Experimental Study on Liquefaction Characteristics of Saturated Sands Mixed with Fly Ash and Tire Crumb Rubber
Abstract
1. Introduction
2. Materials and Methods
2.1. Test Device
2.2. Test Materials
2.3. Specimen Preparation
2.4. Testing Program
3. Test Results
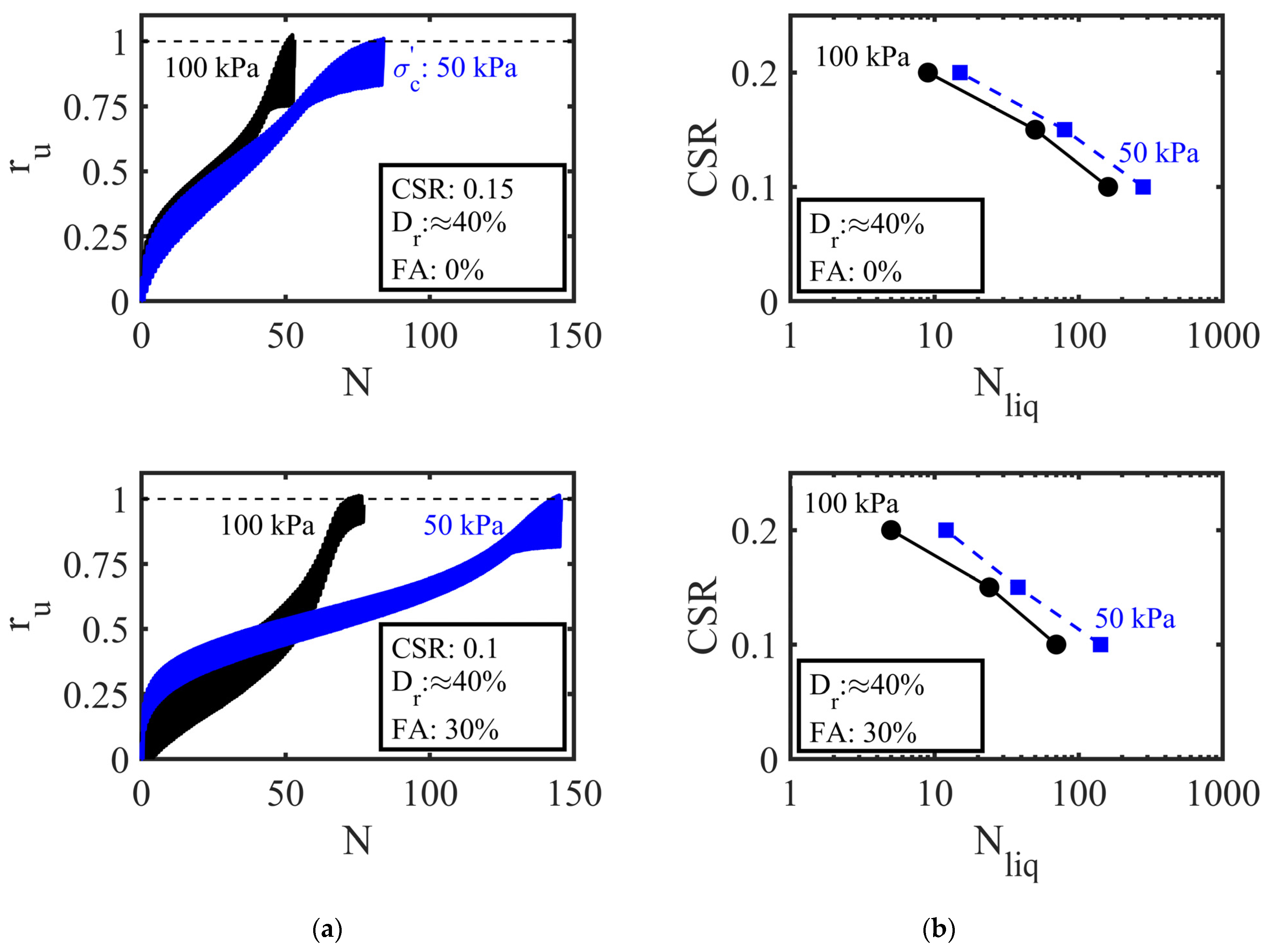
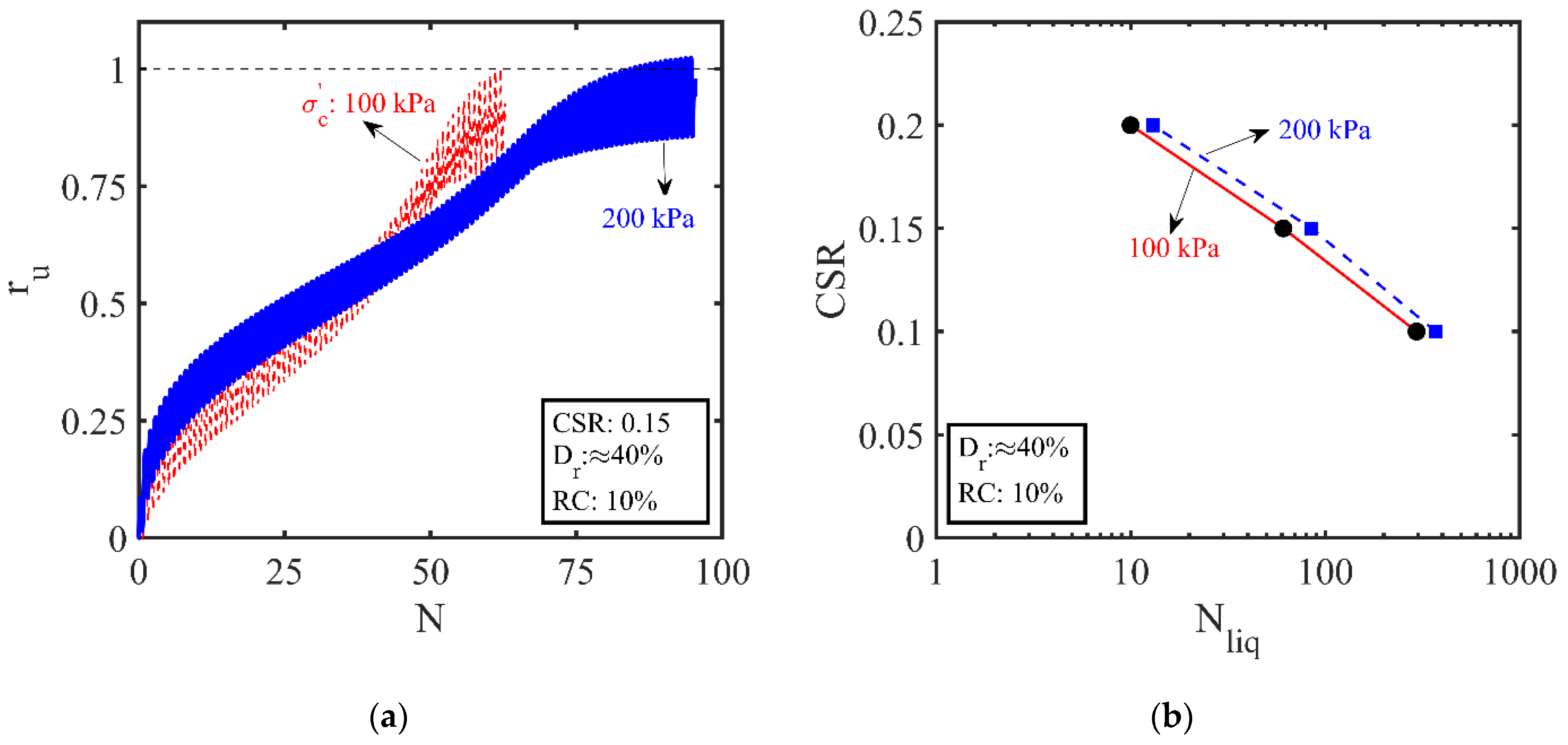
3.1. Typical Experimental Results
3.2. Liquefaction Behavior of Sand–Fly Ash Mixtures
3.3. Liquefaction Behavior of Sand–Tire Crumb Rubber Mixtures
3.4. Comparative Discussion of Test Results
4. Conclusions and Recommendations
- (1)
- For a given relative density and effective confining stress, the liquefaction resistance of the sand–fly ash mixture decreased as the fly ash content in the mixtures increased up to 20%. Some of the liquefaction strength recovered when fly ash was added up to 40%.
- (2)
- Under the range of fly ash contents tested in this study, the liquefaction resistance of pure sand specimens was always greater than that of sand specimens containing non-plastic fly ash particles.
- (3)
- The liquefaction resistance of sand with fly ash was affected by the confinement pressure. The sand–fly ash mixtures appeared to possess a higher liquefaction resistance under a lower effective confining stress. Similar results were observed for the pure sand specimens.
- (4)
- The rate of the build-up of excess pore pressure was higher in the sand–fly ash mixtures than in sand-only specimens, which was attributed to the decreased permeability of sand with the inclusion of silt-sized fly ash particles ().
- (5)
- The addition of tire crumb rubber to sand () reduced the generation of excess pore pressure due to the increased compressibility of the soil matrix, thus improving resistance to liquefaction. The enhancement in liquefaction resistance was smaller at up to 10% tire crumb rubber content, but it was relatively greater beyond this value (10–30%).
