Estimation of Biomass Dynamics and Allocation in Chinese Fir Trees Using Tree Ring Analysis in Hunan Province, China
Abstract
:1. Introduction
2. Materials and Methods
2.1. Study Area
2.2. Forest Inventory and Sample Collection
2.3. Biomass Estimation and Tree Ring Analysis
2.4. Correction of Diameter at Breast Height of Each Age Gradation
2.5. Construction of the Biomass Model
2.6. Statistical Analysis
3. Results
3.1. Growth and Change in Total Biomass
3.2. Growth and Change in the Biomass of the Tree Components
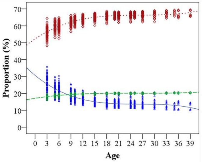
3.3. Biomass Allocation within the Tree Components
4. Discussion
4.1. Dynamics of Total Biomass and Its Increment
4.2. Biomass Dynamics and Increment Tree Components
4.3. Dynamic of Proportion of Tree Components Biomass
5. Conclusions
Author Contributions
Funding
Institutional Review Board Statement
Informed Consent Statement
Data Availability Statement
Acknowledgments
Conflicts of Interest
References
- Bustamante, M.; Robledo-Abad, C.; Harper, R.; Mbow, C.; Ravindranat, N.H.; Sperling, F.; Haberl, H.; de Siqueira Pinto, A.; Smith, P. Co-benefits, trade-offs, barriers and policies for greenhouse gas mitigation in the agriculture, forestry and other land use (AFOLU) sector. Glob. Chang. Biol. 2014, 20, 3270–3290. [Google Scholar] [CrossRef] [PubMed]
- Houghton, R.A. Aboveground forest biomass and the global carbon balance. Glob. Chang. Biol. 2005, 11, 945–958. [Google Scholar] [CrossRef]
- Olson, J.S.; Watts, J.A.; Allison, L.J. Carbon in Live Vegetation of Major World Ecosystems; ORNL: Oak Ridge, TN, USA, 1983. [Google Scholar]
- Foster, J.R.; Finley, A.O.; D’Amato, A.W.; Bradford, J.B.; Banerjee, S. Predicting tree biomass growth in the temperate–boreal ecotone: Is tree size, age, competition, or climate response most important? Glob. Chang. Biol. 2016, 22, 2138–2151. [Google Scholar] [CrossRef] [PubMed]
- Chris, S.; Heimann, M.; Artaxo, P.; Bakker, D.; Chen, C.-T.A.; Field, C.; Gruber, N.; Le Quéré, C.; Prinn, R.; Richey, J.; et al. Current status and past trends of the global carbon cycle. In The Global Carbon Cycle: Integrating Humans, Climate, and the Natural World; Island Press: Washington, DC, USA, 2004; Volume 62, pp. 17–44. [Google Scholar]
- Houghton, J. Global warming. Rep. Prog. Phys. 2005, 68, 1343. [Google Scholar] [CrossRef]
- Gore, A. Measure emissions to manage emissions. Science 2022, 378, 455. [Google Scholar] [CrossRef]
- Wang, W.; Duan, Y.; Zhang, L.; Wang, B.; Li, X. Review on forest carbon sequestration counting methodology under global climate change. J. Nanjing For. Univ. 2016, 40, 170–176. [Google Scholar]
- Wei, X.; Zhang, J.; Liu, G.; Liu, S.; Wang, W.; Liu, Y.; Blanco, A.J. The concept and application of carbon sequestration potentials in plantation forests. Shengtai Xuebao 2015, 35, 3881–3885. [Google Scholar]
- Dixon, R.K.; Solomon, A.M.; Brown, S.; Houghton, R.A.; Trexier, M.C.; Wisniewski, J. Carbon pools and flux of global forest ecosystems. Science 1994, 263, 185–190. [Google Scholar] [CrossRef]
- Vashum, K. Methods to estimate above-ground biomass and carbon stock in natural forests—A review. J. Ecosyst. Ecography 2012, 2, 1–7. [Google Scholar] [CrossRef]
- Satō, T.; Madgwick, H.A.I. Forest Biomass; Martinus Nijhoff/Dr. W. Junk Publishers: The Hague, The Netherlands, 1982. [Google Scholar]
