Abstract
The problem of soil heavy metal pollution caused by coal gangue accumulation areas is becoming more and more serious. In situ plant remediation technology has become one of the most promising methods to solve heavy metal soil pollution due to its advantages of the green economy. In this experiment, the characteristics of heavy metal pollution in the shallow soil (vertical depth 0~20 cm) 300 m outside the square circle of a typical coal gangue accumulation area in the Fengfeng Mining Area of Hebei Province, China were used as the prototype. Alfalfa and ryegrass were selected as the test plants. Pot experiments were carried out at different heavy metal concentrations (Cu:14/64/100 mg/kg, Pb:15/38/170 mg/kg, Cd:1/4/8 mg/kg) levels to study and reveal the effects of single and compound soil heavy metal pollution on seed germination and seedling growth characteristics of alfalfa and ryegrass. The results showed that: (1) Under the condition of single Cd pollution, the germination index of alfalfa seeds and the germination potential of ryegrass seeds show a trend of “low concentration promotion and high concentration inhibition”. Under the condition of single Pb and Cu pollution in soil, the germination indices show obvious inhibition and damage effect; that is, with an increase in concentration, the germination rate, germination potential, germination potential, and vigor index show a decreasing trend. When Pb is 170 mg/kg or Cu is 100 mg/kg or Cd is 8 mg/kg, the inhibitory effect on seed germination and seedling growth of the two plants is the most harmful. (2) Due to the different concentrations of heavy metal combined pollution, there are synergistic or antagonistic effects between Cu, Pb and Cd in soil on alfalfa and ryegrass. That is to say, under low concentrations of heavy metal pollution, the inhibitory effect of combined stress is greater than that of single stress, and under high concentration of heavy metal pollution, the inhibitory effect of combined stress is less than that of single stress. (3) Whether in the single pollution or combined pollution of soil, ryegrass is always more tolerant than alfalfa, indicating that ryegrass has more potential for remediation.
1. Introduction
The latest research shows that 70~80% of China’s total annual carbon dioxide emissions come from the development and utilization of coal resources [1,2,3], which means that whether the coal industry can successfully achieve “carbon peak” and “carbon neutralization” determines the completion of the national “double carbon target” on schedule. Therefore, as the ballast and stabilizer of China’s energy security, the coal resources must greatly improve their efficiency and reduce carbon at the “carbon source” end, and vigorously promote the precise restoration of the ecological environment in the coal mining damaged areas at the “carbon sink” end [4]. The soil heavy metal pollution in the coal gangue accumulation area is one of the representative and universal ecological damage problems of coal mining [1,5]. Due to the long mining time and large mining scale in the Fengfeng Mining Area of Handan City, Hebei Province, China, there are more than 20 coal gangue hills, with a total stock of more than 55.891 million tons, an area of more than 179.37 hm2, and a storage time of 23–72 years [6]. The exposed stockpiling of coal gangue will not only occupy a large amount of valuable land resources, but also continuously release CO2, CH4 and other greenhouse gases into the atmosphere through spontaneous combustion. More importantly, many heavy metals such as Cd, Cu, Pb, Hg, Cr, As, Mn and Ni in coal gangue will migrate and diffuse to the surrounding soil under the effects of weathering and leaching, causing serious heavy metal soil pollution [7,8]. Once heavy metal pollution occurs in the soil, it will inevitably weaken the soil “carbon sink” function. Studies have shown that the rapid development of industry and mining has led to an increasing area of heavy metal pollution in farmland. Heavy metal pollution in soil has reduced the community structure and diversity of soil bacteria, which will affect the mineralization and decomposition intensity of soil microbial community to organic carbon, and may have an important impact on soil carbon sequestration potential in the long term [9,10,11]. The heavy metals Cu, Pb and Cd in the range of 100 m from a coal gangue dump in the Fengfeng Mining Area will increase the potential ecological risk of soil. The total amount of heavy metals in the soil beyond 300 m from the coal gangue dump can return to the natural background value, which is the ecological safety limit [12]. Different heavy metals have different effects on the stability of soil organic carbon; Pb shows antagonism with Cu and Cd, but its combined effect makes the stability of soil organic carbon decrease, which is not conducive to the fixation and accumulation of soil organic carbon [13].
At present, phytoremediation has become a research hotspot in soil heavy metal pollution treatment and remediation because of its low cost, easy operation, stable effect and other advantages [14,15], especially the use of hyperaccumulators to control soil heavy metal pollution develops fastest [16,17]. Gou et al. [18] found that centipede grass is a hyperaccumulator of As, Solanum nigrum is a hyperaccumulator of Cd, and Drill Leaf Aster is a hyperaccumulator of Cu and Zn. Guo et al. [19] found that herba lagopsis has a strong ability to enrich and transport Pb, and is a lead hyperaccumulator. However, because most of the hyperaccumulators belong to wild herbaceous plants, they grow slowly and have small biomass, which limits their ability to extract heavy metals from soil. Therefore, herbage plants have gradually become another choice for the phytoremediation of heavy metal contaminated soil because of their large biomass, rapid growth, high tolerance and enrichment ability to heavy metals, and the ability to absorb a variety of heavy metal elements at the same time [20]. Until now, dozens of forage grasses have been used for the phytoremediation of heavy metal contaminated soil around the world, such as alfalfa, perennial ryegrass, etc. [21]. Zhang et al. [22,23] found that perennial ryegrass has a certain tolerance to Pb, Zn and Cd stress. Jia et al. [24] found that alfalfa has a good remediation efficiency for Cu and Zn contaminated soil. In addition, seed germination is the earliest response period of plants to external conditions, and it is the premise of whether plants can repair the contaminated soil in the coal mine area. The quality of plant seedlings during the development period will directly affect the subsequent growth and development of plants, and the absorption and enrichment ability of heavy metals [25,26].
In view of this, this study is based on the heavy metal pollution characteristics of shallow soil (vertical depth 0~20 cm) 300 m away from the typical coal gangue accumulation area in the Fengfeng Mining Area of Hebei Province. Through pot experiments, the effects of heavy metal pollution in single and compound soils on seed germination and seedling growth characteristics of alfalfa and ryegrass were revealed. This study provides a scientific basis for in situ phytoremediation of soil contaminated by heavy metals in coal gangue accumulation area.
2. Materials and Methods
2.1. Test Materials
The test soil is the surface layer (0~20 cm) of a typical coal gangue accumulation area (specific coordinates are 114°16′2.91″ E, 36°29′35.41″ N) 300 m away from the upwind direction (i.e., northwest direction) in Fengfeng Mining Area, Handan City, Hebei Province, China. In this area, the soil type is loess with a pH of about 8.03, and the main polluting elements are Cu, Pb, Cd, etc. [27,28,29]. Within 100 m of the typical coal gangue hill in Fengfeng Mining Area, the total amount of Cu in the topsoil reaches 64.12 mg/kg, the total amount of Pb reaches 38.38 mg/kg, and the total amount of Cd reaches 8.21 mg/kg, which has far exceeded the original background value of the soil [12,28]. The potential ecological risk factors of Cu, Pb and Cd are 32.1, 58.2 and 98.5, respectively, according to the calculation method proposed by Håkanso [30]. According to the study of Ma [31] and others, the level of potential ecological risk factor is adjusted. It can be seen that the potential ecological risk of these three heavy metals has exceeded the medium level within 100 m from the coal gangue hill, which will not only interfere with the various processes of plant life metabolism but also seriously threaten the stable development of plant communities and the quality and safety of agricultural products. However, in the soil beyond 300 m from the coal gangue hill, the contents of heavy metals Cu, Pb and Cd return to the background value, there is no heavy metal pollution in the soil, and the plants show normal growth status. Therefore, reducing the content of Cu, Pb and Cd in the soil within 300 m around the coal gangue hill through the enrichment of plants on heavy metals can improve the safety of soil quality, ensure the quality and safety of crops, and reduce the potential harm to human health. The detection shows that the background values of Cu, Pb and Cd are 0.53 mg/kg, 0.63 mg/kg and 0.01 mg/kg respectively.