- (6)
- For a given relative density and rubber content, sand–tire crumb rubber mixtures at an effective confining stress of 200 kPa had a higher liquefaction resistance than those at 100 kPa, suggesting that the beneficial effect of tire crumb rubber was more noticeable under higher confining stress.
- (7)
- Tire crumb rubber appeared to offer a better solution than fly ash in improving the liquefaction resistance of the sand.
Author Contributions
Funding
Institutional Review Board Statement
Informed Consent Statement
Data Availability Statement
Acknowledgments
Conflicts of Interest
References
- Bhattacharya, S.; Hyodo, M.; Goda, K.; Tazoh, T.; Taylor, C.A. Liquefaction of soil in the Tokyo Bay area from the 2011 Tohoku (Japan) earthquake. Soil Dyn. Earthq. Eng. 2011, 31, 1618–1628. [Google Scholar] [CrossRef]
- Bertalot, D.; Brennan, A.J.; Villalobos, F.A. Influence of bearing pressure on liquefaction-induced settlement of shallow foundations. Géotechnique 2013, 63, 391–399. [Google Scholar] [CrossRef]
- Seed, H.B.; Lee, K.L. Liquefaction of saturated sands during cyclic loading. J. Soil Mech. Found. Div. 1966, 92, 105–134. [Google Scholar] [CrossRef]
- Ishihara, K. Liquefaction and flow failure during earthquakes. Géotechnique 1993, 43, 351–451. [Google Scholar] [CrossRef]
- Seed, H.B.; Peacock, W.H. Test procedures for measuring soil liquefaction characteristics. J. Geotech. Eng. Div. Am. Soc. Civ. Eng. 1971, 97, 1099–1119. [Google Scholar] [CrossRef]
- Stewart, J.P.; Chu, D.B.; Seed, R.B.; Ju, J.W.; Perkins, W.J.; Boulanger, R.W.; Chen, Y.C.; Ou, C.Y.; Sun, J.; Yu, M.S. Chi–Chi earthquake reconnaissance report: Soil liquefaction. Earthq. Spectra 2001, 17, 37–60. [Google Scholar] [CrossRef]
- Thevanaygam, S.; Mohan, S. Intergranular state variables and stress-strain behaviour of silty sands. Geotechnique 2000, 50, 1–23. [Google Scholar] [CrossRef]
- Altun, S.; Goktepe, A.; Akguner, C. Cyclic Shear Strength of Silts and Sands under Cyclic Loading. In Proceedings of the Earthquake Engineering and Soil Dynamics, Geo-Frontiers Congress, Austin, TX, USA, 24–26 January 2005; pp. 1–11. [Google Scholar] [CrossRef]
- Hernandez, Y.A.; Towhata, I.; Gunji, K.; Yamada, S. Laboratory tests on cyclic undrained behavior of loose sand with cohesionless silt and its application to assessment of seismic performance of subsoil. Soil Dyn. Earthq. Eng. 2015, 79, 365–378. [Google Scholar] [CrossRef]
- Cubrinovski, M.; Rees, S. Effects of Fines on Undrained Behaviour of Sands. In Proceedings of the Geotechnical Earthquake Engineering and Soil Dynamics Congress IV, Sacramento, CA, USA, 18–22 May 2008; pp. 18–22. [Google Scholar] [CrossRef]
- Seed, H.B.; Tokimatsu, K.; Harder, L.F.; Chung, R.M. The influence of SPT procedures in soil liquefaction resistance evaluations. J. Geotech. Eng. Div. Am. Soc. Civ. Eng. 1985, 111, 1425–1445. [Google Scholar] [CrossRef]
- Ishihara, K.; Koseki, J. Discussion on the Cyclic Shear Strength of Fines Containing Sands, Earthquake Geotechnical Engineering. In Proceedings of the 12th International Conference on Soil Mechanics and Foundation Engineering, Rio de Janeiro, Brazil, 13–18 August 1989; pp. 101–106. [Google Scholar]
- Koester, J.P. The influence of fines type and content on cyclic strength: Ground failures under seismic conditions. Geotech. Spec. Publ. Am. Soc. Civ. Eng. 1994, 44, 330–345. [Google Scholar]
- Ishihara, K.; Yasuda, S.; Yokota, K. Cyclic strength of undisturbed mine tailings. In Proceedings of the First International Conference on Recent Advances in Geotechnical Earthquake Engineering and Soil Dynamics, St. Louis, MI, USA, 26 April–3 May 1981; pp. 53–58. [Google Scholar]