- Top, N.; Mizoue, N.; Kai, S. Estimating forest biomass increment based on permanent sample plots in relation to woodfuel consumption: A case study in Kampong Thom Province, Cambodia. J. For. Res. 2004, 9, 117–123. [Google Scholar] [CrossRef]
- Reinikainen, M.; D’Amato, A.W.; Bradford, J.B.; Fraver, S. Influence of stocking, site quality, stand age, low-severity canopy disturbance, and forest composition on sub-boreal aspen mixedwood carbon stocks. Can. J. For. Res. 2014, 44, 230–242. [Google Scholar] [CrossRef]
- Luo, Y. Biomass and Its Allocation of Forest Ecosystems in China; China Forestry Publishing House: Beijing, China, 2013. [Google Scholar]
- Henry, H.A.L.; Aarssen, L.W. The interpretation of stem diameter–height allometry in trees: Biomechanical constraints, neighbour effects, or biased regressions? Ecol. Lett. 1999, 2, 89–97. [Google Scholar] [CrossRef]
- Chave, J.; Andalo, C.; Brown, S.; Cairns, M.A.; Chambers, J.Q.; Eamus, D.; Fölster, H.; Fromard, F.; Higuchi, N.; Kira, T.; et al. Tree allometry and improved estimation of carbon stocks and balance in tropical forests. Oecologia 2005, 145, 87–99. [Google Scholar] [CrossRef] [PubMed]
- Song, J. Research on Temporal and Spatial Changes of Forest Carbon Storage and Forest Landscape Pattern in Qilian Mountains. Ph.D. Thesis, Gansu Agricultural University, Lanzhou, China, 2021. [Google Scholar] [CrossRef]
- Weiskittel, A.R.; MacFarlane, D.W.; Radtke, P.J.; Affleck, D.L.R.; Temesgen, H.; Woodall, C.W.; Westfall, J.A.; Coulston, J.W. A call to improve methods for estimating tree biomass for regional and national assessments. J. For. 2015, 113, 414–424. [Google Scholar] [CrossRef]
- Xiang, W.; Li, L.; Ouyang, S.; Xiao, W.; Zeng, L.; Chen, L.; Lei, P.; Deng, X.; Zeng, Y.; Fang, J.; et al. Effects of stand age on tree biomass partitioning and allometric equations in Chinese fir (Cunninghamia lanceolata) plantations. Eur. J. For. Res. 2021, 140, 317–332. [Google Scholar] [CrossRef]
- Merganič, J.; Pichler, V.; Gömöryová, E.; Fleischer, P.; Homolák, M.; Merganičová, K. Modelling impact of site and terrain morphological characteristics on biomass of tree species in Putorana region. Plants 2021, 10, 2722. [Google Scholar] [CrossRef]
- Vanninen, P.; Ylitalo, H.; Sievänen, R.; Mäkelä, A. Effects of age and site quality on the distribution of biomass in Scots pine (Pinus sylvestris L.). Trees 1996, 10, 231–238. [Google Scholar] [CrossRef]
- Veronica, G.; Luis, P.; Gerardo, R. Allometric relations for biomass partitioning of Nothofagus antarctica trees of different crown classes over a site quality gradient. For. Ecol. Manag. 2010, 259, 1118–1126. [Google Scholar] [CrossRef]
- Tian, D.; Xiang, W.; Chen, X.; Yan, W.; Fang, X.; Kang, W.; Dan, X.; Peng, C.; Peng, Y. A long-term evaluation of biomass production in first and second rotations of Chinese fir plantations at the same site. Forestry 2011, 84, 411–418. [Google Scholar] [CrossRef]
- Yu, Y.; Song, T.; Zeng, F.; Peng, W.; Wen, Y.; Huang, C.; Wu, Q.; Zeng, Z.; Yu, Y. Dynamic changes of biomass and its allocation in Cunninghamia lanceolata plantations of different stand ages. Chin. J. Ecol. 2013, 32, 1660–1666. [Google Scholar] [CrossRef]