The alfalfa variety tested is “Gannong No.1” with a germination rate of 85%, and the seeds are produced by China Binzhou Haida Agricultural Company. The variety of ryegrass is perennial ryegrass with a germination rate of 98%, and the seeds are produced by Guangzhou Geli Grass Industry Co., Ltd. (Guangzhou, China).
2.2. Test Methods
2.2.1. Experimental Scheme
The seed germination experiment was conducted by soil culture (pot culture). The experiment was carried out in a small gallon basin with a uniform specification (15 cm × 14 cm). Each basin added 1.5 kg of soil samples. Cd(NO3)2, Pb(NO3)2 and Cu(NO3)2 solutions were used as heavy metal sources, sprayed on the soil surface to make it evenly distributed, and covered with plastic wrap for 4 weeks. Later, select alfalfa and ryegrass seeds were sowed on the wet soil surface, 30 seeds per pot. The soil moisture content in the pot was maintained between 60% and 70% by weighing method and placed on the test bench in the laboratory (Figure 1). Record the number of germinated seeds and the growth status of seedlings every day until the 15th day.
Figure 1.
Potting test steps.
2.2.2. Experimental Design
Some scholars have studied the actual situation of heavy metal pollution in the soil around the coal gangue accumulation area in the Fengfeng Mining Area [12,28], and found that the content of heavy metal Cu in the soil within 300 m of a coal gangue accumulation area in Fengfeng Mining Area is between 14 mg/kg and 64 mg/kg, the content of Pb is between 15 mg/kg and 38 mg/kg, and the content of Cd is between 4 mg/kg and 8 mg/kg. Based on the measured values (minimum and maximum values) and in combination with the risk screening values in the Soil Environmental Quality Risk Control Standards for Agricultural Land Soil Pollution (Trial) (GB 15618-2018), three concentration gradients of heavy metals Cu, Pb and Cd pollution in pot experiments are selected and set in order from small to large, as shown in Table 1.
Table 1.
Three heavy metal concentration settings.
L9 (33) was selected for the orthogonal test of three factors and three levels for combined heavy metal pollution. Nine groups of Cu-Pb-Cd combined pollution tests were designed for alfalfa and ryegrass, respectively, and the concentration settings were as follows: F1:Cu14Pb15Cd1, F2:Cu14Pb38Cd4, F3:Cu14Pb170Cd8, F4:Cu64Pb15Cd4, F5:Cu64Pb38Cd8, F6:Cu64Pb170Cd1, F7:Cu100Pb15Cd8, F8:Cu100Pb38Cd1, F9:Cu100Pb170Cd4.
There were three replicates in each experimental group, and three blank control groups (CK) were set up in each group. The CK group selected the soil in the study area without artificially adding any heavy metals for the pot experiment. The contents of Cu, Pb and Cd are 0.53 mg/kg, 0.63 mg/kg and 0.01 mg/kg in the study area, respectively.
3. Results and Analysis
Under different types of soil heavy metal pollution conditions, the growth status of alfalfa and ryegrass on the 15th day is shown in Table 2.
Table 2.
Growth status of alfalfa and ryegrass on the 15th day.
The range analysis results of the average germination rate, average germination index, average germination potential and average vigor index of alfalfa and ryegrass seeds under the condition of soil Cu Pb Cd combined pollution are shown in Table 3:
Table 3.
Range calculation results of Cu-Pb-Cd combined pollution in soil.
3.1. Seed Germination Rate
Germination rate (GR) is an important indicator to measure the germination ability of seeds under pollutant stress. The calculation formula is:
The n1 is the number of seeds germinated on the 8th day of alfalfa or the 6th day of ryegrass, and the N is the total number of tested seeds.
The seed germination rates (GR) of alfalfa and ryegrass under single Pb, Cd and Cu pollution and Cu-Pb-Cd combined pollution are shown in Figure 2.
Figure 2.
Comparison of germination rate of alfalfa and ryegrass under single and combined pollution of heavy metals in soil. (a) Heavy metal Cu pollution, (b) Heavy metal Pb pollution, (c) Heavy metal Cd pollution, (d) Cu-Pb-Cd combined pollution. If there are the same marker letters, the difference between the groups of data is not significant. If there are different marker letters, the difference between groups of data is significant.
As can be seen from Figure 2, relative to CK.
(1) Single soil heavy metal pollution can lead to the decrease in the germination rates of alfalfa and ryegrass seeds, and the higher the concentration of heavy metals, the more obvious the decline, and the lower the survival rate of seeds. Specifically, when the concentration of heavy metal Cu in soil increased from 0.53 mg/kg to 14 mg/kg, 64 mg/kg and 100 mg/kg respectively, the germination rate of alfalfa seed decreased by 10.0%, 32.8% (P < 0.05), 53.7% (P < 0.05), and the germination rate of ryegrass seed decreased by 5.6% (P < 0.05), 7.9% (P < 0.05), 19.1% (P < 0.05). When the concentration of heavy metal Pb in soil increased from 0.63 mg/kg to 15 mg/kg, 38 mg/kg and 170 mg/kg, the germination rate of alfalfa seed decreased by 22.1% (P < 0.05), 24.8% (P < 0.05), 50.3% (P < 0.05), and the germination rate of ryegrass seed decreased by 2.2%, 10.1% (P < 0.05), 22.5% (P < 0.05); When the concentration of heavy metal Cd in the soil increased from 0.01 mg/kg to 1 mg/kg, 4 mg/kg and 8 mg/kg, the germination rate of alfalfa seed decreased by 8.6%, 20.7% (P < 0.05), 35.5% (P < 0.05), and the germination rate of ryegrass seed decreased by 3.4%, 10.1% (P < 0.05), 18.0% (P < 0.05). It can be seen that first, with the increase of the concentration of any kind of heavy metals in the soil, the germination rate of alfalfa and ryegrass seeds will decline in varying degrees and the higher the concentration of heavy metals in the soil, the lower the germination rate of seeds. Secondly, the survival of alfalfa seeds is very sensitive to Pb stress with concentration ≥ 15 mg/kg, and had better tolerance to Cd stress with concentration ≤1 mg/kg and Cu stress with concentration ≤14 mg/kg; The survival of ryegrass seeds is very sensitive to Cu stress with concentration ≥14 mg/kg, and has good tolerance to Pb stress with concentration ≤15 mg/kg and Cd stress with concentration ≤1 mg/kg. Therefore, the survival and germination ability of ryegrass seeds under the same single type of soil heavy metal pollution stress is better than that of alfalfa; Third, Pb is the most effective heavy metal element in inhibiting the survival and germination of alfalfa and ryegrass seeds.
(2) The combined heavy metal pollution of soil can lead to the decline of the germination rate of alfalfa and ryegrass seeds. Under F1 to F9 combined pollution stress, the germination rate of alfalfa seed decreased by 25.0%, 34.7%, 39.5%, 40.1%, 32.3%, 39.8%, 34.2%, 37.1%, 40.6% respectively, reaching significant difference (P < 0.05). The germination rate of ryegrass seeds decreased by 1.1%, 9.0%, 14.6%, 9.0%, 9.0%, 16.9%, 7.9%, 10.1%, 11.2% in turn, and only F3 (Cu14Pb170Cd8), F6 (Cu64Pb170Cd1) decreased significantly (P < 0.05). It can be seen that first, the survival and germination ability of ryegrass seeds under the same complex soil heavy metal pollution stress is significantly better than that of alfalfa. Secondly, based on the range analysis (Table 3), the compound types with the largest inhibition effect on the survival and germination of alfalfa and ryegrass seeds are Cu64Pb170Cd4 and Cu64Pb170Cd8, respectively.