- Gratchev, I.B.; Sassa, K.; Osipov, V.I.; Sokolov, V.N. The liquefaction of clayey soils under cyclic loading. Eng. Geol. 2006, 86, 70–84. [Google Scholar] [CrossRef]
- Park, S.S.; Kim, Y.S. Liquefaction resistance of sands containing plastic fines with different plasticity. J. Geotech. Geoenviron. Eng. 2013, 139, 825–830. [Google Scholar] [CrossRef]
- Polito, C.P. The Effects of Non-Plastic and Plastic Fines on the Liquefaction of Sandy Soils. Ph.D. Thesis, Virginia Tech. University, Blacksburg, VA, USA, 1999. [Google Scholar]
- Ghahremani, M.; Ghalandarzadeh, A. Effect of plastic fines on cyclic resistance of sands. In Proceedings of the Soil and Rock Behavior and Modeling, GeoShanghai International Conference, Shanghai, China, 6–8 June 2006; pp. 406–412. [Google Scholar] [CrossRef]
- Mitchell, J.K.; Baxter, C.D.P.; Munson, T.C. Performance of Improved Ground during Earthquakes. In Soil Improvement for Earthquake Hazard Mitigation, Geotechnical Special Publication. Am. Soc. Civ. Eng. 1995, 49, 1–36. [Google Scholar]
- Gallagher, P.M.; Pamuk, A.; Abdoun, T. Stabilization of liquefiable soils using colloidal silica grout. J. Mater. Civ. Eng. 2007, 19, 33–40. [Google Scholar] [CrossRef]
- Karol, R.H. Chemical Grouting and Soil Stabilization, 3rd ed.; Revised and Expanded; Marcel Dekker: New York, NY, USA, 2003. [Google Scholar]
- Yuan, S.; Sui, W.; Han, G.; Duan, W. An optimized combination of mine water control, treatment, utilization, and reinjection for environmentally sustainable mining: A case study. Mine Water Environ. 2022, 41, 828–839. [Google Scholar] [CrossRef]
- Yang, B.; Liu, J.; Zhao, X.; Zheng, S. Evaporation and cracked soda soil improved by fly ash from recycled materials. Land Degrad. Dev. 2021, 32, 2823–2832. [Google Scholar] [CrossRef]
- Bilgen, G.; Altuntas, F. Sustainable re-use of waste glass, cement and lime treated dredged material as pavement material. Case Stud. Constr. Mater. 2023, 18, e01815. [Google Scholar] [CrossRef]
- Towhata, I. Geotechnical Earthquake Engineering; Springer: Berlin, Germany, 2008. [Google Scholar]
- Yoon, S.; Balunaini, U.; Yildrim, I.Z.; Prezzi, M.; Siddiki, N.Z. Construction of an embankment with a fly and bottom ash mixture: Field performance study. J. Mater. Civ. Eng. 2009, 21, 271–278. [Google Scholar] [CrossRef]
- Cristelo, N.; Glendinning, S.; Miranda, T.; Oliveira, D.; Silva, R. Soil stabilization using alkaline activation of fly ash for self-compacting rammed earth construction. Constr. Build. Mater. 2012, 36, 727–735. [Google Scholar] [CrossRef]
- Edil, T.B.; Acosta, H.A.; Benson, C.H. Stabilizing soft fine-grained soils with fly ash. J. Mater. Civ. Eng. 2006, 18, 283–294. [Google Scholar] [CrossRef]
- Mir, B.A.; Sridharan, A. Physical and compaction behaviour of clay soil–fly ash mixtures. Geotech. Geol. Eng. 2013, 31, 1059–1072. [Google Scholar] [CrossRef]
- Turan, C.; Javadi, A.A.; Vinai, R.; Beig Zali, R. Geotechnical characteristics of fine-grained soils stabilized with fly ash, a review. Sustainability 2022, 14, 16710. [Google Scholar] [CrossRef]
- Zand, B.; Tu, W.; Amaya, P.J.; Wolfe, W.E.; Butalia, T.S. An experimental investigation on liquefaction potential and postliquefaction shear strength of impounded fly ash. Fuel 2009, 88, 1160–1166. [Google Scholar] [CrossRef]
- Baki, M.A.L.; Rahman, M.M.; Lo, S.R. Liquefaction of a coal ash investigated by monotonic and cyclic triaxial tests. Soils Found. 2019, 59, 1522–1536. [Google Scholar] [CrossRef]
- Nong, Z.Z.; Park, S.S.; Lee, S.B.; Jiang, P.M. Cyclic resistance of fly ash influenced by anisotropic stress condition, sand contents, and gravel content. Soils Found. 2022, 62, 101157. [Google Scholar] [CrossRef]