- Zhou, L.; Shalom, A.-D.D.; Wu, P.; He, Z.; Liu, C.; Ma, X. Biomass production, nutrient cycling and distribution in age-sequence Chinese fir (Cunninghamia lanceolate) plantations in subtropical China. J. For. Res. 2016, 27, 357–368. [Google Scholar] [CrossRef]
- Bowman, D.M.J.S.; Brienen, R.J.W.; Gloor, E.; Phillips, O.L.; Prior, L.D. Detecting trends in tree growth: Not so simple. Trends Plant Sci. 2013, 18, 11–17. [Google Scholar] [CrossRef]
- Anderson-Teixeira, K.J.; Herrmann, V.; Rollinson, C.R.; Gonzalez, B.; Gonzalez-Akre, E.B.; Pederson, N.; Alexander, M.R.; Allen, C.D.; Alfaro-Sánchez, R.; Awada, T.; et al. Joint effects of climate, tree size, and year on annual tree growth derived from tree-ring records of ten globally distributed forests. Glob. Chang. Biol. 2022, 28, 245–266. [Google Scholar] [CrossRef] [PubMed]
- Toro-Herrera, M.A.; Pennacchi, J.P.; Vilas Boas, L.V.; Honda Filho, C.P.; Barbosa, A.C.M.C.; Barbosa, J.P.R.A.D. On the use of tree-ring area as a predictor of biomass accumulation and its climatic determinants of coffee tree growth. Ann. Appl. Biol. 2021, 179, 60–74. [Google Scholar] [CrossRef]
- Bouriaud, O.; Bréda, N.; Dupouey, J.-L.; Granier, A. Is ring width a reliable proxy for stem-biomass increment? A case study in European beech. Can. J. For. Res. 2005, 35, 2920–2933. [Google Scholar] [CrossRef]
- Genet, H.; Bréda, N.; Dufrêne, E. Age-related variation in carbon allocation at tree and stand scales in beech (Fagus sylvatica L.) and sessile oak (Quercus petraea (Matt.) Liebl.) using a chronosequence approach. Tree Physiol. 2010, 30, 177–192. [Google Scholar] [CrossRef] [PubMed]
- Mbow, C.; Verstraete, M.M.; Sambou, B.; Diaw, A.T.; Neufeldt, H. Allometric models for aboveground biomass in dry savanna trees of the Sudan and Sudan-Guinean ecosystems of Southern Senegal. J. For. Res. 2014, 19, 340–347. [Google Scholar] [CrossRef]
- Gonzalez-García, M.; Hevia, A.; Anta, M.; Almeida, A.; Sanchez-Salguero, R.; Majada, J. A Multi-Scale Assessment of Biomass Production in Eucalyptus Nitens Plantations: A Spatio-Temporal Modeling from Tree-Ring Data. In Proceedings of the TRACE—Tree-Rings in Archaeology, Climatology and Ecology 2015, Sevilla, Spain, 20–23 May 2015. [Google Scholar]
- Hember, R.A.; Kurz, W.A.; Girardin, M.P. Tree ring reconstructions of stemwood biomass indicate increases in the growth rate of black spruce trees across boreal forests of Canada. J. Geophys. Res. Biogeosci. 2019, 124, 2460–2480. [Google Scholar] [CrossRef]
- National Forestry and Grassland Administration. China Forest Resources Report; China Forestry Publishing House: Beijing, China, 2019. [Google Scholar]
- Yang, Y.; Huang, S.; Vassov, R.; Pinno, B.; Chhin, S. Climate-sensitive height-age models for top height trees in natural and reclaimed oil sands stands in Alberta, Canada. Can. J. For. Res. 2020, 50, 297–307. [Google Scholar] [CrossRef]
- Meng, X. Forest Mensuration; China Forestry Publishing House: Beijing, China, 2006. [Google Scholar]
- Zhang, Y.; Liu, Y.; Liu, S.; Zhang, X. Dynamics of stand biomass and volume of the tree layer in forests with different restoration approaches based on tree-ring analysis. Chin. J. Plant Ecol. 2012, 36, 117–125. [Google Scholar] [CrossRef]
- Wang, T.R.S. Dynamic of carbon storage of Pinus armandii forest at different diameter levels based on tree ring data in the Baotianman National Nature Reserve, central China. Chin. Sci. Bull. 2014, 59, 3499–3507. [Google Scholar]