(3) The inhibition effect of Cu, Pb, and Cd on the survival and germination of alfalfa and ryegrass seeds under combined pollution is transformed with the increase of concentration. Specifically, when the concentration of Cu ≤ 64 mg/kg, the concentration of Cd ≤ 38 mg/kg, or the concentration of Cd ≤ 4 mg/kg in the soil, the inhibitory effect of the combined pollution on the survival and germination of alfalfa seeds is significantly higher than that of the single pollution, and the average decline of the germination rate is increased by 13.9%, 10.5%, 21.6%, respectively. At this time, Cu, Pb, and Cd show a significant synergistic effect. When the concentration of Cu ≥ 100 mg/kg or the concentration of Cd ≥ 170 mg/kg in the soil, the inhibitory effect of the combined pollution on the survival and germination of alfalfa seeds is significantly lower than that of the single pollution, and the decline of the germination rate is reduced by 16.4% and 10.3%, respectively. At this time, Cu, Pb, and Cd show obvious antagonism. When the concentration of Cd in soil is ≥ 8 mg/kg, the inhibitory effect of combined pollution on the survival and germination of alfalfa seeds is basically equivalent to that of a single type of Cd pollution. When the concentration of Cu ≤ 64 mg/kg or the concentration of Pb ≤ 15 mg/kg or the concentration of Cd ≤ 1 mg/kg in the soil, the inhibitory effect of the combined pollution on the survival and germination of ryegrass seeds is slightly higher than that of the single pollution, and the average decline of the germination rate is increased by 3.2%, 3.8% and 6.0%, respectively. At this time, Cu, Pb and Cd show a certain synergistic effect. When the concentration of Cu ≥ 100 mg/kg, the concentration of Cd ≥ 38 mg/kg, or the concentration of Cd ≥ 4 mg/kg in the soil, the inhibitory effect of the combined pollution on the survival and germination of ryegrass seeds is slightly lower than that of the single pollution, and the decline of the germination rate is reduced by 9.4%, 4.5% and 4.0%, respectively. At this time, Cu, Pb and Cd show a certain antagonistic effect. It can be seen that first, with the increase of the concentration of heavy metals in the soil, the inhibition of the soil heavy metals Cu, Pb, Cd on the survival and germination of alfalfa and ryegrass seeds under the condition of combined pollution change from synergism to antagonism. Secondly, the survival and germination ability of alfalfa seeds is significantly more sensitive to the change of soil heavy metal pollution types than ryegrass.
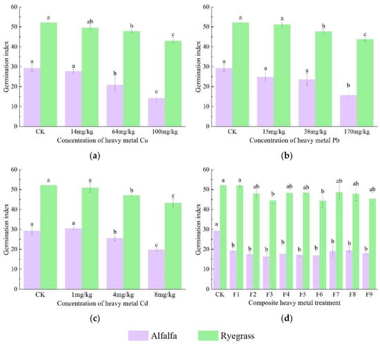
3.2. Seed Germination Index
The germination index (GI) represents the seed germination speed. The calculation formula is:
The Gt is the number of germinated seeds on the “t” day, and the Dt is the corresponding number of germination days
The seed germination indexes (GI) of alfalfa and ryegrass under single Pb, Cd and Cu pollution and Cu-Pb-Cd combined pollution are shown in Figure 3.
Figure 3.
Comparison of germination index of alfalfa and ryegrass under single and combined pollution of heavy metals in soil. (a) Heavy metal Cu pollution, (b) Heavy metal Pb pollution, (c) Heavy metal Cd pollution, (d) Cu-Pb-Cd combined pollution. If there are the same marker letters, the difference between the groups of data is not significant. If there are different marker letters, the difference between groups of data is significant.
As can be seen from Figure 3, relative to CK.
(1) The single type of heavy metal Cu and Pb soil pollution can lead to the decline of alfalfa seed germination index, and the higher the concentration of heavy metals, the more obvious the decline, and the slower the seed germination speed, while the heavy metal Cd soil pollution can lead to the alfalfa seed germination index showing a trend of first rising and then declining. The single type of heavy metal soil pollution can cause the germination index of ryegrass seeds to decline, and the higher the concentration of heavy metals, the more obvious the decline, and the slower the seed germination speed. Specifically, when the concentration of heavy metal Cu in soil increased from 0.53 mg/kg to 14 mg/kg, 64 mg/kg and 100 mg/kg, respectively, the germination index of alfalfa seed decreased by 5.4%, 28.8% (P < 0.05), 51.7% (P < 0.05), and the germination index of ryegrass seed decreased by 5.0%, 8.1% (P < 0.05), 17.4% (P < 0.05). When the concentration of Pb in soil increased from 0.63 mg/kg to 15 mg/kg, 38 mg/kg and 170 mg/kg, the germination index of alfalfa seed decreased by 15.1%, 19.6% and 46.3% respectively (P < 0.05), and that of ryegrass seed decreased by 1.7%, 8.4% (P < 0.05) and 16.1%, respectively (P < 0.05). When the concentration of heavy metal Cd in soil increased from 0.01 mg/kg to 1 mg/kg, 4 mg/kg and 8 mg/kg, respectively, the germination index of alfalfa seed first increased by 4.3%, then decreased by 12.6% (P < 0.05), 32.5% (P < 0.05), and the germination index of ryegrass seed decreased by 2.4%, 9.5% (P < 0.05), 16.7% (P < 0.05). It can be seen that first, with the increase of the concentration of heavy metals Cu and Pb in the soil, the germination index of alfalfa and ryegrass seeds will decline in varying degrees, and the higher the concentration of heavy metals in the soil, the lower the germination index of seeds. However, Cd pollution in soil would lead to the germination index of alfalfa seeds rising first and then decreasing, while the germination index of ryegrass seeds decreased with the increase of heavy metal concentration in soil. Secondly, the germination rate of alfalfa seeds has good tolerance to Cu ≤ 14 mg/kg, Pb ≤ 38 mg/kg and Cd ≤ 1 mg/kg; The germination rate of ryegrass seeds has good tolerance to Cu ≤ 14 mg/kg, Pb ≤ 15 mg/kg and Cd ≤ 1 mg/kg, but the decline of the germination index of ryegrass seeds shows that the germination rate of ryegrass seeds under the same single type of soil heavy metal pollution stress was slightly better than that of alfalfa. Thirdly, the heavy metal element with the largest inhibition effect on the germination speed of alfalfa and ryegrass seeds is Cu.
(2) The combined heavy metal pollution of soil will lead to the decline of the germination index of alfalfa and ryegrass seeds. Specifically, under F1 to F9 combined pollution stress, alfalfa seed germination index decreased by 33.8%, 39.9%, 44.2%, 39.8%, 41.0%, 42.2%, 34.6%, 33.2% and 38.5%, respectively, reaching a significant difference (P < 0.05). The germination index of ryegrass seed decreased by 0.2%, 7.9%, 14.5%, 7.3%, 7.0%, 14.9%, 6.5%, 8.1%, 12.8% in turn, and only F3 (Cu14Pb170Cd8), F6 (Cu64Pb170Cd1) decreased significantly (P < 0.05). It can be seen that first, the germination speed of ryegrass seeds under the same complex soil heavy metal pollution stress is obviously better than that of alfalfa. Secondly, based on the range analysis (Table 3), the compound type with the largest inhibition effect on the germination speed of alfalfa and ryegrass seeds is Cu64Pb170Cd8.