- Chattaraj, R.; Sengupta, A. Dynamic properties of fly ash. J. Mater. Civ. Eng. 2017, 29, 04016190. [Google Scholar] [CrossRef]
- Keramatikerman, M.; Chegenizadeh, A.; Nikraz, H. Experimental study on effect of fly ash on liquefaction resistance of sand. Soil Dyn. Earthquake Eng. 2017, 93, 1–6. [Google Scholar] [CrossRef]
- Kolay, P.K.; Puri, V.K.; Tamang, R.L.; Regmi, G.; Kumar, S. Effects of fly ash on liquefaction characteristics of Ottawa sand. Int. J. Geosynth. Ground Eng. 2019, 5, 1–14. [Google Scholar] [CrossRef]
- Barman, P.; Singh, B. Strength characteristics of sand amended with two waste materials—Fly ash and scrap tyre. Environ. Process. 2020, 7, 653–672. [Google Scholar] [CrossRef]
- ASTM D6270-20; Standard Practice for Use of Scrap Tires in Civil Engineering Applications. ASTM International: West Conshohocken, PA, USA, 2020. [CrossRef]
- Hazarika, H.; Yasuhara, K.; Kikuchi, Y.; Karmokar, A.K.; Mitarai, Y. Multifaceted potentials of tire-derived three dimensional geosynthetics in geotechnical applications and their evaluation. Geotext. Geomembr. 2010, 28, 303–315. [Google Scholar] [CrossRef]
- Tasalloti, A.; Chiaro, G.; Murali, A.; Banasiak, L. Physical and mechanical properties of granulated rubber mixed with granular soils-a literature review. Sustainability 2021, 13, 4309. [Google Scholar] [CrossRef]
- Bosscher, P.J.; Edil, T.B.; Kuraoka, S. Design of highway embankments using tire chips. J. Geotech. Geoenviron. Eng. 1997, 123, 295–304. [Google Scholar] [CrossRef]
- Hazarika, H.; Kohama, E.; Sugano, T. Underwater shake table tests on waterfront structures protected with tire chips cushion. J. Geotech. Geoenviron. Eng. 2008, 134, 1706–1719. [Google Scholar] [CrossRef]
- Bazienė, K.; Vaiškūnaitė, R. Research of sustainable use of tire shreds in landfill. Sustainability 2016, 8, 767. [Google Scholar] [CrossRef]
- Tsang, H.H.; Lo, S.H.; Xu, X.; Sheikh, M.N. Seismic isolation for low-to-medium-rise building using granulated rubber-soil mixtures: Numerical study. Earthquake Eng. Struct. Dyn. 2012, 41, 2009–2024. [Google Scholar] [CrossRef]
- Hazarika, H.; Pasha, S.M.K.; Ishibashi, I.; Yoshimoto, N.; Kinoshita, T.; Endo, S.; Karmokar, A.K.; Hitosugi, T. Tire-chip reinforced foundation as liquefaction countermeasure for residential buildings. Soils Found. 2020, 60, 315–326. [Google Scholar] [CrossRef]
- Foose, G.J.; Benson, C.H.; Bosscher, P. Sand reinforced with shredded wastes tires. J. Geotech. Eng. 1996, 122, 760–767. [Google Scholar] [CrossRef]
- Anvari, S.M.; Shooshpasha, I.; Kutanaei, S.S. Effect of granulated rubber on shear strength of fine-grained sand. J. Rock Mech. Geotech. Eng. 2017, 9, 936–944. [Google Scholar] [CrossRef]
- Youwai, S.; Bergado, D.T. Strength and deformation characteristics of shredded rubber tire sand mixtures. Can. Geotech. J. 2003, 40, 254–264. [Google Scholar] [CrossRef]
- Sheikh, M.N.; Mashiri, M.S.; Vinod, J.S.; Tsang, H.H. Shear and compressibility behavior of sand-tire crumb mixtures. J. Mater. Civ. Eng. 2013, 25, 1366–1374. [Google Scholar] [CrossRef]
- Noorzad, R.; Raveshi, M. Mechanical behavior of waste tire crumbs–sand mixtures determined by triaxial tests. Geotech. Geol. Eng. 2017, 35, 1793–1802. [Google Scholar] [CrossRef]
- Senetakis, K.; Anastasiadis, A.; Pitilakis, K. Dynamic properties of dry sand/rubber (SRM) and gravel/rubber (GRM) mixtures in a wide range of shearing strain amplitudes. Soil Dyn. Earthq. Eng. 2012, 33, 38–53. [Google Scholar] [CrossRef]