- Tang, X.; Lu, Y.; Fehrmann, L.; Forrester, D.I.; Guisasola-Rodríguez, R.; Pérez-Cruzado, C.; Kleinn, C. Estimation of stand-level aboveground biomass dynamics using tree ring analysis in a Chinese fir plantation in Shitai County, Anhui Province, China. New For. 2016, 47, 319–332. [Google Scholar] [CrossRef]
- Hu, S.; Chen, P.; Lin, H.; Xie, C.; Chen, X. Promoting carsharing attractiveness and efficiency: An exploratory analysis. Transp. Res. Part Transp. Environ. 2018, 65, 229–243. [Google Scholar] [CrossRef]
- Lin, X.; Zhang, D. Inference in generalized additive mixed models by using smoothing splines. J. R. Stat. Soc. Ser. B 1999, 61, 381–400. [Google Scholar] [CrossRef]
- Wood, S.N. Thin plate regression splines. J. R. Stat. Soc. 2003, 65, 95–114. [Google Scholar] [CrossRef]
- Vanninen, P. Development of the Production and Biomass Structure of Scots Pine: Effects of Competition, Tree Age and Site Fertility. Ph.D. Thesis, University of Helsinki, Helsinki, Finland, 2003. [Google Scholar]
- Keeling, H.C.; Baker, T.R.; Martinez, R.V.; Monteagudo, A.; Phillips, O.L. Contrasting patterns of diameter and biomass increment across tree functional groups in Amazonian forests. Oecologia 2008, 158, 521–534. [Google Scholar] [CrossRef]
- Beets, P.; Madgwick, H. Above-ground dry matter and nutrient content of Pinus radiata as affected by lupin, fertiliser, thinning, and stand age. N. Z. J. For. Sci. 1988, 18, 43–64. [Google Scholar]
- Gan, X.H.; Tang, C.B.; Wen, Z.B.; Gao, Y.J. Effects of site conditions on the biomass of Phyllostachys bambusoides f. shouzhu Yi. J. Northwest A F Univ. 2010, 38, 140–146. [Google Scholar]
- Cintas, O.; Berndes, G.; Hansson, J.; Poudel, B.C.; Bergh, J.; Börjesson, P.; Egnell, G.; Lundmark, T.; Nordin, A. The potential role of forest management in Swedish scenarios towards climate neutrality by mid century. For. Ecol. Manag. 2017, 383, 73–84. [Google Scholar] [CrossRef]
- Triviño, M.; Pohjanmies, T.; Mazziotta, A.; Juutinen, A.; Podkopaev, D.; Le Tortorec, E.; Mönkkönen, M. Optimizing management to enhance multifunctionality in a boreal forest landscape. J. Appl. Ecol. 2017, 54, 61–70. [Google Scholar] [CrossRef]
- Busing, R.T.; Garman, S.L. Promoting old-growth characteristics and long-term wood production in Douglas-fir forests. For. Ecol. Manag. 2002, 160, 161–175. [Google Scholar] [CrossRef]
- Gustafson, E.J. Relative influence of the components of timber harvest strategies on landscape pattern. For. Sci. 2007, 53, 556–561. [Google Scholar] [CrossRef]
- Wang, X.; Huang, X.; Wang, Y.; Yu, P.; Guo, J. Impacts of site conditions and stand structure on the biomass allocation of single trees in Larch plantations of Liupan Mountains of Northwest China. Forests 2022, 13, 177. [Google Scholar] [CrossRef]
- Xu, Z.; Du, W.; Zhou, G.; Qin, L.; Meng, S.; Yu, J.; Sun, Z.; SiQing, B.; Liu, Q. Aboveground biomass allocation and additive allometric models of fifteen tree species in northeast China based on improved investigation methods. For. Ecol. Manag. 2022, 505, 119918. [Google Scholar] [CrossRef]
- Franklin, O.; Johansson, J.; Dewar, R.C.; Dieckmann, U.; McMurtrie, R.E.; Brännström, Å.; Dybzinski, R. Modeling carbon allocation in trees: A search for principles. Tree Physiol. 2012, 32, 648–666. [Google Scholar] [CrossRef]