(3) The effect of Cu, Pb, Cd on the germination rate of alfalfa and ryegrass seeds under combined pollution is transformed with the increase of concentration. Specifically, when the concentration of Cu ≤ 64 mg/kg, the concentration of Cd ≤ 38 mg/kg, or the concentration of Cd ≤ 4 mg/kg in the soil, the inhibition effect of the combined pollution on the germination rate of alfalfa seeds is significantly higher than that of the single pollution, and the average decline of the germination index is increased by 10.4%, 12.1% and 18.7%, respectively. At this time, Cu, Pb and Cd show a significant synergistic effect; When the concentration of Cu ≥ 100 mg/kg or the concentration of Cd ≥ 170 mg/kg or the concentration of Cd ≥ 8 mg/kg in the soil, the inhibition effect of the combined pollution on the germination rate of alfalfa seeds is significantly lower than that of the single pollution, and the decline of the germination index is reduced by 30.3%, 20.6% and 7.4%, respectively. At this time, Cu, Pb and Cd show significant antagonism. When the concentration of Cu ≤ 64 mg/kg or the concentration of Pb ≤ 15 mg/kg or the concentration of Cd ≤ 1 mg/kg in the soil, the inhibition effect of combined pollution on the germination rate of ryegrass seeds is slightly higher than that of single pollution, and the average decline of germination index increased by 2.1%, 2.9% and 5.4%, respectively. At this time, Cu, Pb and Cd show a certain synergistic effect; When the concentration of Cu ≥ 100 mg/kg, the concentration of Cd ≥ 38 mg/kg, or the concentration of Cd ≥ 8 mg/kg in the soil, the inhibition effect of the combined pollution on the germination rate of ryegrass seeds is slightly lower than that of the single pollution, and the decline of the germination index is reduced by 8.3%, 1.4% and 7.4%, respectively. At this time, Cu, Pb and Cd show a certain antagonism. When the concentration of Cd in soil is 4 mg/kg, the inhibition effect of combined pollution on the germination rate of ryegrass seeds is basically equivalent to that of a single type of Cd pollution. It can be seen that first, with the increase of soil heavy metal concentration, the inhibition of soil heavy metals Cu, Pb and Cd on the germination rate of alfalfa and ryegrass seeds under the condition of combined pollution change from synergism to antagonism. Secondly, the survival and germination ability of alfalfa seeds is significantly more sensitive to the change of soil heavy metal pollution types than ryegrass.
3.3. Seedling Germination Potential
Germination potential (GP) is the main indicator to detect the uniformity of seedlings after seed germination. The calculation formula is:
The n2 is the number of seeds germinated on the 5th day of alfalfa or the 3rd day of ryegrass, and the N is the total number of tested seeds.
The germination potential (GP) of alfalfa and ryegrass seedlings under single Pb, Cd and Cu pollution and Cu-Pb-Cd combined pollution are shown in Figure 4.
Figure 4.
Comparison of germination potential of alfalfa and ryegrass under single and combined pollution of heavy metals in soil. (a) Heavy metal Cu pollution, (b) Heavy metal Pb pollution, (c) Heavy metal Cd pollution, (d) Cu-Pb-Cd combined pollution. If there are the same marker letters, the difference between the groups of data is not significant. If there are different marker letters, the difference between groups of data is significant.
As can be seen from Figure 4, relative to CK.
(1) The single type of heavy metal soil pollution will lead to the decline of the germination potential of alfalfa seedlings, and the higher the concentration of heavy metals, the more obvious the decline, the more serious the damage to the health and neat degree of seedlings; uneven and weak emergence. The single type of soil heavy metal Cu and Pb pollution will lead to the decline of the germination potential of ryegrass seedlings, and the higher the concentration of heavy metals, the more obvious the decline, the more serious the damage to the healthy and neat degree of the seedlings, while the soil heavy metal Cd pollution will lead to the germination potential of ryegrass seedlings showing a trend of first rising and then declining. Specifically, when the concentration of heavy metal Cu in soil increased from 0.53 mg/kg to 14 mg/kg, 64 mg/kg and 100 mg/kg, respectively, the germination potential of alfalfa seedlings decreased by 24.5%, 35.1% (P < 0.05), 65.8% (P < 0.05), and that of ryegrass seedlings decreased by 3.9%, 9.0% (P < 0.05), 12.8% (P < 0.05). When the concentration of Pb in soil increased from 0.63 mg/kg to 15 mg/kg, 38 mg/kg and 170 mg/kg, the germination potential of alfalfa seedlings decreased by 18.4%, 31.5% and 62.3%, respectively (P < 0.05), and that of ryegrass seedlings decreased by 2.6%, 9.0% (P < 0.05) and 18.0%, respectively (P < 0.05). When the concentration of heavy metal Cd in soil increased from 0.01 mg/kg to 1 mg/kg, 4 mg/kg and 8 mg/kg respectively, the germination potential of alfalfa seedlings decreased by 8.7%, 29.8% and 47.3% (P < 0.05), while that of ryegrass seedlings increased by 1.3%, and then decreased by 10.3% (P < 0.05) and 12.8% (P < 0.05). It can be seen that first, with the increase of the concentration of heavy metals Cu and Pb in the soil, the germination potential of alfalfa and ryegrass seedlings will decline in varying degrees, and the higher the concentration of heavy metals in the soil, the lower the germination potential of seedlings. However, Cd pollution in the soil will cause the germination potential of ryegrass seedlings to increase first and then decrease, while that of alfalfa seedlings will decrease with the increase of heavy metal concentration in soil. Secondly, the growth and uniformity of alfalfa seedlings have good tolerance to Cu ≤ 14 mg/kg, Pb ≤ 38 mg/kg and Cd ≤ 4 mg/kg stress; The growth and uniformity of ryegrass seedlings have good tolerance to Cu concentration ≤ 14 mg/kg, Pb concentration ≤ 15 mg/kg and Cd concentration ≤ 1 mg/kg. As the average decline of the germination potential of ryegrass seedlings is lower than that of alfalfa, the growth and uniformity of ryegrass seedlings under the same single type of soil heavy metal pollution stress is generally better than that of alfalfa. Third, the heavy metal element with the greatest damage effect on the growth and regularity of alfalfa and ryegrass seedlings is Cu.
(2) The combined heavy metal pollution of soil will lead to the decline of the germination potential of alfalfa and ryegrass seedlings. Specifically, under F1 to F9 combined pollution stress, the germination potential of alfalfa seedlings decreased by 27.3%, 27.3%, 33.6%, 41.7%, 30.5%, 43.8%, 27.7%, 25.2%, 31.5%, respectively, and only F6 (Cu64Pb170Cd1) decreased significantly (P < 0.05). The germination potential of ryegrass seedlings decreased by 0.1%, 6.4%, 19.2%, 5.1%, 2.6%, 10.3%, 2.6%, 3.9% and 19.2%, respectively, and only F3 (Cu14Pb170Cd8) and F9 (Cu100Pb170Cd4) decreased significantly (P < 0.05). It can be seen that first, under the same complex soil heavy metal pollution stress, the seedling of ryegrass is stronger and more orderly than alfalfa. Secondly, based on the range analysis (Table 3), it is concluded that the compound type with the greatest damage effect on the growth and uniformity of alfalfa and ryegrass seedlings is Cu64Pb170Cd4 and Cu100Pb170Cd4 respectively.