- Pistolas, G.; Anastasiadis, A.; Pitilakis, K. Dynamic behaviour of granular soil materials mixed with granulated rubber: Effect of rubber content and granularity on the small-strain shear modulus and damping ratio. Geotech. Geol. Eng. 2018, 36, 1267–1281. [Google Scholar] [CrossRef]
- Okur, D.V.; Umu, S.U. Dynamic properties of clean sand modified with granulated rubber. Adv. Civ. Eng. 2018, 2018, 5209494. [Google Scholar] [CrossRef]
- Sarajpoor, S.; Kavand, A.; Zogh, P.; Ghalandarzadeh, A. Dynamic behavior of sand-rubber mixtures based on hollow cylinder tests. Constr. Build. Mater. 2020, 251, 118948. [Google Scholar] [CrossRef]
- Hazarika, H.; Hyodo, M.; Yasuhara, K. Investigation of tire chips-sand mixtures as preventive measure against liquefaction. In Proceedings of the Ground Improvement and Geosynthetics, GeoShanghai International Conference, Shanghai, China, 3–5 June 2010; pp. 338–345. [Google Scholar] [CrossRef]
- Kaneko, T.; Orense, R.P.; Hyodo, M.; Yoshimoto, N. Seismic response characteristics of saturated sand deposits mixed with tire chips. J. Geotech. Geoenviron. Eng. 2013, 139, 633–643. [Google Scholar] [CrossRef]
- Bahadori, H.; Manafi, S. Effect of tyre chips on dynamic properties of saturated sands. Int. J. Phys. Model. Geotech. 2015, 15, 116–128. [Google Scholar] [CrossRef]
- Enquan, Z.; Qiong, W. Experimental investigation on shear strength and liquefaction potential of rubber-sand mixtures. Adv. Civ. Eng. 2019, 2019, 5934961. [Google Scholar] [CrossRef]
- Promputthangkoon, P.; Hyde, A.F.L. Compressibility and Liquefaction Potential of Rubber Composite Soils. In Proceedings of the International Workshop on Scrap Tire Derived Geomaterials-Opportunities and Challenges, Yokosuka, Japan, 23–24 March 2008; pp. 161–170. [Google Scholar]
- Shariatmadari, N.; Karimpour-Fard, M.; Shargh, A. Evaluation of liquefaction potential in sand-tire crumb mixtures using the energy approach. Int. J. Civ. Eng. 2019, 17, 181–191. [Google Scholar] [CrossRef]
- Mashiri, M.S.; Vinod, J.S.; Sheikh, M.N. Liquefaction potential and dynamic properties of sand-tyre chip (STCh) mixtures. Geotech. Test. J. 2016, 39, 69–79. [Google Scholar] [CrossRef]
- Tsuchida, H. Prediction and Countermeasure against the Liquefaction in Sand Deposits. In Abstract of the Seminar at the Port and Harbour Research Institute; Japanese Ministry of Transport: Yokosuka, Japan, 1970; pp. 3.1–3.33. [Google Scholar]
- ASTM D6913/D6913M-17; Standard Test Methods for Particle-Size Distribution (Gradation) of Soils Using Sieve Analysis. ASTM International: West Conshohocken, PA, USA, 2017. [CrossRef]
- ASTM D854-14; Standard Test Methods for Specific Gravity of Soil Solids by Water Pycnometer. ASTM International: West Conshohocken, PA, USA, 2014. [CrossRef]
- ASTM D4253-16e1; Standard Test Methods for Maximum Index Density and Unit Weight of Soils Using a Vibratory Table. ASTM International: West Conshohocken, PA, USA, 2019. [CrossRef]
- ASTM D4254-16; Standard Test Methods for Minimum Index Density and Unit Weight of Soils and Calculation of Relative Density. ASTM International: West Conshohocken, PA, USA, 2016. [CrossRef]
- Bayat, O. Characterisation of Turkish fly ashes. Fuel 1998, 77, 1059–1066. [Google Scholar] [CrossRef]
- Cicek, T.; Tanrıverdi, M. Lime based steam autoclaved fly ash bricks. Constr. Build. Mater. 2007, 21, 1295–1300. [Google Scholar] [CrossRef]
- Demir, I.; Başpınar, M.S.; Görhan, G.; Kahraman, E. Preliminary investigation of Seyitomer fly ash for use in building brick manufacturing. Afyon Kocatepe Üniversitesi Fen Ve Mühendislik Bilimleri Dergisi 2009, 9, 131–137. Available online: https://dergipark.org.tr/tr/pub/akufemubid/issue/1612/20162 (accessed on 15 January 2023).