- Peichl, M.; Arain, M.A. Allometry and partitioning of above-and belowground tree biomass in an age-sequence of white pine forests. For. Ecol. Manag. 2007, 253, 68–80. [Google Scholar] [CrossRef]
- Jagodziński, A.M.; Dyderski, M.K.; Gęsikiewicz, K.; Horodecki, P. Tree-and stand-level biomass estimation in a Larix decidua Mill. chronosequence. Forests 2018, 9, 587. [Google Scholar] [CrossRef]
- Grier, C.C.; Vogt, K.A.; Keyes, M.R.; Edmonds, R.L. Biomass distribution and above-and below-ground production in young and mature Abiesamabilis zone ecosystems of the Washington Cascades. Can. J. For. Res. 1981, 11, 155–167. [Google Scholar] [CrossRef]
- Hu, M.; Lehtonen, A.; Minunno, F.; Makela, A. Age effect on tree structure and biomass allocation in Scots pine (Pinus sylvestris L.) and Norway spruce (Picea abies [L.] Karst.). Ann. For. Sci. 2020, 77, 90. [Google Scholar] [CrossRef]
- Deng, C.; Ma, F.; Xu, X.; Zhu, B.; Tao, J.; Li, Q. Allocation patterns and temporal dynamics of Chinese fir biomass in Hunan Province, China. Forests 2023, 14, 286. [Google Scholar] [CrossRef]
- Bloom, A.J.; Chapin, F.S.; Mooney, H.A. Resource limitation in plants-An economic analogy. Annu. Rev. Ecol. Syst. 1985, 16, 363–392. [Google Scholar] [CrossRef]
- Niklas, K.J.; Enquist, B.J. Canonical rules for plant organ biomass partitioning and annual allocation. Am. J. Bot. 2002, 89, 812–819. [Google Scholar] [CrossRef] [PubMed]
- King, D.A. Allocation of above-ground growth is related to light in temperate deciduous saplings. Funct. Ecol. 2003, 17, 482–488. [Google Scholar] [CrossRef]
- Lehtonen, A. Estimating foliage biomass in Scots pine (Pinus sylvestris) and Norway spruce (Picea abies) plots. Tree Physiol. 2005, 25, 803–811. [Google Scholar] [CrossRef]
- Zhang, X.; Cao, Q.; Xiang, C.; Duan, A.; Zhang, J. Predicting total and component biomass of Chinese fir using a forecast combination method. Iforest Biogeosci. For. 2017, 10, 687–691. [Google Scholar] [CrossRef]
- Garrett, L.; Smith, C.; Beets, P.; Kimberley, M. Early rotation biomass and nutrient accumulation of Pinus radiata forests after harvest residue management and fertiliser treatment on contrasting types of soil. For. Ecol. Manag. 2021, 496, 119426. [Google Scholar] [CrossRef]
- Zhao, D.; Bullock, B.P.; Montes, C.R.; Wang, M.; Westfall, J.; Coulston, J.W. Long-term dynamics of loblolly pine crown structure and aboveground net primary production as affected by site quality, planting density and cultural intensity. For. Ecol. Manag. 2020, 472, 118259. [Google Scholar] [CrossRef]






| Sampling Forest Farm | Plot No. | Stand Age | Age Group | Site Index | Mean Diameter at Breast Height (cm) | Average Total Tree Height (m) | Stand Density (Trees ha−1) |
|---|---|---|---|---|---|---|---|
| Jindong | JD-1 | 17 | II | 14 | 12.1 | 10.8 | 2550 |
| JD-2 | 31 | IV | 12 | 14.9 | 12.2 | 1675 | |
| JD-3 | 25 | III | 16 | 19 | 15 | 1200 | |
| JD-4 | 40 | V | 14 | 19.9 | 16.5 | 950 | |
| JD-5 | 27 | IV | 18 | 20.4 | 17.4 | 1175 | |
| JD-6 | 8 | I | 14 | 8.3 | 6.4 | 3250 | |
| Paiyashan | PYS-1 | 18 | II | 20 | 18.4 | 17.2 | 1875 |
| PYS-2 | 39 | V | 20 | 25.2 | 23 | 975 | |
| PYS-3 | 28 | IV | 14 | 15.8 | 12.9 | 1475 | |
| PYS-4 | 21 | III | 12 | 11.9 | 9.9 | 2025 | |