(3) The inhibition effect of heavy metals Cu, Pb, Cd on the survival and germination of alfalfa and ryegrass seedlings under combined pollution is transformed with the increase of concentration. Specifically, when the concentration of Cu ≤ 64 mg/kg or the concentration of Cd ≤ 38 mg/kg or the concentration of Cd ≤ 4 mg/kg in the soil, the damage effect of the combined pollution on the growth and uniformity of alfalfa seedlings is significantly higher than that of the single pollution, and the average decline of germination potential is increased by 16.9%, 12.7%, 28.7%, respectively. At this time, Cu, Pb, Cd show a significant synergistic effect; When the concentration of Cu ≥ 100 mg/kg, the concentration of Cd ≥ 170 mg/kg, or the concentration of Cd ≥ 8 mg/kg in the soil, the damage effect of combined pollution on the growth and uniformity of alfalfa seedlings is lower than that of single pollution, and the decline of germination potential is reduced by 23.7%, 10.0% and 1.9%, respectively. At this time, Cu, Pb and Cd show obvious antagonism. When the concentration of Cu in soil is ≤14 mg/kg or the concentration of Cd is ≤1 mg/kg, the damage effect of combined pollution on the growth and uniformity of ryegrass seedlings is slightly higher than that of single pollution, and the average decline of germination potential is increased by 4.7% and 6.0%, respectively. At this time, Cu, Pb and Cd show a certain synergistic effect. When the concentration of Cu ≥ 64 mg/kg or the concentration of Pb ≥ 38 mg/kg or the concentration of Cd ≥ 8 mg/kg in the soil, the damage effect of combined pollution on the growth and uniformity of ryegrass seedlings is slightly lower than that of single pollution, and the decline of germination potential is reduced by 3.6%, 3.2% and 4.7%, respectively. At this time, Cu, Pb and Cd show a certain antagonism; When the concentration of Pd in soil is ≤15 mg/kg or the concentration of Cd is 4 mg/kg, the damage effect of combined pollution on the growth and uniformity of ryegrass seedlings is basically equivalent to that of a single type of Pd and Cd pollution. It can be seen that first, with the increase of soil heavy metal concentration, the effect of soil heavy metals Cu, Pb, Cd on the growth and regularity of alfalfa and ryegrass seedlings under the condition of combined pollution is transformed from synergism to antagonism. Secondly, the sensitivity of alfalfa seedling growth and uniformity to the change of soil heavy metal pollution type is significantly higher than that of ryegrass.
3.4. Seedling Vigor Index
The vigor index (VI) represents the vigorous growth and healthy degree of seedlings. The calculation formula is:
The GI is germination index, and the S is bud length (cm).
The vigor index of alfalfa and ryegrass seedlings under single Pb, Cd and Cu pollution and Cu-Pb-Cd combined pollution are shown in Figure 5.

Figure 5.
Comparison of vigor indexes of alfalfa and ryegrass under single and combined pollution of heavy metals in soil. (a) Heavy metal Cu pollution, (b) Heavy metal Pb pollution, (c) Heavy metal Cd pollution, (d) Cu-Pb-Cd combined pollution. If there are the same marker letters, the difference between the groups of data is not significant. If there are different marker letters, the difference between groups of data is significant.
As can be seen from Figure 5, relative to CK.
(1) The single type of soil heavy metal pollution will lead to the decline of vitality index of alfalfa and ryegrass seedlings, and the higher the concentration of heavy metals, the more obvious the decline, the more obvious the damage to the health of seedlings, the poorer the vitality of seedlings, the weaker resistance to diseases, insects, pests and other growth adverse factors, and it does not have good growth potential. Specifically, when the concentration of heavy metal Cu in soil increased from 0.53 mg/kg to 14 mg/kg, 64 mg/kg and 100 mg/kg respectively, the vitality index of alfalfa seedlings decreased by 11.4%, 35.9% (P < 0.05), 69.7% (P < 0.05), and that of ryegrass seedlings decreased by 7.7% (P < 0.05), 17.4% (P < 0.05), 25.3% (P < 0.05). When the concentration of Pb in soil increased from 0.63 mg/kg to 15 mg/kg, 38 mg/kg and 170 mg/kg, the vitality index of alfalfa seedlings decreased by 13.9%, 22.1% (P < 0.05), 62.1% (P < 0.05), and the vitality index of ryegrass seedlings decreased by 25.3% (P < 0.05), 33.3% (P < 0.05), 38.0% (P < 0.05). When the concentration of heavy metal Cd in soil increased from 0.01 mg/kg to 1 mg/kg, 4 mg/kg and 8 mg/kg, the vitality index of alfalfa seedlings decreased by 1.9%, 23.3% (P < 0.05), 50.0% (P < 0.05), and that of ryegrass seedlings decreased by 9.5% (P < 0.05), 23.1% (P < 0.05), 23.8% (P < 0.05), respectively. It can be seen that first, with the increase of the concentration of any kind of heavy metals in the soil, the vitality index of alfalfa and ryegrass seedlings will decline in varying degrees, and the higher the concentration of heavy metals in the soil, the lower the vitality index of seedlings. Secondly, the healthy growth of alfalfa seedlings has good tolerance to Cu ≤ 14 mg/kg, Pb ≤ 15 mg/kg and Cd ≤ 1 mg/kg; The healthy growth of ryegrass seedlings is very sensitive to Cu concentration ≥ 14 mg/kg, Pb concentration ≥ 15 mg/kg and Cd concentration ≥ 1 mg/kg. As the average decline of vitality index of ryegrass seedlings is lower than that of alfalfa, the healthy growth ability of ryegrass seedlings under the same single type of soil heavy metal pollution stress is better than that of alfalfa in general. Thirdly, Cu and Pb are the most harmful heavy metals to the healthy growth of alfalfa and ryegrass seedlings, respectively.
(2) Heavy metal pollution in complex soil will lead to the decline of vigor index of alfalfa and ryegrass seedlings. Specifically, under F1 to F9 combined pollution stress, the vitality index of alfalfa seedlings decreased by 57.6%, 61.0%, 60.2%, 52.6%, 56.3%, 56.7%, 45.3%, 43.5%, 58.9%, respectively, reaching a significant difference (P < 0.05). The vigor index of ryegrass seedlings decreased by 11.9%, 20.2%, 22.8%, 15.0%, 16.5%, 19.4%, 16.3%, 29.1% and 37.4%, respectively, showing significant difference (P < 0.05). It can be seen that: first, from the extent of the decline of the two plant activity indexes, the health status of ryegrass seedlings under the same compound soil heavy metal pollution stress is significantly better than that of alfalfa. Secondly, based on the range analysis (Table 3), the compound type with the largest effect on the health damage of alfalfa and ryegrass seedlings is Cu14Pb170Cd4.
(3) The effects of heavy metals Cu, Pb and Cd on the healthy growth of alfalfa and ryegrass seedlings under combined pollution were transformed with the increase of concentrations. Specifically, when the concentration of Cu ≤ 64 mg/kg, the concentration of Cd ≤ 38 mg/kg, or the concentration of Cd ≤ 8 mg/kg in the soil, the health damage effect of the combined pollution on alfalfa seedlings is significantly higher than that of the single pollution, and the average decline of the vitality index is increased by 33.7%, 34.7% and 29.6%, respectively. At this time, Cu, Pb and Cd show a significant synergistic effect; When the concentration of Cu ≥ 100 mg/kg or the concentration of Cd ≥ 170 mg/kg in the soil, the damage effect of the combined pollution on the health of alfalfa seedlings is significantly lower than that of the single pollution, and the decline of the vitality index is reduced by 20.4% and 3.6%, respectively. At this time, Cu, Pb and Cd show obvious antagonism. When Cu concentration in soil ≤ 14 mg/kg or Cu concentration ≥ 100 mg/kg or Cd concentration ≤ 4 mg/kg, the damage effect of combined pollution on the health of ryegrass seedlings is slightly higher than that of single pollution, and the average decline range of vitality index is increased by 10.6%, 2.3%, 5.8%, respectively. At this time, Cu, Pb, Cd show a certain synergistic effect. When the concentration of Pb in the soil is ≤170 mg/kg or the concentration of Cd is ≥8 mg/kg, the damage effect of the combined pollution on the health of ryegrass seedlings is slightly lower than that of the single type of pollution, and the decline of the vitality index decreased by 11.3% and 5.2%, respectively. At this time, Cu, Pb and Cd show a certain antagonism. When the concentration of Cu in soil is 64 mg/kg, the health damage effect of combined pollution on ryegrass seedlings is basically equivalent to that of single Cu pollution. It can be seen that first, with the increase of soil heavy metal concentration, the effect of soil heavy metals Cu, Pb, Cd on the healthy growth of alfalfa and ryegrass seedlings under the condition of combined pollution has changed from synergism to antagonism. Secondly, the potential resistance of alfalfa seedlings is significantly more sensitive to changes in soil heavy metal pollution types than ryegrass.