- Monkul, M.M.; Etminan, E.; Şenol, A. Influence of coefficient of uniformity and base sand gradation on static liquefaction of loose sands with silt. Soil Dyn. Earthq. Eng. 2016, 89, 185–197. [Google Scholar] [CrossRef]
- Lade, P.V.; Liggio, C.D.; Yamamuro, J.A. Effects of non-plastic fines on minimum and maximum void ratios of sand. Geotech. Test. J. 1998, 21, 336–347. [Google Scholar] [CrossRef]
- Thevanayagam, S. Effect of fines and confining stress on undrained shear strength of silty sands. J. Geotech. Geoenviron. Eng. 1998, 124, 479–491. [Google Scholar] [CrossRef]
- Amini, F.; Qi, G.Z. Liquefaction testing of stratified silty sands. J. Geotech. Geoenviron. Eng. 2000, 126, 208–217. [Google Scholar] [CrossRef]
- ASTM D5311/D5311M-13; Standard Test Method for Load Controlled Cyclic Triaxial Strength of Soil. ASTM International: West Conshohocken, PA, USA, 2013. [CrossRef]
- Tamang, L.R. Effects of Addition of Small Percentages of Fly Ash on Liquefaction Characteristics of Sand. Master’s Thesis, Southern Illinois University, Carbondale, IL, USA, 2014. [Google Scholar]
- Thevanayagam, S.; Fiorillo, M.; Liang, J. Effects of non-plastic fines on undrained cyclic strength of silty sands. In Proceedings of the Soil Dynamics and Liquefaction, Geo-Denver 2000, Denver, CA, USA, 5–8 August 2020; pp. 77–91. [Google Scholar] [CrossRef]
- Shariatmadari, N.; Karimpour-Fard, M.; Shargh, A. Undrained monotonic and cyclic behavior of sand-ground rubber mixtures. Earthq. Eng. Eng. Vib. 2018, 17, 541–553. [Google Scholar] [CrossRef]
- Mashiri, M.S. Monotonic and Cyclic Behaviour of Sand-Tyre Chip (Stch) Mixtures. Ph.D. Thesis, University of Wollongong, Kowloon City, Hong Kong, 2014. [Google Scholar]
- Li, B.; Huang, M.; Zeng, X. Dynamic behavior and liquefaction analysis of recycled-rubber sand mixtures. J. Mater. Civ. Eng. 2016, 28, 04016122. [Google Scholar] [CrossRef]
- Seed, H.B.; Idriss, I.M.; Makdisi, F.; Banerjee, N. EERC 75-29 Report: Representation of Irregular Stress Time Histories by Equivalent Uniform Stress Series in Liquefaction Analyses; Earthquake Engineering Research Center, University of California: Berkeley, CA, USA, 1975. [Google Scholar]
- Polito, C.P.; Green, R.A.; Lee, J. Pore pressure generation models for sands and silty soils subjected to cyclic loading. J. Geotech. Geoenviron. Eng. 2008, 134, 1490–1500. [Google Scholar] [CrossRef]
- Baziar, M.H.; Shahnazari, H.; Sharafi, H. A laboratory study on the pore pressure generation model for Firouzkooh silty sands using hollow torsional test. Int. J. Civ. Eng. 2011, 9, 126–134. Available online: http://ijce.iust.ac.ir/article-1-489-en.html (accessed on 15 January 2023).


















| Fly Ash | Tire Crumb Rubber | |||||
|---|---|---|---|---|---|---|
| Weight Ratios [%] | ||||||
| 0 (pure sand) | 2.63 | 0.398 | 0.63 | 2.63 | 0.398 | 0.63 |
| 10 | 2.58 | 0.29 | 0.55 | 2.31 | 0.41 | 0.64 |
| 20 | 2.52 | 0.35 | 0.54 | 2.05 | 0.43 | 0.66 |
| 30 | 2.42 | 0.40 | 0.75 | 1.87 | 0.46 | 0.68 |
| 40 | 2.38 | 0.46 | 0.97 | 1.70 | 0.50 | 0.73 |
| 50 | 2.36 | 0.55 | 1.15 | 1.54 | 0.55 | 0.80 |
| 100 (pure fly ash or rubber) | 2.10 | 1.46 | 2.35 | 1.10 | 0.89 | 1.23 |
| Test Material(s) | Test No | Test ID | FA or RC (%) | CSR | |||
|---|---|---|---|---|---|---|---|
| Pure sand | 1 | CS1 | 40 | 0 | 100 | 0.10 | 160 |
| 2 | CS2 | 41 | 0 | 100 | 0.15 | 50 | |