| PYS-5 | 36 | V | 16 | 24 | 19 | 1150 | |
| PYS-6 | 29 | IV | 20 | 27.7 | 20.4 | 800 | |
| PYS-7 | 24 | III | 12 | 17 | 11.8 | 1350 | |
| Huangfengqiao | HFQ-1 | 33 | IV | 16 | 22.3 | 18.7 | 900 |
| HFQ-2 | 24 | III | 18 | 22.5 | 17.9 | 1325 | |
| HFQ-3 | 18 | II | 16 | 16.2 | 12.5 | 2125 | |
| HFQ-4 | 14 | II | 14 | 11.4 | 9 | 2650 | |
| HFQ-5 | 24 | III | 18 | 22.2 | 16 | 1200 | |
| Shichangxi | SCX-1 | 13 | II | 16 | 14.8 | 10.3 | 2700 |
| SCX-2 | 31 | IV | 18 | 27.2 | 17.9 | 1075 | |
| SCX-3 | 27 | IV | 18 | 25 | 16.7 | 925 | |
| SCX-4 | 8 | I | 12 | 7.9 | 6.1 | 3350 | |
| SCX-5 | 17 | II | 16 | 17.2 | 11.8 | 2175 | |
| SCX-6 | 23 | III | 16 | 19.8 | 13.3 | 1325 | |
| Xishan | XS-1 | 9 | I | 12 | 8.5 | 6.4 | 2850 |
| XS-2 | 39 | V | 14 | 22 | 14.7 | 825 | |
| XS-3 | 13 | II | 12 | 11 | 8 | 2750 | |
| XS-4 | 31 | IV | 14 | 21.8 | 14.6 | 950 | |
| XS-5 | 21 | III | 18 | 22 | 14.7 | 1150 |
| Age Group | Num. | Site Index Range | Mean Diameter at Breast Height | Mean Height | Total Biomass | Stem Biomass | Crown Biomass | Root Biomass |
|---|---|---|---|---|---|---|---|---|
| I | 9 | 12–14 | 8.1 | 6.1 | 11.88 | 6.37 | 3.75 | 1.77 |
| II | 21 | 12–20 | 14.4 | 11.6 | 55.45 | 35.06 | 9.68 | 10.71 |
| III | 21 | 12–18 | 19.2 | 14.2 | 107.27 | 69.68 | 15.61 | 21.97 |
| IV | 24 | 12–20 | 21.9 | 16.8 | 180.9 | 120.99 | 23.04 | 36.87 |
| V | 12 | 14–20 | 22.7 | 17.6 | 171.29 | 120.48 | 16.35 | 34.46 |
| R2 | ||||
| 0.02730 | 2.21501 | 0.48488 | 0.9522 | |
| 0.02181 | 2.54169 | −0.38784 | 0.7601 | |
| 0.00911 | 2.24540 | 0.41587 | 0.9545 | |
| - | - | - | 0.9484 |
Disclaimer/Publisher’s Note: The statements, opinions and data contained in all publications are solely those of the individual author(s) and contributor(s) and not of MDPI and/or the editor(s). MDPI and/or the editor(s) disclaim responsibility for any injury to people or property resulting from any ideas, methods, instructions or products referred to in the content. |
© 2023 by the authors. Licensee MDPI, Basel, Switzerland. This article is an open access article distributed under the terms and conditions of the Creative Commons Attribution (CC BY) license (https://creativecommons.org/licenses/by/4.0/).
Share and Cite
Xu, X.; Ma, F.; Lu, K.; Zhu, B.; Li, S.; Liu, K.; Chen, Q.; Li, Q.; Deng, C. Estimation of Biomass Dynamics and Allocation in Chinese Fir Trees Using Tree Ring Analysis in Hunan Province, China. Sustainability 2023, 15, 3306. https://doi.org/10.3390/su15043306
Xu X, Ma F, Lu K, Zhu B, Li S, Liu K, Chen Q, Li Q, Deng C. Estimation of Biomass Dynamics and Allocation in Chinese Fir Trees Using Tree Ring Analysis in Hunan Province, China. Sustainability. 2023; 15(4):3306. https://doi.org/10.3390/su15043306
Chicago/Turabian StyleXu, Xiaojun, Fengfeng Ma, Kangying Lu, Baoqi Zhu, Shuaichen Li, Kangqi Liu, Qianmin Chen, Qingfen Li, and Cheng Deng. 2023. "Estimation of Biomass Dynamics and Allocation in Chinese Fir Trees Using Tree Ring Analysis in Hunan Province, China" Sustainability 15, no. 4: 3306. https://doi.org/10.3390/su15043306
APA StyleXu, X., Ma, F., Lu, K., Zhu, B., Li, S., Liu, K., Chen, Q., Li, Q., & Deng, C. (2023). Estimation of Biomass Dynamics and Allocation in Chinese Fir Trees Using Tree Ring Analysis in Hunan Province, China. Sustainability, 15(4), 3306. https://doi.org/10.3390/su15043306