4. Discussion
In this pot experiment, plant seeds were sown after the initial concentration of heavy metal ions in the soil was configured once and aged for four weeks. With the germination of plant seeds and the growth of seedlings, the ionic heavy metal elements in the soil will continue to migrate and enrich the plant body. Although other forms of heavy metal in the soil can be converted and supplemented to the ionic state under the action of dynamic balance, their efficiency is not high. Therefore, under the influence of these two actions, the concentration of ionic heavy metal elements in the soil will decline with the extension of time, which is also the value of phytoremediation of heavy metal contaminated soil. The tolerance of plants under heavy metal stress is an important prerequisite for subsequent plant enrichment, and seed germination is the initial and most sensitive stage for plants to perceive heavy metal stress. Therefore, this paper studies the effect of heavy metals in soil on plant germination, and finds that alfalfa and ryegrass show certain tolerance to single and complex pollution of heavy metals Cu, Cd and Pb during seed germination; that is, low concentrations of heavy metals will not significantly reduce the germination rate, germination potential, germination potential and vigor index of alfalfa and ryegrass. At the same time, when the concentration of Cd in the soil is 1 mg/kg, the germination potential of alfalfa and ryegrass seeds will be promoted to varying degrees, however, with the increase of heavy metal concentration, its inhibition on seed germination began to highlight, which is basically consistent with the previous research results [32,33]. The reason may be that the low concentration of heavy metals can stimulate the stress resistance response of plants themselves, enhance the liquefaction and decomposition ability of plant endosperm, improve the physiological activity of seed embryos, and promote germination. Therefore, in morphology, there is a temporary increase in germination potential, germination potential and other phenomena [34]. Under the stress of high concentrations of Pb and Cd heavy metals, the self-defense mechanism of plants is destroyed, which damages the embryo and bud of seeds and inhibits the activities of amylase and protease in plants’ that is, it inhibits the decomposition of stored starch and protein in the seeds of repair plants, thus affecting the substances and capabilities required for seed germination [35], resulting in the inhibition of alfalfa and ryegrass seed germination. The high concentration of Cu ions enters the seed through the epidermis, inhibits the protective enzyme system in plant cells, weakens the ability to remove active oxygen, and causes peroxidation of plasma membrane [36,37,38], thus inhibiting the germination of alfalfa and ryegrass seeds. In this experiment, the germination indices of alfalfa and ryegrass seeds under different concentrations of heavy metals generally show a downward trend with the increase of concentration, which is basically consistent with the seed changes of hibiscus [39], mulberry [40] and Setaria viridis [41].
Heavy metals in soil usually do not exist alone, rather many kinds of heavy metal pollution exist at the same time and produce comprehensive effects. This study found that at low concentrations, the damage of single heavy metal pollution in soil to alfalfa and ryegrass seeds and seedlings was less than that of compound pollution, which showed that there was a synergistic effect among Cu, Pb and Cd which increased the toxicity to plants, which was consistent with the previous results of [40,41,42]. At high concentrations, the damage of single heavy metal to alfalfa and ryegrass is greater than that of compound pollution and there is antagonism between Cu, Pb and Cd, which is similar to the research results of Zhu [43,44]. The reason may be related to the ability of Cu, Pb and Cd to compete for biosorption sites. The binding ability of Cu and plant roots is stronger than that of Pb and Cd. Especially when the concentration is high, plant roots first absorb Cu, weakening the adsorption of other harmful heavy metals [45], and finally show antagonistic effect between various heavy metals. Under the condition of low concentration, adsorption is mainly specific adsorption, and there is no competition between ions and adsorption sites [46], or due to low concentrations there are many adsorption sites, and the competition is not obvious [47]. The three heavy metals show synergy. The reason may also be that Cu, as a trace element for plant growth, can alleviate the harm caused by foreign heavy metals to a certain extent. High concentrations of Pb and Cd require high concentrations of Cu to reduce the toxicity to plants [48]. At the same time, the availability of Pb in soil gradually decreases with the increase of Cd availability [49]. Under high concentrations of heavy metals in soil, the availability of Pb is low, and the absorption of harmful elements by plants decreases. Therefore, combined pollution with high concentrations of heavy metals will cause less damage to plants than single pollution. At low concentrations, the detoxification ability of Cu is small and the addition of the availability of Pb and Cd in the soil makes the damage to plants greater than that of single pollution. In addition, Song [50] and others found that the low concentration of compound heavy metal pollution had a certain promotion effect on the seed’s germination of Iris ensata, and its germination and growth were significantly inhibited with the increase of concentration. The heavy metal showed a synergistic effect, which was inconsistent with the results of this study. The main reason may be that Song and others used soilless culture to simulate heavy metal stress environment, and different plant culture methods may lead to different results.
There is a complex transformation relationship between the comprehensive impact of various heavy metals on plants with the change of concentration, and the pH value of soil, soil composition and properties may also have some impact, so the relevant research can be expanded in the future. In addition, although heavy metals in this study have shown different degrees of damage to alfalfa and ryegrass, plants can still maintain more than half of their germination capacity, and studies have shown that heavy metals (Cu, Pb, Zn, Cd) can be detected in the aboveground and underground parts of alfalfa and ryegrass, and the content of heavy metals in the underground part (root) is generally higher than that in the aboveground part (stem and leaf) [51]. This demonstrates that alfalfa and ryegrass have certain tolerance and enrichment ability when they are poisoned by heavy metals.
5. Conclusions
(1) Under the condition of single Pb and Cu pollution in soil, the germination percentage, germination potential, germination potential and vigor index of alfalfa and ryegrass seeds decrease with an increase in concentration. However, under the single Cd pollution condition, the alfalfa seed germination index and ryegrass seedling germination potential showed a trend of “low promotion and high inhibition”, which still showed a significant inhibition effect on other indicators. The heavy metal element with the largest inhibitory effect on the survival and germination of alfalfa and ryegrass seeds is Pb, the heavy metal element with the largest inhibitory effect on the germination speed of seeds and the growth and regularity of seedlings is Cu, and the heavy metal element with the largest inhibitory effect on the healthy growth of seedlings is Cu and Pb. In turn, when the concentration of Pb, Cu and Cd is 170 mg/kg, 100 mg/kg and 8 mg/kg, respectively, the damage to seed germination and seedling growth of the two plants is the most serious.
(2) Under the condition of soil Cu Pb Cd complex pollution, different concentrations of complex heavy metals could reduce the seed germination percentage, germination potential, germination potential and vigor index of alfalfa and ryegrass to different degrees, but the average decline of the seed germination index of ryegrass was significantly lower than that of alfalfa. The composite types with the largest inhibitory effect on the survival and germination of alfalfa and ryegrass seeds by combining pollution were Cu64Pb170Cd4 and Cu64Pb170Cd8, respectively. The composite types with the largest inhibitory effect on the germination speed of seeds were Cu64Pb170Cd8, and the composite types with the largest damage effect on the growth and uniformity of seedlings were Cu64Pb170Cd4 and Cu100Pb170Cd4, respectively. The composite types with the largest damage effect on the health of seedlings were Cu14Pb170Cd4.
(3) When Cu Pb Cd compound pollution in soil, the relationship between inhibition and damage to alfalfa and ryegrass seed germination index will change from synergistic effect to antagonistic effect with the increase of heavy metal concentration; that is, when heavy metal pollution is low, the inhibition and damage of compound stress is greater than that of single stress, and when heavy metal pollution is high, the inhibition and damage of compound stress is less than that of single stress.
(4) Under the stress of single Pb, Cd, Cu and Cu Pb Cd pollution in soil, the seed germination and seedling growth of phytoremediation plants will be inhibited to some extent, but their seed germination capacity can still be maintained at more than half; that is, alfalfa and ryegrass seeds have certain tolerance under the stress of single or combined heavy metal pollution. However, ryegrass seeds are always more tolerant than alfalfa when the soil is polluted by single pollution or combined pollution, indicating that ryegrass has more potential for remediation.
