 8.30% | |
| Slope | Flat slope (0°~5°) | 22,064 | 8.36% |
| Gentle slope (5°~10°) | 33,254 | 11.24% | |
| Ramp (10°~15°) | 35,361 | 14.64% | |
| Steep slope (15°~25°) | 43,785 | 33.02% | |
| Rapid slope (>25°) | 11,088 | 32.73% | |
| Aspect | Flat (−1) | 916 | 0.79% |
| N (0~45°, 315°~360°) | 34,554 | 25.71% | |
| E (45°~135°) | 37,302 | 23.20% | |
| S (135°~225°) | 39,401 | 27.05% | |
| W (225°~315°) | 33,379 | 23.25% | |
| Relief Amplitude | Slight terrain relief (0~95 m) | 42,907 | 19.38% |
| Low terrain relief (95~166 m) | 49,891 | 32.11% | |
| Moderate terrain relief (66~241 m) | 37,910 | 28.10% | |
| High terrain relief (241~343 m) | 13,077 | 15.33% | |
| Ultra-high terrain relief (>343 m) | 1767 | 5.07% | |
| Incision Depth | Slight Incision Depth (0~45 m) | 53,525 | 20.80% |
| Low Incision Depth (45~86 m) | 51,277 | 35.21% | |
| Moderate Incision Depth (86~128 m) | 30,475 | 26.48% | |
| High Incision Depth (128~185 m) | 9086 | 13.64% | |
| Ultra-high Incision Depth (>185 m) | 1189 | 3.87% | |
| Surface roughness | Slight Surface roughness (1.0~1.1) | 130,975 | 66.16% |
| Low Surface roughness (1.1–1.2) | 12,120 | 21.34% | |
| Moderate Surface roughness (1.2~1.3) | 1783 | 7.58% | |
| High Surface roughness (1.3~1.4) | 446 | 2.77% | |
| Ultra-high Surface roughness (>1.4) | 228 | 2.15% |
Disclaimer/Publisher’s Note: The statements, opinions and data contained in all publications are solely those of the individual author(s) and contributor(s) and not of MDPI and/or the editor(s). MDPI and/or the editor(s) disclaim responsibility for any injury to people or property resulting from any ideas, methods, instructions or products referred to in the content. |
© 2023 by the authors. Licensee MDPI, Basel, Switzerland. This article is an open access article distributed under the terms and conditions of the Creative Commons Attribution (CC BY) license (https://creativecommons.org/licenses/by/4.0/).
Share and Cite
Xu, J.; Zheng, L.; Ma, R.; Tian, H. Correlation between Distribution of Rural Settlements and Topography in Plateau-Mountain Area: A Study of Yunnan Province, China. Sustainability 2023, 15, 3458. https://doi.org/10.3390/su15043458
Xu J, Zheng L, Ma R, Tian H. Correlation between Distribution of Rural Settlements and Topography in Plateau-Mountain Area: A Study of Yunnan Province, China. Sustainability. 2023; 15(4):3458. https://doi.org/10.3390/su15043458
Chicago/Turabian StyleXu, Jian, Liangjun Zheng, Ruiqu Ma, and Han Tian. 2023. "Correlation between Distribution of Rural Settlements and Topography in Plateau-Mountain Area: A Study of Yunnan Province, China" Sustainability 15, no. 4: 3458. https://doi.org/10.3390/su15043458
APA StyleXu, J., Zheng, L., Ma, R., & Tian, H. (2023). Correlation between Distribution of Rural Settlements and Topography in Plateau-Mountain Area: A Study of Yunnan Province, China. Sustainability, 15(4), 3458. https://doi.org/10.3390/su15043458