| 3 | CS3 | 39 | 0 | 100 | 0.20 | 9 | |
| 4 | CS4 | 39 | 0 | 50 | 0.10 | 280 | |
| 5 | CS5 | 40 | 0 | 50 | 0.15 | 80 | |
| 6 | CS6 | 41 | 0 | 50 | 0.20 | 15 | |
| 7 | CS7 | 56 | 0 | 100 | 0.15 | 151 | |
| 8 | CS8 | 55 | 0 | 100 | 0.175 | 64 | |
| 9 | CS9 | 57 | 0 | 100 | 0.20 | 35 | |
| 10 | CS10 | 57 | 0 | 50 | 0.15 | 281 | |
| 11 | CS11 | 55 | 0 | 50 | 0.175 | 119 | |
| 12 | CS12 | 54 | 0 | 50 | 0.20 | 46 | |
| Sand and fly ash | 13 | SFA1 | 39 | 10 | 100 | 0.10 | 84 |
| 14 | SFA2 | 40 | 10 | 100 | 0.15 | 16 | |
| 15 | SFA3 | 39 | 10 | 100 | 0.20 | 4 | |
| 16 | SFA4 | 38 | 20 | 100 | 0.10 | 31 | |
| 17 | SFA5 | 41 | 20 | 100 | 0.15 | 6 | |
| 18 | SFA6 | 40 | 20 | 100 | 0.20 | 2 | |
| 19 | SFA7 | 41 | 30 | 100 | 0.10 | 70 | |
| 20 | SFA8 | 40 | 30 | 100 | 0.15 | 24 | |
| 21 | SFA9 | 39 | 30 | 100 | 0.20 | 5 | |
| 22 | SFA10 | 38 | 40 | 100 | 0.10 | 88 | |
| 23 | SFA11 | 40 | 40 | 100 | 0.15 | 32 | |
| 24 | SFA12 | 39 | 40 | 100 | 0.20 | 5 | |
| 25 | SFA13 | 39 | 30 | 50 | 0.10 | 142 | |
| 26 | SFA14 | 40 | 30 | 50 | 0.15 | 38 | |
| 27 | SFA15 | 38 | 30 | 50 | 0.20 | 12 | |
| 28 | SFA16 | 56 | 30 | 100 | 0.15 | 113 | |
| 29 | SFA17 | 55 | 30 | 100 | 0.175 | 36 | |
| 30 | SFA18 | 54 | 30 | 100 | 0.20 | 14 | |
| Sand and tire crumb rubber | 31 | SR1 | 40 | 5 | 100 | 0.10 | 196 |
| 32 | SR2 | 39 | 5 | 100 | 0.15 | 52 | |
| 33 | SR3 | 41 | 5 | 100 | 0.20 | 8 | |
| 34 | SR4 | 41 | 10 | 100 | 0.10 | 295 | |
| 35 | SR5 | 39 | 10 | 100 | 0.15 | 61 | |
| 36 | SR6 | 40 | 10 | 100 | 0.20 | 10 | |
| 37 | SR7 | 40 | 20 | 100 | 0.10 | 325 | |
| 38 | SR8 | 40 | 20 | 100 | 0.15 | 87 | |
| 39 | SR9 | 42 | 20 | 100 | 0.20 | 15 | |
| 40 | SR10 | 39 | 30 | 100 | 0.10 | 490 | |
| 41 | SR11 | 41 | 30 | 100 | 0.15 | 102 | |
| 42 | SR12 | 40 | 30 | 100 | 0.20 | 27 | |
| 43 | SR13 | 42 | 10 | 200 | 0.10 | 370 | |
| 44 | SR14 | 40 | 10 | 200 | 0.15 | 85 | |
| 45 | SR15 | 38 | 10 | 200 | 0.20 | 13 |
Disclaimer/Publisher’s Note: The statements, opinions and data contained in all publications are solely those of the individual author(s) and contributor(s) and not of MDPI and/or the editor(s). MDPI and/or the editor(s) disclaim responsibility for any injury to people or property resulting from any ideas, methods, instructions or products referred to in the content. |
© 2023 by the authors. Licensee MDPI, Basel, Switzerland. This article is an open access article distributed under the terms and conditions of the Creative Commons Attribution (CC BY) license (https://creativecommons.org/licenses/by/4.0/).
Share and Cite
Zeybek, A.; Eyin, M. Experimental Study on Liquefaction Characteristics of Saturated Sands Mixed with Fly Ash and Tire Crumb Rubber. Sustainability 2023, 15, 2960. https://doi.org/10.3390/su15042960
Zeybek A, Eyin M. Experimental Study on Liquefaction Characteristics of Saturated Sands Mixed with Fly Ash and Tire Crumb Rubber. Sustainability. 2023; 15(4):2960. https://doi.org/10.3390/su15042960
Chicago/Turabian StyleZeybek, Abdülhakim, and Murat Eyin. 2023. "Experimental Study on Liquefaction Characteristics of Saturated Sands Mixed with Fly Ash and Tire Crumb Rubber" Sustainability 15, no. 4: 2960. https://doi.org/10.3390/su15042960
APA StyleZeybek, A., & Eyin, M. (2023). Experimental Study on Liquefaction Characteristics of Saturated Sands Mixed with Fly Ash and Tire Crumb Rubber. Sustainability, 15(4), 2960. https://doi.org/10.3390/su15042960