Author Contributions
Conceptualization, S.S.; formal analysis, J.Z. and C.W.; resources, Q.C.; visualization, Y.W. and R.P. All authors have read and agreed to the published version of the manuscript.
Funding
This research was funded by the Key Fund of Key Laboratory of Geological Guarantee for Coal Green Development of Shaanxi Province (Grant No. DZBZ2022Z-03) and the Key Research and Development Program of Shaanxi Province (Grant No. 2023-YBSF-458).
Institutional Review Board Statement
Not applicable.
Informed Consent Statement
Not applicable.
Data Availability Statement
The data presented in this study are available on request from the corresponding author. The data are not publicly available due to privacy.
Conflicts of Interest
The authors declare no conflict of interest.
Abbreviations
| CK | Control group |
| GR | Germination rate |
| GI | Germination index |
| GP | Germination potential |
| VI | Vigor index |
| P | The probability that the difference between samples is caused by sampling error |
| Ry | The range of germination index of alfalfa |
| Rk | The range of germination index of ryegrass |
| n1 | The number of seeds germinated on the 8th day of alfalfa or the 6th day of ryegrass |
| n2 | The number of seeds germinated on the 5th day of alfalfa or the 3rd day of ryegrass |
| N | The total number of tested seeds |
| Gt | The number of germinated seeds on the “t” day |
| Dt | The corresponding number of germination days |
| S | Bud length |
References
- Wang, G.; Ren, S.; Pang, Y.; Qu, S.; Zheng, D. Development achievements of China’s coal industry during the 13th Five-Year Plan period and implementation path of “dual carbon” target. Coal Sci. Technol. 2021, 49, 1–8. [Google Scholar]
- Xie, H.; Wu, L.; Zhang, D. Prediction on the energy consumption and coal demand of China in 2025. J. China Coal Soc. 2019, 44, 1949–1960. [Google Scholar]
- Xie, H.P.; Ren, S.H.; Xie, Y.C.; Jiao, X. Development opportunities of the coal industry towards the goal of carbon neutrality. J. China Coal Soc. 2021, 46, 2197–2211. [Google Scholar]
- Bian, Z.; Yu, H.; Han, X. Solutions to mine ecological restoration un-due the context of carbon. J. China Coal Soc. 2022, 47, 449–459. [Google Scholar]
- Wei, B.; Hu, Z.; Wang, X.; Zhao, P.; Zhao, Y.; Xiao, W. Study on spontaneous combustion rule of gangue dump and its comprehensive control measures. Min. Saf. Environ. Prot. 2016, 43, 92–95. [Google Scholar]
- Liu, W. Scale control method of gangue hill in Fengfeng Mining Area. Clean Coal Technol. 2021, 27, 363–366. [Google Scholar]
- Gao, M.; Li, X.; Wang, Z.; Hou, X.; Gui, C.; Zuo, X.; Li, J.; Liu, C. Research on the main environmental geology problems and prevention countermeasures in Fengfeng mining area. China Min. Mag. 2020, 29, 94–97. [Google Scholar]
- Elmayel, I.; Higueras, P.L.; Bouzid, J.; Garcia Noguero, E.M.; Elouaer, Z. Heavy Metals Distribution in Soils of an Agricultural Area Impacted by Former Mining Activities: Case of Trozza Mine, Tunisia. In Proceedings of the Conference of the Arabian Journal of Geosciences, Sousse, Tunisia, 25–28 November 2019; Springer: Cham, Switzerland, 2019; pp. 33–36. [Google Scholar]
- Deng, D. Effects of Heavy Metal Pollution on Soil Enzyme Activities and Microbial Community Structure; Chengdu University of Technology: Chengdu, China, 2019. [Google Scholar]
- Kao, P.H.; Huang, C.C.; Hseu, Z.Y. Response of microbial activities in a neutral loamy soil to heavy metals treated with biosolid. Chemosphere 2006, 64, 63–70. [Google Scholar] [CrossRef] [PubMed]
- Vásquez-Murrieta, M.S.; Migueles-Garduño, I.; Franco-Hernández, O.; Govaerts, B.; Dendooven, L. C and N mineralization and microbial biomass in heavy-metal contaminated soil. Eur. J. Soil Biol. 2006, 42, 89–98. [Google Scholar] [CrossRef]
- Zhang, H. Study on Spatial Distribution and Migration Law of Heavy Metals in Soil in Typical Coal Gangue Accumulation Area; Xi’an University of Science and Technology: Xi’an, China, 2020. [Google Scholar]
- Zheng, X.; Xia, B.; Lin, X.; Xu, C.; Zhao, P. Variations of total organic carbon and particulate organic carbon in paddy soils contaminated by heavy metals. China Environ. Sci. 2010, 30, 369–373. [Google Scholar]
- Pasricha, S.; Mathur, V.; Garg, A.; Lenka, S.; Verma, K.; Agarwal, S. Molecular mechanisms underlying heavy metal uptake, translocation and tolerance in hyperaccumulators-an analysis: Heavy metal tolerance in hyperaccumulators. Environ. Chall. 2021, 4, 100197. [Google Scholar] [CrossRef]
- Sarwar, N.; Imran, M.; Shaheen, M.R.; Ishaque, W.; Kamran, M.A.; Matloob, A.; Rehim, A.; Hussain, S. Phytoremediation strategies for soils contaminated with heavy metals: Modifications and future perspectives. Chemosphere 2017, 171, 710–721. [Google Scholar] [CrossRef] [PubMed]
- Dai, H.; Wei, S.; Skuza, L.; Zhang, Q. Phytoremediation of two ecotypes cadmium hyperaccumulator Bidens pilosa L. sourced from clean soils. Chemosphere 2021, 273, 129652. [Google Scholar] [CrossRef] [PubMed]
- Reeves, R.D.; Baker, A.J.; Jaffré, T.; Erskine, P.D.; Echevarria, G.; van Der Ent, A. A global database for plants that hyperaccumulate metal and metalloid trace elements. New Phytol. 2018, 218, 407–411. [Google Scholar] [CrossRef]
- Gou, T.; Song, W.; Yan, H. Accumulation of heavy metal in 11 native plants growing in mercury(gold)-mining area of Danzhai County. J. Biol. 2021, 38, 72–76. [Google Scholar]
- Guo, X.; Zhu, G.; Wei, X. Characteristics of uptake, bioaccumulation and translocation of soil lead (Pb) in five species of herbaceous plants. Res. Soil Water Conserv. 2016, 23, 183–186. [Google Scholar]
- Xia, H.P. Ecological rehabilitation and phytoremediation with four grasses in oil shale mined land. Chemosphere 2004, 54, 345–353. [Google Scholar] [CrossRef] [PubMed]
- Zhang, M.; Yang, C.; Jing, Y.; Li, J. Effect of energy grass on methane production and heavy metal fractionation during anaerobic digestion of sewage sludge. Waste Manag. 2016, 58, 316–323. [Google Scholar] [CrossRef]
- Ying, T.E.; Yong-Ming, L.U.; Huang, C.Y.; Jian, L.O.; Zhen-Gao, L.I.; Christie, P. Tolerance of grasses to heavy metals and microbial functional diversity in soils contaminated with copper mine railings. Pedosphere 2008, 18, 363–370. [Google Scholar]
- Feng, P.; Sun, L.; Shen, X.; Jiang, C.; Li, R.; Li, Z.; Zheng, H.; Zhang, H.; Guo, W.; Han, X.; et al. Response and enrichment ability of perennial ryegrass under lead and cadmium stresses. Acta Prataculturae Sin. 2016, 25, 153–162. [Google Scholar]
- Jia, Y.; Liu, W.; Wang, Q.; Zhang, Y.; Wang, J.; Yang, Y.; Li, J. The effects of vermicompost on the growth and the heavy metal accumulation of Medicago Sativa L. in Cu and Zn contaminated soil. J. Shanxi Agric. Univ. (Nat. Sci. Ed.) 2021, 41, 121–128. [Google Scholar]
- Muscolo, A.; Panuccio, M.R.; Eshel, A. Ecophysiology of Pennisetum clandestinum: A valuable salt tolerant grass. Environ. Exp. Bot. 2013, 92, 55–63. [Google Scholar] [CrossRef]
- Lee, Y.; Jang, J.; Jeon, Y.; Kim, H.; Jang, G.; Yoon, Y. Assessing the effects of accumulated Cd(II) on seed germination and root development of Arabidopsis thaliana. Appl. Biol. Chem. 2021, 64, 87. [Google Scholar] [CrossRef]
- Liu, M.; Hao, C. Evaluation and quantitative source analysis of heavy metal pollution in Fengfeng mine drainage irrigation area. Sci. Technol. Eng. 2021, 21, 7377–7384. [Google Scholar]
- Wen, X.; He, X.; Ren, Y.; Li, M.; Zhao, L. Characteristics of microbial community structure in rhizosphere soil of Fengfeng mining area. J. Hebei Agric. Univ. 2018, 41, 44–51. [Google Scholar]
- Li, C. Contents of heavy metals in coal gangue hill of Fengfeng mining area and potential ecological hazards. Heilongjiang Sci. Technol. Inf. 2009, 28. [Google Scholar]
- Hakanson, L. An ecological risk index for aquatic pollution control. a sedimentological approach. Water Res. 1980, 14, 975–1001. [Google Scholar] [CrossRef]
- Ma, J.; Han, C.; Jiang, Y. Some problems in the application of potential ecological risk index method. Geogr. Res. 2020, 39, 1233–1241. [Google Scholar]
- Zhang, Y.; Wang, Q.; Long, Y. Effects of Cu2+ stress on the seed germination and Cu-tolerance evaluation of industrial hemp. Plant Fiber Sci. China 2018, 40, 183–191. [Google Scholar]
- Nedjimi, B. Germination characteristics of Peganum harmala L. (Nitrariaceae) subjected to heavy metals: Implications for the use in polluted dryland restoration. Int. J. Environ. Sci. Technol. 2020, 17, 2113–2122. [Google Scholar] [CrossRef]
- Gao, D.; Zhang, F.; Kong, D.; Bao, W.; Zhang, W. Effects of Cu2+ and Pb2+ stress on seed germination of two varieties of cockscombs. J. Northeast. For. Univ. 2021, 49, 36–40. [Google Scholar]
- Wang, Z.; Chen, M.; Yang, Y.; Fang, X.; Liu, Z.; Wang, L.; Ge, M.; Zhang, C.; Fang, J.; Shangguan, L. Effects of copper stress on plant growth and advances in the mechanisms of plant tolerance research. J. Plant Nutr. Fertil. 2021, 27, 1849–1863. [Google Scholar]
- Zhao, Y.; Zhu, Y.; Li, H.; Su, L. Effects of Cu2+ and Zn2+ stress on seed germination and seedling physiological characteristics of Calendula officinalis. Acta Agric. Jiangxi 2017, 29, 35–38. [Google Scholar]
- Monteiro, M.S.; Santos, C.; Soares, A.M.; Mann, R.M. Assessment of biomarkers of cadmium stress in lettuce. Ecotoxicol. Environ. Saf. 2009, 72, 811–818. [Google Scholar] [CrossRef] [PubMed]
- Zhou, C.; Huang, M.; Ren, H.; Yu, J.; Wu, J.; Ma, X. Bioaccumulation and detoxification mechanisms for lead uptake identified in Rhus chinensis Mill seedlings. Ecotoxicol. Environ. Saf. 2017, 142, 59–68. [Google Scholar] [CrossRef]
- Sun, Y.; Meng, R.; Miao, L.; Gao, D.; Zhang, F. Effects of Cu2+ and Zn2+ Single and Combined Stress on Seeds Germination and Antioxidant Characteristics of Hibiscus syriacus L. J. Northeast. For. Univ. 2022, 50, 21–26. [Google Scholar]
- Si, L.; Zhang, J.; Hussain, A.; Qiao, Y.; Zhou, J.; Wang, X. Accumulation and translocation of food chain in soil-mulberry (Morus alba L.)-silkworm (Bombyx mori) under single and combined stress of lead and cadmium. Ecotoxicol. Environ. Saf. 2021, 208, 111582. [Google Scholar] [CrossRef] [PubMed]
- Guo, W.; Du, X.; Peng, Y.; Li, Y.; Zhao, C.; Qu, T. Effects of Combined Stress of Cd and Pb on Seed Germination and Seedling Growth of Pennisetum alopecuroides. Seed 2021, 40, 91–96. [Google Scholar]
- Cao, F.L.; Yu, W.W.; Zhu, Y.L. Phytoremediation characteristics of the Pb and Cd contaminated soils by ginkgo seedling. Sci. Silvae Sin. 2012, 48, 8–13. [Google Scholar]
- Zhang, W.; Li, Y.; Chen, Z.; Xu, S.; Zhang, L. Effects of Heavy Metals Stress on Seed Germination and Seedling Physiological Characteristics of Festuca arundinacea L. and Lolium perenne L. J. Anhui Agri. Sci. 2017, 45, 1–4. [Google Scholar]
- Zhu, C.; Tang, J.; Gao, L.; Zou, R.; Shi, Y.; Fu, R.; Zeng, X. Effects of combined stress of heavy metal Cu, Zn and Cd on physiology and biochemistry of Jatropha curcas seedlings. Guihaia 2019, 29, 752–760. [Google Scholar]
- Ji, D.; Hua, L.; Wang, X.; Guo, X.; Wang, Q.; Zhang, Q. Effects of Cu-Cd, Zn-Cd and Cu-Zn combined pollution on toxicity and heavy metal uptake of rice. Environ. Pollut. Control. 2018, 40, 1141–1146. [Google Scholar]
- Saha, U.K.; Taniguchi, S.; Sakurai, K. Simultaneous adsorption of cadmium, zinc, and lead on hydroxyaluminum-and hydroxyaluminosilicate-montmorillonite complexes. Soil Sci. Soc. Am. J. 2002, 66, 117–128. [Google Scholar] [CrossRef]
- Benjamin, M.M.; Leckie, J.O. Competitive adsorption of Cd, Cu, Zn, and Pb on amorphous iron oxyhydroxide. J. Colloid Interface Sci. 1981, 83, 410–419. [Google Scholar] [CrossRef]
- Wang, T. Effects of Pb and Zn Combined Stress on Physiology and Heavy Metal Enrichment of Two Alfalfa Plants; Jiangxi University of Finance and Economics: Nanchang, China, 2016. [Google Scholar]
- Wu, Z.; McGrouther, K.; Huang, J.; Wu, P.; Wu, W.; Wang, H. Decomposition and the contribution of glomalin-related soil protein (GRSP) in heavy metal sequestration: Field experiment. Soil Biol. Biochem. 2014, 68, 283–290. [Google Scholar] [CrossRef]
- Song, H. Effects of copper/cadmium-single and compound stress on seed germination of Iris ensata. Seed 2020, 39, 104–109. [Google Scholar]
- Qi, L.; Song, X.; Shen, X.; Chen, Y.; Zhang, R.; Guan, Y. Synergistic effect of indole-3-acetic acid on phytoremediation of heavy metal contaminated soil. Jiangsu Agric. Sci. 2022, 50, 193–197. [Google Scholar]
Disclaimer/Publisher’s Note: The statements, opinions and data contained in all publications are solely those of the individual author(s) and contributor(s) and not of MDPI and/or the editor(s). MDPI and/or the editor(s) disclaim responsibility for any injury to people or property resulting from any ideas, methods, instructions or products referred to in the content. |
© 2023 by the authors. Licensee MDPI, Basel, Switzerland. This article is an open access article distributed under the terms and conditions of the Creative Commons Attribution (CC BY) license (https://creativecommons.org/licenses/by/4.0/).







